Different Land-Use Effects on Soil Aggregates and Aggregate-Associated Organic Carbon in Eastern Qinghai–Tibet Plateau
Abstract
1. Introduction
2. Materials and Methods
2.1. Sites
2.2. Samplings and Measurements
2.2.1. Experimental Design and Sampling
2.2.2. Aggregate Separation and Soil Properties
2.3. Statistical Analysis
3. Results
3.1. Soil Aggregate Fraction and Stability
3.2. Soil Aggregate-Associated SOC
3.3. Factors Controlling Soil Aggregates and Aggregate-Associated SOC
3.4. Factors Controlling Soil Aggregate Stability
4. Discussion
4.1. Response of Soil Aggregate Stability and Aggregate-Associated SOC to Land Use Conversion
4.2. Factors Controlling Aggregate-Associated SOC
4.3. Factors Controlling Soil Aggregate Stability
5. Conclusions
- (1)
- Soil aggregate stability decreased significantly with the conversion from grassland to cropland (p < 0.05); the aggregate stability of abandoned land was slightly higher than that of cropland (p > 0.05); the aggregate stability of grassland was significantly higher than that of abandoned land (p < 0.05);
- (2)
- As grassland was converted to cropland, soil organic carbon (SOC) reduced remarkedly (p < 0.05), which was because microaggregates and microaggregate-associated SOC increased significantly synchronously during this process (p < 0.05);
- (3)
- Soil aggregate stability was significantly positively correlated with SOC, microaggregate-associated SOC and SOC within silt + clay fraction (p < 0.05); significant positive associations were also detected between soil aggregate stability and silt content, and glomalin-related soil protein (p < 0.05);
- (4)
- There was a significant positive correlation between SOCs in bulk soil, and silt + clay and microaggregate fractions, which were all positively correlated with silt particles and glomalin-related soil protein (p < 0.05), suggesting that the combination of fine physical particles (represented by silt particles) and organic cementing material (represented by glomalin-related soil protein) may be the main mechanism of SOC formation in the studied region;
- (5)
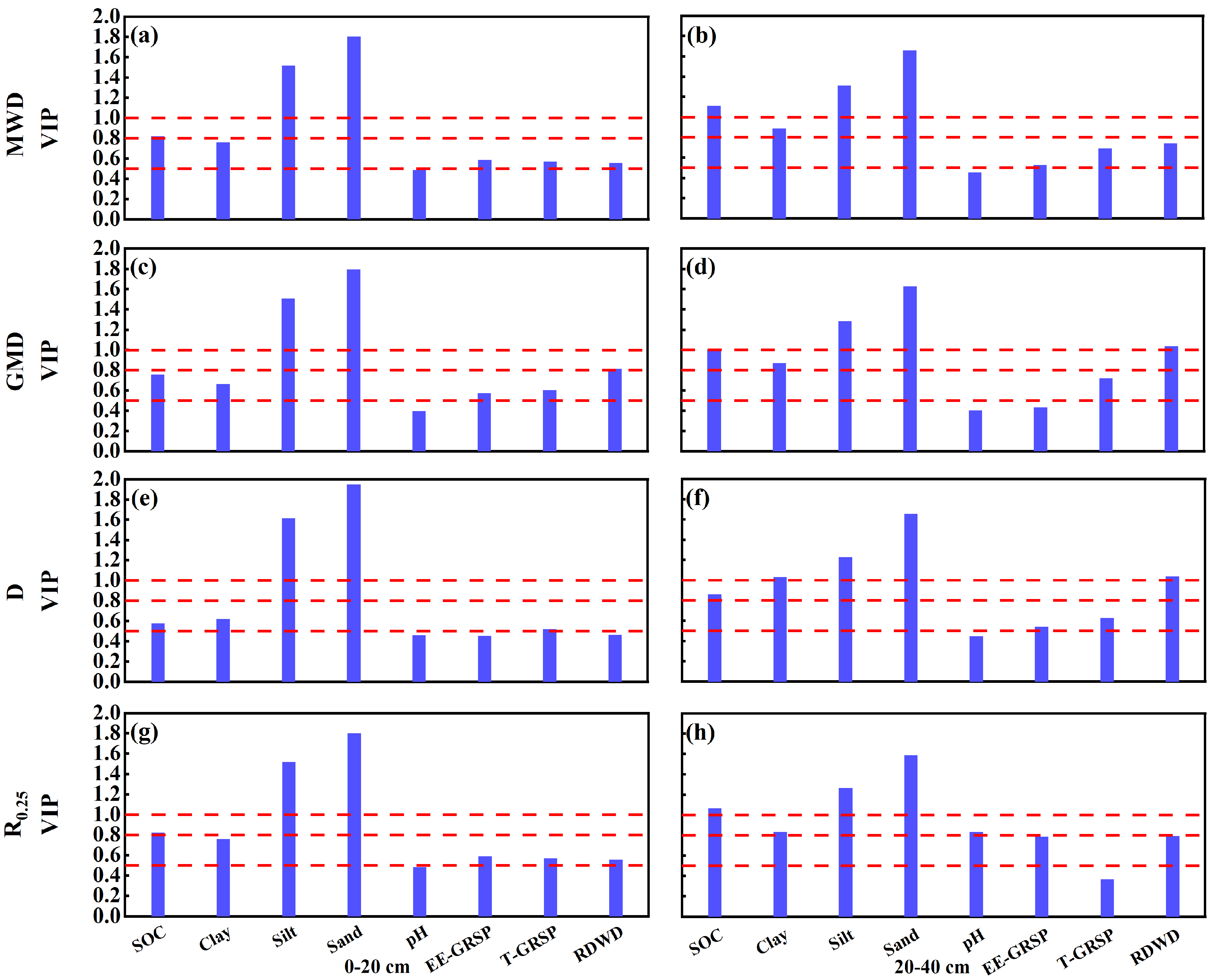
- Based on partial least squares regression, silt and sand could well predict aggregate stability and aggregate-associated SOC, followed by bulk organic caron and glomalin-related soil protein, indicating that, compared with biotic factors, abiotic factors represented by silt and sand were more effective in predicting aggregate stability and aggregate-associated SOC.
Author Contributions
Funding
Institutional Review Board Statement
Informed Consent Statement
Data Availability Statement
Acknowledgments
Conflicts of Interest
References
- Rounsevell, M.D.A.; Evans, S.P.; Bullock, P. Climate change and agricultural soils: Impacts and adaptation. Clim. Change 1999, 43, 683–709. [Google Scholar] [CrossRef]
- Oades, J.M.; Waters, A.G. Aggregate hierarchy in soils. Soil Res. 1991, 29, 815–828. [Google Scholar] [CrossRef]
- Seybold, C.A.; Herrick, J.E. Aggregate stability kit for soil quality assessments. Catena 2001, 44, 37–45. [Google Scholar] [CrossRef]
- Abdalla, M.; Hastings, A.; Chadwick, D.R.; Jones, D.L.; Evans, C.D.; Jones, M.B.; Rees, R.; Smith, P. Critical review of the impacts of grazing intensity on soil organic carbon storage and other soil quality indicators in extensively managed grasslands. Agric. Ecosyst. Environ. 2018, 253, 62–81. [Google Scholar] [CrossRef]
- Mao, Z.; Li, Q.; Wang, Y. Research on the application of a cement and soil aggregate for the ecological restoration of vegetation in artificial soil. PeerJ 2023, 11, e14657. [Google Scholar] [CrossRef]
- Blankinship, J.C.; Fonte, S.J.; Six, J.; Schimel, J.P. Plant versus microbial controls on soil aggregate stability in a seasonally dry ecosystem. Geoderma 2016, 272, 39–50. [Google Scholar] [CrossRef]
- Lützow, M.V.; Kögel-Knabner, I.; Ekschmitt, K.; Matzner, E.; Guggenberger, G.; Marschner, B.; Flessa, H. Stabilization of organic matter in temperate soils: Mechanisms and their relevance under different soil conditions—A review. Eur. J. Soil Sci. 2006, 57, 426–445. [Google Scholar] [CrossRef]
- Abid, M.; Lal, R. Tillage and drainage impact on soil quality: I. Aggregate stability, carbon and nitrogen pools. Soil Till. Res. 2008, 100, 89–98. [Google Scholar] [CrossRef]
- Foley, J.A.; DeFries, R.; Asner, G.P.; Barford, C.; Bonan, G.; Carpenter, S.R.; Chapin, F.; Coe, M.; Daily, G.; Gibbs, H.; et al. Global consequences of land use. Science 2005, 309, 570–574. [Google Scholar] [CrossRef]
- Bartholome, E.; Belward, A.S. GLC2000: A new approach to global land cover mapping from Earth observation data. Remote Sens. Environ. 2005, 26, 1959–1977. [Google Scholar] [CrossRef]
- Kunlanit, B.; Butnan, S.; Vityakon, P. Land–use changes influencing c sequestration and quality in topsoil and subsoil. Agronomy 2019, 9, 520. [Google Scholar] [CrossRef]
- Sun, Z.; Duan, S.; Jiang, Y.; Wang, Q.; Zhang, G. Dominant aggregate binding agent dynamics of quaternary ancient red soils under different land use patterns. Agronomy 2023, 13, 1572. [Google Scholar] [CrossRef]
- Parton, W.J.; Scurlock, J.M.O.; Ojima, D.S.; Schimel, D.S.; Hall, D.O.; Scopegram Group Members. Impact of climate change on grassland production and soil carbon worldwide. Glob. Chang. Biol. 1995, 1, 13–22. [Google Scholar] [CrossRef]
- Wang, Z.; Ma, S.; Hu, Y.; Chen, Y.; Jiang, H.; Duan, B.; Lu, X. Links between chemical composition of soil organic matter and soil enzyme activity in alpine grassland ecosystems of the Tibetan Plateau. Catena 2022, 218, 106565. [Google Scholar] [CrossRef]
- Dong, S.; Zhang, J.; Li, Y.; Liu, S.; Dong, Q.; Zhou, H.; Yeomans, J.; Li, Y.; Li, S.; Gao, X. Effect of grassland degradation on aggregate-associated soil organic carbon of alpine grassland ecosystems in the Qinghai-Tibetan Plateau. Eur. J. Soil Sci. 2020, 71, 69–79. [Google Scholar] [CrossRef]
- Ma, L.; Wang, Q.; Shen, S. Response of soil aggregate stability and distribution of organic carbon to alpine grassland degradation in Northwest Sichuan. Geoderma Reg. 2020, 22, e00309. [Google Scholar]
- Pu, Y.; Lang, S.; Wang, A.; Zhang, S.; Li, T.; Qian, H.; Wang, G.; Jia, Y.; Xu, X.; Yuan, D.; et al. Distribution and functional groups of soil aggregate-associated organic carbon along a marsh degradation gradient on the Zoige Plateau, China. Catena 2022, 209, 105811. [Google Scholar] [CrossRef]
- Li, Y.; Ma, Z.; Liu, Y.; Cui, Z.; Mo, Q.; Zhang, C.; Sheng, H.; Wang, W.; Zhang, Y. Variation in soil aggregate stability due to land use changes from alpine grassland in a high-altitude watershed. Land 2023, 12, 393. [Google Scholar] [CrossRef]
- Guo, Z.B.; Yan, G.; Zhang, R.H.; Li, F.M.; Zeng, Z.X.; Liu, H. Improvement of soil physical properties and aggregate-associated C, N, and P after cropland was converted to grassland in semiarid loess plateau. Soil Sci. 2010, 175, 99–104. [Google Scholar] [CrossRef]
- Kocyigit, R.; Demirci, S. Long-term changes of aggregate-associated and labile soil organic carbon and nitrogen after conversion from forest to grassland and cropland in northern Turkey. Land Degrad. Dev. 2012, 23, 475–482. [Google Scholar] [CrossRef]
- Zhu, G.Y.; Shangguan, Z.P.; Deng, L. Variations in soil aggregate stability due to land use changes from agricultural land on the Loess Plateau, China. Catena 2021, 200, 105181. [Google Scholar] [CrossRef]
- Zhang, L.; Tan, X.; Chen, H.; Liu, Y.; Cui, Z. Effects of Agriculture and Animal Husbandry on Heavy Metal Contamination in the Aquatic Environment and Human Health in Huangshui River Basin. Water 2022, 14, 549. [Google Scholar] [CrossRef]
- Paudel, B.; Wu, X.; Zhang, Y.; Rai, R.; Liu, L.; Zhang, B.; Khanal, N.; Koirala, H.; Nepal, P. Farmland abandonment and its determinants in the different ecological villages of the Koshi river basin, central Himalayas: Synergy of high-resolution remote sensing and social surveys. Environ. Res. 2020, 188, 109711. [Google Scholar] [CrossRef]
- Chen, Q.; Yang, L.; Luo, J.; Liu, F.; Zhang, Y.; Zhou, Q.; Guo, R.; Gu, X. The 300-year cropland changes reflecting climate impacts and social resilience at the Yellow River-Huangshui River Valley, China. Environ. Res. Lett. 2021, 16, 065006. [Google Scholar] [CrossRef]
- Yu, Y.; Wei, W.; Chen, L.D.; Jia, F.Y.; Yang, L.; Zhang, H.D.; Feng, T.J. Responses of vertical soil moisture to rainfall pulses and land uses in a typical loess hilly area, China. Solid Earth 2015, 6, 595–608. [Google Scholar] [CrossRef]
- Wei, X.; Shao, M.; Gale, W.J.; Zhang, X.; Li, L. Dynamics of aggregate-associated organic carbon following conversion of forest to cropland. Soil Biol. Biochem. 2013, 57, 876–883. [Google Scholar] [CrossRef]
- Nelson, D.W.; Sommers, L.E. Total carbon, organic carbon, and organic matter. In Methods of Soil Analysis, Part 2, 2nd ed.; Page, A.L., Ed.; John Wiley & Sons: Madison, WI, USA, 1996; Volume 14, pp. 961–1010. [Google Scholar]
- Wright, S.F.; Upadhyaya, A. Extraction of an abundant and unusual protein from soil and comparison with hyphal protein of arbuscular mycorrhizal fungi. Soil Sci. 1996, 161, 575–586. [Google Scholar] [CrossRef]
- Liu, H.; Zhang, M.; Lin, Z. Relative importance of climate changes at different time scales on net primary productivity—A case study of the Karst area of northwest Guangxi, China. Environ. Monit. Assess. 2017, 189, 1–11. [Google Scholar] [CrossRef]
- Hoover, A.N.; Emerson, R.; Cortez, M.; Owens, V.; Wolfrum, E.; Payne, C.; Crawford, J.F.; Farris, R.C.; Heaton, J.H.; Mayton, S.K.; et al. Key environmental and production factors for understanding variation in switchgrass chemical attributes. GCB Bioenergy 2022, 14, 776–792. [Google Scholar] [CrossRef]
- Baranian Kabir, E.; Bashari, H.; Mosaddeghi, M.R.; Bassiri, M. Soil aggregate stability and organic matter as affected by land use change in central Iran. Arch. Agron. Soil Sci. 2017, 63, 615–631. [Google Scholar] [CrossRef]
- Zhao, F.Z.; Fan, X.D.; Ren, C.J.; Zhang, L.; Han, X.H.; Yang, G.H.; Wang, J.; Doughty, R. Changes of the organic carbon content and stability of soil aggregates affected by soil bacterial community after afforestation. Catena 2018, 171, 622–631. [Google Scholar] [CrossRef]
- Ayoubi, S.; Karchegani, P.M.; Mosaddeghi, M.R.; Honarjoo, N. Soil aggregation and organic carbon as affected by topography and land use change in western Iran. Soil Till. Res. 2012, 121, 18–26. [Google Scholar] [CrossRef]
- Poirier, V.; Roumet, C.; Munson, A.D. The root of the matter: Linking root traits and soil organic matter stabilization processes. Soil Biol. Biochem. 2018, 120, 246–259. [Google Scholar] [CrossRef]
- Six, J.A.Ε.Τ.; Elliott, E.T.; Paustian, K. Soil macroaggregate turnover and microaggregate formation: A mechanism for C sequestration under no-tillage agriculture. Soil Biol. Biochem. 2000, 32, 2099–2103. [Google Scholar] [CrossRef]
- Qiu, L.; Wei, X.; Zhang, X.; Cheng, J.; Gale, W.; Guo, C.; Long, T. Soil organic carbon losses due to land use change in a semiarid grassland. Plant Soil 2012, 355, 299–309. [Google Scholar] [CrossRef]
- Li, G.L.; Pang, X.M. Effect of land-use conversion on C and N distribution in aggregate fractions of soils in the southern Loess Plateau, China. Land Use Pol. 2010, 27, 706–712. [Google Scholar] [CrossRef]
- Caravaca, F.; Lax, A.; Albaladejo, J. Soil aggregate stability and organic matter in clay and fine silt fractions in urban refuse-amended semiarid soils. Soil Sci. Soc. Am. J. 2001, 65, 1235–1238. [Google Scholar] [CrossRef]
- Cross, T.A. Global Distributions of Arbuscular Mycorrhizal Fungi. Ecosystems 2006, 9, 305–316. [Google Scholar]
- Wang, J.; Shu, K.; Wang, S.; Zhang, C.; Feng, Y.; Gao, M.; Cai, H. Soil enzyme activities affect SOC and TN in aggregate fractions in sodic-alkali soils, Northeast of China. Agronomy 2022, 12, 2549. [Google Scholar] [CrossRef]
- Zhu, G.; Deng, L.; Shangguan, Z. Effects of soil aggregate stability on soil N following land use changes under erodible environment. Agric. Ecosyst. Environ. 2018, 262, 18–28. [Google Scholar] [CrossRef]
- Zhang, S.; Li, Q.; Zhang, X.; Wei, K.; Chen, L.; Liang, W. Effects of conservation tillage on soil aggregation and aggregate binding agents in black soil of Northeast China. Soil Till. Res. 2012, 124, 196–202. [Google Scholar] [CrossRef]
- Spohn, M.; Giani, L. Water-stable aggregates, glomalin-related soil protein, and carbohydrates in a chronosequence of sandy hydromorphic soils. Soil Biol. Biochem. 2010, 42, 1505–1511. [Google Scholar] [CrossRef]
- Wright, S.F.; Upadhyaya, A. A survey of soils for aggregate stability and glomalin, a glycoprotein produced by hyphae of arbuscular mycorrhizal fungi. Plant Soil 1998, 198, 97–107. [Google Scholar] [CrossRef]





| Properties | Grassland | Cropland | Abandoned Land | |||
|---|---|---|---|---|---|---|
| 0–20 cm | 20–40 cm | 0–20 cm | 20–40 cm | 0–20 cm | 20–40 cm | |
| pH | 8.16 ± 0.07 a | 8.2 ± 0.43 A | 8.15 ± 0.18 a | 8.34 ± 0.22 A | 8.22 ± 0.11 a | 7.72 ± 2.1 A |
| RDWD (g m−3) | 1.47 ± 0.80 a | 0.98 ± 0.68 A | 0.53 ± 0.36 b | 0.23 ± 0.26 B | 0.54 ± 0.34 b | 0.13 ± 0.07 B |
| SOC (g kg−1) | 20.21 ± 4.22 a | 15.03 ± 3.17 A | 14.51 ± 5.28 b | 11.00 ± 5.15 B | 10.12 ± 6.62 c | 10.13 ± 5.58 B |
| D50 (µm) | 1.84 ± 7.61 a | 17.45 ± 3.24 A | 21.83 ± 7.61 a | 19.29 ± 6.97 A | 20.86 ± 6.70 a | 21.71 ± 7.74 A |
| Clay (%) | 8.57 ± 1.63 a | 8.52 ± 1.55 A | 8.22 ± 1.54 a | 9.59 ± 2.84 A | 8.65 ± 3.32 a | 8.88 ± 5.13 A |
| Silt (%) | 73.85 ± 6.26 a | 72.53 ± 3.58 A | 70.55 ± 6.54 a | 71.99 ± 5.77 A | 72.61 ± 6.02 a | 70.50 ± 4.29 A |
| Sand (%) | 16.51 ± 4.66 a | 18.03 ± 3.56 A | 21.23 ± 7.89 a | 18.41 ± 7.23 A | 18.73 ± 7.77 a | 20.24 ± 7.66 A |
| DV (mm) | 2.72 ± 0.02 a | 2.71 ± 0.02 A | 2.71 ± 0.02 a | 2.71 ± 0.03 A | 2.72 ± 0.02 a | 2.72 ± 0.02 A |
| T-GRSP (mg g−1) | 2.89 ± 0.27 a | 2.11 ± 0.36 A | 2.43 ± 0.45 b | 2.06 ± 0.52 A | 2.38 ± 0.53 b | 1.77 ± 0.64 A |
| EE-GRSP (mg g−1) | 0.64 ± 0.13 a | 0.47 ± 0.15 A | 0.54 ± 0.13 a | 0.46 ± 0.11 AB | 0.54 ± 0.16 a | 00.37 ± 0.12 C |
| Land Use | Soil Aggregate Fraction | ||
|---|---|---|---|
| >0.25 mm | 0.053–0.25 mm | <0.053 mm | |
| 0–20 cm | |||
| Grassland | 63.06 ± 11.24 a 1 | 27.32 ± 8.26 b | 9.63 ± 3.60 b |
| Cropland | 35.88 ± 18.86 b | 46.43 ± 15.19 a | 17.69 ± 5.17 a |
| Abandoned land | 39.09 ± 16.60 b | 44.07 ± 14.75 a | 16.85 ± 4.77 a |
| 20–40 cm | |||
| Grassland | 60.82 ± 5.93 a | 28.91 ± 3.33 b | 10.27 ± 4.26 b |
| Cropland | 28.27 ± 19.11 b | 50.53 ± 15.89 a | 21.20 ± 6.91 a |
| Abandoned land | 40.37 ± 18.71 b | 42.26 ± 12.75 a | 17.10 ± 8.15 a |
| Soil Aggregate | Land Use | Soil Depth | Land Use × Soil Depth | |||
|---|---|---|---|---|---|---|
| F | p | F | p | F | p | |
| Soil aggregate stability | ||||||
| R0.25 | 16.230 | <0.001 | 0.370 | 0.257 | 0.278 | 0.758 |
| D | 16.341 | <0.001 | 1.298 | 0.054 | 0.015 | 0.985 |
| MWD | 35.649 | <0.001 | 3.807 | 0.679 | 0.590 | 0.556 |
| GMD | 31.004 | <0.001 | 0.173 | 0.545 | 0.784 | 0.460 |
| Soil aggregate fraction | ||||||
| Macroaggregate | 16.230 | <0.001 | 0.370 | 0.545 | 0.278 | 0.758 |
| Microaggregate | 11.643 | <0.001 | 0.188 | 0.665 | 0.247 | 0.782 |
| Silt + clay | 17.305 | <0.001 | 0.553 | 0.459 | 1.305 | 0.276 |
| Land Use | SOC 1 | Soil Aggregate Fraction | ||
|---|---|---|---|---|
| >0.25 mm | 0.053–0.25 mm | <0.053 mm | ||
| 0–20 cm | ||||
| Grassland | 20.22 ± 4.23 a 2 | 21.87 ± 4.45 a | 16.66 ± 3.74 a | 16.30 ± 5.46 a |
| Cropland | 14.51 ± 5.29 b | 19.26 ± 8.07 ab | 11.96 ± 6.62 b | 14.82 ± 7.58 ab |
| Abandoned land | 10.00 ± 5.13 c | 15.74 ± 6.14 b | 10.30 ± 4.84 b | 10.13 ± 6.62 b |
| 20–40 cm | ||||
| Grassland | 15.03 ± 3.17 a | 15.96 ± 4.76 a | 13.97 ± 5.35 a | 12.89 ± 4.12 a |
| Cropland | 11.00 ± 5.14 b | 15.45 ± 7.75 a | 9.04 ± 4.44 b | 10.40 ± 5.96 a |
| Abandoned land | 10.13 ± 5.58 b | 10.64 ± 4.89 a | 7.94 ± 3.82 b | 9.56 ± 4.22 a |
| SOC 1 | Land Use | Soil Depth | Land Use × Soil Depth | |||
|---|---|---|---|---|---|---|
| F | p | F | p | F | p | |
| Bulk soil | 8.624 | <0.001 | 2.911 | 0.091 | 0.925 | 0.400 |
| Macroaggregate | 4.078 | <0.05 | 8.080 | <0.05 | 0.162 | 0.850 |
| Microaggregate | 8.829 | <0.001 | 2.849 | 0.095 | 0.096 | 0.909 |
| Silt + clay | 2.948 | <0.05 | 1.630 | 0.205 | 0.547 | 0.580 |
Disclaimer/Publisher’s Note: The statements, opinions and data contained in all publications are solely those of the individual author(s) and contributor(s) and not of MDPI and/or the editor(s). MDPI and/or the editor(s) disclaim responsibility for any injury to people or property resulting from any ideas, methods, instructions or products referred to in the content. |
© 2024 by the authors. Licensee MDPI, Basel, Switzerland. This article is an open access article distributed under the terms and conditions of the Creative Commons Attribution (CC BY) license (https://creativecommons.org/licenses/by/4.0/).
Share and Cite
Zhang, Y.; Li, Y.; Ma, Z.; Cui, Z.; Sheng, H.; Li, R. Different Land-Use Effects on Soil Aggregates and Aggregate-Associated Organic Carbon in Eastern Qinghai–Tibet Plateau. Agronomy 2024, 14, 990. https://doi.org/10.3390/agronomy14050990
Zhang Y, Li Y, Ma Z, Cui Z, Sheng H, Li R. Different Land-Use Effects on Soil Aggregates and Aggregate-Associated Organic Carbon in Eastern Qinghai–Tibet Plateau. Agronomy. 2024; 14(5):990. https://doi.org/10.3390/agronomy14050990
Chicago/Turabian StyleZhang, Yongkun, Ying Li, Zhanming Ma, Zilong Cui, Haiyan Sheng, and Runjie Li. 2024. "Different Land-Use Effects on Soil Aggregates and Aggregate-Associated Organic Carbon in Eastern Qinghai–Tibet Plateau" Agronomy 14, no. 5: 990. https://doi.org/10.3390/agronomy14050990
APA StyleZhang, Y., Li, Y., Ma, Z., Cui, Z., Sheng, H., & Li, R. (2024). Different Land-Use Effects on Soil Aggregates and Aggregate-Associated Organic Carbon in Eastern Qinghai–Tibet Plateau. Agronomy, 14(5), 990. https://doi.org/10.3390/agronomy14050990
