Can Nitrogen Fertilization and Intercropping Modify the Quality and Nutrient Yield of Barley–Field Bean Forage?
Abstract
1. Introduction
2. Materials and Methods
3. Results
3.1. Barley
3.1.1. Bromatological Traits
| Bromatological Trait | Stage of Harvest | |
|---|---|---|
| Heading | Early Dough | |
| Barley | ||
| Crude protein (%) | 7.9 b | 7.2 a |
| Ether extracts (%) | 1.30 b | 1.12 a |
| Ash (%) | 7.8 b | 6.9 a |
| Neutral-detergent fiber (%) | 66.5 b | 59.1 a |
| Acid-detergent fiber (%) | 37.3 b | 34.1 a |
| Non-fibrous carbohydrate (%) | 16.4 a | 25.6 b |
| Total digestible nutrients (%) | 53.1 a | 57.3 b |
| Relative feed value (%) | 84.0 a | 98.6 b |
| Field bean | ||
| Crude protein (%) | 13.9 b | 12.4 a |
| Ether extracts (%) | 1.0 a | 1.0 a |
| Ash (%) | 6.5 b | 5.3 a |
| Neutral-detergent fiber (%) | 46.3 b | 43.3 a |
| Acid-detergent fiber (%) | 35.9 a | 34.2 a |
| Non-fibrous carbohydrate (%) | 32.3 a | 38.1 b |
| Total digestible nutrients (%) | 55.0 a | 57.2 b |
| Relative feed value (%) | 123.3 a | 134.9 b |
| Combined forage | ||
| Crude protein (%) | 11.2 b | 10.0 a |
| Ether extracts (%) | 1.12 b | 1.04 a |
| Ash (%) | 7.2 b | 6.1 a |
| Neutral-detergent fiber (%) | 55.9 b | 50.8 a |
| Acid-detergent fiber (%) | 36.6 a | 34.2 a |
| Non-fibrous carbohydrate (%) | 24.7 a | 32.1 b |
| Total digestible nutrients (%) | 54.1 a | 57.3 b |
| Relative feed value (%) | 104.7 a | 117.8 b |
3.1.2. Nutrient Yield
3.2. Field Bean
3.2.1. Bromatological Traits
3.2.2. Nutrient Yield
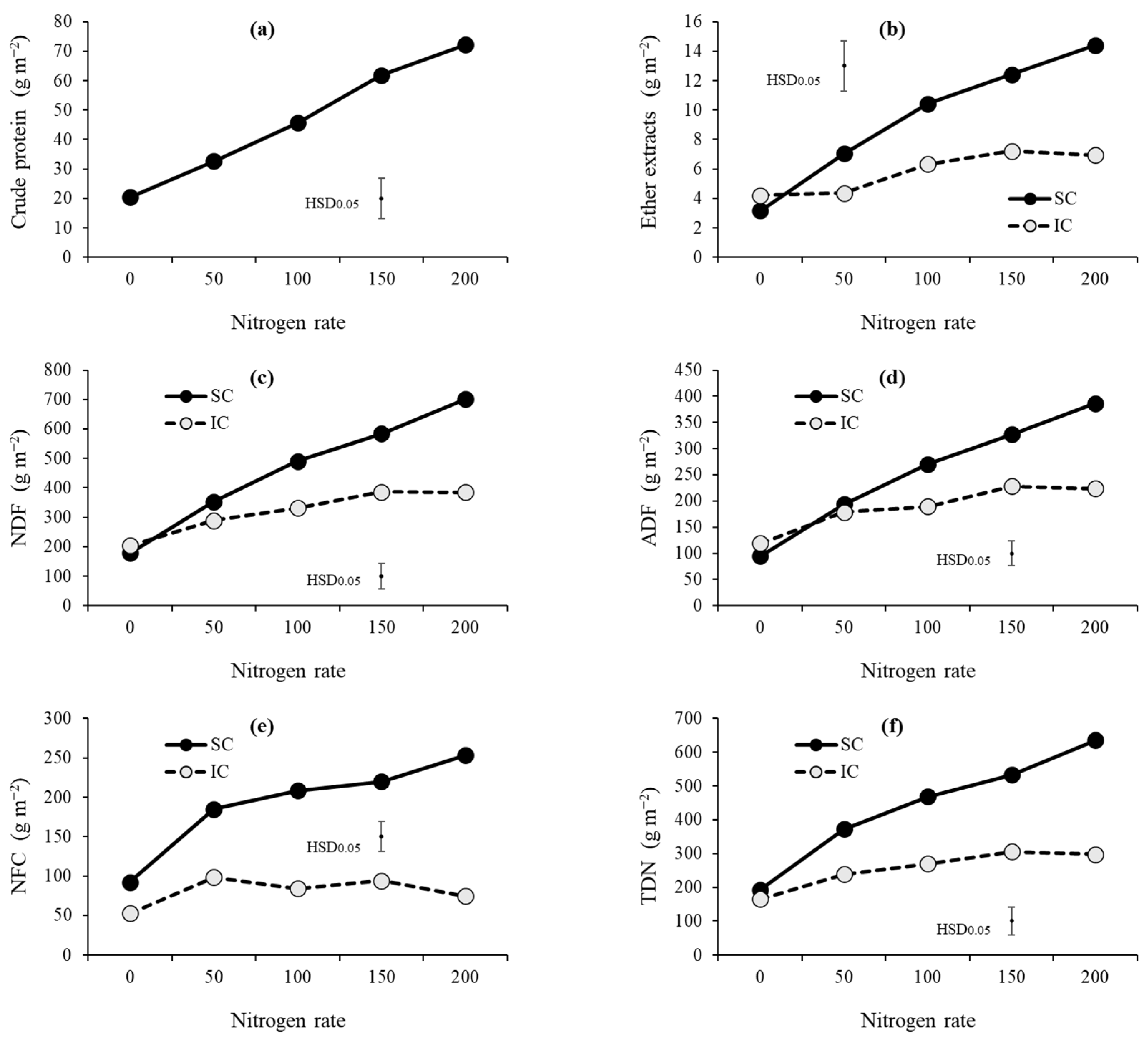
| Nutrient Yield | Nitrogen Rate (kg ha−1) | ||||
|---|---|---|---|---|---|
| 0 | 50 | 100 | 150 | 200 | |
| Field bean | |||||
| Crude protein (g m−2) | 78.8 a | 91.0 b | 89.5 b | 88.7 b | 89.5 b |
| Ether extracts (g m−2) | 5.3 a | 6.9 bc | 7.1 c | 6.6 bc | 6.4 b |
| Neutral-detergent fiber (g m−2) | 268.2 a | 306.2 b | 304.3 b | 310.6 b | 299.0 b |
| Acid-detergent fiber (g m−2) | 208.5 a | 231.4 b | 236.7 bc | 245.2 c | 242.2 bc |
| Non-fibrous carbohydrate (g m−2) | 216.7 a | 249.9 c | 232.6 b | 255.1 c | 217.4 a |
| Total digestible nutrients (g m−2) | 347.8 a | 404.7 c | 374.2 b | 394.0 c | 348.8 a |
| Combined forage | |||||
| Crude protein (g m−2) | 72.4 a | 88.7 b | 95.1 b | 107.6 c | 112.8 c |
| Ether extracts (g m−2) | 6.7 a | 8.8 b | 10.4 c | 11.3 d | 11.4 d |
| Neutral-detergent fiber (g m−2) | 337.0 a | 449.2 b | 498.0 c | 559.7 d | 573.4 d |
| Acid-detergent fiber (g m−2) | 231.7 a | 303.1 b | 325.8 c | 370.3 d | 374.3 d |
| Non-fibrous carbohydrate (g m−2) | 211.5 a | 277.3 c | 256.4 b | 284.7 c | 255.0 b |
| Total digestible nutrients (g m−2) | 385.3 a | 499.6 b | 509.5 b | 565.4 d | 552.7 d |
3.3. Combined Forage
3.3.1. Bromatological Traits
3.3.2. Nutrient Yield
4. Discussion
5. Conclusions
Supplementary Materials
Author Contributions
Funding
Data Availability Statement
Conflicts of Interest
References
- Malézieux, E.; Crozat, Y.; Dupraz, C.; Laurans, M.; Makowski, D.; Ozier-Lafontaine, H.; Rapidel, B.; De Tourdonnet, S.; Valantin-Morison, M. Mixing plant species in cropping systems: Concepts, tools and models: A review. Sustain. Agric. 2009, 29, 329–353. [Google Scholar] [CrossRef] [PubMed]
- Glaze-Corcoran, S.; Hashemi, M.; Sadeghpour, A.; Jahanzad, E.; Afshar, R.K.; Liu, X.; Herbert, S.J. Understanding intercropping to improve agricultural resiliency and environmental sustainability. Adv. Agron. 2020, 162, 199–256. [Google Scholar]
- Strydhorst, S.M.; King, J.R.; Lopetinsky, K.J.; Harker, K.N. Forage potential of intercropping barley with faba bean, lupin, or field pea. Agron. J. 2008, 100, 182–190. [Google Scholar] [CrossRef]
- Mousavi, S.R.; Eskandari, H. A General Overview on Intercropping and Its Advantages in Sustainable Agriculture. J. Appl. Environ. Biol. Sci. 2011, 1, 482–486. [Google Scholar]
- Altieri, M.A.; Funes-Monzote, F.R.; Petersen, P. Agroecologically efficient agricultural systems for smallholder farmers: Contributions to food sovereignty. Agron. Sustain. Dev. 2012, 32, 1–13. [Google Scholar] [CrossRef]
- Bedoussac, L.; Journet, E.P.; Hauggaard-Nielsen, H.; Naudin, C.; Corre-Hellou, G.; Jensen, E.S.; Prieur, L.; Justes, E. Ecological principles underlying the increase of productivity achieved by cereal-grain legume intercrops in organic farming. A review. Agron. Sustain. Dev. 2015, 35, 911–935. [Google Scholar] [CrossRef]
- Raseduzzaman, M.D.; Jensen, E.S. Does intercropping enhance yield stability in arable crop production? A meta-analysis. Eur. J. Agron. 2017, 91, 25–33. [Google Scholar] [CrossRef]
- Hauggaard-Nielsen, H.; Ambus, P.; Jensen, E.S. Temporal and spatial distribution of roots and competition for nitrogen in pea-barley intercrops—A field study employing 32p technique. Plant Soil 2001, 236, 63–74. [Google Scholar] [CrossRef]
- Corre-Hellou, G.; Fustec, J.; Crozat, Y. Interspecific competition for soil N and its interaction with N2 fixation, leaf expansion and crop growth in pea-barley intercrops. Plant Soil 2006, 282, 195–208. [Google Scholar] [CrossRef]
- Mariotti, M.; Masoni, A.; Ercoli, L.; Arduini, I. Above- and below-ground competition between barley, wheat, lupin and vetch in a cereal and legume intercropping system. Grass Forage Sci. 2009, 64, 401–412. [Google Scholar] [CrossRef]
- Bedoussac, L.; Justes, E. The efficiency of a durum wheat-winter pea intercrop to improve yield and wheat grain protein concentration depends on N availability during early growth. Plant Soil 2010, 330, 19–35. [Google Scholar] [CrossRef]
- Banik, P.; Midya, A.; Sarkar, B.K.; Ghose, S.S. Wheat and chickpea intercropping systems in an additive series experiment: Advantages and weed smothering. Eur. J. Agron. 2006, 24, 325–332. [Google Scholar] [CrossRef]
- Mariotti, M.; Masoni, A.; Ercoli, L.; Arduini, I. Forage potential of winter cereal/legume intercrops in organic farming. Ital. J. Agron. 2006, 1, 403. [Google Scholar] [CrossRef]
- Corre-Hellou, G.; Dibet, A.; Hauggaard-Nielsen, H.; Crozat, Y.; Gooding, M.; Ambus, P.; Dahlmann, C.; von Fragstein, P.; Pristeri, A.; Monti, M.; et al. The competitive ability of pea–barley intercrops against weeds and the interactions with crop productivity and soil N availability. Field Crop. Res. 2011, 122, 264–272. [Google Scholar] [CrossRef]
- Carton, N.; Naudin, C.; Piva, G.; Corre-Hellou, G. Intercropping winter lupin and triticale increases weed suppression and total yield. Agriculture 2020, 10, 316. [Google Scholar] [CrossRef]
- Trenbath, B.R. Intercropping for the management of pests and diseases. Field Crop. Res. 1993, 34, 381–405. [Google Scholar] [CrossRef]
- Chadfield, V.G.A.; Hartley, S.E.; Redeker, K.R. Associational resistance through intercropping reduces yield losses to soil-borne pests and diseases. New Phytol. 2022, 235, 2393–2405. [Google Scholar] [CrossRef] [PubMed]
- Lithourgidis, A.S.; Dordas, C.A.; Damalas, C.A.; Vlachostergios, D.N. Annual intercrops: An alternative pathway for sustainable agriculture. Aust. J. Crop Sci. 2011, 5, 396–410. [Google Scholar]
- Corre-Hellou, G.; Bedoussac, L.; Bousseau, D.; Chaigne, G.; Chataigner, C.; Celette, F.; Cohan, J.-P.; Coutard, J.-P.; Emile, J.C.; Floriot, M. Associations céréale-légumineuses multi-services. Innov. Agron. 2013, 30, 41–57. [Google Scholar]
- European Commision List of Potential Agricultural Practices that Eco-Schemes Could Support. Available online: https://agriculture.ec.europa.eu/sustainability/environmental-sustainability/sustainable-agricultural-practices-and-methods_en (accessed on 18 April 2024).
- Anil, L.; Park, J.; Phipps, R.H.; Miller, F.A. Temperate intercropping of cereals for forage: A review of the potential for growth and utilization with particular reference to the UK. Grass Forage Sci. 1998, 53, 301–317. [Google Scholar] [CrossRef]
- Pampana, S.; Arduini, I.; Andreuccetti, V.; Mariotti, M. Fine-Tuning N Fertilization for Forage and Grain Production of Barley–Field Bean Intercropping in Mediterranean Environments. Agronomy 2022, 12, 418. [Google Scholar] [CrossRef]
- Amigot, S.L.; Fulgueira, C.L.; Bottai, H.; Basílico, J.C. New parameters to evaluate forage quality. Postharvest Biol. Technol. 2006, 41, 215–224. [Google Scholar] [CrossRef]
- Coleman, S.W.; Moore, J.E. Feed quality and animal performance. Field Crop. Res. 2003, 84, 17–29. [Google Scholar] [CrossRef]
- Berkenkamp, B.; Meeres, J. Mixtures of Annual Crops for Forage in Central Alberta. Can. J. Plant Sci. 1987, 67, 175–183. [Google Scholar] [CrossRef]
- Eskandari, H.; Ghanbari, A.; Javanmard, A. Intercropping of cereals and legumes for forage production. Not. Sci. Biol. 2009, 1, 7–13. [Google Scholar] [CrossRef]
- Bacchi, M.; Monti, M.; Calvi, A.; Lo Presti, E.; Pellicanò, A.; Preiti, G. Forage potential of cereal/legume intercrops: Agronomic performances, yield, quality forage and ler in two harvesting times in a mediterranean environment. Agronomy 2021, 11, 121. [Google Scholar] [CrossRef]
- Angeletti, F.G.S.; Mariotti, M.; Tozzi, B.; Pampana, S. Herbage and Silage Quality Improved More by Mixing Barley and Faba Bean Than by N Fertilization or Stage of Harvest. Agronomy 2022, 12, 1790. [Google Scholar] [CrossRef]
- Liu, H.; Struik, P.C.; Zhang, Y.; Jing, J.; Stomph, T.-J. Forage quality in cereal/legume intercropping: A meta-analysis. Field Crop. Res. 2023, 304, 109174. [Google Scholar] [CrossRef]
- Pelzer, E.; Hombert, N.; Jeuffroy, M.-H.; Makowski, D. Meta-analysis of the effect of nitrogen fertilization on annual cereal–legume intercrop production. Agron. J. 2014, 106, 1775–1786. [Google Scholar] [CrossRef]
- Carr, P.M.; Martin, G.B.; Caton, J.S.; Poland, W.W. Forage and nitrogen yield of barley—Pea and oat—Pea intercrops. Agron. J. 1998, 90, 79–84. [Google Scholar] [CrossRef]
- Bedaso, N.H.; Bezabih, M.; Zewdu Kelkay, T.; Adie, A.; Khan, N.A.; Jones, C.S.; Mekonnen, K.; Wolde-meskel, E. Effect of fertilizer inputs on productivity and herbage quality of native pasture in degraded tropical grasslands. Agron. J. 2022, 114, 216–227. [Google Scholar] [CrossRef]
- Angeletti, F.G.S.; Pampana, S.; Saia, S.; Mariotti, M. Better Land and Nitrogen Complementarity for Green Forage Than for Silage in Barley–Field Bean Intercropping. Agronomy 2023, 13, 2886. [Google Scholar] [CrossRef]
- Kaiser, A.G.; Dear, B.S.; Morris, S.G. An evaluation of the yield and quality of oat–legume and ryegrass–legume mixtures and legume monocultures harvested at three stages of growth for silage. Aust. J. Exp. Agric. 2007, 47, 25. [Google Scholar] [CrossRef]
- Droushiotis, D.N. Mixtures of annual legumes and small-grained cereals for forage production under low rainfall. J. Agric. Sci. 1989, 113, 249–253. [Google Scholar] [CrossRef]
- Ayub, M.; Dewi, I.A.P.; Tanveer, A. Forage yield and quality of barley as influenced by nitrogen application and harvest dates. Pakistan J. Biol. Sci. 1999, 2, 1278–1282. [Google Scholar] [CrossRef]
- Mariotti, M.; Andreuccetti, V.; Arduini, I.; Minieri, S.; Pampana, S. Field bean for forage and grain in short-season rainfed Mediterranean conditions. Ital. J. Agron. 2018, 11, 208–215. [Google Scholar] [CrossRef]
- Ercoli, L.; Masoni, A.; Pampana, S.; Mariotti, M.; Arduini, I. As durum wheat productivity is affected by nitrogen fertilisation management in central Italy. Eur. J. Agron. 2013, 44, 38–45. [Google Scholar] [CrossRef]
- Pampana, S.; Masoni, A.; Mariotti, M.; Ercoli, L.; Arduini, I. Nitrogen fixation of grain legumes differs in response to nitrogen fertilisation. Exp. Agric. 2018, 54, 66–82. [Google Scholar] [CrossRef]
- Meyer, U. Growth Stages of Mono-and Dicotyledonous Plants—BBCH Monograph; Julius Kühn-Institut (JKI): Quedlinburg, Germany, 2018. [Google Scholar] [CrossRef]
- Martilotti, F.; Antongiovanni, M.; Rizzi, L.; Santi, E.; Bittante, G. Metodi di analisi per la valutazione degli alimenti d’impiego zootecnico. In Quaderni Metodologici (No. 8); IPRA, CNR: Rome, Italy, 1987. [Google Scholar]
- NRC. Nutrient Requirements of Dairy Cattle: Seventh Revised Edition, 2001; The National Academies Press: Washington, DC, USA, 2001; ISBN 978-0-309-06997-7. [Google Scholar]
- Lithourgidis, A.S.; Vasilakoglou, I.B.; Dhima, K.V.; Dordas, C.A.; Yiakoulaki, M.D. Forage yield and quality of common vetch mixtures with oat and triticale in two seeding ratios. Field Crop. Res. 2006, 99, 106–113. [Google Scholar] [CrossRef]
- Little, T.M.; Hills, F.J. Agricultural Experimentation Design and Analysis; Willey: New York, NY, USA, 1978. [Google Scholar]
- Miller, D.A. Forage Crops; McGraw-Hill: New York, NY, USA, 1984; ISBN 9780070419803. [Google Scholar]
- Snaydon, R.W. Replacement or Additive Designs for Competition Studies? J. Appl. Ecol. 1994, 28, 930–946. [Google Scholar] [CrossRef]
- Federer, W.T. Statistical Design and Analysis for Intercropping Experiments: Volume 1: Two Crops; Springer: Berlin, Germany, 2012; ISBN 978-1-4613-9305-4. [Google Scholar]
- Bulson, H.A.J.; Snaydon, R.W.; Stopes, C.E. Effects of plant density on intercropped wheat and field beans in an organic farming system. J. Agric. Sci. 1997, 128, 59–71. [Google Scholar] [CrossRef]
- Danso, S.K.A.; Zapata, F.; Hardarson, G.; Fried, M. Nitrogen fixation in fababeans as affected by plant population density in sole or intercropped systems with barley. Soil Biol. Biochem. 1987, 19, 411–415. [Google Scholar] [CrossRef]
- Kwabiah, A.B. Forage and nitrogen yield of barley as influenced by seeding and N rates. J. New Seeds 2005, 7, 43–51. [Google Scholar] [CrossRef]
- Ghanbari-Bonjar, A.; Lee, H.C. Intercropped field beans (Vicia faba) and wheat (Triticum aestivum) for whole crop forage: Effect of nitrogen on forage yield and quality. J. Agric. Sci. 2002, 138, 311–315. [Google Scholar] [CrossRef]
- Carr, P.M.; Horsley, R.D.; Poland, W.W. Barley, oat, and cereal-pea mixtures as dryland forages in the northern great plains. Agron. J. 2004, 96, 677–684. [Google Scholar] [CrossRef]
- Roberts, C.A.; Moore, K.J.; Johnson, K.D. Forage quality and yield of wheat-vetch at different stages of maturity and vetch seeding rates. Agron. J. 1989, 81, 57–60. [Google Scholar] [CrossRef]
- Martin, R.C.; Voldeng, H.D.; Smith, D.L. Intercropping corn and soybean for silage in a cool-temperature region: Yield, protein and economic effects. Field Crop. Res. 1990, 23, 295–310. [Google Scholar] [CrossRef]
- Hall, M.H.; Kephart, K.D. Management of spring-planted pea and triticale mixtures for forage production. J. Prod. Agric. 1991, 4, 213–218. [Google Scholar] [CrossRef]
- Willey, R.W.; Rao, M.R. A Competitive Ratio for Quantifying Competition Between Intercrops. Exp. Agric. 1980, 16, 117–125. [Google Scholar] [CrossRef]
- Stern, W.R. Nitrogen fixation and transfer in intercrop systems. Field Crop. Res. 1993, 34, 335–356. [Google Scholar] [CrossRef]
- Paynel, F.; Lesuffleur, F.; Bigot, J.; Diquélou, S.; Cliquet, J.-B. A study of 15N transfer between legumes and grasses. Agron. Sustain. Dev. 2008, 28, 281–290. [Google Scholar] [CrossRef]
- Kristensen, V.F. The production and feeding of whole-crop cereals and legumes in Denmark. In Whole-Crop Cereals; Chalcombe Publications: Canterbury, UK, 1992; pp. 21–37. [Google Scholar]
- Caballero, R.; Goicoechea, E.L.; Hernaiz, P.J. Forage yields and quality of common vetch and oat sown at varying seeding ratios and seeding rates of vetch. Field Crop. Res. 1995, 41, 135–140. [Google Scholar] [CrossRef]
- Khorasani, G.R.; Jedel, P.E.; Helm, J.H.; Kennelly, J.J. Influence of stage of maturity on yield components and chemical composition of cereal grain silages. Can. J. Anim. Sci. 1997, 77, 259–267. [Google Scholar] [CrossRef]
- Van Soest, P.J. Symposium on factors influencing the voluntary intake of herbage by ruminants: Voluntary intake in relation to chemical composition and digestibility. J. Anim. Sci. 1965, 24, 834–843. [Google Scholar] [CrossRef]
- Buxton, D.R. Quality-related characteristics of forages as influenced by plant environment and agronomic factors. Anim. Feed Sci. Technol. 1996, 59, 37–49. [Google Scholar] [CrossRef]
- Jung, H.-J.G. Forage Digestibility: The Intersection of Cell Wall Lignification and Plant Tissue Anatomy. In Proceedings of the III International Symposium Advances on Research Techniques for Ruminant Nutrition, Pirassununga, Brazil, 24–25 March 2011; pp. 137–160, 162–174. [Google Scholar]
- Salama, H.S.A. Yield and nutritive value of maize (Zea mays L.) forage as affected by plant density, sowing date and age at harvest. Ital. J. Agron. 2019, 14, 114–122. [Google Scholar] [CrossRef]
- Guyader, J.; Baron, V.S.; Beauchemin, K.A. Corn forage yield and quality for silage in short growing season areas of the canadian prairies. Agronomy 2018, 8, 164. [Google Scholar] [CrossRef]
- Zicarelli, F.; Sarubbi, F.; Iommelli, P.; Grossi, M.; Lotito, D.; Tudisco, R.; Infascelli, F.; Musco, N.; Lombardi, P. Nutritional Characteristics of Corn Silage Produced in Campania Region Estimated by Near Infrared Spectroscopy (NIRS). Agronomy 2023, 13, 634. [Google Scholar] [CrossRef]
- Mariotti, M.; Masoni, A.; Ercoli, L.; Arduini, I. Optimizing forage yield of durum wheat/field bean intercropping through N fertilization and row ratio. Grass Forage Sci. 2012, 67, 243–254. [Google Scholar] [CrossRef]
- Jensen, E.S.; Carlsson, G.; Hauggaard-Nielsen, H. Intercropping of grain legumes and cereals improves the use of soil N resources and reduces the requirement for synthetic fertilizer N: A global-scale analysis. Agron. Sustain. Dev. 2020, 40, 5. [Google Scholar] [CrossRef]
- Singh, A.; Schöb, C.; Iannetta, P.P.M. Nitrogen fixation by common beans in crop mixtures is influenced by growth rate of associated species. BMC Plant Biol. 2023, 23, 253. [Google Scholar] [CrossRef] [PubMed]
- Brooker, R.W.; Bennett, A.E.; Cong, W.F.; Daniell, T.J.; George, T.S.; Hallett, P.D.; Hawes, C.; Iannetta, P.P.M.; Jones, H.G.; Karley, A.J.; et al. Improving intercropping: A synthesis of research in agronomy, plant physiology and ecology. New Phytol. 2015, 206, 107–117. [Google Scholar] [CrossRef] [PubMed]
- Maitra, S.; Hossain, A.; Brestic, M.; Skalicky, M.; Ondrisik, P.; Gitari, H.; Brahmachari, K.; Shankar, T.; Bhadra, P.; Palai, J.B.; et al. Intercropping—A Low Input Agricultural Strategy for Food and Environmental Security. Agronomy 2021, 11, 343. [Google Scholar] [CrossRef]
- Stagnari, F.; Maggio, A.; Galieni, A.; Pisante, M. Multiple benefits of legumes for agriculture sustainability: An overview. Chem. Biol. Technol. Agric. 2017, 4, 2. [Google Scholar] [CrossRef]
- Li, C.; He, X.; Zhu, S.; Zhou, H.; Wang, Y.; Li, Y.; Yang, J.; Fan, J.; Yang, J.; Wang, G. Crop diversity for yield increase. PLoS ONE 2009, 4, e8049. [Google Scholar] [CrossRef] [PubMed]
- Hauggaard-Nielsen, H.; Jensen, E. Evaluating pea and barley cultivars for complementarity in intercropping at different levels of soil N availability. Field Crop. Res. 2001, 72, 185–196. [Google Scholar] [CrossRef]
- Ghaley, B.B.; Hauggaard-Nielsen, H.; Høgh-Jensen, H.; Jensen, E.S. Intercropping of wheat and pea as influenced by nitrogen fertilization. Nutr. Cycl. Agroecosystems 2005, 73, 201–212. [Google Scholar] [CrossRef]




| Bromatological Trait | Nitrogen Rate (kg ha−1) | ||||
|---|---|---|---|---|---|
| 0 | 50 | 100 | 150 | 200 | |
| Barley | |||||
| Crude protein (%) | 6.5 a | 6.3 a | 7.4 b | 8.5 c | 9.1 d |
| Ether extracts (%) | 1.18 b | 1.04 a | 1.30 c | 1.30 c | 1.24 bc |
| Ash (%) | 8.0 d | 7.0 a | 7.1 ab | 7.2 b | 7.5 c |
| Neutral-detergent fiber (%) | 61.1 a | 60.2 a | 63.7 b | 64.1 bc | 65.0 c |
| Acid detergent fiber (%) | 34.1 a | 35.2 b | 35.7 b | 36.9 c | 36.8 c |
| Acid detergent lignin (%) | 4.6 a | 5.1 a | 4.8 a | 4.6 a | 4.9 a |
| Non-fibrous carbohydrate (%) | 23.2 d | 25.5 e | 20.5 c | 18.9 b | 17.1 a |
| Total digestible nutrients (%) | 57.4 c | 55.9 b | 55.2 b | 53.7 a | 53.9 a |
| Relative feed value (%) | 96.1 c | 95.7 c | 90.1 b | 87.9 a | 86.8 a |
| Field bean | |||||
| Crude protein (%) | 12.9 a | 13.1 a | 13.3 a | 12.7 a | 13.7 a |
| Ether extracts (%) | 0.86 a | 1.00 d | 1.02 d | 0.93 b | 0.96 c |
| Ash (%) | 6.5 c | 5.8 a | 5.6 a | 5.7 a | 6.1 b |
| Neutral-detergent fiber (%) | 43.9 a | 44.3 a | 45.6 a | 44.4 a | 45.7 a |
| Acid detergent fiber (%) | 34.2 ab | 33.5 a | 35.5 c | 35.1 bc | 36.9 d |
| Acid detergent lignin (%) | 7.7 a | 7.8 a | 9.0 b | 8.2 ab | 9.0 b |
| Non-fibrous carbohydrate (%) | 35.7 a | 35.8 a | 34.5 a | 36.3 a | 33.6 a |
| Total digestible nutrients (%) | 57.2 cd | 58.1 d | 55.5 b | 56.0 bc | 53.8 a |
| Relative feed value (%) | 133.0 c | 132.8 c | 125.9 ab | 130.2 bc | 123.7 a |
| Combined forage | |||||
| Crude protein (%) | 10.8 a | 10.1 a | 10.4 a | 10.5 a | 11.0 a |
| Ether extracts (%) | 0.98 a | 1.01 a | 1.16 b | 1.12 b | 1.11 b |
| Ash (%) | 7.1 a | 6.3 a | 6.4 a | 6.4 a | 6.8 a |
| Neutral-detergent fiber (%) | 50.1 a | 51.3 b | 54.6 c | 54.5 c | 56.3 d |
| Acid detergent fiber (%) | 34.3 a | 34.2 a | 35.7 b | 36.0 bc | 36.7 c |
| Acid detergent lignin (%) | 6.6 a | 6.6 a | 6.9 a | 6.4 a | 6.7 a |
| Non-fibrous carbohydrate (%) | 31.1 c | 31.3 c | 27.5 b | 27.5 b | 24.7 a |
| Total digestible nutrients (%) | 57.0 c | 57.1 c | 55.3 b | 54.8 ab | 54.0 a |
| Relative feed value (%) | 119.8 c | 116.6 c | 107.9 b | 108.4 b | 103.6 a |
| Bromatological Trait | Cropping System | |
|---|---|---|
| Sole Crop | Intercropping | |
| Barley | ||
| Crude protein (%) | 6.0 a | 9.1 b |
| Ether extracts (%) | 1.22 a | 1.21 a |
| Ash (%) | 6.4 a | 8.4 b |
| Neutral-detergent fiber (%) | 60.7 a | 65.0 b |
| Acid detergent fiber (%) | 33.2 a | 38.3 b |
| Non-fibrous carbohydrate (%) | 25.7 b | 16.4 a |
| Total digestible nutrients (%) | 58.5 b | 51.9 a |
| Relative feed value (%) | 97.6 b | 85.1 a |
| Field bean | ||
| Crude protein (%) | 13.7 b | 12.6 a |
| Ether extracts (%) | 1.04 b | 0.87 a |
| Ash (%) | 6.5 b | 5.4 a |
| Neutral-detergent fiber (%) | 45.7 b | 43.9 a |
| Acid detergent fiber (%) | 35.7 a | 34.7 a |
| Non-fibrous carbohydrate (%) | 33.1 a | 37.2 b |
| Total digestible nutrients (%) | 55.7 a | 56.6 a |
| Relative feed value (%) | 125.9 a | 132.3 b |
| Combined forage | ||
| Crude protein (%) | 10.2 a | 10.9 b |
| Ether extracts (%) | 1.13 b | 1.03 a |
| Ash (%) | 6.4 a | 6.8 b |
| Neutral-detergent fiber (%) | 52.9 a | 53.8 a |
| Acid detergent fiber (%) | 34.5 a | 36.3 a |
| Non-fibrous carbohydrate (%) | 29.4 b | 27.2 a |
| Total digestible nutrients (%) | 56.8 b | 54.5 a |
| Relative feed value (%) | 112.1 a | 110.4 a |
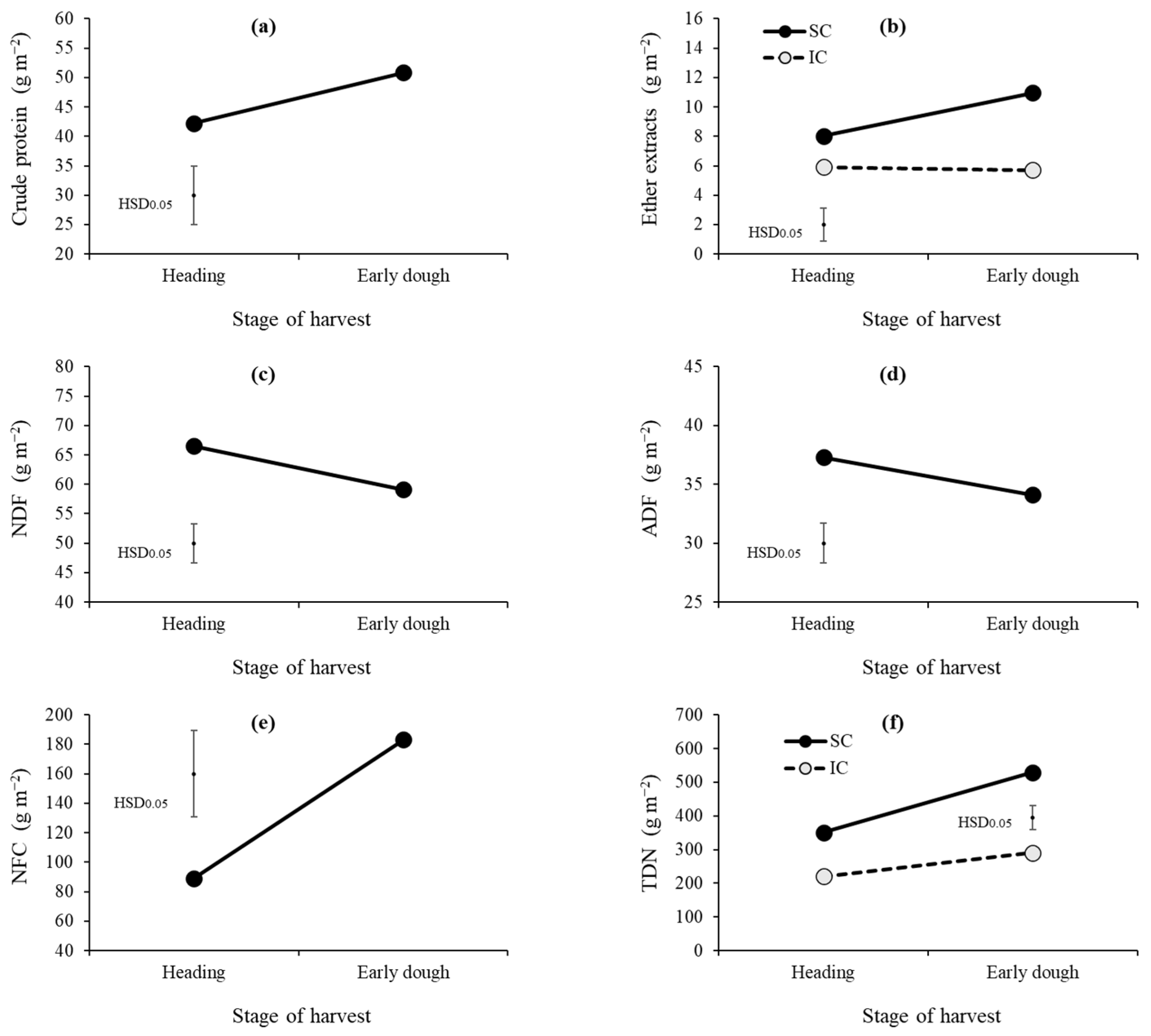
| Nutrient Yield | Stage of Harvest | |
|---|---|---|
| Heading | Early Dough | |
| Field bean | ||
| Crude protein (g m−2) | 83.1 a | 91.9 b |
| Ether extracts (g m−2) | 5.8 a | 7.1 b |
| Neutral-detergent fiber (g m−2) | 274.4 a | 320.9 b |
| Acid-detergent fiber (g m−2) | 211.8 a | 253.8 b |
| Non-fibrous carbohydrate (g m−2) | 190.4 a | 278.3 b |
| Total digestible nutrients (g m−2) | 327.5 a | 420.3 b |
| Combined forage | ||
| Crude protein (g m−2) | 89.7 a | 100.9 b |
| Ether extracts (g m−2) | 8.9 a | 10.5 b |
| Neutral-detergent fiber (g m−2) | 447.2 a | 519.8 b |
| Acid-detergent fiber (g m−2) | 294.4 a | 347.6 b |
| Non-fibrous carbohydrate (g m−2) | 193.7 b | 320.2 b |
| Total digestible nutrients (g m−2) | 427.4 a | 577.6 b |
| Nutrient Yield | Cropping System | |
|---|---|---|
| Sole Crop | Intercropping | |
| Field bean | ||
| Crude protein (g m−2) | 106.8 b | 68.2 a |
| Ether extracts (g m−2) | 8.2 b | 4.8 a |
| Neutral-detergent fiber (g m−2) | 356.7 b | 238.6 a |
| Acid-detergent fiber (g m−2) | 277.3 b | 188.3 a |
| Non-fibrous carbohydrate (g m−2) | 262.5 b | 206.1 a |
| Total digestible nutrients (g m−2) | 436.6 b | 311.2 a |
| Combined forage | ||
| Crude protein (g m−2) | 77.4 a | 113.2 b |
| Ether extracts (g m−2) | 8.8 a | 10.6 b |
| Neutral-detergent fiber (g m−2) | 409.3 a | 557.7 b |
| Acid-detergent fiber (g m−2) | 265.9 a | 376.2 b |
| Non-fibrous carbohydrate (g m−2) | 227.1 a | 286.9 b |
| Total digestible nutrients (g m−2) | 438.5 a | 566.5 b |
Disclaimer/Publisher’s Note: The statements, opinions and data contained in all publications are solely those of the individual author(s) and contributor(s) and not of MDPI and/or the editor(s). MDPI and/or the editor(s) disclaim responsibility for any injury to people or property resulting from any ideas, methods, instructions or products referred to in the content. |
© 2024 by the authors. Licensee MDPI, Basel, Switzerland. This article is an open access article distributed under the terms and conditions of the Creative Commons Attribution (CC BY) license (https://creativecommons.org/licenses/by/4.0/).
Share and Cite
Angeletti, F.G.S.; Pampana, S.; Arduini, I.; Saia, S.; Mariotti, M. Can Nitrogen Fertilization and Intercropping Modify the Quality and Nutrient Yield of Barley–Field Bean Forage? Agronomy 2024, 14, 1166. https://doi.org/10.3390/agronomy14061166
Angeletti FGS, Pampana S, Arduini I, Saia S, Mariotti M. Can Nitrogen Fertilization and Intercropping Modify the Quality and Nutrient Yield of Barley–Field Bean Forage? Agronomy. 2024; 14(6):1166. https://doi.org/10.3390/agronomy14061166
Chicago/Turabian StyleAngeletti, Francesco Giovanni Salvo, Silvia Pampana, Iduna Arduini, Sergio Saia, and Marco Mariotti. 2024. "Can Nitrogen Fertilization and Intercropping Modify the Quality and Nutrient Yield of Barley–Field Bean Forage?" Agronomy 14, no. 6: 1166. https://doi.org/10.3390/agronomy14061166
APA StyleAngeletti, F. G. S., Pampana, S., Arduini, I., Saia, S., & Mariotti, M. (2024). Can Nitrogen Fertilization and Intercropping Modify the Quality and Nutrient Yield of Barley–Field Bean Forage? Agronomy, 14(6), 1166. https://doi.org/10.3390/agronomy14061166

