The Soil Ecological Stoichiometry Characteristics of the Highest Latitude Areas in the Main Tea-Producing Regions of China
Abstract
1. Introduction
2. Materials and Methods
2.1. Summary of the Study Region
2.2. Experiment Design
2.3. Analytical Parameters and Methods
2.4. Data Compilation and Analysis
3. Results
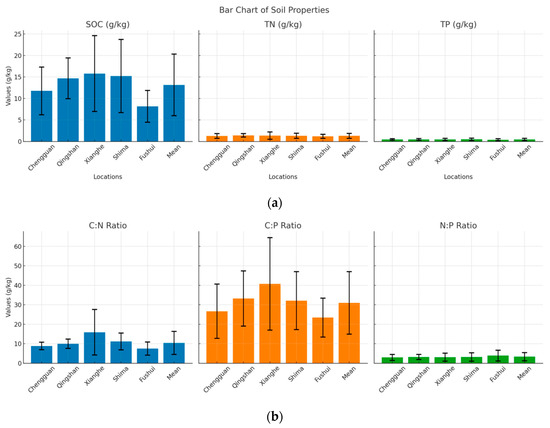
3.1. Soil C, N, and P Content and Ecological Stoichiometry Characteristics in Tea Gardens from Different Main Producing Areas
3.2. Soil C, N, P Content, and Ecological Stoichiometry Characteristics at Different Altitudes
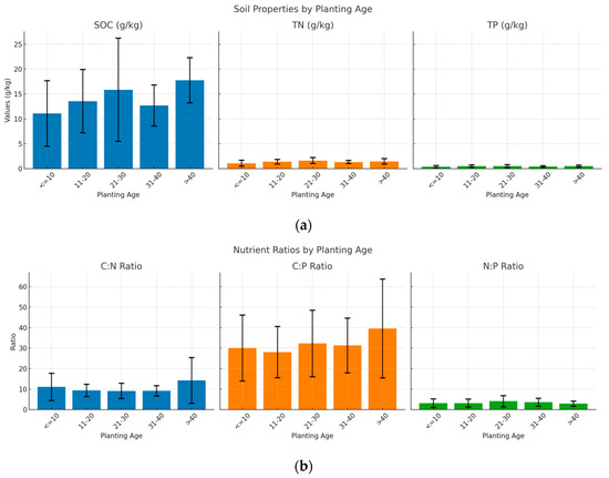
3.3. Soil C, N, P Content, and Ecological Stoichiometry Characteristics at Different Planting Durations
3.4. Effects of Attapulgite Application on the Contribution Rate of Organic Carbon, Inorganic Carbon, and Total Nitrogen in Aggregates
4. Discussion
4.1. Soil C, N, and P Content Characteristics
4.2. Effect of Attapulgite Soil Application on Carbon and Nitrogen Content of Sandy Soil Aggregates
5. Conclusions
5.1. Summary
5.2. Conclusions
Author Contributions
Funding
Data Availability Statement
Conflicts of Interest
References
- Yang, Y.; Liu, B.R.; An, S.S. Ecological stoichiometry in leaves, roots, litters and soil among different plant communities in a desertified region of Northern China. Catena 2018, 166, 328–338. [Google Scholar] [CrossRef]
- Zhang, G.; Zhang, P.; Peng, S.; Chen, Y.; Cao, Y. The coupling of leaf, litter, and soil nutrients in warm temperate forests in northwestern China. Sci. Rep. 2017, 7, 11754. [Google Scholar] [PubMed]
- Luo, X.; Hou, E.; Chen, J.; Li, J.; Zhang, L.; Zang, X.; Wen, D. Dynamics of carbon, nitrogen, and phosphorus stocks and stoichiometry resulting from conversion of primary broadleaf forest to plantation and secondary forest in subtropical China. Catena 2020, 193, 104606. [Google Scholar] [CrossRef]
- Buchkowski, R.W.; Schmitz, O.J.; Bradford, M.A. Microbial stoichiometry overrides biomass as a regulator of soil carbon and nitrogen cycling. Ecology 2015, 96, 1139–1149. [Google Scholar] [PubMed]
- Zechmeister-Boltenstern, S.; Keiblinger, K.M.; Mooshammer, M.; Peñuelas, J.; Richter, A.; Sardans, J.; Wanek, W. The application of ecological stoichiometry to plant–microbial–soil organic matter transformations. Ecol. Monogr. 2015, 85, 133–155. [Google Scholar] [CrossRef]
- Wang, M.; Gong, Y.; Lafleur, P.; Wu, Y. Patterns and drivers of carbon, nitrogen and phosphorus stoichiometry in Southern China’s grasslands. Sci. Total Environ. 2021, 785, 147201. [Google Scholar] [CrossRef]
- Yang, Y.; Luo, Y. Carbon: Nitrogen stoichiometry in forest ecosystems during stand development. Glob. Ecol. Biogeogr. 2011, 20, 354–361. [Google Scholar] [CrossRef]
- Wang, Y.; Ren, Z.; Ma, P.; Wang, Z.; Niu, D.; Fu, H.; Elser, J.J. Effects of grassland degradation on ecological stoichiometry of soil ecosystems on the Qinghai-Tibet Plateau. Sci. Total Environ. 2020, 722, 137910. [Google Scholar] [CrossRef] [PubMed]
- Huang, C.Y. Pedology; Chinese Agricultural Press: Beijing, China, 2000. [Google Scholar]
- Han, G.; Tang, Y.; Liu, M.; Van Zwieten, L.; Yang, X.; Yu, C.; Wang, H.; Song, Z. Carbon-nitrogen isotope coupling of soil organic matter in a karst region under land use change, Southwest China. Agric. Ecosyst. Environ. 2020, 300, 107027. [Google Scholar]
- Jing, Z.; Chen, R.; Wei, S.; Feng, Y.; Zhang, J.; Lin, X. Response and feedback of C mineralization to P availability driven by soil microorganisms. Soil Biol. Biochem. 2017, 105, 111–120. [Google Scholar] [CrossRef]
- Shen, J.; Yuan, L.; Zhang, J.; Li, H.; Bai, Z.; Chen, X. Phosphorus dynamics: From soil to plant. Plant Physiol. 2011, 156, 997–1005. [Google Scholar] [CrossRef] [PubMed]
- Zhang, F.; Liu, Y.; Shi, C.; Zhao, Y.; Xiao, J.; Wang, X. Soil carbon, nitrogen, phosphorus content and their ecological stoichiometric characteristics in different plantation ages. Ecol. Environ. Sci. 2021, 30, 485–491. [Google Scholar]
- Yang, X.; Chen, L.; Zheng, X. Ecological stoichiometry characterization of soil carbon, nitrogen, and phosphorus of Pinus tabuliformis plantations at different stand ages. Sci. Soil Water Conserv. 2021, 19, 108–116. [Google Scholar]
- Shasha, Z.; Aiqin, L.; Huirong, W.; Jingjing, W.A.N.G.; Xiaoniu, X.U. Ecological stoichi-ometry of soil carbon, nitrogen and phosphorus in Cunninghamialanceolata plantation across an elevation gradient. Ecol. Environ. Sci. 2020, 29, 97–104. [Google Scholar]
- Abrar, M.M.; Xu, H.; Aziz, T.; Sun, N.; Mustafa, A.; Aslam, M.W.; Shah, S.A.; Mehmood, K.; Zhou, B.; Ma, X.; et al. Carbon, nitrogen, and phosphorus stoichiometry mediate sensitivity of carbon stabilization mechanisms along with surface layers of a mollisol after long-term fertilization in Northeast China. J. Soils Sediments 2021, 21, 705–723. [Google Scholar] [CrossRef]
- Su, L.; Du, H.; Zeng, F.; Peng, W.; Rizwan, M.; Núñez-Delgado, A.; Zhou, Y.; Song, T.; Wang, H. Soil and fine roots ecological stoichiometry in different vegetation restoration stages in a karst area, southwest China. J. Environ. Manag. 2019, 252, 109694. [Google Scholar] [CrossRef]
- Wang, Z.; Geng, Y.; Liang, T. Optimization of reduced chemical fertilizer use in tea gardens based on the assessment of related environmental and economic benefits. Sci. Total Environ. 2020, 713, 136439. [Google Scholar] [CrossRef] [PubMed]
- de la Paix Mupenzi, J.; Li, L.; Ge, J.; Varenyam, A.; Habiyaremye, G.; Theoneste, N.; Emmanuel, K. Assessment of soil degradation and chemical compositions in Rwandan tea-growing areas. Geosci. Front. 2011, 2, 599–607. [Google Scholar] [CrossRef][Green Version]
- Deng, Y.-S.; Xia, D.; Cai, C.-F.; Ding, S.-W. Effects of land uses on soil physic-chemical properties and erodibility in collapsing-gully alluvial fan of Anxi County, China. J. Integr. Agric. 2016, 15, 1863–1873. [Google Scholar] [CrossRef]
- Ping, X.; Liyun, Y.; Moucheng, L.; Fei, P. Soil Characteristics and Nutrients in Different Tea Garden Types in Fujian Province, China. J. Resour. Ecol. 2014, 5, 356–363. [Google Scholar] [CrossRef]
- Yuan, D.; Baolin, Z. Changes in tea biochemical indexes and soil physicochemical properties at different altitude ranges of Lushan Mountain. J. Anhui Agric. Univ. 2017, 44, 959–962. [Google Scholar]
- Rukun, L. Analytical Methods for Soil and Agro-Chemistry; China Agricultural Science and Technology Press: Beijing, China, 2000; pp. 106–168. [Google Scholar]
- Shrivastav, P.; Prasad, M.; Singh, T.B.; Yadav, A.; Goyal, D.; Ali, A.; Dantu, P.K. Role of nutrients in plant growth and development. In Contaminants in Agriculture, Sources, Impacts and Management; Springer: Cham, Switzerland, 2020; pp. 43–59. [Google Scholar]
- Tang, S.; Pan, W.; Tang, R.; Ma, Q.; Zhou, J.; Zheng, N.; Wang, J.; Sun, T.; Wu, L. Effects of balanced and unbalanced fertilisation on tea quality, yield, and soil bacterial community. Appl. Soil Ecol. 2022, 175, 104442. [Google Scholar] [CrossRef]
- Tian, H.; Chen, G.; Zhang, C.; Melillo, J.M.; Hall, C.A. Pattern and variation of C∶N∶P ratios in China’s soils: A synthesis of observational data. Biogeochemistry 2010, 98, 139–151. [Google Scholar] [CrossRef]
- Yang, Y.P.; Ruan, R.J.; Yin, Y.X.; Cao, C.H.; Zhu, Z.Y.; Zhang, Z.J.; Jiang, J.X. Current situation analysis of soil nutrient of main tea gardens in Jiangxi. Acta Agric. Jiangxi 2013, 25, 66–70. [Google Scholar]
- NY/T 853-2004; Environmental Requirement for Growing Area of Tea. Standards Press of China: Beijing, China, 2004.
- Li, C.; Xiao, C.; Li, M.; Xu, L.; He, N. A global synthesis of patterns in soil organic matter and temperature sensitivity along the altitudinal gradient. Front. Environ. Sci. 2022, 10, 959292. [Google Scholar] [CrossRef]
- Dieleman, W.I.; Venter, M.; Ramachandra, A.; Krockenberger, A.K.; Bird, M.I. Soil carbon stocks vary predictably with altitude in tropical forests: Implications for soil carbon storage. Geoderma 2013, 10, 59–67. [Google Scholar] [CrossRef]
- Wang, S.; Li, T.; Zheng, Z.; Zhang, X.; Chen, H.Y. Soil organic carbon and nutrients associated with aggregate fractions in a chronosequence of tea plantations. Ecol. Indic. 2019, 101, 444–452. [Google Scholar] [CrossRef]
- Wang, S.; Zhang, Z.; Ye, S. Response of soil fertility characteristics in water-stable aggregates to tea cultivation age in hilly region of southern Guangxi, China. Catena 2020, 191, 104578. [Google Scholar] [CrossRef]
- Lorenz, K.; Lal, R. Soil organic carbon sequestration in agroforestry systems: A review. Agron. Sustain. Dev. 2014, 34, 443–454. [Google Scholar] [CrossRef]
- He, S.; Zheng, Z.; Zhu, R. Long-term tea plantation effects on composition and stabilization of soil organic matter in Southwest China. Catena 2021, 199, 105132. [Google Scholar] [CrossRef]
- Wang, S.; Du, L.; Ye, S. Responses of soil aggregate-associated organic carbon and nutrients to tea cultivation age in southern Guangxi, China. Chin. J. Appl. Ecol. 2020, 31, 837–844. [Google Scholar]
- Wang, S.; Tang, L.; Ye, S. Dynamics of soil bacterial community diversity and composition at aggregate scales in a chronosequence of tea gardens. Catena 2021, 206, 105486. [Google Scholar] [CrossRef]
- Li, J.; Du, J.; Zhong, S.; Ci, E.; Wei, C. Changes in the profile properties and chemical weathering characteristics of cultivated soils affected by anthropic activities. Sci. Rep. 2021, 11, 20822. [Google Scholar] [CrossRef] [PubMed]
- McNeill, A.; Unkovich, M. The nitrogen cycle in terrestrial ecosystems. Nutr. Cycl. Terr. Ecosyst. 2007, 10, 37–64. [Google Scholar]
- Chomel, M.; Guittonny-Larchevêque, M.; Fernandez, C.; Gallet, C.; DesRochers, A.; Paré, D.; Jackson, B.G.; Baldy, V. Plant secondary metabolites: A key driver of litter decomposition and soil nutrient cycling. J. Ecol. 2016, 104, 1527–1541. [Google Scholar] [CrossRef]
- Xue, H.; Lan, X.; Liang, H.; Zhang, Q. Characteristics and environmental factors of stoichiometric homeostasis of soil microbial biomass carbon, nitrogen and phosphorus in China. Sustainability 2019, 11, 2804. [Google Scholar] [CrossRef]
- Fontaine, S.; Hénault, C.; Aamor, A.; Bdioui, N.; Bloor, J.M.; Maire, V.; Mary, B.; Revaillot, S.; Maron, P.A. Fungi mediate long term sequestration of carbon and nitrogen in soil through their priming effect. Soil Biol. Biochem. 2011, 43, 86–96. [Google Scholar] [CrossRef]
- Hu, B.; Xie, M.; Li, H.; Zhao, W.; Hu, J.; Jiang, Y.; Ji, W.; Li, S.; Hong, Y.; Yang, M.; et al. Stoichiometry of soil carbon, nitrogen, and phosphorus in farmland soils in southern China: Spatial pattern and related dominates. Catena 2022, 217, 106468. [Google Scholar] [CrossRef]
- Camenzind, T.; Hättenschwiler, S.; Treseder, K.K.; Lehmann, A.; Rillig, M.C. Nutrient limitation of soil microbial processes in tropical forests. Ecol. Monogr. 2018, 88, 4–21. [Google Scholar] [CrossRef]
- Averill, C.; Waring, B. Nitrogen limitation of decomposition and decay: How can it occur? Glob. Chang. Biol. 2018, 24, 1417–1427. [Google Scholar] [CrossRef]
- Coonan, E.C.; Kirkby, C.A.; Kirkegaard, J.A.; Amidy, M.R.; Strong, C.L.; Richardson, A.E. Microorganisms and nutrient stoichiometry as mediators of soil organic matter dynamics. Nutr. Cycl. Agroecosystems 2020, 117, 273–298. [Google Scholar] [CrossRef]
- Li, Y.; Wu, J.; Liu, S.; Shen, J.; Huang, D.; Su, Y.; Wei, W.; Syers, J.K. Is the C:N:P stoichiometry in soil and soil microbial biomass related to the landscape and land use in southern subtropical China? Glob. Biogeochem. Cycles 2012, 26, 1–14. [Google Scholar] [CrossRef]
- Cui, Y.; Bing, H.; Moorhead, D.L.; Delgado-Baquerizo, M.; Ye, L.; Yu, J.; Zhang, S.; Wang, X.; Peng, S.; Guo, X.; et al. Ecoenzymatic stoichiometry reveals widespread soil phosphorus limitation to microbial metabolism across Chinese forests. Commun. Earth Environ. 2022, 3, 184. [Google Scholar] [CrossRef]
- Mao, L.; Ye, S.; Wang, S. Soil nutrient contents and stoichiometry within aggregate size classes varied with tea plantation age and soil depth in southern Guangxi in China. Soil 2022, 8, 487–505. [Google Scholar] [CrossRef]





Disclaimer/Publisher’s Note: The statements, opinions and data contained in all publications are solely those of the individual author(s) and contributor(s) and not of MDPI and/or the editor(s). MDPI and/or the editor(s) disclaim responsibility for any injury to people or property resulting from any ideas, methods, instructions or products referred to in the content. |
© 2024 by the authors. Licensee MDPI, Basel, Switzerland. This article is an open access article distributed under the terms and conditions of the Creative Commons Attribution (CC BY) license (https://creativecommons.org/licenses/by/4.0/).
Share and Cite
Niu, Z.; Zhang, Y.; Han, J.; Zhao, Y.; Zhu, X.; He, P. The Soil Ecological Stoichiometry Characteristics of the Highest Latitude Areas in the Main Tea-Producing Regions of China. Agronomy 2024, 14, 1359. https://doi.org/10.3390/agronomy14071359
Niu Z, Zhang Y, Han J, Zhao Y, Zhu X, He P. The Soil Ecological Stoichiometry Characteristics of the Highest Latitude Areas in the Main Tea-Producing Regions of China. Agronomy. 2024; 14(7):1359. https://doi.org/10.3390/agronomy14071359
Chicago/Turabian StyleNiu, Ziru, Yang Zhang, Jichang Han, Yutong Zhao, Xiankui Zhu, and Peng He. 2024. "The Soil Ecological Stoichiometry Characteristics of the Highest Latitude Areas in the Main Tea-Producing Regions of China" Agronomy 14, no. 7: 1359. https://doi.org/10.3390/agronomy14071359
APA StyleNiu, Z., Zhang, Y., Han, J., Zhao, Y., Zhu, X., & He, P. (2024). The Soil Ecological Stoichiometry Characteristics of the Highest Latitude Areas in the Main Tea-Producing Regions of China. Agronomy, 14(7), 1359. https://doi.org/10.3390/agronomy14071359

