Rational Maize–Soybean Strip Intercropping Planting System Improves Interspecific Relationships and Increases Crop Yield and Income in the China Hexi Oasis Irrigation Area
Abstract
1. Introduction
2. Materials and Methods
2.1. Experimental Site
2.2. Measurements and Methods
2.2.1. Photosynthetic Rate
2.2.2. Determination of Yield
2.2.3. Grain Water Productivity
2.2.4. Calculation Method of Competition Index
- (1)
- Land Equivalent Ratio (LER) is a measure of yield advantage.LER = LERM + LERSLERM = YIM/YSMwhere LERM and LERS represent the land equivalent ratio of intercropping maize and soybean, respectively; YIM and YIS represent the yield of intercropping maize and soybean, respectively; and YSM and YSS represent the yield of maize M and soybean S monocropping, respectively, in kg hm−2. When LER > 1, intercropping has an advantage over monocropping, LER < 1 indicates an intercropping disadvantage.LERS = YIS/YSS
- (2)
- The relative crowding coefficient (K) is a measure of the competitive advantage of one crop over another crop in intercropping.K = KM × KSKM = YIM × ZIS/[(YSM − YIM)ZIM]KS = YIS × ZIM/[(YSS − YIS)ZIS]ZIM = (LM + LMS)/Lwhere KM and KS represent the relative crowding coefficient of maize and soybean; ZIS and ZIM represent the planting proportions of maize and soybean in the intercropping system, respectively; and LM, LS, LMS, and L represent the maize row spacing, soybean row spacing, maize and soybean spacing, and bandwidth, respectively, in cm. The rest of the symbols have the same significance as in the above formulas. When KM > KS, maize is more competitive than soybean in the intercropping system; when KM < KS, soybean is more competitive than maize in the intercropping system.ZIS = (LS + LMS)/L
- (3)
- Aggressiveness (A) indicates the extent to which the yield increase of one crop is greater than the yield increase of the other crop in the intercropping system.AM = YIMZIM/YSM − YISZIS/YSSwhere AM and AS indicate intercropping maize and intercropping soybean aggressiveness, respectively, and the rest of the symbols have the same significance as in the above formulas. When AM = AS, the competitiveness of the two crops is the same; AM > 0 indicates that maize has an advantage; AM < 0, indicates that soybean has an advantage.AS = YISZIS/YSS − YIMZIM/YSM
- (4)
- Competition Ratio (CR) is an indicator of competition among crops.CRM = (LERMZIM/LERS)/ZISwhere CRM and CRS represent the competition ratios of maize and soybean, respectively, and the rest of the symbols have the same significance as in the above formulas. When CRM > 1, the competitive ability of maize in the intercropping system is stronger than that of soybean; when CRM < 1, the competitive ability of soybean in the intercropping system is stronger than that of maize.CRS = (LERSZIS/LERM)/ZIM
2.3. Data Analysis
3. Results
3.1. Effects of Bandwidth–Row Ratio Configuration in Maize–Soybean Strip Intercropping Planting System on Crop Photosynthetic Characteristics
3.1.1. Net Photosynthetic Rate
3.1.2. Crop Transpiration Rate
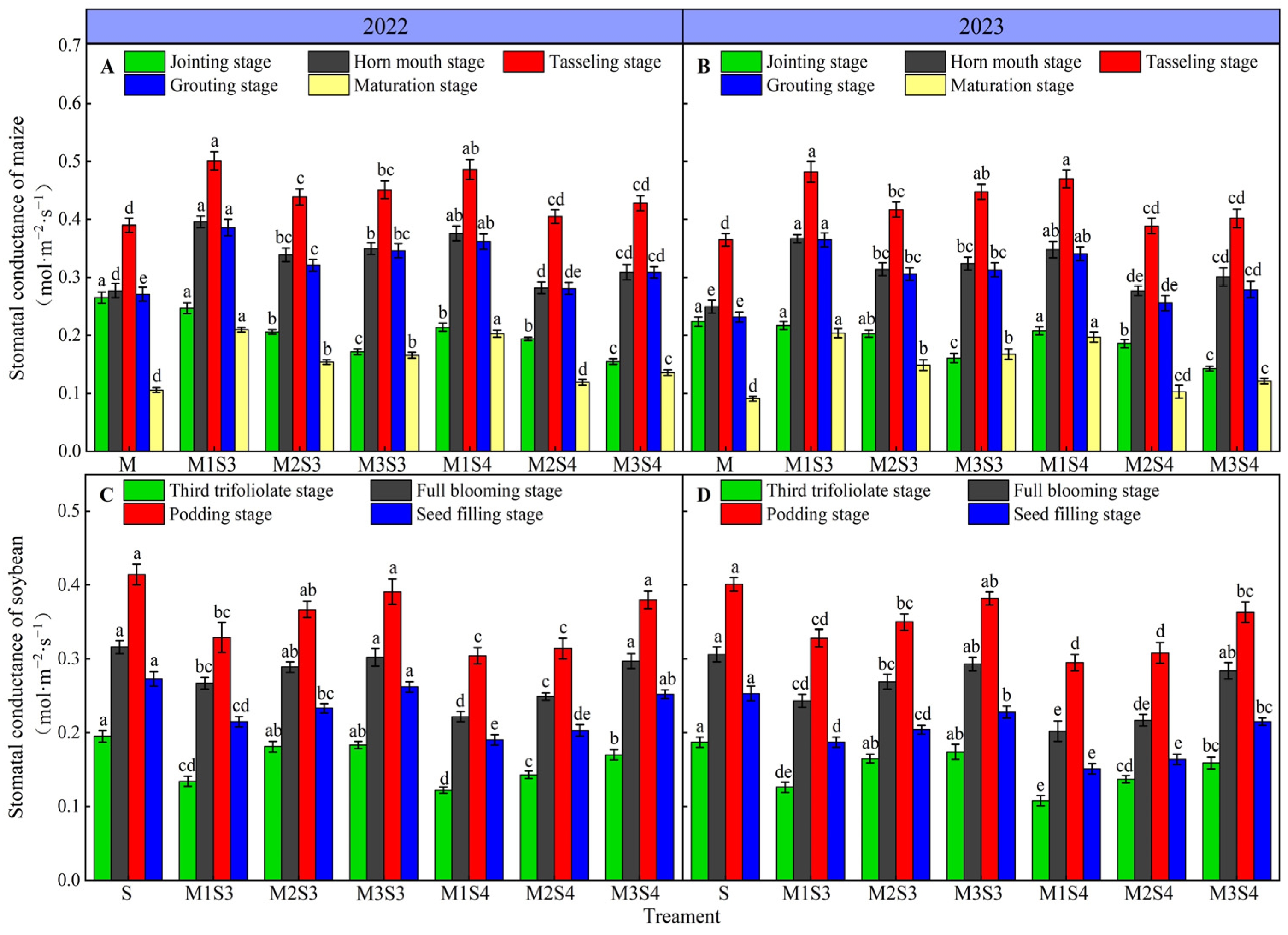
3.1.3. Crop Stomatal Conductance
3.2. Effects of Bandwidth–Row Ratio Configuration in Maize–Soybean Strip Intercropping Planting System on System Yield and Its Component Factors
3.3. Effects of Bandwidth–Row Ratio Configuration in Maize–Soybean Strip Intercropping Planting System on System Water Productivity
3.4. Effects of Bandwidth–Row Ratio Configuration in Maize–Soybean Strip Intercropping Planting on Systematic Interspecific Competition Indices
3.5. Effects of Bandwidth–Row Ratio Configuration in Maize–Soybean Strip Intercropping Planting on Systematic Economic Benefit
3.6. Correlation Analysis of Indicators under the Maize–Soybean Strip Intercropping Planting System
3.7. Comprehensive Evaluation
3.7.1. A Comprehensive Evaluation Model
- (1)
- The AHP Method
- (2)
- The Entropy Weight Method
- (3)
- Game Theory Combinatorial Empowerment
3.7.2. Comprehensive Evaluation Based on the TOPSIS Method
4. Discussion
4.1. Effect of Bandwidth–Row Ratio Configuration on Photosynthetic Rate in Maize–Soybean Strip Intercropping Planting System
4.2. Effect of Bandwidth–Row Ratio Configuration on Crop Yield, Water Productivity, and Economic Benefits in Maize–Soybean Strip Intercropping Planting Systems
4.3. Effect of Bandwidth–Row Ratio Configuration on Interspecific Competitive Relationships in Maize–Soybean Strip Intercropping Planting System
5. Conclusions
Author Contributions
Funding
Data Availability Statement
Acknowledgments
Conflicts of Interest
References
- Zhao, S.C.; Li, T.Y.; Wang, G.G. Agricultural food system transformation on China’s food security. Foods 2023, 12, 2906. [Google Scholar] [CrossRef] [PubMed]
- Huang, J.K.; Wei, W.; Cui, Q.; Xie, W. The prospects for China’s food security and imports: Will Chinastarve the world via imports? J. Integr. Agric. 2017, 16, 2933–2944. [Google Scholar] [CrossRef]
- Wang, J.X.; Liu, H.; Liu, P.L.; Chang, G.H. An evaluation of the spatial rationality of provincial territory: A case study of Gansu Province. Environ. Sci. Pollut. Res. 2023, 30, 18268–18284. [Google Scholar] [CrossRef] [PubMed]
- Guan, Q.Y.; Wang, F.F.; Xu, C.Q.; Pan, N.H.; Lin, J.K.; Zhao, R.; Yang, Y.Y.; Luo, H.P. Source apportionment of heavy metals in agricultural soil based on PMF: A case study in Hexi Corridor, northwest China. Chemosphere 2017, 10, 151. [Google Scholar] [CrossRef] [PubMed]
- Chen, S.C.; Liu, W.F.; Du, T.S. Achieving high-yield and high-efficient management strategy based on optimized irrigation and nitrogen fertilization management and planting structure. Trans. Chin. Soc. Agric. Eng. 2022, 38, 144–152. [Google Scholar] [CrossRef]
- Gao, Z.Y.; Chang, G.Y. Research on the harmonious development of social economy, resources and environment in arid regions of China—A case study of 5cities in Hexi Corridor. J. Fudan Univ. 2021, 60, 515–523. [Google Scholar] [CrossRef]
- Deng, H.L.; Pan, X.F.; Zhang, H.J.; Xiao, Z.W.; Xiao, R.; Zhao, Z.X.; Chen, T. Comprehensive regulation of water-nitrogen coupling in hybrid seed maize in the Hexi Oasis irrigation area based on the synergy of multiple indicators. Water 2023, 15, 3927. [Google Scholar] [CrossRef]
- Ding, D.F.; Chai, Z.W.; Xu, X.J.; Zhuang, Z.Y.; Yuan, Z.X.; Kong, R.; Sun, D.X.; Wang, K.R.; Li, S.K.; Zhao, G.B. The selection of high yield maize cultivars suitable for dense planting and machine harvest in Hexi Irrigation District. Agric. Res. Arid Areas 2019, 37, 144–148+181. [Google Scholar] [CrossRef]
- Pan, X.F.; Zhang, H.J.; Yu, S.C.; Deng, H.L.; Chen, X.T.; Zhou, C.L.; Li, F.Q. Strategies for the management of water and nitrogen interaction in seed maize production; A case study from China Hexi Corridor Oasis Agricultural Area. Agric. Water. Manag. 2024, 292, 108685. [Google Scholar] [CrossRef]
- Zu, T.X.; Liu, C.Y. Study on industrial positioning and regional layout of agricultural economic structure adjustment in Hexi region of Gansu Province. West. Econ. 2007, 4, 211–213. [Google Scholar] [CrossRef]
- Zhang, J.W.; Zhao, J.H.; Sun, J.H.; He, Y.K.; Xie, Y.Q.; Liang, Q.; Jing, J.J.; Tao, Y.; Yu, P.Z.; Jia, C.H.; et al. Herbigation combined with plastic film mulching to control weeds in maize (Zea mays L.) fields in the Hexi Corridor region, Northwest China. Crop Prot. 2024, 176, 106485. [Google Scholar] [CrossRef]
- Zhang, X.; Liu, X.Y.; Hu, D.; Yuan, X.Q.; Feng, K.Y.; Kang, B.; Zhang, J.; Luo, J.C.; Nan, H.Y.; Li, Y.P. Occurrence dynamics of major pests in cotton areas and the control techniques with botanical pesticides in the Hexi Corridor, China. J. Plant Prot. 2021, 48, 1125–1138. [Google Scholar] [CrossRef]
- Wang, G.H.; Gou, Q.Q.; Hao, Y.L.; Zhao, H.M.; Zhang, X.F. Dynamics of soil water content across different landscapes in a typical desert-oasis ecotone. Front. Environ. Sci. 2020, 8, 577406. [Google Scholar] [CrossRef]
- Nan, L.L.; Guo, Q.E.; Cao, S.Y.; Zhan, Z.B. Diversity of bacterium communities in saline-alkali soil in arid regions of Northwest China. BMC Microbiol. 2022, 22, 11. [Google Scholar] [CrossRef] [PubMed]
- Yin, X.W.; Feng, Q.; Zheng, X.J.; Wu, X.; Zhu, M.; Sun, F.Q.; Li, Y. Assessing the impacts of irrigated agriculture on hydrological regimes in an oasis-desert system. J. Hydrol. 2021, 594, 125976. [Google Scholar] [CrossRef]
- Li, X.L.; Tong, L.; Niu, J.; Kang, S.Z.; Du, T.S.; Li, S.E.; Ding, R.S. Spatio-temporal distribution of irrigation water productivity and its driving factors for cereal crops in Hexi Corridor, Northwest China. Agric. Water Manag. 2017, 179, 55–63. [Google Scholar] [CrossRef]
- Han, J.C.; Huang, Y.F.; Zhang, H.; Wu, X.F. Characterization of elevation and land cover dependent trends of NDVI variations in the Hexi region, northwest China. J. Environ. Manag. 2019, 232, 1037–1048. [Google Scholar] [CrossRef] [PubMed]
- Yan, Y.; Guan, Q.Y.; Shao, W.Y.; Wang, Q.Z.; Yang, X.Y.; Luo, H.P. Spatiotemporal dynamics and driving mechanism of arable ecosystem stability in arid and semi-arid areas based on pressure-buffer-response process. J. Clean. Prod. 2023, 421, 138553. [Google Scholar] [CrossRef]
- Feng, L.; Huang, G.Q.; Yang, W.T.; Huang, T.B.; Tang, H.Y.; Ma, Q.Y.; Wang, S.B. Yields and interspecific relationship of the maize-soybean intercropping system in the upland red soil of Jiangxi province. Chin. J. Eco-Agric. 2021, 29, 1127–1137. [Google Scholar] [CrossRef]
- Wang, G.F.; Wang, D.P.; Zhou, X.Y.; Shah, S.; Wang, L.C.; Ahmed, M.; Sayyed, R.Z.; Fahad, S. Effects of cotton-peanut intercropping patterns on cotton yield formation and economic benefits. Front. Sustain. Food Syst. 2022, 6, 900230. [Google Scholar] [CrossRef]
- Qu, J.H.; Li, L.J.; Wang, Y.; Yang, J.H.; Zhao, X.Y. Effects of rape/common vetch intercropping on biomass, soil characteristics, and microbial community diversity. Front. Environ. Sci. 2022, 10, 947014. [Google Scholar] [CrossRef]
- Darch, T.; Giles, C.D.; Blackwell, M.S.A.; George, T.S.; Brown, L.K.; Blackburn, D.M.; Shand, C.A.; Stutter, M.I.; Lumsdon, D.G.; Mezeli, M.M.; et al. Inter- and intra-species intercropping of barley cultivars and legume species, as affected by soil phosphorus availability. Plant Soil 2018, 427, 125–138. [Google Scholar] [CrossRef] [PubMed]
- Du, J.B.; Han, T.F.; Gai, J.Y.; Yong, T.W.; Sun, X.; Wang, X.C.; Yang, F.; Liu, J.; Shu, K.; Liu, W.G.; et al. Maize-soybean strip intercropping: Achieved a balance between high productivity and sustainability. J. Integr. Agric. 2018, 17, 747–754. [Google Scholar] [CrossRef]
- Yang, H.; Zhang, W.P.; Li, L. Intercropping: Feed more people and build more sustainable agroecosystems. Front. Agric. Sci. Eng. 2021, 8, 373–386. [Google Scholar] [CrossRef]
- Zhang, Y.X.; Li, S.E.; Wu, M.S.; Yang, D.N.; Wang, C.Y. Study on the response of different soybean varieties to water management in Northwest China based on a model approach. Atmosphere 2021, 12, 824. [Google Scholar] [CrossRef]
- Di, Y.Y.; You, N.S.; Dong, J.W.; Liao, X.Y.; Song, K.S.; Fu, P. Recent soybean subsidy policy did not revitalize but stabilize the soybean planting areas in Northeast China. Eur. J. Agron. 2023, 147, 126841. [Google Scholar] [CrossRef]
- Wu, J.; Chen, M.; Wang, Z.H.; Yang, J.Z.; Li, Y.L.; Wu, Y.S.; Yang, W.Y. Effect of different strip distances on light energy utilization in strip intercropping maize. Sci. Agric. Sin. 2023, 56, 4648–4659. [Google Scholar] [CrossRef]
- Chen, X.F.; Sun, N.; Gu, Y.; Liu, Y.L.; Li, J.F.; Wu, C.S.; Wang, Z.M. Maize-soybean strip intercropping improved lodging resistance and productivity of maize. Int. J. Agric. Biol. 2020, 24, 1383–1392. [Google Scholar]
- Cheng, B.; Wang, L.; Liu, R.J.; Wang, W.B.; Yu, R.W.; Zhou, T.; Ahmad, I.; Raza, A.; Jiang, S.J.; Xu, M.; et al. Shade-Tolerant soybean reduces yield Loss by regulating its canopy structure and stem characteristics in the maize-soybean strip intercropping system. Front. Plant Sci. 2022, 13, 848893. [Google Scholar] [CrossRef]
- Yang, C.Q.; Hu, B.Y.; Iqbal, N.; Yang, F.; Liu, W.G.; Wang, X.C.; Yong, T.W.; Zhang, J.; Yang, W.Y.; Liu, J. Effect of shading on accumulation of soybean isoflavonoid under maize-soybean strip intercropping systems. Plant Prod. Sci. 2018, 21, 193–202. [Google Scholar]
- Rodriguez, C.; Carlsson, G.; Englund, J.E.; Flöhr, A.; Pelzer, E.; Jeuffroy, M.H.; Makowski, D.; Jensen, E.S. Grain legume-cereal intercropping enhances the use of soil-derived and biologically fixed nitrogen in temperate agroecosystems. A meta-analysis. Eur. J. Agron. 2020, 118, 126077. [Google Scholar] [CrossRef]
- Chang, T.G.; Zhu, X.G. Source-sink interaction: A century old concept under the light of modern molecular systems biology. J. Exp. Bot. 2017, 68, 4417–4431. [Google Scholar] [CrossRef] [PubMed]
- Cheng, B.; Raza, A.; Wang, L.; Xu, M.; Lu, J.J.; Gao, Y.; Qin, S.S.; Zhang, Y.; Ahmad, I.; Zhou, T.; et al. Effects of multiple planting densities on lignin metabolism and lodging resistance of the strip intercropped soybean stem. Agronomy 2020, 10, 1177. [Google Scholar] [CrossRef]
- Yang, F.; Huang, S.; Gao, R.C.; Liu, W.G.; Yong, T.W.; Wang, X.C.; Wu, X.L.; Yang, W.Y. Growth of soybean seedlings in relay strip intercropping systems in relation to light quantity and red: Far-red ratio. Field Crops Res. 2014, 155, 245–253. [Google Scholar] [CrossRef]
- Fan, Y.F.; Wang, Z.L.; Liao, D.P.; Raza, M.A.; Wang, B.B.; Zhang, J.W.; Chen, J.X.; Feng, L.Y.; Wu, X.L.; Liu, C.Y.; et al. Uptake and utilization of nitrogen, phosphorus and potassium as related to yield advantage in maize-soybean intercropping under different row configurations. Sci. Rep. 2020, 10, 9504. [Google Scholar] [CrossRef] [PubMed]
- Shi, X.X.; Li, B.; Liu, J.; Yang, M.Y.; Xue, Y.G.; Shi, L.; Han, X.; Wei, Y.F. Yield and correlation analysis of maize under strip intercropping planting system. Jiangsu Agric. Sci. 2021, 49, 74–79. [Google Scholar] [CrossRef]
- Ren, J.B.; Yang, X.L.; Chen, P.; Du, Q.; Peng, X.H.; Zheng, B.C.; Yong, T.W.; Yang, W.Y. Effects of interspecific distances on soil physicochemical propertiesand root spatial distribution of maize-soybean relay strip intercropping system. Sci. Agric. Sin. 2022, 55, 1903–1916. [Google Scholar] [CrossRef]
- Chen, X.L.; Zhao, Y.F.; Zhang, H.B. Pattern and technology of soybean and corn strip compound planting a case study of inner mongolia. J. Chin. Agric. Mech. 2023, 44, 48–64. [Google Scholar] [CrossRef]
- Zhang, X.F.; Zhang, B.; Ma, S.Q.; Huang, H.; Chen, J.; Zhou, J. Analysis on temporal and spatial variation of spring maize drought in dry farming area of Northern China based on crop water deficit index. Chin. J. Agrometeorol. 2022, 43, 749–760. [Google Scholar] [CrossRef]
- Jiang, H.; Nie, T.Z.; Chen, P.; Zhang, Z.X. CROPWAT model-based study on water demand and irrigation system of soybean. Water Res. Hydropower Eng. 2018, 49, 211–217. [Google Scholar] [CrossRef]
- Gaju, O.; Desilva, J.; Carvalho, P.; Hawkesford, M.J.; Griffiths, S.; Greenland, A.; Foulkes, M.J. Leaf photosynthesis and associations with grain yield, biomass and nitrogen-use efficiency in landraces, synthetic-derived lines and cultivars in wheat. Field Crops Res. 2016, 193, 1–15. [Google Scholar] [CrossRef]
- Shafiq, I.; Hussain, S.; Raza, M.A.; Iqbal, N.; Asghar, M.A.; Raza, A.; Fang, F.Y.; Mumtaz, M.; Shoaib, M.; Ansar, M.; et al. Crop photosynthetic response to light quality and light intensity. J. Integr. Agric. 2021, 20, 4–23. [Google Scholar] [CrossRef]
- Cao, M.J.; Wang, J.Y.; Cui, Y.; Blessing, D.J.; Li, S.; Chen, X.F.; Gu, Y. Effects of different maize and soybean intercropping ratios on photosynthetic characteristics and yield of soybean. Soybean Sci. 2023, 42, 048–054. [Google Scholar] [CrossRef]
- Liang, B.; Ma, Y.W.; Shi, K.; Chen, G.P.; Chen, H.; Hu, Y.; Chen, P.; Pu, T.; Wu, Y.S.; Sun, X.; et al. Appropriate bandwidth achieves a high yield by reducing maize intraspecific competition in additive maize–soybean strip intercropping. Eur. J. Agron. 2023, 142, 126658. [Google Scholar] [CrossRef]
- Cui, W.F.; Qin, D.Z.; Chen, J.; Liu, J.; Yan, H.O.; Qin, L. Marginal effects of photosynthetic characteristics and yield in maize and soybean intercropping systems. Trans. Chin. Soc. Agric. Mach. 2023, 54, 309–319. [Google Scholar] [CrossRef]
- Shen, L.H.; Li, N.; Ruan, M.H.; Lin, W.X. Effects of interactions between roots of intercropped maize and soybean on plant photosynthesis, crop yield, and soil physiochemical properties. Fujian J. Agric. Sci. 2020, 35, 1280–1288. [Google Scholar] [CrossRef]
- Li, Y.L.; Peng, X.H.; Chen, P.; Du, Q.; Ren, J.B.; Yang, X.L.; Lei, L.; Yong, T.W.; Yang, W.Y. Effects of reducing nitrogen application on leaf stay-green, photosynthetic characteristics and system yield in maize-soybean relay strip intercropping. Sci. Agric. Sin. 2022, 55, 1749–1762. [Google Scholar] [CrossRef]
- Zhao, C.J.; Gao, F.; Li, Z.W.; Yang, J.Y.; Zhou, X.B. Effects of different maize/soybean intercropping row ratios on photosynthetic physiological characteristics and yield of soybean. J. Sichuan Agric. Univ. 2023, 41, 820–848. [Google Scholar] [CrossRef]
- He, H.M.; Yang, L.; Zhao, L.H.; Wu, H.; Fan, L.M.; Xie, Y.; Zhu, Y.Y.; Li, C.Y. The temporal-spatial distribution of light intensity in maize and soybean intercropping systems. J. Resour. Ecol. 2012, 3, 169–173. [Google Scholar] [CrossRef]
- Cheng, B.; Liu, W.G.; Wang, L.; Xu, M.; Qin, S.S.; Lu, J.J.; Gao, Y.; Li, S.X.; Raza, A.; Zhang, Y.; et al. Effects of planting density on photosynthetic characteristics, yield and stem lodging resistance of soybean in maize-soybean strip intercropping system. Sci. Agric. Sin. 2021, 54, 4084–4096. [Google Scholar] [CrossRef]
- Te, X.; Din, A.M.U.; Cui, K.S.; Raza, M.A.; Ali, M.F.; Xiao, J.H.; Yang, W.Y. Inter-specific root interactions and water use efficiency of maize/soybean relay strip intercropping. Field Crops Res. 2023, 291, 108793. [Google Scholar] [CrossRef]
- Raza, M.A.; Cui, L.; Khan, I.; Din, A.M.U.; Chen, G.P.; Ansar, M.; Ahmed, M.; Ahmad, S.; Manaf, A.; Titriku, J.K.; et al. Compact maize canopy improves radiation use efficiency and grain yield of maize/soybean relay intercropping system. Environ. Sci. Pollut. Res. 2021, 28, 41135–41148. [Google Scholar] [CrossRef] [PubMed]
- Miglani, G.S.; Kaur, R.; Sharma, P.; Gupta, N. Leveraging photosynthetic efficiency toward improving crop yields. J. Crop Improv. 2021, 35, 361–402. [Google Scholar] [CrossRef]
- Khalid, M.H.B.; Cui, L.; Abbas, G.; Raza, M.A.; Anwar, A.; Waheed, Z.A.A.; Ahmed, A.S.W.; Babar, M.J.; Tariq, R.; Ajmal, M.M.; et al. Effect of row spacing under maize-soybean relay intercropping system on yield, competition, and economic returns. Turk. J. Agric. For. 2023, 47, 390–401. [Google Scholar] [CrossRef]
- Li, Q.Y.; Zeng, T.R.; Hu, Y.; Du, Z.C.; Liu, Y.; Jin, M.; Tahir, M.; Wang, X.C.; Yang, W.Y.; Yan, Y.H. Effects of soybean density and sowing time on the yield and the quality of mixed silage in corn-soybean strip intercropping system. Fermentation 2022, 8, 140. [Google Scholar] [CrossRef]
- Li, L.K.; Chen, F.J.; Xing, G.N. Effects of fertilizer level and intercropping planting pattern with corn on the yield-related traits and insect community of soybean. Agronomy 2022, 12, 3080. [Google Scholar] [CrossRef]
- Metwally, A.A.R.; Safina, S.A.; El-Killany, R.; Saleh, N.A. Growing corn and soybean in solid and intercropping systems under different levels of irrigation water. Biosci. Res. 2017, 14, 532–541. [Google Scholar]
- Ji, Z.M.; Luo, W.Y.; Wang, X.C. Effects of bandwidth and maize density on matter accumulation and yield of fresh corn and soybean strip intercropping population. J. Sichuan Agric. Univ. 2023, 41, 791–800. [Google Scholar] [CrossRef]
- Winans, E.T.; Beyrer, T.A.; Below, F.E. Managing density stress to close the maize yield gap. Front. Plant Sci. 2021, 12, 767465. [Google Scholar] [CrossRef]
- Cai, Q.; Sun, Z.X.; Wang, W.B.; Bai, W.; Du, G.J.; Zhang, Y.; Zhang, Z.; Feng, C.; Xiang, W.Y.; Zhao, F.Y. Yield and water use of maize/soybean intercropping systems in semi-arid western Liaoning. Chin. J. Agrometeorol. 2022, 43, 551–562. [Google Scholar] [CrossRef]
- Norberg, O.S.; Llewellyn, D.A.; Fransen, S.C.; Kesoju, S.R. Intercropping irrigated corn with two soybean maturity groups at different planting rates for forage. Crop. Forage Turfgrass Manag. 2021, 7, 20074. [Google Scholar] [CrossRef]
- Zeng, T.R.; Wu, Y.S.; Xin, Y.F.; Chen, C.; Du, Z.C.; Li, X.L.; Zhong, J.F.; Tahir, M.; Kang, B.; Jiang, D.M.; et al. Silage quality and output of different maize-soybean strip intercropping patterns. Fermentation 2022, 8, 174. [Google Scholar] [CrossRef]
- Xing, Y.H.; Zhang, P.L.; Zhang, W.M.; Yu, C.X.; Luo, Z.Z. Continuous cropping of potato changed the metabolic pathway of root exudates to drive rhizosphere microflora. Front. Microbiol. 2023, 14, 1318586. [Google Scholar] [CrossRef] [PubMed]
- Zaeem, M.; Nadeem, M.; Pham, T.H.; Ashiq, W.; Ali, W.; Gilani, S.S.M.; Elavarthi, S.; Kavanagh, V.; Cheema, M.; Galagedara, L.; et al. The potential of corn-soybean intercropping to improve the soil health status and biomass production in cool climate boreal ecosystems. Sci. Rep. 2019, 9, 13148. [Google Scholar] [CrossRef] [PubMed]
- Yu, X.; Xiao, S.H.; Yan, T.X.; Chen, Z.P.; Zhou, Q.; Pan, Y.Z.; Yang, W.T.; Lu, M.J. Interspecific competition as affected by nitrogen application in sweet corn-soybean intercropping system. Agronomy 2023, 13, 2268. [Google Scholar] [CrossRef]
- Pelech, E.A.; Alexander, B.C.S.; Bernacchi, C.J. Photosynthesis, yield, energy balance, and water-use of intercropped maize and soybean. Plant Direct. 2021, 5, e365. [Google Scholar] [CrossRef]









| Year | pH | Organic Matter (g kg−1) | Available Nitrogen (mg kg−1) | Available Potassium (mg kg−1) | Available Phosphorus (mg kg−1) | Effective Radiation (MJ m−2) |
|---|---|---|---|---|---|---|
| 2022 | 7.4 | 12.8 | 55.7 | 190.2 | 16.1 | 2517.26 |
| 2023 | 7.8 | 13.6 | 62.8 | 203.5 | 15.4 | 2604.38 |
| Treatment | Band Width (cm) | Row Ratio | Maize | Soybean | Maize–Soybean Space (cm) | Density (×104 Plant hm−2) | Plot Area (m2) | |||
|---|---|---|---|---|---|---|---|---|---|---|
| Row Space (cm) | Plant Space (cm) | Row Space (cm) | Plant Space (cm) | Maize | Soybean | |||||
| M | — | — | 50 | 25.0 | — | — | — | 8.0 | — | 80.0 |
| S | — | — | — | — | 30 | 10 | — | — | 33.3 | 72.0 |
| M1S3 | 180 | 2:3 | 40 | 13.8 | 30 | 10 | 40 | 8.0 | 11.1 | 75.2 |
| M2S3 | 200 | 2:3 | 40 | 12.5 | 30 | 10 | 50 | 8.0 | 10.0 | 83.2 |
| M3S3 | 220 | 2:3 | 40 | 11.3 | 30 | 10 | 60 | 8.0 | 9.1 | 91.2 |
| M1S4 | 180 | 2:4 | 40 | 13.8 | 20 | 10 | 40 | 8.0 | 16.7 | 75.2 |
| M2S4 | 200 | 2:4 | 40 | 12.5 | 20 | 10 | 50 | 8.0 | 15.0 | 83.2 |
| M3S4 | 220 | 2:4 | 40 | 11.3 | 20 | 10 | 60 | 8.0 | 13.6 | 91.2 |
| Year | Treatment | Ear Length (cm) | Ear Diameter (mm) | Kernel Number Per Ear | Ear Weight (g) | 100-Grain Weight (g) | Yield (kg hm−2) | Dry Matter Accumulation Per Plant (g) |
|---|---|---|---|---|---|---|---|---|
| 2022 | M | 19.8 ± 0.64 a | 51.56 ± 1.93 a | 700 ± 29.32 a | 236.16 ± 10.71 a | 39.46 ± 1.44 a | 16,887.64 ± 684.94 a | 499.29 ± 20.46 a |
| M1S3 | 19.0 ± 0.93 ab | 50.58 ± 1.47 a | 636 ± 18.22 ab | 214.71 ± 8.88 ab | 38.30 ± 1.13 a | 14,558.03 ± 428.44 b | 468.43 ± 22.32 ab | |
| M2S3 | 18.0 ± 0.47 ab | 49.14 ± 1.71 a | 590 ± 22.90 b | 187.37 ± 7.49 cd | 33.10 ± 1.14 bc | 14,308.25 ± 656.82 b | 431.58 ± 14.45 b | |
| M3S3 | 17.6 ± 0.82 ab | 49.16 ± 1.73 a | 584 ± 24.94 bc | 200.14 ± 8.89 bc | 35.65 ± 1.31 ab | 14,115.00 ± 491.44 b | 442.07 ± 16.99 ab | |
| M1S4 | 18.6 ± 0.78 ab | 49.48 ± 1.14 a | 608 ± 22.72 b | 207.78 ± 4.15 bc | 35.89 ± 1.06 ab | 14,285.84 ± 506.24 b | 455.51 ± 11.18 ab | |
| M2S4 | 17.1 ± 0.67 b | 48.17 ± 2.21 a | 564 ± 17.70 bc | 182.89 ± 5.96 cd | 31.02 ± 1.23 c | 13,880.04 ± 545.36 b | 418.96 ± 13.50 b | |
| M3S4 | 16.5 ± 0.91 b | 46.81 ± 1.82 a | 516 ± 18.36 c | 174.30 ± 7.03 d | 32.17 ± 1.27 bc | 13,829.91 ± 701.90 b | 411.59 ± 20.87 b | |
| 2023 | M | 19.5 ± 0.8 5a | 51.16 ± 0.97 a | 674 ± 10.28 a | 230.60 ± 14.34 a | 37.84 ± 1.30 a | 16,200.80 ± 614.25 a | 480.25 ± 12.42 a |
| M1S3 | 19.1 ± 0.83 a | 49.51 ± 1.91 ab | 640 ± 19.31 ab | 210.89 ± 13.25 ab | 36.22 ± 0.92 ab | 14,711.35 ± 849.57 ab | 448.71 ± 22.57 ab | |
| M2S3 | 17.5 ± 0.55 ab | 46.74 ± 1.37 ab | 586 ± 19.75 bc | 178.26 ± 15.05 b | 32.74 ± 1.23 c | 14,136.87 ± 224.72 b | 427.48 ± 12.62 b | |
| M3S3 | 16.8 ± 0.88 ab | 45.03 ± 1.31 b | 556 ± 18.79 c | 198.12 ± 13.12 ab | 33.56 ± 0.95 bc | 14,679.54 ± 491.76 ab | 406.58 ± 11.61 b | |
| M1S4 | 18.2 ± 0.84 ab | 47.05 ± 1.12 ab | 592 ± 14.96 bc | 205.15 ± 10.93 ab | 34.44 ± 0.74 bc | 14,163.08 ± 855.79 b | 439.62 ± 13.18 ab | |
| M2S4 | 17.4 ± 0.67 ab | 45.59 ± 1.47 b | 574 ± 22.63 c | 181.63 ± 7.32 b | 29.05 ± 0.82 d | 13,542.12 ± 441.86 b | 416.94 ± 12.92 b | |
| M3S4 | 15.7 ± 0.98 b | 45.32 ± 1.38 b | 496 ± 16.21 d | 170.27 ± 13.33 b | 31.25 ± 1.27 cd | 13,219.21 ± 448.76 b | 397.58 ± 22.15 b | |
| ANOVA | ||||||||
| Year (Y) | ns | * | ns | ns | * | ns | ns | |
| Treatment (T) | ** | * | *** | *** | *** | ** | * | |
| Y × T | ns | ns | ns | ns | ns | ns | ns | |
| Year | Treatment | Pod Number Per Plant | Kernel Number Per Plant | Grain Weight Per Plant (g) | 100-Grain Weight (g) | Yield (kg hm−2) | Dry Matter Accumulation Per Plant (g) |
|---|---|---|---|---|---|---|---|
| 2022 | S | 34.23 ± 1.38 b | 95.86 ± 3.71 b | 17.69 ± 0.64 c | 19.75 ± 0.40 a | 5898.08 ± 325.09 a | 53.91 ± 2.20 a |
| M1S3 | 32.84 ± 1.79 bc | 93.14 ± 3.93 bc | 16.18 ± 0.42 cd | 18.72 ± 0.78 ab | 1797.95 ± 111.74 bc | 27.46 ± 0.97 e | |
| M2S3 | 40.37 ± 1.94 a | 109.75 ± 5.49 a | 20.69 ± 0.35 b | 19.03 ± 0.75 ab | 2069.33 ± 94.35 bc | 34.57 ± 1.31 bc | |
| M3S3 | 42.71 ± 1.98 a | 118.54 ± 5.30 a | 24.01 ± 0.93 a | 19.36 ± 0.64 ab | 2182.63 ± 103.37 b | 36.82 ± 1.11 b | |
| M1S4 | 24.36 ± 1.24 d | 62.28 ± 3.29 e | 9.80 ± 0.28 f | 16.54 ± 0.71 c | 1634.09 ± 80.05 c | 25.94 ± 1.03 e | |
| M2S4 | 28.56 ± 1.44 cd | 76.33 ± 4.9 d | 12.98 ± 0.49 e | 17.22 ± 0.66 bc | 1946.45 ± 105.91 bc | 30.08 ± 1.39 de | |
| M3S4 | 29.87 ± 1.61 bc | 80.59 ± 3.98 cd | 14.53 ± 0.55 de | 18.15 ± 0.64 abc | 1981.10 ± 102.65 bc | 31.96 ± 0.91 cd | |
| 2023 | S | 33.86 ± 1.36 b | 93.87 ± 3.90 b | 16.31 ± 0.62 c | 19.38 ± 0.46 a | 5437.13 ± 263.35 a | 51.73 ± 2.19 a |
| M1S3 | 33.29 ± 1.06 b | 91.64 ± 3.14 b | 16.59 ± 0.49 c | 18.25 ± 0.35 ab | 1842.83 ± 121.58 b | 27.09 ± 1.08 d | |
| M2S3 | 38.95 ± 1.11 a | 107.38 ± 2.46 a | 19.92 ± 0.57 b | 18.71 ± 0.65 ab | 1991.62 ± 116.29 b | 33.02 ± 1.65 bc | |
| M3S3 | 42.08 ± 1.18 a | 115.62 ± 2.96 a | 22.68 ± 0.89 a | 18.96 ± 0.67 ab | 2061.53 ± 150.24 b | 34.86 ± 1.00 b | |
| M1S4 | 25.13 ± 0.93 d | 64.85 ± 2.05 d | 10.36 ± 0.41 e | 16.27 ± 0.72 c | 1726.55 ± 105.37 b | 26.48 ± 1.06 d | |
| M2S4 | 27.94 ± 0.81 cd | 74.44 ± 3.57 c | 12.60 ± 0.80 d | 16.92 ± 0.67 bc | 1889.53 ± 143.63 b | 28.64 ± 1.05 d | |
| M3S4 | 29.17 ± 1.01 c | 77.76 ± 3.16 c | 14.64 ± 0.56 c | 18.59 ± 0.72 ab | 1996.93 ± 118.14 b | 30.57 ± 0.91 cd | |
| ANOVA | |||||||
| Year (Y) | ns | ns | ns | ns | ns | ns | |
| Treatment (T) | *** | *** | *** | *** | *** | *** | |
| Y × T | ns | ns | ns | ns | ns | ns | |
| Year | Treatment | LER | K | A | CR | ||||||
|---|---|---|---|---|---|---|---|---|---|---|---|
| LERM | LERS | LER | KM | KS | K | AM | AS | CRM | CRS | ||
| 2022 | M1S3 | 0.86 ± 0.02 a | 0.31 ± 0.01 bc | 1.17 ± 0.03 a | 5.66 ± 0.74 a | 0.50 ± 0.03 b | 2.88 ± 0.50 a | 0.26 ± 0.003 ab | −0.26 ± 0.003 ab | 3.24 ± 0.11 b | 0.60 ± 0.03 b |
| M2S3 | 0.85 ± 0.03 a | 0.35 ± 0.03 ab | 1.20 ± 0.06 a | 5.38 ± 1.09 a | 0.62 ± 0.07 ab | 3.47 ± 1.03 a | 0.24 ± 0.006 ab | −0.24 ± 0.006 ab | 2.72 ± 0.11 cd | 0.70 ± 0.05 a | |
| M3S3 | 0.84 ± 0.03 a | 0.37 ± 0.02 a | 1.21 ± 0.0 5a | 4.95 ± 0.95 a | 0.66 ± 0.06 a | 3.37 ± 0.87 a | 0.23 ± 0.006 b | −0.23 ± 0.006 a | 2.51 ± 0.06 d | 0.74 ± 0.04 a | |
| M1S4 | 0.85 ± 0.01 a | 0.28 ± 0.01 c | 1.13 ± 0.01 a | 4.16 ± 0.27 a | 0.51 ± 0.03 b | 2.13 ± 0.16 a | 0.28 ± 0.007 a | −0.28 ± 0.007 b | 4.08 ± 0.17 a | 0.47 ± 0.02 c | |
| M2S4 | 0.82 ± 0.04 a | 0.33 ± 0.01 ab | 1.15 ± 0.03 a | 4.00 ± 0.92 a | 0.64 ± 0.03 ab | 2.50 ± 0.48 a | 0.25 ± 0.020 ab | −0.25 ± 0.020 ab | 3.22 ± 0.23 b | 0.57 ± 0.02 b | |
| M3S4 | 0.82 ± 0.05 a | 0.34 ± 0.01 ab | 1.16 ± 0.07 a | 4.51 ± 1.37 a | 0.63 ± 0.03 ab | 2.94 ± 0.99 a | 0.25 ± 0.022 ab | −0.25 ± 0.022 ab | 3.05 ± 0.13 bc | 0.59 ± 0.02 b | |
| 2023 | M1S3 | 0.91 ± 0.03 a | 0.34 ± 0.015 ab | 1.25 ± 0.020 ab | 9.93 ± 2.42 a | 0.59 ± 0.04 a | 5.69 ± 1.21 ab | 0.27 ± 0.007 a | −0.27 ± 0.007 a | 3.08 ± 0.21 ab | 0.67 ± 0.03 abc |
| M2S3 | 0.87 ± 0.03 ab | 0.37 ± 0.012 ab | 1.24 ± 0.027 ab | 7.44 ± 2.35 ab | 0.65 ± 0.03 a | 4.73 ± 1.29 ab | 0.25 ± 0.018 a | −0.25 ± 0.018 a | 2.70 ± 0.17 b | 0.72 ± 0.02 ab | |
| M3S3 | 0.91 ± 0.02 a | 0.38 ± 0.015 a | 1.29 ± 0.003 a | 9.39 ± 2.01ab | 0.68 ± 0.05 a | 6.20 ± 0.85 a | 0.26 ± 0.013 a | −0.26 ± 0.013 a | 2.67 ± 0.16 b | 0.75 ± 0.03 a | |
| M1S4 | 0.87 ± 0.02 ab | 0.32 ± 0.022 b | 1.19 ± 0.015 b | 5.47 ± 1.09 ab | 0.63 ± 0.06 a | 3.34 ± 0.46 ab | 0.28 ± 0.015 a | −0.28 ± 0.015 a | 3.69 ± 0.3 0a | 0.54 ± 0.04 d | |
| M2S4 | 0.84 ± 0.02 ab | 0.35 ± 0.019 ab | 1.18 ± 0.003 b | 4.14 ± 0.66 ab | 0.69 ± 0.05 a | 2.77 ± 0.20 b | 0.25 ± 0.017 a | −0.25 ± 0.017 a | 3.12 ± 0.25 ab | 0.60 ± 0.03 cd | |
| M3S4 | 0.82 ± 0.03 b | 0.37 ± 0.003 ab | 1.18 ± 0.003 b | 3.96 ± 1.04 b | 0.72 ± 0.01 a | 2.87 ± 0.77 b | 0.24 ± 0.015 a | −0.24 ± 0.015 a | 2.79 ± 0.11 b | 0.65 ± 0.01 bc | |
| ANOVA | |||||||||||
| Year (Y) | ns | * | * | * | * | ** | ns | ns | ns | * | |
| Treatment (T) | ns | ** | ns | ns | * | ns | * | * | *** | *** | |
| Y × T | ns | ns | ns | ns | ns | ns | ns | ns | ns | ns | |
| Year | Treatment | Irrigation Water Cost | Fertilizer Cost | Seed Cost | Labor Cost | Mechanical Cost | Other Cost | Total Input |
|---|---|---|---|---|---|---|---|---|
| 2022 | M | 1466.14 | 5039.51 | 1350 | 3900 | 2100 | 780 | 14,635.65 |
| S | 887.38 | 3323.33 | 1056 | 3900 | 2100 | 780 | 12,046.71 | |
| M1S3 | 1750.32 | 6105.48 | 1686 | 3900 | 2100 | 780 | 16,321.80 | |
| M2S3 | 1676.22 | 5852.90 | 1662 | 3900 | 2100 | 780 | 15,971.12 | |
| M3S3 | 1753.44 | 6121.13 | 1638 | 3900 | 2100 | 780 | 16,292.57 | |
| M1S4 | 1898.00 | 6659.37 | 1806 | 3900 | 2100 | 780 | 17,143.37 | |
| M2S4 | 1809.34 | 6359.61 | 1782 | 3900 | 2100 | 780 | 16,730.95 | |
| M3S4 | 1874.34 | 6419.24 | 1758 | 3900 | 2100 | 780 | 16,831.58 | |
| 2023 | M | 1484.60 | 5039.51 | 1350 | 3650 | 1970 | 860 | 14,354.11 |
| S | 849.58 | 3323.33 | 1056 | 3650 | 1970 | 860 | 11,708.90 | |
| M1S3 | 1756.09 | 6105.48 | 1686 | 3650 | 1970 | 860 | 16,027.58 | |
| M2S3 | 1682.54 | 5852.90 | 1662 | 3650 | 1970 | 860 | 15,677.44 | |
| M3S3 | 1762.07 | 6121.13 | 1638 | 3650 | 1970 | 860 | 16,001.20 | |
| M1S4 | 1897.69 | 6659.37 | 1806 | 3650 | 1970 | 860 | 16,843.06 | |
| M2S4 | 1809.96 | 6359.61 | 1782 | 3650 | 1970 | 860 | 16,431.57 | |
| M3S4 | 1877.90 | 6419.24 | 1758 | 3650 | 1970 | 860 | 16,535.14 |
| Year | Treatment | Economic Benefit (CNY hm−2) | Net Proceeds (CNY hm−2) | Output–Input Ratio | |
|---|---|---|---|---|---|
| Maize | Soybean | ||||
| 2022 | M | 48,974.16 ± 1986.33 a | — | 34,338.51 ± 1986.33 a | 3.35 ± 0.14 a |
| S | — | 31,849.63 ± 1755.46 a | 19,802.92 ± 1755.47 b | 2.64 ± 0.15 b | |
| M1S3 | 42,218.29 ± 1242.46 b | 9708.93 ± 603.42 bc | 35,605.41 ± 1828.09 a | 3.18 ± 0.11 a | |
| M2S3 | 41,493.93 ± 1904.77 b | 11,174.38 ± 509.51 bc | 36,697.19 ± 2243.87 a | 3.30 ± 0.14 a | |
| M3S3 | 40,933.50 ± 1425.19 b | 11,786.20 ± 558.21 b | 36,427.13 ± 1958.78 a | 3.24 ± 0.12 a | |
| M1S4 | 41,428.94 ± 1468.09 b | 8824.09 ± 432.26 c | 33,109.65 ± 1709.47 a | 2.93 ± 0.10 ab | |
| M2S4 | 40,252.12 ± 1581.53 b | 10,510.83 ± 571.91 bc | 34,032.00 ± 1600.23 a | 3.03 ± 0.10 ab | |
| M3S4 | 40,106.74 ± 2035.51 b | 10,697.94 ± 554.33 bc | 33,973.10 ± 2373.68 a | 3.02 ± 0.14 ab | |
| 2023 | M | 42,122.08 ± 1597.04 a | — | 27,767.97 ± 1597.03 a | 2.93 ± 0.11 ab |
| S | — | 30,991.64 ± 1501.10 a | 19,282.74 ± 1501.10 b | 2.65 ± 0.13 b | |
| M1S3 | 38,249.51 ± 2208.89 ab | 10,504.13 ± 692.98 b | 32,726.06 ± 2688.89 a | 3.04 ± 0.17 ab | |
| M2S3 | 36,755.86 ± 584.27 b | 11,352.23 ± 662.86 b | 32,430.66 ± 797.77 a | 3.07 ± 0.05 a | |
| M3S3 | 38,166.80 ± 1278.58 ab | 11,750.72 ± 856.36 b | 33,916.32 ± 1978.42 a | 3.12 ± 0.12 a | |
| M1S4 | 36,824.01 ± 2225.06 b | 9841.34 ± 600.62 b | 29,822.28 ± 2299.65 a | 2.77 ± 0.14 ab | |
| M2S4 | 35,209.51 ± 1148.84 b | 10,770.32 ± 818.70 b | 29,548.26 ± 1659.47 a | 2.80 ± 0.10 ab | |
| M3S4 | 34,369.95 ± 1166.76 b | 11,382.50 ± 673.41 b | 29,217.31 ± 1686.75 a | 2.77 ± 0.10 ab | |
| ANOVA | |||||
| Year (Y) | *** | ns | ** | ** | |
| Treatment (T) | ** | *** | *** | ** | |
| Y × T | ns | ns | ns | ns | |
| Hierarchy | Index | Local Weight | Final Weight | Consistency Test Parameter |
|---|---|---|---|---|
| Target Layer | yield | 0.4100 | 0.4100 | CR = 0.0036 < 0.1 λmax = 3.0037 |
| water productivity | 0.1543 | 0.1543 | ||
| economic benefit | 0.4357 | 0.4357 | ||
| Target Layer 1 | Maize yield | 0.3550 | 0.1456 | CR = 0.0719 < 0.1 λmax = 4.1919 |
| Soybean yield | 0.3176 | 0.1302 | ||
| Maize dry matter accumulation | 0.1809 | 0.0742 | ||
| Soybean dry matter accumulation | 0.1465 | 0.0601 | ||
| Target Layer 2 | Maize water productivity | 0.3309 | 0.0511 | CR = 0.0408 < 0.1 λmax = 4.1090 |
| Maize irrigation water productivity | 0.1648 | 0.0254 | ||
| Soybean water productivity | 0.3512 | 0.0542 | ||
| Soybean irrigation water productivity | 0.1532 | 0.0236 | ||
| Target Layer 3 | economic benefit | 0.3108 | 0.1354 | CR = 0.0516 < 0.1 λmax = 3.0536 |
| net proceeds | 0.4934 | 0.2150 | ||
| output–input ratio | 0.1958 | 0.0853 |
| Indices | C11 | C12 | C13 | C14 | C21 | C22 | C23 | C24 | C31 | C32 | C33 |
| Weights | 0.07714 | 0.13982 | 0.07706 | 0.09196 | 0.07707 | 0.07730 | 0.09477 | 0.09421 | 0.07878 | 0.08011 | 0.11177 |
| Indices | C11 | C12 | C13 | C14 | C21 | C22 | C23 | C24 | C31 | C32 | C33 |
| Weights | 0.1376 | 0.1313 | 0.0745 | 0.0638 | 0.0541 | 0.0314 | 0.0589 | 0.0318 | 0.1288 | 0.1993 | 0.0884 |
| Treatment | C11 | C12 | C13 | C14 | C21 | C22 | C23 | C24 | C31 | C32 | C33 | D+ | D− | Ci | Sequence |
|---|---|---|---|---|---|---|---|---|---|---|---|---|---|---|---|
| M | 0.4314 | 0.0000 | 0.4210 | 0.0000 | 0.4240 | 0.4297 | 0.0000 | 0.0000 | 0.3532 | 0.3484 | 0.3703 | 0.3552 | 0.2440 | 0.4072 | 8 |
| S | 0.0000 | 0.7676 | 0.0000 | 0.5734 | 0.0000 | 0.0000 | 0.5619 | 0.3809 | 0.2437 | 0.2193 | 0.3125 | 0.2532 | 0.3487 | 0.5793 | 3 |
| M1S3 | 0.3816 | 0.2465 | 0.3942 | 0.2961 | 0.3829 | 0.3826 | 0.3273 | 0.3675 | 0.3781 | 0.3833 | 0.3668 | 0.2125 | 0.2762 | 0.5652 | 4 |
| M2S3 | 0.3709 | 0.2750 | 0.3692 | 0.3668 | 0.3829 | 0.3840 | 0.3873 | 0.4548 | 0.3731 | 0.3878 | 0.3762 | 0.1934 | 0.2894 | 0.5994 | 2 |
| M3S3 | 0.3754 | 0.2874 | 0.3647 | 0.3890 | 0.3602 | 0.3620 | 0.4201 | 0.5221 | 0.3871 | 0.3946 | 0.3750 | 0.1862 | 0.2986 | 0.6159 | 1 |
| M1S4 | 0.3709 | 0.2276 | 0.3847 | 0.2845 | 0.3746 | 0.3723 | 0.2455 | 0.2263 | 0.3619 | 0.3530 | 0.3361 | 0.2317 | 0.2539 | 0.5228 | 7 |
| M2S4 | 0.3575 | 0.2598 | 0.3593 | 0.3187 | 0.3726 | 0.3693 | 0.2946 | 0.2868 | 0.3566 | 0.3567 | 0.3444 | 0.2139 | 0.2600 | 0.5486 | 6 |
| M3S4 | 0.3527 | 0.2694 | 0.3478 | 0.3394 | 0.3437 | 0.3399 | 0.3219 | 0.3271 | 0.3548 | 0.3545 | 0.3420 | 0.2076 | 0.2605 | 0.5565 | 5 |
| S+ | 0.4314 | 0.7676 | 0.4210 | 0.5734 | 0.4240 | 0.4297 | 0.5619 | 0.5221 | 0.3871 | 0.3946 | 0.3762 | — | — | — | — |
| S− | 0.0000 | 0.0000 | 0.0000 | 0.0000 | 0.0000 | 0.0000 | 0.0000 | 0.0000 | 0.2437 | 0.2193 | 0.3125 | — | — | — | — |
Disclaimer/Publisher’s Note: The statements, opinions and data contained in all publications are solely those of the individual author(s) and contributor(s) and not of MDPI and/or the editor(s). MDPI and/or the editor(s) disclaim responsibility for any injury to people or property resulting from any ideas, methods, instructions or products referred to in the content. |
© 2024 by the authors. Licensee MDPI, Basel, Switzerland. This article is an open access article distributed under the terms and conditions of the Creative Commons Attribution (CC BY) license (https://creativecommons.org/licenses/by/4.0/).
Share and Cite
Deng, H.; Pan, X.; Lan, X.; Wang, Q.; Xiao, R. Rational Maize–Soybean Strip Intercropping Planting System Improves Interspecific Relationships and Increases Crop Yield and Income in the China Hexi Oasis Irrigation Area. Agronomy 2024, 14, 1220. https://doi.org/10.3390/agronomy14061220
Deng H, Pan X, Lan X, Wang Q, Xiao R. Rational Maize–Soybean Strip Intercropping Planting System Improves Interspecific Relationships and Increases Crop Yield and Income in the China Hexi Oasis Irrigation Area. Agronomy. 2024; 14(6):1220. https://doi.org/10.3390/agronomy14061220
Chicago/Turabian StyleDeng, Haoliang, Xiaofan Pan, Xuemei Lan, Qinli Wang, and Rang Xiao. 2024. "Rational Maize–Soybean Strip Intercropping Planting System Improves Interspecific Relationships and Increases Crop Yield and Income in the China Hexi Oasis Irrigation Area" Agronomy 14, no. 6: 1220. https://doi.org/10.3390/agronomy14061220
APA StyleDeng, H., Pan, X., Lan, X., Wang, Q., & Xiao, R. (2024). Rational Maize–Soybean Strip Intercropping Planting System Improves Interspecific Relationships and Increases Crop Yield and Income in the China Hexi Oasis Irrigation Area. Agronomy, 14(6), 1220. https://doi.org/10.3390/agronomy14061220
