Precision Inter-Row Relative Positioning Method by Using 3D LiDAR in Planted Forests and Orchards
Abstract
1. Introduction
- (1)
- Mechanical vibration has no effect on sensor accuracy.
- (2)
- There is no significant magnetic field change in the surroundings.
- (3)
- Temperature changes have no effect on the sensor.
2. Materials and Methods
2.1. Composition and Electronic Hardware System of Information Collection Vehicle
2.1.1. Chassis Walking System
2.1.2. Sensor Module
2.1.3. Processing Module
2.1.4. Power Module
2.1.5. Positioning System
2.2. The Fusion Positioning Method Based on EFK
2.2.1. Kinematic Model
2.2.2. Measurement Model
2.2.3. EKF Fusion Positioning Method Based on Encoder and IMU Data
2.3. Methods for Obtaining the Vertical Position of the Canopy Body Center
2.4. Principle of Accurate Positioning at the Inter-Row Canopy
2.5. Experimental Design
2.5.1. Positioning Accuracy
2.5.2. Vertical Coordinates of Canopy Body Centers
2.5.3. Canopy Length
2.5.4. Orchard Validation
2.6. Data Processing
3. Results
3.1. Motion Trajectories Obtained by the Four Positioning Methods
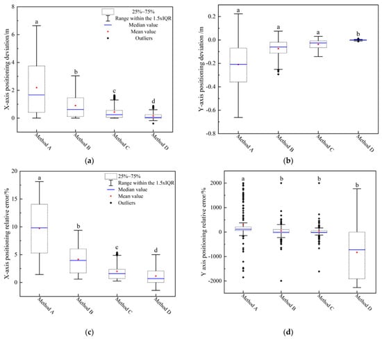
3.2. Deviation and Relative Error of Positioning
3.3. Heading Deviation
3.4. Body Center Vertical Coordinates
3.5. Relative Error of Maximum Canopy Length Measurement
3.5.1. Relative Error of Maximum Canopy Length Measurements for the Four Positioning Methods
3.5.2. Relative Errors of Maximum Canopy Length Measurements for the Four Positioning Methods
3.6. Orchard Experiment
4. Discussion
5. Conclusions
- (1)
- In the campus test area, the positioning at the inter-row canopy for method D is relatively small and does not increase with inter-row travel distance. The lateral positioning at the individual tree canopies increased with the increase in driving distance. Among them, the deviation of inter-row lateral and vertical positioning at the canopy was less than 0.22 m and 0.15 m, respectively, the heading deviation was less than 4.35°, and the relative error of canopy length measurement was less than 5.68%. It indicates that the method has high positioning accuracy on flat terrain.
- (2)
- The orchard experiments showed that the positioning deviations were larger than those on the campus due to the influence of orchard terrain or mechanical vibration. Hence, the average inter-row lateral and vertical positioning deviations at the canopy were 0.1 m and 0.2 m, the average heading deviation was 6.75°, and the average relative error of canopy length measurement was 4.35%. It indicates that the positioning accuracy of the method is still very high on rugged terrain.
- (3)
- The method is suitable for 3D crops with standardized planting and gaps between canopies, which has significant limitations. The method can solve the problem of low accuracy of positioning and canopy length measurement in 3D crops with poor GPS signals. It has great potential for application.
Author Contributions
Funding
Data Availability Statement
Acknowledgments
Conflicts of Interest
Appendix A
Appendix A.1. Error Sources and Calibration of Encoder
| Active Edge | Level of Opposite Signals * | TI1FP1 Signal | TI2FP2 Signal | ||
|---|---|---|---|---|---|
| Increase | Decrease | Increase | Decrease | ||
| Count only at TI1 | High | — | + | \ | \ |
| Lower | + | — | \ | \ | |
| Count only at TI2 | High | \ | \ | + | — |
| Lower | \ | \ | — | + | |
| Count at both TI1 and TI2 | High | — | + | + | — |
| Lower | + | — | — | + | |

| Measuring Method | Method 1 | Method 2 | Method 3 |
|---|---|---|---|
| Data | 8.56 ± 0.73 a | 2.23 ± 0.21 b | 0.19 ± 0.03 c |
Appendix A.2. Error Sources and Calibration of IMU
| Type | Elliptical Center Coordinates | Elliptical Half-Axis Length | ||||
|---|---|---|---|---|---|---|
| a | b | c | ||||
| Accelerometer | 0.0092 g | −0.0158 g | 1.0035 g | 0.0017 | 0.0019 | 0.0117 |
| Magnetometer | −2.4917 | 1.2728 | 0.6507 | 74.9957 | 72.1410 | 72.5667 |

Appendix B
Appendix B.1. A Positioning Method Based on EKF
Appendix B.2. Prediction and Observation Equations Based on EKF
Appendix B.3. Encoder and IMU Fusion Positioning Method Based on EKF
References
- Chowdhury, M.; Thomas, E.V.; Jha, A.; Kushwah, A.; Kurmi, R.; Khura, T.K.; Sarkar, P.; Patra, K. An Automatic Pressure Control System for Precise Spray Pattern Analysis on Spray Patternator. Comput. Electron. Agric. 2023, 214, 108287. [Google Scholar] [CrossRef]
- Rogers, H.; De La Iglesia, B.; Zebin, T.; Cielniak, G.; Magri, B. An Automated Precision Spraying Evaluation System. In Proceedings of the Lecture Notes in Computer Science (Including Subseries Lecture Notes in Artificial Intelligence and Lecture Notes in Bioinformatics), Cambridge, UK, 5–8 September 2023; Volume 14136 LNAI. [Google Scholar]
- Kolendo, Ł.; Kozniewski, M.; Ksepko, M.; Chmur, S.; Neroj, B. Parameterization of the Individual Tree Detection Method Using Large Dataset from Ground Sample Plots and Airborne Laser Scanning for Stands Inventory in Coniferous Forest. Remote Sens. 2021, 13, 2753. [Google Scholar] [CrossRef]
- Wu, H.; Wang, S. Design and Optimization of Intelligent Orchard Frost Prevention Machine under Low-Carbon Emission Reduction. J. Clean. Prod. 2023, 433, 139808. [Google Scholar] [CrossRef]
- Li, L.; He, X.; Song, J.; Wang, X.; Jia, X.; Liu, C. Design and Experiment of Automatic Profiling Orchard Sprayer Based on Variable Air Volume and Flow Rate. Nongye Gongcheng Xuebao/Trans. Chin. Soc. Agric. Eng. 2017, 33, 70–76. [Google Scholar]
- Qin, J.; Wang, W.; Mao, W.; Yuan, M.; Liu, H.; Ren, Z.; Shi, S.; Yang, F. Research on a Map-Based Cooperative Navigation System for Spraying–Dosing Robot Group. Agronomy 2022, 12, 3114. [Google Scholar] [CrossRef]
- Gao, Z.-Q.; Zhao, C.-X.; Cheng, J.-J.; Zhang, X.-C. Tree Structure and 3-D Distribution of Radiation in Canopy of Apple Trees with Different Canopy Structures in China. Chin. J. Eco-Agric. 2012, 20, 63–68. [Google Scholar] [CrossRef]
- Khemira, H.; Schrader, L.E.; Peryea, F.J.; Kammereck, R.; Burrows, R. Effect of Rootstock on Nitrogen and Water Use in Apple Trees. HortScience 2019, 32, 486A-486. [Google Scholar] [CrossRef]
- Liu, L.; Wang, J.; Mao, W.; Shi, G.; Zhang, X.; Jiang, H. Canopy Information Acquisition Method of Fruit Trees Based on Fused Sensor Array. Nongye Jixie Xuebao/Trans. Chin. Soc. Agric. Mach. 2018, 49, 359. [Google Scholar]
- Jiang, H.; Liu, L.; Liu, P.; Wang, J.; Zhang, X.; Gao, D. Online Calculation Method of Fruit Trees Canopy Volume for Precision Spray. Nongye Jixie Xuebao/Trans. Chin. Soc. Agric. Mach. 2019, 50, 120–129. [Google Scholar]
- Lan, Y.; Yan, Y.; Wang, B.; Song, C.; Wang, G. Current Status and Future Development of the Key Technologies for Intelligent Pesticide Spraying Robots. Nongye Gongcheng Xuebao/Trans. Chin. Soc. Agric. Eng. 2022, 38, 30–40. [Google Scholar]
- Saqib, N. Positioning—A Literature Review. PSU Res. Rev. 2021, 5, 141–169. [Google Scholar] [CrossRef]
- Yao, H.; Liang, X.; Chen, R.; Wang, X.; Qi, H.; Chen, L.; Wang, Y. A Benchmark of Absolute and Relative Positioning Solutions in GNSS Denied Environments. IEEE Internet Things J. 2024, 11, 4243–4273. [Google Scholar] [CrossRef]
- Perez-Ruiz, M.; Upadhyaya, S. GNSS in Precision Agricultural Operations. In New Approach of Indoor and Outdoor Localization Systems; Intech: Houston, TX, USA, 2012. [Google Scholar]
- Jin, S.; Wang, Q.; Dardanelli, G. A Review on Multi-GNSS for Earth Observation and Emerging Applications. Remote Sens. 2022, 14, 3930. [Google Scholar] [CrossRef]
- Perez-Ruiz, M.; Martínez-Guanter, J.; Upadhyaya, S.K. High-Precision GNSS for Agricultural Operations. In GPS and GNSS Technology in Geosciences; Elsevier: Amsterdam, The Netherlands, 2021. [Google Scholar]
- de Ponte Müller, F. Survey on Ranging Sensors and Cooperative Techniques for Relative Positioning of Vehicles. Sensors 2017, 17, 271. [Google Scholar] [CrossRef]
- Mohanty, A.; Wu, A.; Bhamidipati, S.; Gao, G. Precise Relative Positioning via Tight-Coupling of GPS Carrier Phase and Multiple UWBs. IEEE Robot. Autom. Lett. 2022, 7, 5757–5762. [Google Scholar] [CrossRef]
- Teso-Fz-Betoño, D.; Zulueta, E.; Sanchez-Chica, A.; Fernandez-Gamiz, U.; Teso-Fz-Betoño, A.; Lopez-Guede, J.M. Neural Architecture Search for the Estimation of Relative Positioning of the Autonomous Mobile Robot. Log. J. IGPL 2023, 31, 634–647. [Google Scholar] [CrossRef]
- Xia, Y.; Lei, X.; Pan, J.; Chen, L.W.; Zhang, Z.; Lyu, X. Research on Orchard Navigation Method Based on Fusion of 3D SLAM and Point Cloud Positioning. Front. Plant Sci. 2023, 14, 1207742. [Google Scholar] [CrossRef]
- Chen, B.; Zhao, H.; Zhu, R.; Hu, Y. Marked-LIEO: Visual Marker-Aided LiDAR/IMU/Encoder Integrated Odometry. Sensors 2022, 22, 4749. [Google Scholar] [CrossRef]
- Liu, H.; Duan, Y.; Shen, Y. Real-Time Navigation Method of Orchard Mobile Robot Based on Laser Radar Dual Source Information Fusion. Nongye Jixie Xuebao/Trans. Chin. Soc. Agric. Mach. 2023, 54, 249–258. [Google Scholar]
- Chen, M.; Tang, Y.; Zou, X.; Huang, Z.; Zhou, H.; Chen, S. 3D Global Mapping of Large-Scale Unstructured Orchard Integrating Eye-in-Hand Stereo Vision and SLAM. Comput. Electron. Agric. 2021, 187, 106237. [Google Scholar] [CrossRef]
- Liu, W.; He, X.; Liu, Y.; Wu, Z.; Yuan, C.; Liu, L.; Qi, P.; Li, T. Navigation Method between Rows for Orchard Based on 3D LiDAR. Nongye Gongcheng Xuebao/Trans. Chin. Soc. Agric. Eng. 2021, 37, 165–174. [Google Scholar]
- Jiang, S.; Qi, P.; Han, L.; Liu, L.; Li, Y.; Huang, Z.; Liu, Y.; He, X. Navigation System for Orchard Spraying Robot Based on 3D LiDAR SLAM with NDT_ICP Point Cloud Registration. Comput. Electron. Agric. 2024, 220, 108870. [Google Scholar] [CrossRef]
- Jiang, A.; Ahamed, T. Navigation of an Autonomous Spraying Robot for Orchard Operations Using LiDAR for Tree Trunk Detection. Sensors 2023, 23, 4808. [Google Scholar] [CrossRef] [PubMed]
- Zhang, H.; Li, X.; Wang, L.; Liu, D.; Wang, S. Construction and Optimization of a Collaborative Harvesting System for Multiple Robotic Arms and an End-Picker in a Trellised Pear Orchard Environment. Agronomy 2024, 14, 80. [Google Scholar] [CrossRef]
- Guevara, J.; Auat Cheein, F.A.; Gené-Mola, J.; Rosell-Polo, J.R.; Gregorio, E. Analyzing and Overcoming the Effects of GNSS Error on LiDAR Based Orchard Parameters Estimation. Comput. Electron. Agric. 2020, 170, 105255. [Google Scholar] [CrossRef]
- Baltazar, A.R.; Santos, F.N.D.; De Sousa, M.L.; Moreira, A.P.; Cunha, J.B. 2D LiDAR-Based System for Canopy Sensing in Smart Spraying Applications. IEEE Access 2023, 11, 43583–43591. [Google Scholar] [CrossRef]
- Jiang, S.; Wang, S.; Yi, Z.; Zhang, M.; Lv, X. Autonomous Navigation System of Greenhouse Mobile Robot Based on 3D Lidar and 2D Lidar SLAM. Front. Plant Sci. 2022, 13, 5281. [Google Scholar] [CrossRef] [PubMed]
- Liu, L.; Liu, Y.; He, X.; Liu, W. Precision Variable-Rate Spraying Robot by Using Single 3D LIDAR in Orchards. Agronomy 2022, 12, 2509. [Google Scholar] [CrossRef]
- Liu, L.; He, X.; Liu, W.; Liu, Z.; Han, H.; Li, Y. Autonomous Navigation and Automatic Target Spraying Robot for Orchards. Smart Agric. 2022, 4, 63. [Google Scholar]
- Rivera, G.; Porras, R.; Florencia, R.; Sánchez-Solís, J.P. LiDAR Applications in Precision Agriculture for Cultivating Crops: A Review of Recent Advances. Comput. Electron. Agric. 2023, 207, 107737. [Google Scholar] [CrossRef]
- Hu, F.; Wu, G. Distributed Error Correction of EKF Algorithm in Multi-Sensor Fusion Localization Model. IEEE Access 2020, 8, 93211–93218. [Google Scholar] [CrossRef]
- Zheng, W.; Gong, G.; Tian, J.; Lu, S.; Wang, R.; Yin, Z.; Li, X.; Yin, L. Design of a Modified Transformer Architecture Based on Relative Position Coding. Int. J. Comput. Intell. Syst. 2023, 16, 168. [Google Scholar] [CrossRef]
- Sagar, A.S.M.S.; Kim, T.; Park, S.; Lee, H.S.; Kim, H.S. Relative-Position Estimation Based on Loosely Coupled UWB–IMU Fusion for Wearable IoT Devices. Comput. Mater. Contin. 2023, 75, 1941–1961. [Google Scholar] [CrossRef]
- Shaw, P.; Uszkoreit, J.; Vaswani, A. Self-Attention with Relative Position Representations. In Proceedings of the NAACL HLT 2018–2018 Conference of the North American Chapter of the Association for Computational Linguistics: Human Language Technologies—Proceedings of the Conference, New Orleans, LA, USA, 1–6 June 2018; Volume 2. [Google Scholar]
- Cui, Y.; Zhang, Y.; Huang, Y.; Wang, Z.; Fu, H. Novel WiFi/MEMS Integrated Indoor Navigation System Based on Two-Stage EKF. Micromachines 2019, 10, 198. [Google Scholar] [CrossRef] [PubMed]
- He, Y.; Wu, J.; Xie, G.; Hong, X.; Zhang, Y. Data-Driven Relative Position Detection Technology for High-Speed Maglev Train. Measurement 2021, 180, 109468. [Google Scholar] [CrossRef]
- Xue, H.; Fu, H.; Dai, B. IMU-Aided High-Frequency Lidar Odometry for Autonomous Driving. Appl. Sci. 2019, 9, 1506. [Google Scholar] [CrossRef]
- Petrović, I.; Sečnik, M.; Hočevar, M.; Berk, P. Vine Canopy Reconstruction and Assessment with Terrestrial Lidar and Aerial Imaging. Remote Sens. 2022, 14, 5894. [Google Scholar] [CrossRef]













| Positioning Method | Maximum Deviation | Minimum Deviation | Average | Upper Deviation | Lower Deviation |
|---|---|---|---|---|---|
| Method A | 25.46 | −12.87 | 14.78 | 10.45 | −22.65 |
| Method B | 16.43 | −7.98 | 9.86 | 6.42 | −14.84 |
| Method C | 12.75 | −6.23 | 7.42 | 5.31 | −9.65 |
| Method D | 4.35 | −3.08 | 2.94 | 1.41 | −4.02 |
| Positioning Method | X-axis Positioning Error/m | X-axis Relative Positioning Error/% | Y-axis Positioning Error/m | Y-axis Relative Positioning Error/% | Heading Deviation/° | Canopy Length Error/% |
|---|---|---|---|---|---|---|
| Method A | 8.73 ± 2.53 a | 32.55 ± 9.43 a | 2.45 ± 0.91 a | 52.35 ± 19.55 a | 30.54 ± 12.31 a | 37.34 ± 12.01 a |
| Method B | 4.52 ± 1.35 b | 21.32 ± 5.77 b | 1.52 ± 0.63 b | 32.43 ± 13.45 b | 21.65 ± 7.54 b | 23.77 ± 8.32 b |
| Method C | 3.56 ± 0.82 c | 16.03 ± 3.06 c | 0.99 ± 0.37 c | 21.05 ± 7.76 c | 14.38 ± 3.18 c | 18.68 ± 5.05 c |
| Method D | 0.31 ± 0.11 d | 4.07 ± 1.81 d | 0.15 ± 0.05 d | 3.27 ± 1.27 d | 6.75 ± 1.89 d | 4.35 ± 1.09 d |
Disclaimer/Publisher’s Note: The statements, opinions and data contained in all publications are solely those of the individual author(s) and contributor(s) and not of MDPI and/or the editor(s). MDPI and/or the editor(s) disclaim responsibility for any injury to people or property resulting from any ideas, methods, instructions or products referred to in the content. |
© 2024 by the authors. Licensee MDPI, Basel, Switzerland. This article is an open access article distributed under the terms and conditions of the Creative Commons Attribution (CC BY) license (https://creativecommons.org/licenses/by/4.0/).
Share and Cite
Liu, L.; Ji, D.; Zeng, F.; Zhao, Z.; Wang, S. Precision Inter-Row Relative Positioning Method by Using 3D LiDAR in Planted Forests and Orchards. Agronomy 2024, 14, 1279. https://doi.org/10.3390/agronomy14061279
Liu L, Ji D, Zeng F, Zhao Z, Wang S. Precision Inter-Row Relative Positioning Method by Using 3D LiDAR in Planted Forests and Orchards. Agronomy. 2024; 14(6):1279. https://doi.org/10.3390/agronomy14061279
Chicago/Turabian StyleLiu, Limin, Dong Ji, Fandi Zeng, Zhihuan Zhao, and Shubo Wang. 2024. "Precision Inter-Row Relative Positioning Method by Using 3D LiDAR in Planted Forests and Orchards" Agronomy 14, no. 6: 1279. https://doi.org/10.3390/agronomy14061279
APA StyleLiu, L., Ji, D., Zeng, F., Zhao, Z., & Wang, S. (2024). Precision Inter-Row Relative Positioning Method by Using 3D LiDAR in Planted Forests and Orchards. Agronomy, 14(6), 1279. https://doi.org/10.3390/agronomy14061279

