Evaluation of Anti-Inflammatory Activity in Methanolic Seed Extracts of International Sorghum bicolor L. Resources
Abstract
1. Introduction
2. Materials and Methods
2.1. Extract Preparation
2.2. MTT Assay
2.3. Analysis of Anti-Inflammatory Activity Using LPS-Induced Macrophages
2.4. Analysis of Inflammation-Causing Genes Using Real-Time PCR
2.5. Statistical Analysis
3. Results and Discussion
3.1. Toxicity Evaluation of RAW 264.7 Cells to Measure Anti-Inflammatory Activity
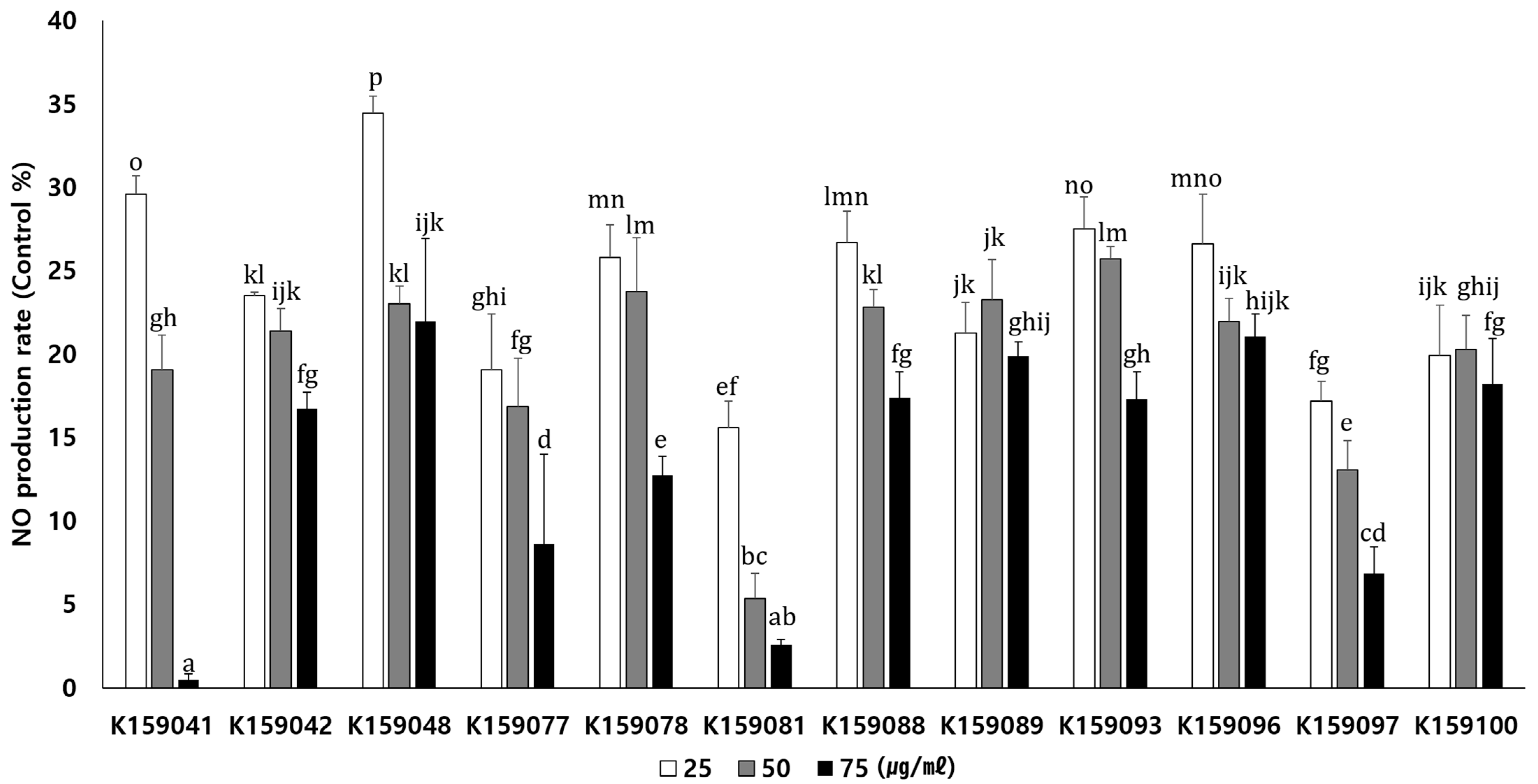
3.2. Anti-Inflammatory Activity Using Sorghum Extract
3.3. Inflammatory Gene Expression Analysis
4. Conclusions
Author Contributions
Funding
Data Availability Statement
Acknowledgments
Conflicts of Interest
References
- Duodu, K.G.; Taylor, J.R.N.; Belton, P.S.; Hamaker, B.R. Factors affecting sorghum protein digestibility. J. Cer. Sci. 2003, 38, 117–131. [Google Scholar] [CrossRef]
- Hossain, M.S.; Islam, M.N.; Rahman, M.M.; Mostofa, M.G.; Khan, M.A.R. Sorghum: A prospective crop for climatic vulnerability, food and nutritional security. J. Agric. Food Res. 2022, 8, 100300. [Google Scholar] [CrossRef]
- Queiroz, V.A.V.; da Silva, C.S.; de Menezes, C.B.; Schaffert, R.E.; Guimarães, F.F.M.; Guimarães, L.J.M.; Guimarães, P.E.d.O.; Tardin, F.D. Nutritional 16 composition of sorghum [Sorghum bicolor (L.) Moench] genotypes cultivated without and with water stress. J. Cer. Sci. 2015, 65, 103–111. [Google Scholar] [CrossRef]
- Rashwan, A.K.; Yones, H.A.; Karim, N.; Taha, E.M.; Chen, W. Potential processing technologies for developing sorghum-based food products: An update and comprehensive review. Trends Food Sci. Technol. 2021, 110, 168–182. [Google Scholar] [CrossRef]
- Meena, K.; Visarada, K.B.R.S.; Meena, D.K. Sorghum bicolor (L.) Moench a multifarious crop-fodder to therapeutic potential and biotechnological applications: A future food for the millennium. Future Foods 2022, 6, 100188. [Google Scholar] [CrossRef]
- Rezaee, N.; Fernando, W.M.A.D.B.; Hone, E.; Sohrabi, H.R.; Johnson, S.K.; Gunzburg, S.; Martins, R.N. Potential of sorghum polyphenols to prevent and treat Alzheimer’s disease: A review article. Fron. Aging Neurosci. 2021, 13, 1–24. [Google Scholar] [CrossRef]
- Hotamisligil, G.S. Inflammation and metabolic disorders. Nature 2006, 444, 860–867. [Google Scholar] [CrossRef]
- Lee, S.; Park, Y.; Zuidema, M.Y.; Hannink, M.; Zhang, C. Effects of interventions on oxidative stress and inflammation of cardiovascular diseases. World J. Cardiol. 2011, 3, 18–24. [Google Scholar] [CrossRef]
- Medzhitov, R. Origin and physiological roles of inflammation. Nature 2008, 454, 428–435. [Google Scholar] [CrossRef]
- Ohshima, H.; Bartsch, H. Chronic infections and inflammatory processes as cancer risk factors: Possible role of nitric oxide in carcinogenesis. Mutat. Res. Fundam. Mol. Mech. Mutagen. 1994, 305, 253–264. [Google Scholar] [CrossRef]
- Singh, R.P.; Sharad, S.; Kapur, S. Free radicals and oxidative stress in neurodegenerative diseases: Relevance of dietary antioxidants. J. Indian Acad. Clin. Med. 2004, 5, 218–225. [Google Scholar]
- Li, M.; Xu, T.; Zheng, W.; Gao, B.; Zhu, H.; Xu, R.; Deng, H.; Wang, B.; Wu, Y.; Sun, X.; et al. Triacylglycerols compositions, soluble and bound phenolics of red sorghums, and their radical scavenging and anti-inflammatory activities. Food Chem. 2021, 340, 128123. [Google Scholar] [CrossRef] [PubMed]
- Shim, T.J.; Kim, T.M.; Jang, K.C.; Ko, J.Y.; Kim, D.J. Toxicological evaluation and anti-inflammatory activity of a golden gelatinous sorghum bran extract. Biosci. Biotechnol. Biochem. 2013, 77, 697–705. [Google Scholar] [CrossRef]
- Kaufman, R.C.; Herald, T.J.; Bean, S.R.; Wilsona, J.D.; Tuinstra, M.R. Variability in tannin content, chemistry and activity in a diverse group of tannin containing sorghum cultivars. J. Sci. Food Agric. 2013, 93, 1233–1241. [Google Scholar] [CrossRef] [PubMed]
- Kim, J.; Noh, S.K.; Woo, K.S.; Seo, M.C. Sorghum extract lowers lymphatic absorption of trans fat and cholesterol in rats. J. Korean Soc. Food Sci. Nutr. 2016, 45, 783–788. [Google Scholar] [CrossRef][Green Version]
- Burdette, A.; Garner, P.L.; Mayer, E.P.; Hargrove, J.L.; Hartle, D.K.; Greenspan, P. Anti-inflammatory activity of select sorghum (Sorghum bicolor) brans. J. Med. Food 2010, 13, 879–887. [Google Scholar] [CrossRef] [PubMed]
- Hong, S.; Pangloli, P.; Perumal, R.; Cox, S.; Noronha, L.E.; Dia, V.P.; Smolensky, D.A. Comparative study on phenolic content, antioxidant activity and anti-inflammatory capacity of aqueous and ethanolic extracts of sorghum in lipopolyshaccaride-induced RAW264.7 macrophages. Antioxidants 2020, 9, 1297. [Google Scholar] [CrossRef]
- Seo, J.W.; Ham, D.Y.; Lee, J.G.; Kim, N.Y.; Kim, M.J.; Yu, C.Y.; Seong, E.S. Antioxidant activity, phenolic content, and antioxidant gene expression in genetic resources of Sorghum collected from Australia, Former Soviet Union, USA, Sudan and Guadeloupe. Agronomy 2023, 13, 1698. [Google Scholar] [CrossRef]
- Hwang, M.H.; Seo, J.W.; Han, K.J.; Kim, M.J.; Seong, E.S. Effect of Artificial light treatment on the physiological property and biological activity of the aerial and underground parts of Atractylodes macrocephala. Agronomy 2022, 12, 1485. [Google Scholar] [CrossRef]
- Angius, F.; Floris, A. Liposomes and MTT cell viability assay: An incompatible affair. Toxicol. Vitr. 2015, 29, 314–319. [Google Scholar] [CrossRef]
- Ra, J.E.; Park, J.Y.; Seo, W.D.; Sim, E.Y.; Ko, J.Y.; Nam, M.H.; Chung, I.M.; Han, S.I. Antioxidative and anti-inflammatory activity of extract from milling by-products of Sorghum cultivar, ‘Hwanggeumchal’. Korean J. Crop Sci. 2014, 59, 463–469. [Google Scholar] [CrossRef]
- Seo, J.W.; Kim, S.K.; Yoo, J.H.; Kim, M.J.; Seong, E.S. Soil conditions during cultivation affect the total phenolic and flavonoid content of rosemary. J. Appl. Biol. Chem. 2022, 65, 89–92. [Google Scholar] [CrossRef]
- Lopez, N.J.S.; Loarca-Piña, G.; Campos-Vega, R.; Martínez, M.G.; Sánchez, E.M.; Esquerra-Brauer, J.M.; Gonzalez-Aguilar, G.A.; Sánchez, M.R. The extrusion process as an alternative for improving the biological potential of Sorghum bran: Phenolic compounds and antiradical and anti-inflammatory capacity. Eviron. Based Complement Alter. Med. 2016, 8387975, 8. [Google Scholar]
- Fujihara, M.; Muroi, M.; Tanamoto, K.; Suzuki, T.; Azuma, H.; Ikeda, H. Molecular mechanisms of macro- phage activation and deactivation by lipopolysaccharide: Roles of the receptor complex. Pharmacol. Ther. 2003, 100, 171–194. [Google Scholar] [CrossRef] [PubMed]
- Jun, D.Y.; Woo, H.J.; Ko, J.Y.; Kim, Y.H. Anti-inflammatory activity of Sorghum bicolor (L.) Moench var. Hwanggeumchal grains in lipopolysaccharide-stimulated RAW264.7 murine macrophage cell line. J. Life Sci. 2022, 32, 929–937. [Google Scholar]
- Zhang, Y.; Li, M.; Gao, H.; Wang, B.; Tongcheng, X.; Gao, B.; Yu, L.L. Triacylglycerol, fatty acid, and phytochemical profiles in a new red sorghum variety (Ji Liang No. 1) and its antioxidant and anti-inflammatory properties. Food Sci. Nutr. 2019, 7, 949–958. [Google Scholar] [CrossRef]





| Primer | Orientation | Sequence (5′ to 3′) |
|---|---|---|
| β-actin | Forward | AGAGGGAAATCGTGCGTGAC |
| Reverse | CGATAGTGATGACCTGACCGT | |
| TNF-α | Forward | AGGGGATTATGGCTCAGGGT |
| Reverse | GAGTCCTTGATGGTGGTGCA | |
| COX-2 | Forward | CCCTCCTCACATCCCTGAGA |
| Reverse | ACTCTGTTGTGCTCCCGAAG | |
| iNOS | Forward | CTATGGCCGCTTTGATGTGC |
| Reverse | TTGGGATGCTCCATGGTCAC |
Disclaimer/Publisher’s Note: The statements, opinions and data contained in all publications are solely those of the individual author(s) and contributor(s) and not of MDPI and/or the editor(s). MDPI and/or the editor(s) disclaim responsibility for any injury to people or property resulting from any ideas, methods, instructions or products referred to in the content. |
© 2024 by the authors. Licensee MDPI, Basel, Switzerland. This article is an open access article distributed under the terms and conditions of the Creative Commons Attribution (CC BY) license (https://creativecommons.org/licenses/by/4.0/).
Share and Cite
Ham, D.Y.; Seo, J.W.; Choi, H.J.; Park, J.; Kim, N.Y.; Kim, M.J.; Yu, C.Y.; Seong, E.S. Evaluation of Anti-Inflammatory Activity in Methanolic Seed Extracts of International Sorghum bicolor L. Resources. Agronomy 2024, 14, 997. https://doi.org/10.3390/agronomy14050997
Ham DY, Seo JW, Choi HJ, Park J, Kim NY, Kim MJ, Yu CY, Seong ES. Evaluation of Anti-Inflammatory Activity in Methanolic Seed Extracts of International Sorghum bicolor L. Resources. Agronomy. 2024; 14(5):997. https://doi.org/10.3390/agronomy14050997
Chicago/Turabian StyleHam, Da Ye, Ji Won Seo, Hong Ju Choi, Jiu Park, Na Young Kim, Myong Jo Kim, Chang Yeon Yu, and Eun Soo Seong. 2024. "Evaluation of Anti-Inflammatory Activity in Methanolic Seed Extracts of International Sorghum bicolor L. Resources" Agronomy 14, no. 5: 997. https://doi.org/10.3390/agronomy14050997
APA StyleHam, D. Y., Seo, J. W., Choi, H. J., Park, J., Kim, N. Y., Kim, M. J., Yu, C. Y., & Seong, E. S. (2024). Evaluation of Anti-Inflammatory Activity in Methanolic Seed Extracts of International Sorghum bicolor L. Resources. Agronomy, 14(5), 997. https://doi.org/10.3390/agronomy14050997

