Effects of Saline–Alkali Composite Stress on the Growth and Soil Fixation Capacity of Four Herbaceous Plants
Abstract
1. Introduction
2. Materials and Methods
2.1. Plant Materials and Test Methods
2.2. Salinity Tolerance of Four Herbaceous Plants
2.3. Determination of Root Growth
2.4. Determination of Biomechanical Properties of Root Systems
2.5. Determination of Root Pullout Resistance
2.6. Determination of Absolute Soil Stripping Rate of Root–Soil Complexes
2.7. Data Analysis
3. Results
3.1. Salinity Tolerance of Four Herbaceous Plants
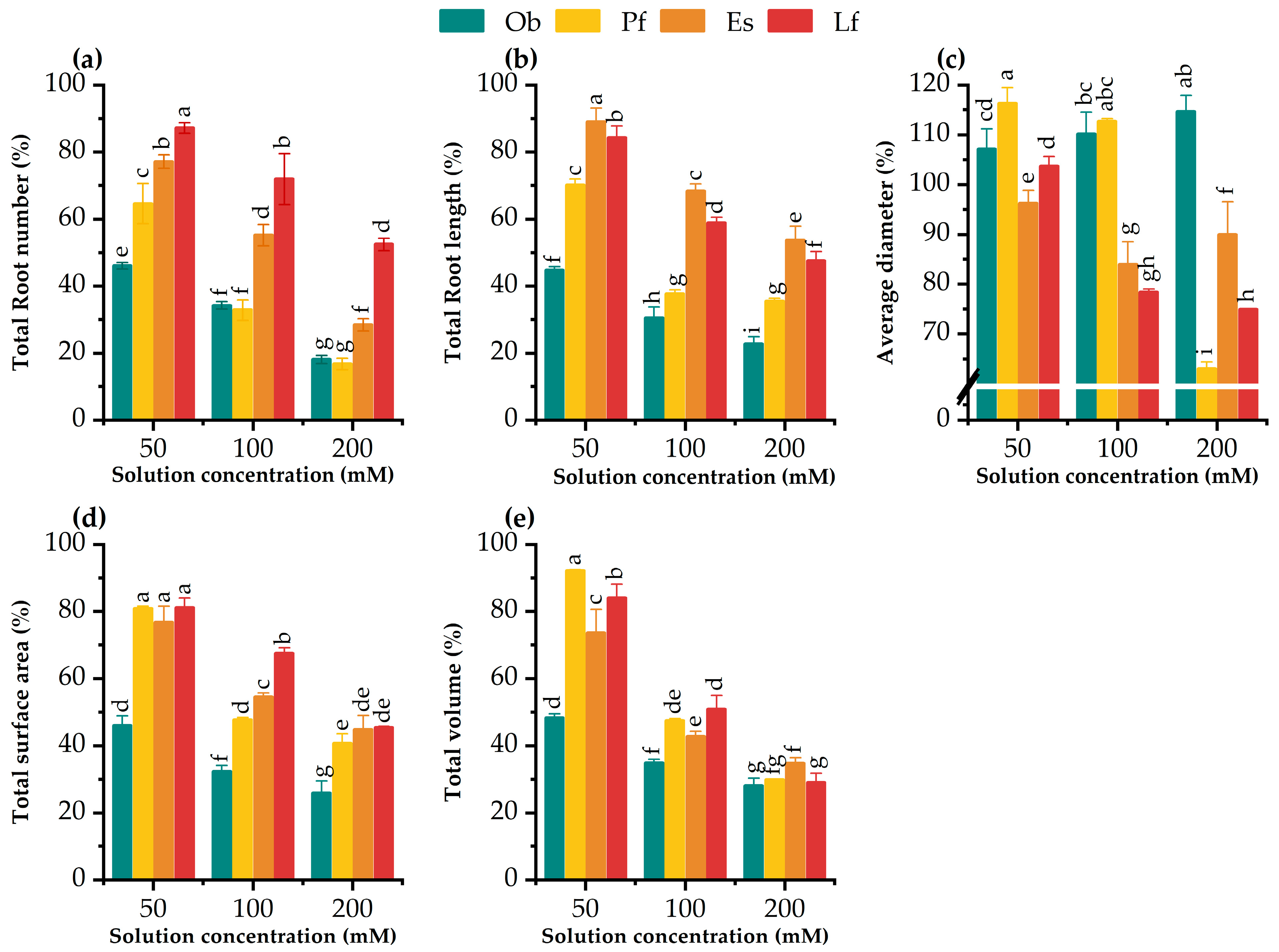
3.2. Characterization of Root Conformation
3.3. Mechanical Properties of Root System
3.4. Root Pullout Resistance
3.5. Impact Resistance Index of Root–Soil Complexes
4. Discussion
5. Conclusions
Author Contributions
Funding
Data Availability Statement
Conflicts of Interest
References
- Zhu, J.Q.; Mao, Z.; Wang, Y.Q.; Wang, Y.J.; Tong, L.; Wang, K.; Langendoen, E.J.; Zheng, B.F. Soil moisture and hysteresis affect both magnitude and efficiency of root reinforcement. Catena 2022, 219, 11. [Google Scholar] [CrossRef]
- Löbmann, M.T.; Geitner, C.; Wellstein, C.; Zerbe, S. The influence of herbaceous vegetation on slope stability—A review. Earth-Sci. Rev. 2020, 209, 17. [Google Scholar] [CrossRef]
- Wang, T.; Li, P.; Hou, J.M.; Li, Z.B.; Ren, Z.P.; Cheng, S.D.; Xu, G.C.; Su, Y.Y.; Wang, F.C. Response of the Meltwater Erosion to Runoff Energy Consumption on Loessal Slopes. Water 2018, 10, 1522. [Google Scholar] [CrossRef]
- Geitner, C.; Mayr, A.; Rutzinger, M.; Löbmann, M.T.; Tonin, R.; Zerbe, S.; Wellstein, C.; Markart, G.; Kohl, B. Shallow erosion on grassland slopes in the European Alps—Geomorphological classification, spatio-temporal analysis, and understanding snow and vegetation impacts. Geomorphology 2021, 373, 19. [Google Scholar] [CrossRef]
- Sujatha, E.R.; Sudarsan, J.S.; Nithiyanantham, S. A review on sustainable reinforcing techniques to stabilize slopes against landslides. Int. J. Environ. Sci. Technol. 2023, 20, 13873–13882. [Google Scholar] [CrossRef]
- Qilong, Z. Study on Relationship between Soil Erosion and Shallow Landslides in the Loess Gully Region; Lanzhou University: Lanzhou, China, 2013. [Google Scholar]
- Kainthola, A.; Singh, P.K.; Singh, T.N. Stability investigation of road cut slope in basaltic rockmass, Mahabaleshwar, India. Geosci. Front. 2015, 6, 837–845. [Google Scholar] [CrossRef]
- Sheley, R.L. Revegetation Guidelines for the Great Basin: Considering Invasive Weeds; Agricultural Research Service: Washington, DC, USA, 2008. [Google Scholar]
- Mertzanis, A.; Papadopoulos, A.; Pantera, A. Instability Effects of the Landforms, in Artificially Modulated Banks along the Road Thermopylae–Nafpactos (Ftiotida, Greece); Springer: Amsterdam, The Netherlands, 2007. [Google Scholar]
- Masi, E.B.; Segoni, S.; Tofani, V. Root Reinforcement in Slope Stability Models: A Review. Geosciences 2021, 11, 212. [Google Scholar] [CrossRef]
- Fay, L.; Akin, M.; Shi, X. Cost-effective and Sustainable Road Slope Stabilization and Erosion Control. In National Cooperative Highway Research Program (NCHRP) Synthesis 430. A Synthesis of Highway Practice; National Academic Press: Washington, DC, USA, 2012. [Google Scholar]
- Shan, W.; Guo, Y.; Cui, G.; Jiang, H.; Hu, Z.; Wang, C.; Lui, H.; Sun, Y. Landslide Mechanisms and Protection of Highways in Frozen Regions of Northeast China. In Landslides: Global Risk Preparedness; Springer: Berlin/Heidelberg, Germany, 2013; pp. 239–252. [Google Scholar]
- Muerdter, C.P.; Wong, C.K.; LeFevre, G.H. Emerging investigator series: The role of vegetation in bioretention for stormwater treatment in the built environment: Pollutant removal, hydrologic function, and ancillary benefits. Environ. Sci.-Water Res. Technol. 2018, 4, 592–612. [Google Scholar] [CrossRef]
- Wang, X.; Hong, M.M.; Huang, Z.; Zhao, Y.F.; Ou, Y.S.; Ji, H.X.; Li, J. Biomechanical properties of plant root systems and their ability to stabilize slopes in geohazard-prone regions. Soil Tillage Res. 2019, 189, 148–157. [Google Scholar] [CrossRef]
- Hao, G.L.; Liu, X.F.; Zhang, Q.; Xiang, L.; Yu, B. Optimum Selection of Soil-Reinforced Herbaceous Plants Considering Plant Growth and Distribution Characteristics. J. Soil Sci. Plant Nutr. 2022, 22, 1743–1757. [Google Scholar] [CrossRef]
- Li, Q.; Liu, G.B.; Zhang, Z.; Tuo, D.F.; Xu, M.X. Effect of root architecture on structural stability and erodibility of topsoils during concentrated flow in hilly Loess Plateau. Chin. Geogr. Sci. 2015, 25, 757–764. [Google Scholar] [CrossRef]
- Abdi, E.; Majnounian, B.; Rahimi, H.; Zobeiri, M.; Mashayekhi, Z.; Yosefzadeh, H. A comparison of root distribution of three hardwood species grown on a hillside in the Caspian forest, Iran. J. For. Res. 2010, 15, 99–107. [Google Scholar] [CrossRef]
- Zhang, T.; Yu, S.; Yu, L.; Li, L.; Jin, S.; Guo, J.; Zhang, J. Saline–Alkaline Tolerance Identification and Varieties(Lines)Screening of Spring Wheat in Songnen Plain. J. Triticeae Crops 2016, 36, 1008–1019. [Google Scholar]
- Zhang, W.W.; Wang, C.; Xue, R.; Wang, L.J. Effects of salinity on the soil microbial community and soil fertility (vol 18, pg 1360, 2019). J. Integr. Agric. 2021, 20, VI. [Google Scholar]
- Munns, R.; Tester, M. Mechanisms of salinity tolerance. Annu. Rev. Plant Biol. 2008, 59, 651–681. [Google Scholar] [CrossRef]
- Wang, C.F.; Han, G.L.; Yang, Z.R.; Li, Y.X.; Wang, B.S. Plant Salinity Sensors: Current Understanding and Future Directions. Front. Plant Sci. 2022, 13, 13. [Google Scholar] [CrossRef] [PubMed]
- Zhang, X.M.; Wang, H.M.; Yang, M.L.; Liu, R.X.; Zhang, X.; Jia, Z.T.; Li, P.C. Natural variation in ZmNAC087 contributes to total root length regulation in maize seedlings under salt stress. BMC Plant Biol. 2023, 23, 15. [Google Scholar] [CrossRef]
- Duan, L.N.; Dietrich, D.; Ng, C.H.; Chan, P.M.Y.; Bhalerao, R.; Bennett, M.J.; Dinneny, J.R. Endodermal ABA Signaling Promotes Lateral Root Quiescence during Salt Stress in Arabidopsis Seedlings. Plant Cell 2013, 25, 324–341. [Google Scholar] [CrossRef] [PubMed]
- Li, N.; Cao, B.L.; Chen, Z.J.; Xu, K. Root morphology ion absorption and antioxidative defense system of two Chinese cabbage cultivars (Brassica rapa L.) reveal the different adaptation mechanisms to salt and alkali stress. Protoplasma 2022, 259, 385–398. [Google Scholar] [CrossRef]
- Shi, D.C.; Sheng, Y.M. Effect of various salt-alkaline mixed stress conditions on sunflower seedlings and analysis of their stress factors. Environ. Exp. Bot. 2005, 54, 8–21. [Google Scholar] [CrossRef]
- Wang, X.P.; Geng, S.J.; Ri, Y.J.; Cao, D.H.; Liu, J.; Shi, D.C.; Yang, C.W. Physiological responses and adaptive strategies of tomato plants to salt and alkali stresses. Sci. Hortic. 2011, 130, 248–255. [Google Scholar] [CrossRef]
- Lei, Z.; Yunpeng, H.; Lichun, W. Effect of alkaline salt stress on plant and method of enhancing saline-alkali resistance. J. Northeast. Agric. Sci. 2018, 43, 11–16. [Google Scholar]
- Li, N.; Liu, H.L.; Sun, J.; Zheng, H.L.; Wang, J.G.; Yang, L.M.; Zhao, H.W.; Zou, D.T. Transcriptome analysis of two contrasting rice cultivars during alkaline stress. Sci. Rep. 2018, 8, 16. [Google Scholar] [CrossRef] [PubMed]
- Liu, Q.; Sun, Y.P.; Niu, G.H.; Altland, J.; Chen, L.F.; Jiang, L.J. Morphological and Physiological Responses of Ten Ornamental Taxa to Saline Water Irrigation. Hortscience 2017, 52, 1816–1822. [Google Scholar] [CrossRef]
- Wang, X.Y.; Cheng, R.; Zhu, H.; Cheng, X.W.; Shutes, B.; Yan, B.X. Seed germination and early seedling growth of six wetland plant species in saline-alkaline environment. Int. J. Phytoremediat. 2020, 22, 1185–1194. [Google Scholar] [CrossRef] [PubMed]
- Niu, G.H.; Sun, Y.P.; Hooks, T.; Altland, J.; Dou, H.J.; Perez, C. Salt Tolerance of Hydrangea Plants Varied among Species and Cultivar within a Species. Horticulturae 2020, 6, 54. [Google Scholar] [CrossRef]
- Ahmed, S.; Patel, R.; Rana, M.; Kumar, N.; Indu, I.; Choudhary, M.; Chand, S.; Singh, A.K.; Ghosh, A.; Singhal, R.K. Effect of salt, alkali and combined stresses on root system architecture and ion profiling in a diverse panel of oat (Avena spp.). Funct. Plant Biol. 2023, 51, FP23031. [Google Scholar] [CrossRef]
- Cao, Q.; Du, L.; Yang, Z.; Li, L.; Duan, X.; Yang, W.; Chen, W.; Meng, Z. Screening and Evaluation of Cucumber Salt-Tolerant Germplasm. J. Nucl. Agric. Sci. 2022, 36, 865–875. [Google Scholar]
- Lin, K.H.; Huang, M.Y.; Huang, W.D.; Hsu, M.H.; Yang, Z.W.; Yang, C.M. The effects of red, blue, and white light-emitting diodes on the growth, development, and edible quality of hydroponically grown lettuce (Lactuca sativa L. var. capitata). Sci. Hortic. 2013, 150, 86–91. [Google Scholar] [CrossRef]
- Bradford, M.M. A rapid and sensitive method for the quantitation of microgram quantities of protein utilizing the principle of protein-dye binding. Anal. Biochem. 1976, 72, 248–254. [Google Scholar] [CrossRef]
- Choluj, D.; Karwowska, R.; Ciszewska, A.; Jasinska, M. Influence of long-term drought stress on osmolyte accumulation in sugar beet (Beta vulgaris L.) plants. Acta Physiol. Plant 2008, 30, 679–687. [Google Scholar] [CrossRef]
- Wang, S.C.; Liang, D.; Li, C.; Hao, Y.L.; Ma, F.W.; Shu, H.R. Influence of drought stress on the cellular ultrastructure and antioxidant system in leaves of drought-tolerant and drought-sensitive apple rootstocks. Plant Physiol. Biochem. 2012, 51, 81–89. [Google Scholar] [CrossRef]
- Yen, C. Tree Root Patterns and Erosion Control; CABI: Wallingford, UK, 1987. [Google Scholar]
- Xu, N.; Song, F.; Fan, X.; Sui, X.; Chang, W. Effects of Salt Stress on Growth Characteristics of Arbuscular Mycorrhizal Elaeagnus angustifolia Seedlings. J. Northeast For. Univ. 2021, 49, 29–33. [Google Scholar]
- Jia, K.; Yan, C.Y.; Yan, H.Z.; Gao, J. Physiological Responses of Turnip (Brassica rapa L. subsp. rapa) Seedlings to Salt Stress. Hortic. Sci. 2020, 55, 1567–1574. [Google Scholar]
- Jabeen, N.; Ahmad, R. Foliar Application of Potassium Nitrate Affects the Growth and Nitrate Reductase Activity in Sunflower and Safflower Leaves under Salinity. Not. Bot. Horti Agrobot. 2011, 39, 172–178. [Google Scholar] [CrossRef][Green Version]
- Ji, X.Y.; Tang, J.L.; Zhang, J.P. Effects of Salt Stress on the Morphology, Growth and Physiological Parameters of Juglans microcarpa L. Seedlings. Plants 2022, 11, 2381. [Google Scholar] [CrossRef]
- Mao, Z.; Roumet, C.; Rossi, L.M.W.; Merino-Martín, L.; Nespoulous, J.; Taugourdeau, O.; Boukcim, H.; Fourtier, S.; Del Rey-Granado, M.; Ramel, M.; et al. Intra- and inter-specific variation in root mechanical traits for twelve herbaceous plants and their link with the root economics space. Oikos 2023, 2023, 19. [Google Scholar] [CrossRef]
- Wang, Z.; You, J.; Xu, X.Y.; Yang, Y.; Wang, J.L.; Zhang, D.M.; Mu, L.L.; Zhuang, X.; Shen, Z.B.; Guo, C.H. Physiological and Biochemical Responses of Melilotus albus to Saline and Alkaline Stresses. Horticulturae 2024, 10, 297. [Google Scholar] [CrossRef]
- Galvan-Ampudia, C.S.; Testerink, C. Salt stress signals shape the plant root. Curr. Opin. Plant Biol. 2011, 14, 296–302. [Google Scholar] [CrossRef]
- West, G.; Inzé, D.; Beemster, G.T.S. Cell cycle modulation in the response of the primary root of Arabidopsis to salt stress. Plant Physiol. 2004, 135, 1050–1058. [Google Scholar] [CrossRef]
- De-eheng, S.; Li-juan, Y. Difference between salt (NaCl) and alkaline (Na2CO3) stresses on Puccinellia tenuiflora (Griseb.) Scribn. et Merr. plants. J. Integr. Plant Biol. 1993, 35, 2. [Google Scholar]
- Paz, R.C.; Rocco, R.A.; Reinoso, H.; Menéndez, A.B.; Pieckenstain, F.L.; Ruiz, O.A. Comparative Study of Alkaline, Saline, and Mixed Saline-Alkaline Stresses with Regard to Their Effects on Growth, Nutrient Accumulation, and Root Morphology of Lotus tenuis. J. Plant Growth Regul. 2012, 31, 448–459. [Google Scholar] [CrossRef]
- Wang, J.Y.; Li, Q.; Zhang, M.; Wang, Y.C. The high pH value of alkaline salt destroys the root membrane permeability of Reaumuria trigyna and leads to its serious physiological decline. J. Plant Res. 2022, 135, 785–798. [Google Scholar] [CrossRef] [PubMed]
- Liu, Z.Y.; Xu, W.H.; Gu, W.R.; Li, J.; Li, C.F.; Wang, M.Q.; Zhang, L.G.; Piao, L.; Zhu, Q.R.; Wei, S. Effects of Geniposide on The Regulation Mechanisms of Photosynthetic Physiology, Root Osmosis and Hormone Levels in Maize under Salinealkali Stress. Appl. Ecol. Environ. Res. 2021, 19, 1571–1588. [Google Scholar] [CrossRef]
- Rahnama, A.; Fakhri, S.; Meskarbashee, M. Root Growth and Architecture Responses of Bread Wheat Cultivars to Salinity Stress. Agron. J. 2019, 111, 2991–2998. [Google Scholar] [CrossRef]
- Zinta, R.; Tiwari, J.K.; Buckseth, T.; Thakur, K.; Goutam, U.; Kumar, D.; Challam, C.; Bhatia, N.; Poonia, A.K.; Naik, S.; et al. Root system architecture for abiotic stress tolerance in potato: Lessons from plants. Front. Plant Sci. 2022, 13, 9. [Google Scholar] [CrossRef] [PubMed]
- Burylo, M.; Rey, F.; Roumet, C.; Buisson, E.; Dutoit, T. Linking plant morphological traits to uprooting resistance in eroded marly lands (Southern Alps, France). Plant Soil 2009, 324, 31–42. [Google Scholar] [CrossRef]
- Lombardi, F.; Scippa, G.S.; Lasserre, B.; Montagnoli, A.; Tognetti, R.; Marchetti, M.; Chiatante, D. The influence of slope on Spartium junceum root system: Morphological, anatomical and biomechanical adaptation. J. Plant Res. 2017, 130, 515–525. [Google Scholar] [CrossRef] [PubMed]
- Zhang, H.Q.; Liu, Z.K.; Chen, H.; Tang, M. Symbiosis of Arbuscular Mycorrhizal Fungi and Robinia pseudoacacia L. Improves Root Tensile Strength and Soil Aggregate Stability. PLoS ONE 2016, 11, e0153378. [Google Scholar] [CrossRef]
- Hollis, L.O.; Turner, R.E. The Tensile Root Strength of Spartina patens: Response to Atrazine Exposure and Nutrient Addition. Wetlands 2019, 39, 759–775. [Google Scholar] [CrossRef]
- Hollis, L.O.; Turner, R.E. The tensile root strength of Spartina patens declines with exposure to multiple stressors. Wetl. Ecol. Manag. 2021, 29, 143–153. [Google Scholar] [CrossRef]
- Lee, J.T.; Shih, C.Y.; Hsu, Y.S. Root biomechanical features and wind erosion resistance of three native leguminous psammophytes for coastal dune restoration. Ecol. Eng. 2023, 191, 12. [Google Scholar] [CrossRef]
- Loades, K.W.; Bengough, A.G.; Bransby, M.F.; Hallett, P.D. Effect of root age on the biomechanics of seminal and nodal roots of barley (Hordeum vulgare L.) in contrasting soil environments. Plant Soil 2015, 395, 253–261. [Google Scholar] [CrossRef]
- Genet, M.; Stokes, A.; Salin, F.; Mickovski, S.; Fourcaud, T.; Dumail, J.F.; van Beek, R. The influence of cellulose content on tensile strength in tree roots. Plant Soil 2005, 278, 1–9. [Google Scholar] [CrossRef]
- Kamchoom, V.; Chen, X.W.; Leung, A.K.; Sakolpanya, T.; Srinil, C. Dynamic changes in cellulose content and biomechanical properties of mycorrhizal roots during growth and decay. Plant Soil 2023, 490, 573–589. [Google Scholar] [CrossRef]
- Wang, T.; McFarlane, H.E.; Persson, S. The impact of abiotic factors on cellulose synthesis. J. Exp. Bot. 2016, 67, 543–552. [Google Scholar] [CrossRef] [PubMed]
- Liu, J.W.; Zhang, W.; Long, S.J.; Zhao, C.Z. Maintenance of Cell Wall Integrity under High Salinity. Int. J. Mol. Sci. 2021, 22, 3260. [Google Scholar] [CrossRef] [PubMed]
- Ghestem, M.; Cao, K.F.; Ma, W.Z.; Rowe, N.; Leclerc, R.; Gadenne, C.; Stokes, A. A Framework for Identifying Plant Species to Be Used as E‘cological Engineers’ for Fixing Soil on Unstable Slopes. PLoS ONE 2014, 9, e95876. [Google Scholar] [CrossRef] [PubMed]
- Docker, B.B.; Hubble, T.C.T. Quantifying root-reinforcement of river bank soils by four Australian tree species. Geomorphology 2008, 100, 401–418. [Google Scholar] [CrossRef]
- De Baets, S.; Poesen, J.; Reubens, B.; Wemans, K.; De Baerdemaeker, J.; Muys, B. Root tensile strength and root distribution of typical Mediterranean plant species and their contribution to soil shear strength (vol 305, pg 207, 2008). Plant Soil 2018, 426, 429–430. [Google Scholar] [CrossRef]
- Lee, J.T.; Chu, M.Y.; Lin, Y.S.; Kung, K.N.; Lin, W.C.; Lee, M.J. Root Traits and Biomechanical Properties of Three Tropical Pioneer Tree Species for Forest Restoration in Landslide Areas. Forests 2020, 11, 179. [Google Scholar] [CrossRef]
- Assefa, D.; Godbold, D.L.; Belay, B.; Abiyu, A.; Rewald, B. Fine Root Morphology, Biochemistry and Litter Quality Indices of Fast- and Slow-growing Woody Species in Ethiopian Highland Forest. Ecosystems 2018, 21, 482–494. [Google Scholar] [CrossRef]
- Wu, Z.; Leung, A.K.; Boldrin, D.; Ganesan, S.P. Variability in root biomechanics of Chrysopogon zizanioides for soil eco-engineering solutions. Sci. Total Environ. 2021, 776, 12. [Google Scholar] [CrossRef]
- Fan, C.C.; Lu, J.Z.; Chen, H.H. The pullout resistance of plant roots in the field at different soil water conditions and root geometries. Catena 2021, 207, 10. [Google Scholar] [CrossRef]
- Yang, Q.H.; Zhang, C.B.; Liu, P.C.; Jiang, J. The Role of Root Morphology and Pulling Direction in Pullout Resistance of Alfalfa Roots. Front. Plant Sci. 2021, 12, 8. [Google Scholar] [CrossRef] [PubMed]
- Mao, Z.J.; Bi, Y.L.; Geng, M.M.; An, N. Pull-out characteristics of herbaceous roots of alfalfa on the loess in different growth stages and their impacts on slope stability. Soil Tillage Res. 2023, 225, 32. [Google Scholar] [CrossRef]
- Mickovski, S.B.; Bransby, M.F.; Bengough, A.G.; Davies, M.C.R.; Hallett, P.D. Resistance of simple plant root systems to uplift loads. Can. Geotech. J. 2010, 47, 78–95. [Google Scholar] [CrossRef]
- Kamchoom, V.; Leung, A.K.; Ng, C.W.W. Effects of root geometry and transpiration on pull-out resistance. Geotech. Lett. 2014, 4, 330–336. [Google Scholar] [CrossRef]
- Lee, J.T.; Yen, L.Z.; Lee, M.J. Wind affects the growth, root anchorage and tensile strength of Australian pine (Casuarina equisetifolia) seedlings. J. For. Res. 2019, 24, 219–229. [Google Scholar] [CrossRef]
- De Baets, S.; Poesen, J.; Reubens, B.; Muys, B.; De Baerdemaeker, J.; Meersmans, J. Methodological framework to select plant species for controlling rill and gully erosion: Application to a Mediterranean ecosystem. Earth Surf. Process Landf. 2009, 34, 1374–1392. [Google Scholar] [CrossRef]
- Wang, B.; Li, P.P.; Huang, C.H.; Liu, G.B.; Yang, Y.F. Effects of root morphological traits on soil detachment for ten herbaceous species in the Loess Plateau. Sci. Total Environ. 2021, 754, 9. [Google Scholar] [CrossRef] [PubMed]
- Wang, B.; Zhang, G.H. Quantifying the Binding and Bonding Effects of Plant Roots on Soil Detachment by Overland Flow in 10 Typical Grasslands on the Loess Plateau. Soil Sci. Soc. Am. J. 2017, 81, 1567–1576. [Google Scholar] [CrossRef]
- Liu, Y.J.; Wang, T.W.; Cai, C.F.; Li, Z.X.; Cheng, D.B. Effects of vegetation on runoff generation, sediment yield and soil shear strength on road-side slopes under a simulation rainfall test in the Three Gorges Reservoir Area, China. Sci. Total Environ. 2014, 485, 93–102. [Google Scholar] [CrossRef] [PubMed]
- Galloway, A.F.; Pedersen, M.J.; Merry, B.; Marcus, S.E.; Blacker, J.; Benning, L.G.; Field, K.J.; Knox, J.P. Xyloglucan is released by plants and promotes soil particle aggregation. New Phytol. 2018, 217, 1128–1136. [Google Scholar] [CrossRef]
- Mamo, M.; Bubenzer, G. Detachment rate, soil erodibility, and soil strength as influenced by living plant roots part I: Laboratory study. Trans. ASAE 2001, 44, 1167. [Google Scholar] [CrossRef]










| Bulk Density (g·cm−3) | Water Holding Capacity (mL·kg−1) | Total Porosity (%) | Available N (μg·g−1) | Available P (μg·g−1) | Available K (μg·g−1) | pH | Total Organic Carbon (%) |
|---|---|---|---|---|---|---|---|
| 0.59 | 59.68 | 66.38 | 98.87 | 12.51 | 263.07 | 5.57 | 15.69 |
| Index | Solution Concentration (mM) | Plant | |||
|---|---|---|---|---|---|
| O. biennis | P. frutescens | E. sphaerocephalus | L. fulgens | ||
| SD index | 0 | 0.00 ± 0.000 d | 0.00 ± 0.000 d | 0.00 ± 0.000 d | 0.00 ± 0.000 d |
| 50 | 16.67 ± 0.304 c | 58.33 ± 0.936 c | 8.33 ± 0.403 c | 12.50 ± 1.047 c | |
| 100 | 27.08 ± 0.347 b | 77.08 ± 1.699 b | 25.00 ± 0.851 b | 25.00 ± 0.487 b | |
| 200 | 58.33 ± 1.433 a | 80.21 ± 0.972 a | 52.08 ± 0.420 a | 58.33 ± 0.790 a | |
| SD rate | 0 | 0.00 ± 0.000 d | 0.00 ± 0.000 c | 0.00 ± 0.000 d | 0.00 ± 0.000 d |
| 50 | 16.67 ± 0.267 c | 58.33 ± 1.175 b | 8.33 ± 0.263 c | 12.50 ± 0.482 c | |
| 100 | 45.83 ± 0.906 b | 100.00 ± 0.000 a | 41.67 ± 0.634 b | 41.67 ± 0.866 b | |
| 200 | 83.33 ± 0.839 a | 100.00 ± 0.000 a | 75.00 ± 0.644 a | 79.17 ± 0.509 a | |
| Root Structure Type | Plant | Root Description |
|---|---|---|
| R-type | O. biennis E. sphaerocephalus | The main root is obvious and contains a large number of inclined roots |
| M-type | P. frutescens L. fulgens | Abundant fibrous roots, dense root system in shallow soils |
| Index | Solution Concentration (mM) | Plant | |||
|---|---|---|---|---|---|
| O. biennis | P. frutescens | E. sphaerocephalus | L. fulgens | ||
| Average tensile resistance (N) | 0 | 5.95 ± 4.13 abcde | 14.30 ± 10.14 ab | 1.88 ± 1.31 cde | 2.77 ± 1.65 cde |
| 50 | 5.41 ± 3.92 bcde | 15.00 ± 8.98 a | 1.29 ± 1.05 e | 2.68 ± 1.61 cde | |
| 100 | 3.10 ± 2.86 cde | 11.54 ± 8.69 abc | 1.23 ± 1.01 e | 1.98 ± 0.90 cde | |
| 200 | 2.43 ± 2.77 cde | 11.15 ± 9.41 abcd | 1.01 ± 0.80 e | 1.48 ± 1.02 de | |
| Average tensile strength (MPa) | 0 | 26.15 ± 5.73 c | 73.48 ± 2.32 a | 8.13 ± 1.20 e | 13.45 ± 2.79 cde |
| 50 | 22.25 ± 5.76 cd | 77.82 ± 15.25 a | 5.52 ± 0.60 e | 13.85 ± 2.88 cde | |
| 100 | 12.36 ± 3.98 de | 52.88 ± 9.47 b | 5.15 ± 1.66 e | 11.20 ± 2.58 de | |
| 200 | 8.55 ± 4.90 e | 44.65 ± 18.33 b | 4.45 ± 0.71 e | 6.42 ± 0.84 e | |
| Average elongation rate (%) | 0 | 11.95 ± 2.56 cdef | 10.29 ± 5.85 defg | 17.77 ± 3.10 b | 22.47 ± 3.04 a |
| 50 | 10.42 ± 2.67 defg | 9.68 ± 3.16 defg | 16.25 ± 1.74 bc | 23.46 ± 1.79 a | |
| 100 | 9.15 ± 2.43 defg | 8.53 ± 1.42 efg | 14.08 ± 1.31 bcd | 18.82 ± 1.93 ab | |
| 200 | 7.63 ± 3.02 fg | 5.56 ± 2.14 g | 12.49 ± 2.00 cdef | 12.92 ± 0.70 cde | |
Disclaimer/Publisher’s Note: The statements, opinions and data contained in all publications are solely those of the individual author(s) and contributor(s) and not of MDPI and/or the editor(s). MDPI and/or the editor(s) disclaim responsibility for any injury to people or property resulting from any ideas, methods, instructions or products referred to in the content. |
© 2024 by the authors. Licensee MDPI, Basel, Switzerland. This article is an open access article distributed under the terms and conditions of the Creative Commons Attribution (CC BY) license (https://creativecommons.org/licenses/by/4.0/).
Share and Cite
Jian, J.; Su, W.; Liu, Y.; Wang, M.; Chen, X.; Wang, E.; Yan, J. Effects of Saline–Alkali Composite Stress on the Growth and Soil Fixation Capacity of Four Herbaceous Plants. Agronomy 2024, 14, 1556. https://doi.org/10.3390/agronomy14071556
Jian J, Su W, Liu Y, Wang M, Chen X, Wang E, Yan J. Effects of Saline–Alkali Composite Stress on the Growth and Soil Fixation Capacity of Four Herbaceous Plants. Agronomy. 2024; 14(7):1556. https://doi.org/10.3390/agronomy14071556
Chicago/Turabian StyleJian, Jingjing, Wenxin Su, Yule Liu, Mengqi Wang, Xiangwei Chen, Enheng Wang, and Junxin Yan. 2024. "Effects of Saline–Alkali Composite Stress on the Growth and Soil Fixation Capacity of Four Herbaceous Plants" Agronomy 14, no. 7: 1556. https://doi.org/10.3390/agronomy14071556
APA StyleJian, J., Su, W., Liu, Y., Wang, M., Chen, X., Wang, E., & Yan, J. (2024). Effects of Saline–Alkali Composite Stress on the Growth and Soil Fixation Capacity of Four Herbaceous Plants. Agronomy, 14(7), 1556. https://doi.org/10.3390/agronomy14071556
