Abstract
The purpose of this work was to explore the feasibility of replacing all or part of peat with composted green waste (CGW) for vinca (Catharanthus roseus (L.) G. Don) and zinnia (Zinnia elegans Jacq.) cultivation. Seven different growing media were prepared as follows (volume/volume): T1, 100% CGW; T2, 80% CGW + 20% peat; T3, 60% CGW + 40% peat; T4, 50% CGW + 50% peat; T5, 40% CGW + 60% peat; T6, 20% CGW + 80% peat; and T7, 100% peat. In the course of the experiment, the physicochemical properties of the seven media were analyzed, and the growth of vinca and zinnia was determined. Studies showed that replacing peat completely or partially with CGW could significantly enhance the nutrient content, bulk density, water-holding capacity, total porosity, aeration porosity, water-holding porosity, organic matter, pH, and electrical conductivity of growing media. In comparison with what observed with T7 (control), shoot fresh weight (SFW), shoot dry weight (SDW), root fresh weight (RFW), root dry weight (RDW), plant height (HP), root length (RL), flower number (FN), total chlorophyll, and the content of chlorophyll a, chlorophyll b, and carotenoids in the leaves of vinca cultivated under T5 conditions increased by 36%, 34%, 84%, 27%, 34%, 25%, 157%, 62%, 60%, and 33%, respectively; SFW, SDW, RFW, RDW, HP, RL, FN, total chlorophylls, and the content of chlorophyll a, chlorophyll b, and carotenoids in the leaves of zinnia increased by 341%, 296%, 365%, 302%, 206%, 93%, 180%, 56%, 49%, 67%, 110%, respectively.
1. Introduction
At present, as China’s flower industry is developing rapidly, the demand for good growing media is increasing rapidly in the market. Peat has stable physical and chemical properties and high nutrient-exchange capacity and is widely used in flower cultivation []. However, in the short time, the non-renewable nature of peat limits its sustainable development. Its large-scale exploitation will cause serious damage to the wetland environment and release a large amount of greenhouse gases []. Therefore, it is urgent to find high-quality and low-cost peat substitutes. At present, because of the rapid growth of urban greenery and the continuous growth of the population in China, a large amount of green waste is being produced []. Green waste has long been considered of low value and is often discarded or disposed of by incineration or in landfills. In the long run, not only is its inherent value of not effectively utilized, but also this waste causes serious pollution to the environment []. Therefore, better ways to deal with green waste are needed. Composting has been widely regarded as the most economical and environmentally friendly way to deal with and manage green waste and can effectively convert green waste into harmless and mature humus-like substances (i.e., composted green waste-CGW) []. CGW can be used as a technologically and ecologically safe plant growth medium, effectively replacing peat as a cultivation substrate, due to the advantages it offers, such as its wide range of material sources, lack of pollution characteristics, low cost, and the richness of mineral nutrients and high content of humic substances it contains []. Gong et al. (2018) found that the growth and flowering of geraniums and marigolds in substrates supplemented with some CGW were superior to those in substrates supplemented with peat only, suggesting that CGW can be used as a substitute for peat in cultivation substrates []. Jara-Samaniego et al. (2017) used compost made from municipal solid waste in different proportions in place of peat as a seedling substrate for tomato, courgette, and chili pepper and showed that the best physicochemical properties of the substrates obtained were achieved when 25% of compost was mixed with peat, which significantly enhanced the growth and yield of the above crops []. Massad et al. found that a mixture of CGW and peat was effective in regulating the pH of the substrate and increasing the amount of nutrients in it when cultivating geraniums compared to peat only, improving the growth of geraniums, but the CGW portion might negatively affect the plants when it was too large []. Milinković et al. evaluated the chemical and microbiological properties of CGW as well as other compost products made from GW (compost tea) and showed that the above products were effective in inhibiting the growth of phytopathogenic bacteria and that the germination rate of the obtained plant seeds was higher []. Cacini et al. (2020) [] evaluated the effect of replacing peat with compost (CMP) and a glass matrix fertilizer (GMF) in rose growth medium and showed that CMP promoted the accumulation of rose biomass, GMF increased its root-to-crown ratio, and GMF-treated plants exhibited a lower chlorophyll content.
The above studies showed that when CGW replaces or partially replaces peat, the obtained substrate can effectively enhance the growth of plants or crops. The richness of nutrients and humus in CGW, as well as its ability to regulate the acid–base balance of the substrate resulted in better stability of the substrate, which effectively enhanced the growth of plants or crops. In addition, CGW may also contain some pathogen inhibitors, which add value to the compost and make it a high-quality alternative to peat in cultivation.
Vinca (Catharanthus roseus (L.) G. Don) belongs to the oleander family. It is a perennial semi-shrub, with deep green leave blades and light pink-white flowers. It can be planted as an ornamental plant in parks, gardens, and landscaping sites and has high economic value []. In addition, vinca is a famous perennial officinal plant and contains alkaloids with important pharmacological value []. Singh et al. (2023) used freshwater diatom biomass for the cultivation of periwinkle and showed that the substrate had some positive effects in promoting the growth of periwinkle leaves and increasing the number of flowers []. Zinnia (Zinnia elegans Jacq.) belongs to the Compositae family. It is an annual herb flower, with large and colorful flowers and a long flowering period, and a beautiful plant. It is widely used in flower beds and mirrors and is a good ornamental flower in summer and autumn in landscape construction. Sardoei et al. (2014) used different growing media (e.g., containing coconut compost, silt, a leaf fertilizer, etc.) to grow larkspur and showed that the leaf fertilizer was effective in increasing the flower diameter as well as the growth cycle of zinnia [].
Vinca and zinnia, studied in this work, are popular ornamental plants in urban areas. Although a variety of wastes have been used as peat substitutes [,,], there is a relative lack of information on the use of CGW as a peat substitute in the cultivation of vinca and zinnia. For the above-mentioned reasons, this study chose vinca and zinnia as experimental plants to investigate their growth in different growing media. This study verified the following assumptions: if peat is replaced with the appropriate proportion of CGW in the growth substrate, the physicochemical properties of the growth substrate will be improved, and the growth parameters of the flowers cultivated in this medium will significantly improve. The aim of the present study was to explore the physicochemical properties of growing media prepared with different ratios of peat and CGW and to study the effects on vinca and zinnia growth of different growing substrates.
2. Materials and Methods
2.1. Material Preparation
The vinca and zinnia plant seeds for this study were obtained from Yibo Land Green Plant Flagship Store (Suqian, China). The peat and vermiculite used as nursery media were bought from Beijing Forestry University Science and Technology Co., Ltd., Beijing, China. CGW was obtained from Beijing Botanical Garden, Beijing, China. In this experiment, different proportions of CGW were used instead of peat in soilless culture media. The physicochemical properties of peat and CGW are listed in Table 1.
2.2. Experiment Design
This study was conducted from April to August 2022 in the glasshouse nursery of Beijing Forestry University of Science and Technology Co., Ltd. A total of 7 treatments were set (Table 2). For each treatment, indicated as T1–T7, 5 replicates were set of the two kinds of flowers, vinca and zinnia. The treatments included six experimental groups (T1–T6) and one control group (T7). The flowchart of the experimental plan is shown in Figure 1.

Table 2.
Growing media composition (%, in volume) for the experimental treatments.

Figure 1.
Flow chart of the experimental plan. BD = bulk density; WHC = water-holding capacity; TPS = total porosity; APS = aeration porosity; WHP = water-holding porosity; EC = electrical conductivity; TN = total nitrogen; TP = total phosphorus; AP = available phosphorus; AK = available potassium; OM = organic matter; HP = plant height; RL = root length; FN = flower number; RDW = root dry weight; RFW = root fresh weight; SDW = shoot dry weight; SFW = shoot fresh weight; ChlorB = chlorophyll b; ChlorA = chlorophyll a; TolChlr = total chlorophylls.

Table 1.
Physicochemical properties and nutrient content of raw materials and growing media (T1–T7).
Table 1.
Physicochemical properties and nutrient content of raw materials and growing media (T1–T7).
Treatment | BD (g/cm³) | WHC (%) | TPS (%) | APS (%) | WHP (%) | pH |
---|---|---|---|---|---|---|
CGW | 0.41 (0.01) | 20.38 (3.27) | 34.56 (1.37) | 15.47 (0.19) | 19.09 (1.18) | 7.76 (0.03) |
Peat | 0.23 (0.01) | 265.07 (5.97) | 84.01 (0.55) | 13.21 (0.22) | 70.80 (0.47) | 6.70 (0.01) |
T1 | 0.41 (0.01) a | 20.38 (3.27) f | 34.56 (1.37) f | 15.47 (0.19) b | 19.09 (1.18) f | 7.76 (0.03) a |
T2 | 0.39 (0.00) a | 87.93 (4.60) e | 60.63 (1.03) e | 15.63 (0.27) b | 45.00 (0.84) e | 7.54 (0.02) b |
T3 | 0.36 (0.01) bc | 153.90 (1.85) c | 79.77 (0.84) c | 16.28 (0.14) a | 63.49 (0.76) d | 7.38 (0.02) c |
T4 | 0.34 (0.01) b | 142.43 (1.70) d | 75.56 (1.11) d | 13.35 (0.12) d | 62.21 (1.02) d | 7.34 (0.01) c |
T5 | 0.32 (0.01) cd | 185.25 (2.70) b | 83.64 (0.28) a | 14.41 (0.17) c | 69.23 (0.14) b | 7.16 (0.03) d |
T6 | 0.30 (0.00) d | 186.37 (2.41) b | 82.51 (0.44) b | 14.50 (0.17) c | 68.01 (0.24) c | 6.85 (0.03) e |
T7 | 0.23 (0.01) e | 265.07 (5.97) a | 84.01 (0.55) a | 13.21 (0.22) d | 70.80 (0.47) a | 6.70 (0.01) f |
aIM | <0.40 | >120.00 | 50.00–95.00 | 10.00–19.00 | 40.00–76.00 | 6.50–7.50 |
EC (mS/cm) | TN (g/kg) | TP (g/kg) | AP (g/kg) | AK (g/kg) | OM (g/kg) | |
CGW | 2.03 (0.01) | 20.60 (0.01) | 8.40 (0.01) | 0.49 (0.00) | 0.14 (0.00) | 407.59 (0.75) |
Peat | 0.25 (0.02) | 16.22 (0.01) | 1.04 (0.01) | 0.37 (0.00) | 0.11 (0.00) | 952.29 (1.59) |
T1 | 2.03 (0.01) a | 20.60 (0.01) a | 8.40 (0.01) a | 0.49 (0.00) a | 0.14 (0.00) a | 407.59 (0.75) g |
T2 | 1.50 (0.03) b | 20.40 (0.01) b | 6.09 (0.02) b | 0.45 (0.00) b | 0.14 (0.00) a | 548.19 (0.49) e |
T3 | 1.00 (0.02) c | 20.05 (0.01) c | 3.70 (0.00) c | 0.41 (0.00) d | 0.14 (0.00) a | 555.17 (0.49) f |
T4 | 0.95 (0.02) c | 19.99 (0.00) d | 3.67 (0.01) d | 0.44 (0.00) bc | 0.14 (0.00) a | 611.04 (0.49) d |
T5 | 0.74 (0.02) d | 19.69 (0.00) e | 3.649 (0.00) e | 0.44 (0.00) bc | 0.14 (0.00) a | 624.31 (0.49) c |
T6 | 0.68 (0.03) d | 18.38 (0.02) f | 2.56 (0.02) f | 0.43 (0.00) c | 0.14 (0.00) a | 716.02 (0.76) b |
T7 | 0.25 (0.02) e | 16.22 (0.01) g | 1.04 (0.01) g | 0.37 (0.00) e | 0.11 (0.00) b | 952.29 (1.59) a |
aIM | 0.10–2.00 | – | – | – | – | – |
Table 2 portrays T1–T7. Physicochemical properties of raw materials and growing media were determined during pot trials. Values are average values (SD), n = 5. According to LSD, differences in values followed by the same letter are not statistically significant at p < 0.05. CGW = composted green waste; BD = bulk density; WHC = water-holding capacity; TPS = total porosity; APS = aeration porosity; WHP = water-holding porosity; EC = electrical conductivity; TN = total nitrogen; TP = total phosphorus; AP = available phosphorus; AK = available potassium; OM = organic matter; aM = ideal medium, according to Garcia-Gomez et al. (2002) [] and Sun et al. (2016) [].
2.3. Greenhouse Pot Experiment
2.3.1. Preparation of Vinca and Zinnia Seedlings
The seedling process of vinca and zinnia was as follows. Firstly, the seedling media were prepared. Peat and vermiculite were mixed evenly according to the volume ratio of 8:2, and 1% carbendazim was mixed into a 72-well seedling tray of 540 mm × 280 mm, which was used for the cultivation of vinca and zinnia. Next, we used tweezers to insert vinca and zinnia seeds so that they pointed downward into the seedling media in the seedling trays (2–3 seeds per hole) and then covered them with a layer of about 0.5 cm of vermiculite for seedling emergence. After sowing, we watered the media until they were completely soaked. Before germination, we observed the seedling media every day to keep them dry, though not completely. After germination, we watered the media every 2 days to keep them moist. After 15 days, diluted (4000 times) water-soluble manure was applied to the seedlings (Huado Duo 1, N, P, K: 20-20-20, universal manure). After seedling emergence, 2–3 pairs of true leaves appeared. Growing media were prepared for seedling transfer in the different treatments.
2.3.2. Preparation of the Culture Media
Different proportions of CGW were used to replace peat to prepare the growing media for the pot experiments, as shown in Table 2, with five replicates for each treatment. The two ingredients were added to the pot in the chosen proportions and mixed with 1% carbendazim for sterilization and disinfection. The evenly mixed growing media were divided into two parts. One part was placed into 180 mm cylindrical plastic pots for transplanting vinca and zinnia seedlings; the other part was put into a plastic bag and used to measure the physicochemical properties of each growing medium after air-drying. We transplanted a well-grown vinca and zinnia seedling in each pot to start the pot culture experiments.
2.3.3. Pot Experiments
The potted cultivation and management of vinca and zinnia were similar, and are summarized as follows. We watered the plants every 2–3 days, each time until the soil was moist, to maintain sufficient moisture in the growing media, and no nutrients were provided during cultivation. After 100 days of cultivation, vinca and zinnia plants were collected, and the above- and underground components of vinca and zinnia were separated for measuring their growth indexes.
2.4. Methods for the Determination of the Physicochemical Characteristics of the Growing Media
The growing media and raw materials were measured for bulk density (BD), water-holding capacity (WHC), total porosity (TPS), aeration porosity (APS), and water-holding porosity (WHP) using the ring tool method []. The pH and EC values were calculated in water-based extracts at a solid/liquid ratio of 1:10 (w/v) []. Total nitrogen (TN) was analyzed by an improved micro-Kjeldahl nitrogen analyzer (KDY-9830, Beijing, China). Total phosphorus (TP) and available phosphorus (AP) were analyzed by molybdenum–antimony anti-spectrophotometry (Shanghai, China) []. Available potassium (AK) was measured by flame photometry []. Organic matter (OM) was measured by the K2CrO4 oxidation method []. All measurements were performed using five replicates.
2.5. Growth Parameters of Vinca and Zinnia
The growth parameters of vinca and zinnia were determined using the flowing method. We used a tape measure (measuring range: 0–100 cm) to determine the height of the vinca and zinnia plants, which is the height from the surface of the medium to the top of the vinca and zinnia plants. We used a tape measure to record the distance from the plant root base to the top of the tallest root, which is the root length. The flower number was also determined and recorded. After harvesting, the vinca and zinnia plants were washed with deionized water, their above- and below-ground portions were weighed, and the fresh weight (root and shoot) was recorded; then, the vinca and zinnia plants were dried at 75 °C for 30 min until the samples reached a constant weight, and the dry weight (root and shoot) was recorded. Photosynthetic pigments (total chlorophylls, chlorophyll a, b, and carotenoids) in fresh leaves were measured according to the method of Ahmed et al. (2012) []. The extinction coefficients in ethanol extracts (95%) of different photosynthetic pigments were determined by molybdenum–antimony anti-spectrophotometry. Three fresh leaves were randomly selected from each replicate and measured five times, and the average value was taken for statistical analysis.
2.6. Statistical Analysis
Statistical analysis was performed using SPSS22.0, and one-way ANOVA was conducted to determine whether the measured differences were significant. When the differences were statistically significant by ANOVA (p < 0.05), the LSD was used to separate the means. The evaluation of a correlation between plant growth indicators and physicochemical properties of the growing media was conducted using Canoco 4.5 redundancy analysis. The comprehensive evaluation system of plant morphology indexes was used to evaluate the growth and development of vinca and zinnia, and then the quality of different cultivation growing media was evaluated. The evaluation indexes evaluated included HP, RL, FN, SFW, RFW, SDW, RDW, chlorophylls a, b, total chlorophylls, and carotenoids. The specific methods were as follows []: (1) For vinca and zinnia under different growing media cultivation conditions, use the formula X (f) = (X − Xmin)/(Xmax − Xmin) to obtain the membership function value of the morphological index, where X refers to the measured value of an index in a certain growing medium, Xmax is the maximum value determined by this indicator, and Xmin is the minimum value determined by this indicator. (2) If an index is negatively correlated with plant morphology, its membership function value can be calculated by the inverse membership function X (f) = 1 − [(X − Xmin)/(Xmax − Xmin)]. (3) The membership function values of different morphological indexes for different cultivation growing media are accumulated, and the average value is the comprehensive evaluation index (CEI) for the plant. The higher the value, the better the plant growth and the quality of the growing media. The figures were prepared using Microsoft Excel 2019. The physicochemical properties and plant parameters were determined using five replicates.
3. Results
3.1. Physical Properties of the Growing Media
3.1.1. Total Porosity (TPS), Aeration Porosity (APS), and Water-Holding Porosity (WHP)
With the percentage of CGW increasing, the TPS of the different media decreased gradually. The TPS value was the highest for T7; except for T5, the differences in TPS between the other treatments and T7 were of statistical significance (p < 0.05). Except for T1, the TPS values of the treatments were all within the ideal range (50–95%) []. The value of APS increased with the increase in the proportion of CGW and was the highest for T3. The WHP value was the highest for T7, and the differences in WHP between the other treatments and T7 were of statistical significance (p < 0.05). Except for T1, the WHP value of the treatments were all within the ideal range (40–76%) [].
3.1.2. Bulk Density (BD) and Water-Holding Capacity (WHC)
Compared with T7, the BD values of T1–T6 increased by 78%, 70%, 57%, 48%, 39%, and 30%, respectively. The BD values of all treatments were in ideal (<0.40 g/cm3) []. The BD value generally increased with the addition of CGW. With the increase in the proportion of CGW, the WHC value of different growing media decreased gradually, and the T7 treatment showed the highest WHC value, which was distinctly different from that of the T1 treatment (p < 0.05); the WHC value of the T1 treatment was the lowest, and the differences in WHC between the other treatments were statistically significant (T2–T6) (p < 0.05). The WHC values were within the ideal range for all treatments apart from the T1 and T2 treatments. Compared with the WHC of T7, the WHC of T1–T6 was reduced by 92%, 67%, 42%, 46%, 30%, and 30%, respectively.
3.2. Chemical Properties of the Growing Media
3.2.1. pH and Electrical Conductivity (EC)
The pH and EC values of T1–T7 gradually increased with the percentage of CGW. The pH of the growing media varied remarkably (p < 0.05), ranging from 6.85 to 7.76 (Table 1). The T1 treatment had the highest pH value, statistically different from those of the other treatments (p < 0.05). The pH value of T7 was the lowest, and the difference between this value and the pH values of the other treatments was statistically significant (p < 0.05). The conductivity of different growing media was remarkable different (p < 0.05), and the EC value was in the range of 0.25–2.03 mS/cm (Table 1). The T1 treatment, with compost completely replacing peat, showed the highest EC value.
3.2.2. Nutrient Element and Organic Matter (OM) Content
The treatments T1–T6 had a higher TN level than T7, and the TN content in each treatment followed the order T3 > T2 > T5 > T4 > T1 > T6 > T7. The TP levels in the T2 treatment were obviously superior to those in the other treatments (p < 0.05). The AP content was maximum in T1 and minimum in T6. The AK content in the T7 treatment was markedly inferior to that in T1–T6 (p < 0.05), and the difference in AK content between the T1–T6 treatments was not a statistically significant. The OM in the T7 treatment was remarkably superior to that in the other treatments (p < 0.05).
3.3. Growth Indicators of Vinca and Zinnia
3.3.1. Plant Height, Root Length, and Flower Number
For vinca, the plant height (HP) with T1–T6 increased by 18%, 17%, 28%, 10%, 34%, and 30% respectively, compared that with T7 (Table 3). The RL of vinca with T1, T3, T5, and T6 increased by 4%, 14%, 25%, and 4%, respectively, compared with that measured with T7, showing marked contrasts depending on the treatment (p < 0.05). However, with T2 and T4, RL was the same as with T7, with no statistical and remarkable differences (p < 0.05). Except for the T4 treatment, the T1, T2, T3, T5, and T6 treatments increased the FN compared with T7, with increases of 71%, 114%, 129%, 157%, and 86%, respectively. It is worth noting that the HP, RL, and FN with the T5 treatment were the highest.

Table 3.
Effects of different growth media upon plant height, root length, and flower number in vinca and zinnia.
For zinnia, the HP, except for the T4 treatment (with which it decreased), increased with the treatments T1, T2, T3, T5, and T6 compared with T7, with increases of 78%, 112%, and 140%, 206%, 148%, respectively. The HP with T5 was the highest, and the differences in HP between the T1–T7 treatments was statistically significant (p < 0.05, Table 3). For zinnia, RL increased with T1–T6 by 15%, 7%, 70%, 50%, 93%, and 46%, respectively, compared with that measured with T7, and T5 promoted the highest increase. FN increased with T1–T6 increased by 20%, 80%, 180%, 60%, 180%, and 300%, respectively, compared with T7, and T6 promoted the highest increase.
3.3.2. Total Biomass
Shoot Biomass
For vinca, it can be seen in Figure 2a,b that an elevated percentage of CGW in the growing media could significantly increase the fresh and dry shoot weights, indicating that CGW promoted the growth of vinca shoots. The shoot fresh weight with T1–T6 was higher than that with T7. Especially, the T5 treatment significantly increased this index (p < 0.05) by 35% compared with the control (T7). In contrast, T1, T2, T3, T4, and T6 showed no significant differences in this index compared with T7 (p < 0.05), and promoted increases of 14%, 23%, 34%, 12%, and 26%, respectively. The shoot dry of weight with T1–T6 was higher than that with T7, and the T1, T3, T5, and T6 treatments promoted a remarkable increase in this index (p < 0.05) of 25%, 26%, 34%, and 31%, respectively. By contrast, although the difference was not quite remarkable (p < 0.05), this index with T2 and T4 was still better than with T7, with increases of 21% and 7%, respectively. It is worth noting that with T5, we recorded the highest fresh and dry weights.

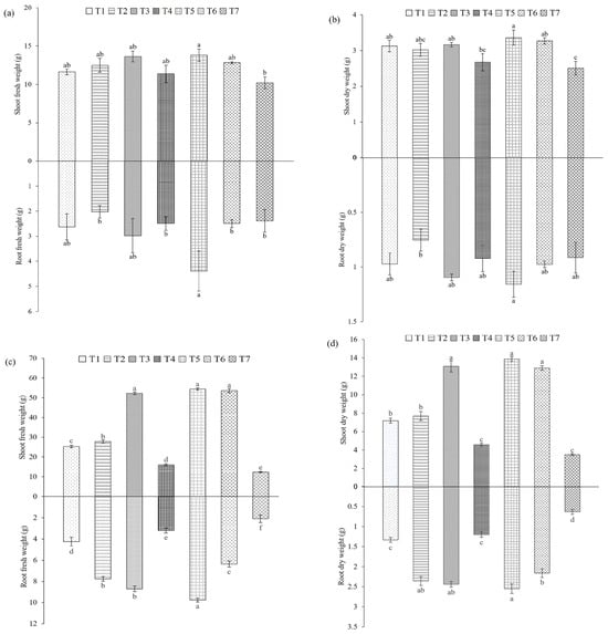
Figure 2.
The growing media affected the biomass (fresh and dry) of shoots and roots of vinca and zinnia. (a) Fresh weight of shoots and roots of vinca; (b) dry weight of shoots and roots of vinca; (c) fresh weight of shoots and roots of zinnia; (d) dry weight of shoots and roots of zinnia. Values are average values ± SD (n = 5). For each index, according to LSD, different letters on each bar within each figure indicate statistically meaningful differences at p < 0.05. The descriptions of T1–T7 are shown in Table 1.
For zinnia, it can be seen in Figure 2c,d that CGW supplementation could significantly increase the fresh and dry weights of the shoots (p < 0.05). The increase in shoot fresh weight with T1–T6 was 106%, 126%, 324%, 31%, 341%, and 334% higher than with T7, respectively, with remarkable differences (p < 0.05). The shoot dry weight with T1–T6 was higher than with T7, and the differences in this index between T1, T2, T3, T5, and T6 were significant (p < 0.05), with increases of 105%, 119%, 273%, 296%, and 268%, respectively. The index measured with T4 was slightly better than that with T7, with an increase of 31%, and the difference between these values was not statistically meaningful (p < 0.05). It is notably that with T5, we measured the highest shoot fresh and shoot dry weights.
Root Biomass
For vinca, it can be seen in Figure 2a that the root fresh weight with T1, T3, T4, T5, and T6 was higher than that with T7, with increases of 10%, 25%, and 84%, respectively. The difference in this index between T5 and T7 was remarkable (p < 0.05), and the root fresh weight was the greatest with T5 (4.4 g). The root fresh weight with T2 was lower than that with T7 by 15%, and the difference was not statistically meaningful (p < 0.05). The root dry weight also showed a similar trend (Figure 2b), with that measured with T5 still being the best (1.2 g). Except for T2, which provided the minimum root dry weight (18% less than that with T7), T1, T3, T4, T5, and T6 showed values of this index that were all a little higher than that obtained with T7 (p < 0.05), respectively, by 6%, 20%, 1%, 27%, and 7%.
For zinnia, it can be seen in Figure 2c that the root fresh weight with T1–T6 was higher than that with T7, with increases of 103%, 271%, 316%, 54%, 365%, and 204%, respectively, and significant differences between the measured values (p < 0.05). The root fresh weight with T5 was the maximum (9.8 g). The root dry weight with T1–T6 was greater than that with T7 (Figure 2d), with increasing rates of 110%, 272%, 285%, 302%, and 241%, respectively, and significant differences between the measured values (p < 0.05); T5 still showed the best index (2.6 g).
3.3.3. Photosynthetic Pigment Content
In vinca, the addition of CGW remarkably raised (p < 0.05) the photosynthetic pigment contents (chlorophyll a, chlorophyll b, total chlorophylls, and carotenoids), with the highest contents measured with T5 (Table 4). Compared with the control (T7), the amounts of chlorophyll a, chlorophyll b, carotenoids, and total chlorophylls with T5 increased by 60%, 33%, 49%, and 62%, respectively.

Table 4.
Effects of different growth media on photosynthetic pigment levels (based on fresh weight) in vinca and zinnia leaves.
For zinnia, the contents of chlorophyll a, chlorophyll b, and total chlorophylls followed the descending order T5 > T6 > T3 > T2 > T1 > T4 > T7 (Table 4). These contents with T1–T6 were remarkably better than with T7 (p < 0.05), showing increases of 49%, 67%, and 56% respectively, compared with T7; with T5, they were the highest. In addition, the content of carotenoids with the T5 treatment was also the best, showing an increase of 110% compared with that measured with T7.
3.4. Comprehensive Evaluation of the Effects of CGW on the Main Morphological Indicators of Vinca and Zinnia
In Table 5, the impacts of different cultivation growing media on vinca plants are ranked in the order T5 > T3 > T6 > T2 > T1 > T4 > T7, where T5 (40% CGW + 60% peat) had the highest overall evaluation index of 1.00, followed by T3 (80% CGW + 20% peat) with 0.66, while T7 (100% peat) was the least suitable growing medium for vinca cultivation.

Table 5.
Comprehensive evaluation of the main morphological indexes of vinca under different growth media.
It can be seen in Table 6 that the influence of the different cultivation media on zinnia plants followed the order T5 > T3 = T6 > T2 > T1 > T4 > T7. It appeared that the comprehensive evaluation index of zinnia plants under T5 (40% CGW + 60% pear) was the highest, corresponding to 0.96, followed by those under T3 (80% CGW + 20% peat) and T6 (20% CGW + 80% peat), which were the same, i.e., 0.78. T7 (100% peat) was the most unsuitable medium for the growth of zinnia.

Table 6.
Comprehensive evaluation of the main morphological indicators of zinnia under different treatments.
3.5. Redundancy Analysis
RDA was applied to study the association between the physicochemical properties of the growing media and the growth indicators of vinca and zinnia. For vinca, the front two shafts of the RDA map accounted for 62.04% of the change in the growth parameters (Figure 3a). The OM content in the growing media was positively associated with the plant carotenoid content and negatively associated with other growth indexes and with the photosynthetic pigment contents; EC, pH, TN, TP, AP, and AK were positively correlated with RDW, SDW, RFW, SFW, HP, RL, and FN, and negatively associated with the of photosynthetic pigment contents; BD and APS were negatively correlated with the carotenoid content and positively associated with other growth indicators and with the photosynthetic pigment contents; WHP, WHC, and TPS were negatively correlated with the chlorophyll b content, positively correlated with other photosynthetic pigment contents, negatively correlated with RDW, and positively correlated with other growth indicators. The positive association between growth indicators and physical and chemical properties was the most significant between chlorophyll b and AK; RDW was strongly correlated with AK and APS, and carotenoids were strongly correlated with TPS and WHP.

Figure 3.
RDA bidimensional ordination plots of the associations between vinca (a) and zinnia (b) parameters and the physicochemical properties of the media. The blue arrows show the growth parameters of vinca (a) and zinnia (b), and the red arrows show the physicochemical characteristics of the growing media. BD = bulk density; WHC = water-holding capacity; TPS = total porosity; APS = aeration porosity; WHP = water-holding porosity; EC = electrical conductivity; TN = total nitrogen; TP = total phosphorus; AP = available phosphorus; AK = available potassium; OM = organic matter; RDW = root dry weight; RFW = root fresh weight; SDW = shoot dry weight; SFW = shoot fresh weight; RL = root length; HP = plant height; FN = flower number. ChlorB = chlorophyll b; ChlorA = chlorophyll a; TolChlr = total chlorophylls.
For zinnia, the front two shafts of the RDA map accounted for 89.22% of the change in the growth parameters of zinnia (Figure 3b). The OM content was positively associated with RL and negatively associated with other growth indexes and the photosynthetic pigment contents; BD was negatively associated with RL and positively associated with other growth indexes and with the photosynthetic pigment contents; pH and EC were negatively correlated with SDW, SFW, carotenoids, FN, and RL and positively correlated with other growth indicators and with the photosynthetic pigment contents; WHC was positively associated with FN and RL and negatively associated with other growth indexes and with the photosynthetic pigment contents; WHP, TPS, and APS were positively correlated with the growth indexes and the photosynthetic pigment contents. RFW, RDW, HP, total chlorophylls, and AK showed the most significant positive correlations with the measured physical and chemical properties.
4. Discussion
4.1. Impacts of Composted Green Waste on the Physical Characteristics of the Growing Medias
4.1.1. Total Porosity (TPS), Aeration Porosity (APS), and Water-Holding Porosity (WHP)
TPS is the proportion of medium (uncompacted) expressed in terms of pore space and can reflect the water storage capacity of a growing medium []. The TPS of the growing media decreased significantly as the proportion of peat replaced by CGW increased (Table 1), with the highest TPS measured when peat alone was used. These results indicated that the T2–T7 media retained sufficient water in saturated conditions and their drainage rate was lower compared to that of the T1 medium. WHP and APS reflect the aeration as well as the permeability of the growing media, and again, WHP decreased with an increasing CGW ratio (Table 1). In contrast, APS (percentage volume of aerated space in the medium container) increased gradually with the addition of CGW (Table 1) []. The T1–T7 treatments had the APS of ideal cultivation growing medias (10–19%) []; the lower APS value of the T7 treatment may be related to the low APS value of peat itself. A low APS value may limit oxygen supply and gas flow in the plant growing medium, thus inhibiting plant development []. Adding CGW can increase the air volume. Since CGW itself is rich in pores, the water–gas balance in the matrix will also improve as its proportion increases (Table 1) [].
4.1.2. Bulk Density (BD) and Water-Holding Capacity (WHC)
BD can indicate the porosity, which will determine the speed at which air and oxygen pass through the matrix. BD increased with the increase in the CGW ratio (Table 1). This could be due to the high mineral fraction of CGW; so, treatments with higher CGW ratios had higher BD. An excessive BD would result in a gradual decrease in total porosity, which would change the distribution of the pore space in the growing media and lead to reduced air space and increased water retention. It can be seen in Table 1 that although the peat culture medium (T7) had the highest water-holding capacity, its too low BD led to excessive aeration of the growing media, at the same time reducing the available water and affecting plant growth. With the addition of CGW, the WHC gradually decreased, which could be due to the fact that CGW contains a large quantity of capillary pores [] that can transport water to the medium surface more quickly for vaporization; these observations are similar to the results of Ribeiro (2007) [].
4.2. Effect of Composted Green Waste on the Chemical Properties of the Growing Media
4.2.1. pH and Electrical Conductivity (EC)
As shown in Table 1, as the percentage of CGW in the growing medium increased, the pH also increased. The pH of the other treatments was intermediate, except for T1, and T2, which were in the ideal range (Table 1). It is a common phenomenon that the pH value increases due to the addition of compost in the growing medium []. In addition, other researchers noted the high cushioning ability of CGW []. The excessive pH of the T1 and T2 treatments may limit plant growth by limiting the availability and uptake of some nutrients []. The typical characteristics of peat are a low pH value and a low nutrient level (Table 1) []. Therefore, for T7 (100% peat), the pH value was the lowest but still within the ideal range. When a higher proportion of CGW replaced peat in the growing media, the EC value also grew, with the highest EC values measured for the peat-free growing medium (T1), but the EC values were not in the desired range. When replacing peat in the growing media with different proportions of CGW, the EC value increased with the proportion of CGW (Table 1), probably because the addition of CGW increased the production of inorganic compounds and the release of ions []. In addition, the presence of CGW increases the retention of ions in growing media []; so, the higher the proportion of CGW, the higher the EC of the growing medium.
4.2.2. Nutrient and Organic Matter in the Growing Media
As can be seen in Table 1, the increase in the percentage of CGW in the growing media led to a decrease in OM, which could be due to the incomplete minimization of the unstable component of organic matter in CGW []. In addition, during the production of CGW, many microorganisms (such as thermophilic and thermophilic bacteria) act on it, and the organic matter in it is largely decomposed; so, the higher the percentage of CGW in the substrate, the lower the OM content [].
When replacing peat in the growing media with different proportions of CGW, the higher the proportion of CGW, the higher the nutrient content in the growing media. The nutrient content in the T7 treatment was the lowest (Table 1), which was mainly due to the high CEC value of peat, the extremely slow movement of cations in it, and the complex composition of the peat cell wall; so, peat cannot meet the nutrient requirements for plant growth and causes low fertility []. In contrast, CGW contains more nutrient elements. It is reported that compost, especially compost containing biological solid materials, contains large amounts of nitrogen and micronutrients []. As a consequence, as the ratio of CGW in the growing media grew, the nutrient content in the compost also grew. The usability of plant nutrient elements, particularly P and K, can be significantly increased in growing media containing a high proportion of CGW. On the one hand, this may be due to the high proportion of these elements in the raw materials (Table 1), and on the other hand, it may be because CGW contains humic acid, fulvic acid, and other organic substances (Table 1) that have an important impact on the absorption of phosphorus by plants, because they prevent phosphorus precipitation []. However, it should be noted that an excessive increase in CGW percentage in the growing media (such as in the T1 and T2 treatments) may lead to the insufficient effectiveness of a large number of elements [].
4.3. Impacts of Different Growing Media on the Growth of Vinca and Zinnia
The growth and quality of potted plants depend on the characteristics of the growing medium applied. Due to the different proportions of compost, the supply of nutrient to plants grown in different growing media was the result of the overall physicochemical characteristics of the growing media, which directly affected the root growth of the plants [].
4.3.1. Impacts of Different Growing Media on the Growth Parameters of Vinca and Zinnia
The effect of composting on plant development parameters is intimately connected to the volume of compost in the growing medium, and the appropriate dose of compost in the growing medium is beneficial for plant growth []. As observed in Table 3 and Figure 2, with the T5 (40% CGW + 60% peat) treatment, the growth (SFW, RFW, SDW, RDW, HP, RL, and FN) of vinca and zinnia was the best. This may be due to the fact that the physicochemical properties of the growing medium were effectively improved in this treatment; the growing medium had a loose and porous structure, and its strong aeration as well as WHC provided a strong support for the healthy growth of the plants’ root system, which is essential for an effective nutrient uptake. In addition, the suitable pH and low EC values of the growing media (Table 1), which together promote plant growth and maintain their metabolic activity, significantly contributed to biomass accumulation in vinca and zinnia during their growth and development []. The reason why the addition of CGW was effective in improving the growing media is that it is rich in a large number of organic nutrients (Table 1), such as amino acids and sugars, which can be directly absorbed and utilized by plants. The presence of these organic nutrients significantly boosted the nutrient content of the growing media, providing the necessary nutritional support for the growth of vinca and zinnia []. As a result, their roots were able to accumulate more nutrients, which in turn promoted the rapid growth of the above-ground parts. Cacini et al. (2020) [] showed that the addition of an appropriate amount of compost to the growing media of Rose spp. cultivars promoted their biomass accumulation. Similar results were obtained by Zhao et al. (2013) [], who showed that the addition of compost to the growing medium was effective in increasing the nutrient content of the substrate and the number of leaves produced by Festuca arundinacea. It can be seen from the comprehensive evaluation that the CEI of the T5 treatment was the highest (Table 5 and Table 6), which further proves that this was the result of the comprehensive improvement of the physicochemical properties of the growing media. For other treatments, the effect on vinca and zinnia growth was worse. For example, the poor growth of plants subjected to the T1 treatment (100% CGW) was due to the poor physical properties of the growing medium, such as the high EC value and BD value and poor aeration (Table 1). A high EC value may cause imbalanced infiltration, leading to root burning and other phenomena, inhibiting the growth of plant roots []. The reason for the poor growth of plants with the T2 treatment may be that the high pH value (Section 3.2.1) of the growing medium significantly abated the availability of phosphorus elements, resulting in an insufficient supply of nutrients to the plants []. Plants growing in the growing media with a low CGW ratio, such as the T7 treatment medium (100% peat), promoted poor plant growth, which could be due to the lack of aeration in the root area owing to the low supplies of major nutriments and the typical high water-holding capacity of peat itself (Table 1) [], which has a negative influence on plant growth. For the T3, T4, and T6 treatments, although the physicochemical properties of their growing medias were within the ideal range, their CEIs were lower than that of the T5 treatment (Table 5 and Table 6).
4.3.2. Impacts of the Growing Media on Photosynthetic Pigments in Vinca and Zinnia Leaves
The inhibition of biomass accumulation is directly related to the process of photosynthesis, which depends on the pigment content []. It was shown that the addition of CGW significantly increased the leaf photosynthetic pigment content (chlorophyll a, chlorophyll b, carotenoids, and total chlorophyll content) in vinca and zinnia, and the photosynthetic pigment content decreased with the increase in CGW when the addition of CGW was greater than 40% (T1–T4). The photosynthetic pigment content was significantly higher with T1 than with T7, which may be attributed to the fact that the growth media for T1–T4 had higher pH and EC values or provided a less unsuitable physical environment (Table 1). Studies showed that the pH can have an effect on the solubility and availability of plant nutrients. When the pH is too high, the solubility of certain key trace elements that are necessary for the synthesis of the chlorophyll molecule is affected (e.g., iron, magnesium, etc.); these trace elements may be converted into forms that are difficult for the plant to assimilate, which can affect the formation of chlorophyll []. The results of the comprehensive photosynthetic pigment content in the leaves (chlorophyll a, chlorophyll b, total chlorophylls, carotenoids) and the matrix analysis showed that the photosynthetic pigment content with the T5 (40% CGW + 60% pear) treatment was clearly superior to those achieved with the other treatments (Table 4), and this treatment had the best effect on promoting the accumulation of chlorophyll in the leaves of vinca and zinnia. This could be due to the combined effect of the medium’s nutrients and physical properties. Since CGW has higher TN content and EC value than peat, this indicates that CGW is rich in mineral nutrients. Nitrogen is a key component in the synthesis of chlorophyll; so, a growing medium with a high nutrient content is more conducive to the synthesis of chlorophyll. In addition, the addition of CGW could effectively improve the physicochemical properties of the growing media, such as WHC, TPS, and aeration, which could help the roots to better absorb water and oxygen and thus promote the biochemical reactions related to photosynthesis (Table 1). In summary, the use of a certain percentage of CGW instead of peat can effectively enhance the photosynthetic capacity of plants by improving the nutrient supply and the physical conditions of the substrate, thereby promoting the synthesis of chlorophyll and carotenoids.
4.4. Interrelationship between the Growth Parameters and the Physicochemical Properties of the Growing Media in Vinca and Zinnia
Figure 3a,b show that WHC and WHP were the main suppression factors for the growth of vinca and zinnia. It is generally believed that the ideal water-holding porosity for flower cultivation is 40–76% []. In this work, the WHP of the growing media was in the ideal range, except for the T1 treatment (100% CGW). However, with the increase in the CGW ratio, the growth effects on vinca and zinnia gradually became worse, which could be due to the reduction in TPS and WHP, which reduced the aeration capacity of the growing media. The WHC values declined as the proportion of CGW in the growth media grew, which was also observed in other research reports where peat was replaced with compost in the growing media []. According to Garcia Gomez et al. (2002) [] a WHC of the growing media of more than 120% will be beneficial to the growth of plants. However, when the WHC of a growing medium is too high, it will lead to insufficient pore space (as observed with the T1 treatment) (Table 1), and thus to a lack of oxygen, and at the same time, the uptake of water and nutrients by plants will be strongly inhibited []. Therefore, in such cases, a frequent and small amount of water shall be used to maintain the proper water content through an automatic irrigation controller.
Furthermore, although the nutrient elements in growing media are not the main limiting factor for plant growth, it is still necessary to properly supplement nutrients during the cultivation of vinca and zinnia. In the present study, the growth parameters of vinca and zinnia were positively correlated with TN, TP, AP, and other nutrient contents in the growing media (Figure 3a,b), indicating that an adequate nutrient supply will greatly affect plant morphology. Adding CGW to the growing medium will increase the supply of TN, TP, AP, etc. (Section 4.2.2), which was shown to promote the growth of Calathea insignis in previous studies [].
5. Conclusions
Composted green waste instead of peat can achieve the goals of waste minimization, resourcing, and harmlessness through resource utilization, waste volume reduction, and the promotion of a circular economy, providing strong support for the construction of a green, circular, and low-carbon waste treatment system. This study shows that CGW can effectively improve the physicochemical features of growing media when replacing peat. For vinca and zinnia, we found that the CEI values of the T5 (40% CGW + 60% peat) treatment were the highest, 1.00 and 0.96, respectively, while the plant growth parameters (biomass, FL, HP, RL, and photosynthetic pigment contents, i.e., total chlorophylls, chlorophyll a, b, carotenoids) were the best. The results of the redundancy analysis indicated that the plant growth parameters were negatively correlated with WHC and WHP, while the nutrient composition of the cultivation medium had a positive correlation with plant growth. Water, as well as nutrients, should be appropriately supplemented during cultivation to avoid the effects of the waterlogging phenomenon on plant growth.
Although the results of this study show that CGW can be a substitute for peat in the cultivation of vinca and zinnia, careful consideration of the specific growing conditions and types of plants cultivated is required if the results are to be widely applied to actual production. In addition, although short-term studies showed that the composting of garden waste has a positive effect on the growth of periwinkle and larkspur, the long-term effects and the impact on the environment have not yet been adequately assessed, and further long-term observations and studies are needed in the future.
Author Contributions
Conceptualization, methodology, writing—original draft, L.M.; methodology, writing—review and editing, L.Z. All authors have read and agreed to the published version of the manuscript.
Funding
This study was supported by the National Natural Science Foundation of China (No. 32171751; No. 31700537) and the Beijing Natural Science Foundation (No. 6222039).
Data Availability Statement
Data will be made available on request.
Conflicts of Interest
The authors declare no conflicts of interest.
References
- Zhang, R.; Duan, Z.; Li, Z. Use of Spent Mushroom Growing media as Growing Media for Tomato and Cucumber Seedlings. Pedosphere 2012, 22, 333–342. [Google Scholar] [CrossRef]
- Xu, C.; Li, J.; Yuan, Q.; Liu, N.; Zhang, X.; Wang, P.; Gao, Y. Effects of different fermentation assisted enzyme treatments on the composition, microstructure and physicochemical properties of wheat straw used as a substitute for peat in nursery medias. Bioresour. Technol. 2021, 341, 125815. [Google Scholar] [CrossRef] [PubMed]
- Mattei, P.; Pastorelli, R.; Rami, G.; Mocali, S.; Giagnoni, L.; Gonnelli, C.; Renella, G. Evaluation of dredged sediment co-composted with green waste as plant growing media assessed by eco-toxicological tests, plant growth and microbial community structure. J. Hazard. Mater. 2017, 333, 144–153. [Google Scholar] [CrossRef] [PubMed]
- Zhang, L.; Sun, X.Y. Effects of bean dregs and crab shell powder additives on the composting of green waste. Bioresour. Technol. 2018, 260, 283–293. [Google Scholar] [CrossRef] [PubMed]
- Gong, X.Q.; Li, S.Y.; Sun, X.Y.; Zhang, L.; Zhang, T.; Wei, L. Maturation of green waste compost as affected by inoculation with the white-rot fungi Trametes versicolor and Phanerochaete chrysosporium. Environ. Technol. 2017, 38, 872–879. [Google Scholar] [CrossRef]
- Cáceres, R.; Coromina, N.; Malińska, K.; Marfà, O. Evolution of process control parameters during extended co-composting of green waste and solid fraction of cattle slurry to obtain growing media. Bioresour. Technol. 2015, 179, 398–406. [Google Scholar] [CrossRef] [PubMed]
- Gong, X.Q.; Li, S.Y.; Sun, X.Y.; Wang, L.; Cai, L.L.; Zhang, J.D.; Wei, L. Green waste compost and vermicompost as peat substitutes in growing media for geranium (Pelargonium zonale L.) and calendula (Calendula officinalis L.). Sci. Hortic. 2018, 236, 186–191. [Google Scholar] [CrossRef]
- Jara-Samaniego, J.; Pérez-Murcia, M.D.; Bustamante, M.A.; Pérez-Espinosa, A.; Paredes, C.; López, M.; López-Lluch, D.; Gavilanes-Terán, I.; Moral, R. Composting as sustainable strategy for municipal solid waste management in the Chimborazo Region, Ecuador: Suitability of the obtained composts for seedling production. J. Clean. Prod. 2017, 141, 1349–1358. [Google Scholar] [CrossRef]
- Massa, D.; Malorgio, F.; Lazzereschi, S.; Carmassi, G.; Prisa, D.; Burchi, G. Evaluation of two green composts for peat substitution in geranium (Pelargonium zonale L.) cultivation: Effect on plant growth, quality, nutrition, and photosynthesis. Sci. Hortic. 2018, 228, 213–221. [Google Scholar] [CrossRef]
- Milinković, M.; Lalević, B.; Jovičić-Petrović, J.; Golubović-Ćurguz, V.; Kljujev, I.; Raičević, V. Biopotential of compost and compost products derived from horticultural waste—Effect on plant growth and plant pathogens’ suppression. Process Saf. Environ. 2019, 121, 299–306. [Google Scholar] [CrossRef]
- Cacini, S.; Rinaldi, S.; Massa, D.; Nesi, B.; Epifani, R.; Trinchera, A. The effect of a glass matrix fertilizer and compost amendment on plant growth and mineral nutrition of two container-grown Rose spp. cultivars. Sci. Hortic. 2020, 274, 109660. [Google Scholar] [CrossRef]
- Kumar, S.; Singh, B.; Singh, R. Catharanthus roseus (L.) G. Don: A review of its ethnobotany, phytochemistry, ethnopharmacology and toxicities. J. Ethnopharmacol. 2022, 284, 114647. [Google Scholar] [CrossRef]
- Hassan, F.A.S.; Ali, E.; Gaber, A.; Fetouh, M.I.; Mazrou, R. Chitosan nanoparticles effectively combat salinity stress by enhancing antioxidant activity and alkaloid biosynthesis in Catharanthus roseus (L.) G. Don. Plant Physiol. Biochem. 2021, 162, 291–300. [Google Scholar] [CrossRef] [PubMed]
- Singh, P.K.; Saxena, A.; Tyagi, R.; Sindhu, R.; Binod, P.; Tiwari, A. Biomass valorization of agriculture wastewater grown freshwater diatom Nitzschia sp. for metabolites, antibacterial activity, and biofertilizer. Bioresour. Technol. 2023, 377, 128976. [Google Scholar] [CrossRef] [PubMed]
- Sardoei, A.S.; Fahraji, S.S.; Ghasemi, H. Effects of different growing media on growth and flowering of zinnia (Zinnia elegans). Int. J. Adv. Biol. Biomed. Res. 2014, 2, 1894–1899. [Google Scholar]
- Gupta, R.; Yadav, A.; Garg, V.K. Influence of vermicompost application in potting media on growth and flowering of marigold crop. Int. J. Recycl. Org. Waste Agric. 2014, 3, 1–7. [Google Scholar] [CrossRef]
- Garcia-Gomez, A.; Bernal, M.P.; Roig, A. Growth of ornamental plants in two composts prepared from agroindustrial wastes. Bioresour. Technol. 2002, 83, 81–87. [Google Scholar] [CrossRef]
- Sun, X.Y.; Li, S.Y.; Guo, C.; Yu, X.; Li, Y.; Gong, X.Q.; Tong, J.; Yu, Z.; Bai, J. Growing media for flowering trees and shrubs. LY/T 2700-2016. 2016. Available online: https://www.forestry.gov.cn/html/ghy/ghy_297/20221027150337259786856/file/20221027150427732691847.pdf (accessed on 25 March 2024). (In Chinese)
- Zhang, L.; Sun, X.Y.; Tian, Y.; Gong, X.Q. Composted green waste as a substitute for peat in growth media: Effects on growth and nutrition of Calathea insignis. PLoS ONE 2013, 8, e78121. [Google Scholar] [CrossRef]
- Jayasinghe, G.; Arachchi, I.; Tokashiki, Y. Evaluation of containerized growing medias developed from cattle manure compost and synthetic aggregates for ornamental plant production as a peat alternative. Resour. Conserv. Recycl. 2002, 54, 1412–1418. [Google Scholar] [CrossRef]
- Brittain, S.; Cox, A.; Tomos, A.; Paterson, E.; Siripinyanond, A.; McLeod, C. Chemical speciation studies on DU contaminated soils using flow field flow fractionation linked to inductively coupled plasma mass spectrometry (FlFFF-ICP-MS). J. Environ. Monit. 2012, 14, 782–790. [Google Scholar] [CrossRef]
- Ahmad, I.; Saquib, R.; Qasim, M.; Saleem, M.; Khan, A.; Yaseen, M. Humic acid and cultivar effects on growth, yield, vase life, and corm characteristics of gladiolus. Chil. J. Agric. Res. 2013, 73, 339–344. [Google Scholar] [CrossRef]
- Chen, X.; Min, D.; Yasir, T.; Hu, Y. Evaluation of 14 morphological, yield related and physiological traits as indicators of drought tolerance in Chinese winter bread wheat revealed by analysis of the membership function value of drought tolerance (MFVD). Field Crops Res. 2012, 137, 195–201. [Google Scholar] [CrossRef]
- Abad, M.; Noguera, P.; Burés, S. National inventory of organic wastes for use as growing media for ornamental potted plant production: Case study in Spain. Bioresour. Technol. 2001, 77, 197–200. [Google Scholar] [CrossRef] [PubMed]
- Atiyeh, R.; Edwards, C.; Subler, S.; Metzger, J. Pig manure vermicompost as a component of a horticultural bedding plant medium: Effects on physicochemical properties and plant growth. Bioresour. Technol. 2001, 78, 11–20. [Google Scholar] [CrossRef]
- Hicklenton, P.; Rodd, V.; Warman, P. The effectiveness and consistency of source-separated municipal solid waste and bark composts as components of container growing media. Sci. Hortic. 2001, 91, 365–378. [Google Scholar] [CrossRef]
- Lopez-Mondejar, R.; Bernal-Vicente, A.; Ros, M.; Tittarelli, F.; Canali, S.; Intrigiolo, F.; Pascual, J. Utilisation of citrus compost-based growing media amended with Trichodermaharzianum T-78 in Cucumismelo L. seedling production. Bioresour. Technol. 2010, 101, 3718–3723. [Google Scholar] [CrossRef] [PubMed]
- Cai, H.; Chen, T.; Liu, H.; Gao, D.; Zheng, G.; Zhang, J. The effect of salinity and porosity of sewage sludge compost on the growth of vegetable seedlings. Sci. Hortic. 2010, 124, 381–386. [Google Scholar] [CrossRef]
- Ribeiro, H.; Romero, A.; Pereira, H.; Borges, P.; Cabral, F.; Vasconcelos, E. Evaluation of a compost obtained from forestry wastes and solid phase of pig slurry as a growing media for seedlings production. Bioresour. Technol. 2007, 98, 3294–3297. [Google Scholar] [CrossRef] [PubMed]
- Massa, D.; Prisa, D.; Lazzereschi, S.; Cacini, S.; Burchi, G. Heterogeneous response of two bedding plants to peat substitution by two green composts. Hortic. Sci. 2018, 45, 164–172. [Google Scholar] [CrossRef]
- Costello, R.; Sullivan, D. Determining the pH Buffering Capacity of Compost Via Titration with Dilute Sulfuric Acid. Waste Biomass Valorization 2014, 5, 505–513. [Google Scholar] [CrossRef]
- Marschner, P.; Rengel, Z. Marschner’s Mineral Nutrition of Higher Plants, 1st ed.; Chapter 12—Nutrient Availability in Soils; Academic Press: Cambridge, MA, USA, 2012; pp. 315–330. [Google Scholar]
- Raviv, M.; Chen, Y.; Inbar, Y. Peat and Peat Substitutes as Growth Media for Container-Grown Plants; Springer: Dordrecht, The Netherlands, 1986. [Google Scholar]
- Zhang, L.; Sun, X.Y. Influence of bulking agents on physical, chemical, and microbiological properties during the two-stage composting of green waste. Waste Manag. 2016, 48, 115–126. [Google Scholar] [CrossRef] [PubMed]
- Banegas, V.; Moreno, J.L.; Moreno, J.I.; Garcia, C.; Leon, G.; Hernandez, T. Composting anaerobic and aerobic sewage sludges using two proportions of sawdust. Waste Manag. 2007, 27, 1317–1327. [Google Scholar] [CrossRef]
- Benito, M.; Masaguer, A.; De Antonio, R.; Moliner, A. Use of pruning waste compost as a component in soilless growing media. Bioresour. Technol. 2005, 96, 597–603. [Google Scholar] [CrossRef] [PubMed]
- Yang, W.; Zhang, L. Addition of mature compost improves the composting of green waste. Bioresour. Technol. 2022, 350, 126927. [Google Scholar] [CrossRef]
- Bustamante, M.; Paredes, C.; Moral, R.; Agulló, E.; Pérez-Murcia, M.; Abad, M. Composts from distillery wastes as peat substitutes for transplant production. Resour. Conserv. Recycl. 2008, 52, 792–799. [Google Scholar] [CrossRef]
- Aleandri, M.; Chilosi, G.; Muganu, M.; Vettraino, A.; Marinari, S.; Paolocci, M.; Luccioli, E.; Vannini, A. On farm production of compost from nursery green residues and its use to reduce peat for the production of olive pot plants. Sci. Hortic. 2015, 193, 301–307. [Google Scholar] [CrossRef]
- Gruda, N. Increasing Sustainability of Growing Media Constituents and Stand-Alone Growing medias in Soilless Culture Systems. Agronomy 2019, 9, 298. [Google Scholar] [CrossRef]
- Hartz, T.; Costa, F.; Schrader, W. Suitability of Composted Green Waste for Horticultural Uses. HortScience 1996, 31, 961–964. [Google Scholar] [CrossRef]
- Zhao, S.; Jia, L.; Duo, L. The use of a biodegradable chelator for enhanced phytoextraction of heavy metals by Festuca arundinacea from municipal solid waste compost and associated heavy metal leaching. Bioresour. Technol. 2013, 129, 249–255. [Google Scholar] [CrossRef]
- Cozzolino, V.; Meo, V.; Monda, H.; Spaccini, R.; Piccolo, A. The molecular characteristics of compost affect plant growth, arbuscular mycorrhizal fungi, and soil microbial community composition. Biol. Fertil. Soils 2016, 52, 15–29. [Google Scholar] [CrossRef]
- Barrett, G.; Alexander, P.; Robinson, J.; Bragg, N. Achieving environmentally sustainable growing media for soilless plant cultivation systems—A review. Sci. Hortic. 2016, 212, 220–234. [Google Scholar] [CrossRef]
Disclaimer/Publisher’s Note: The statements, opinions and data contained in all publications are solely those of the individual author(s) and contributor(s) and not of MDPI and/or the editor(s). MDPI and/or the editor(s) disclaim responsibility for any injury to people or property resulting from any ideas, methods, instructions or products referred to in the content. |
© 2024 by the authors. Licensee MDPI, Basel, Switzerland. This article is an open access article distributed under the terms and conditions of the Creative Commons Attribution (CC BY) license (https://creativecommons.org/licenses/by/4.0/).