Effects of Straw Amendment in Combination with Synthetic N Fertilizer Addition on N2O, N2, and Their Stoichiometric Ratios in Three Different Agro-Ecosystems
Abstract
1. Introduction
2. Materials and Methods
2.1. Experimental Sites
2.2. Measurement of Soil Parameters
2.3. Incubation Experiment for Soil Gas Measurements
2.4. DNA Extraction and 16s rRNA Sequencing
2.5. Statistical Analysis
3. Results
3.1. Soil Mineral N Variables from the Three Soil Types
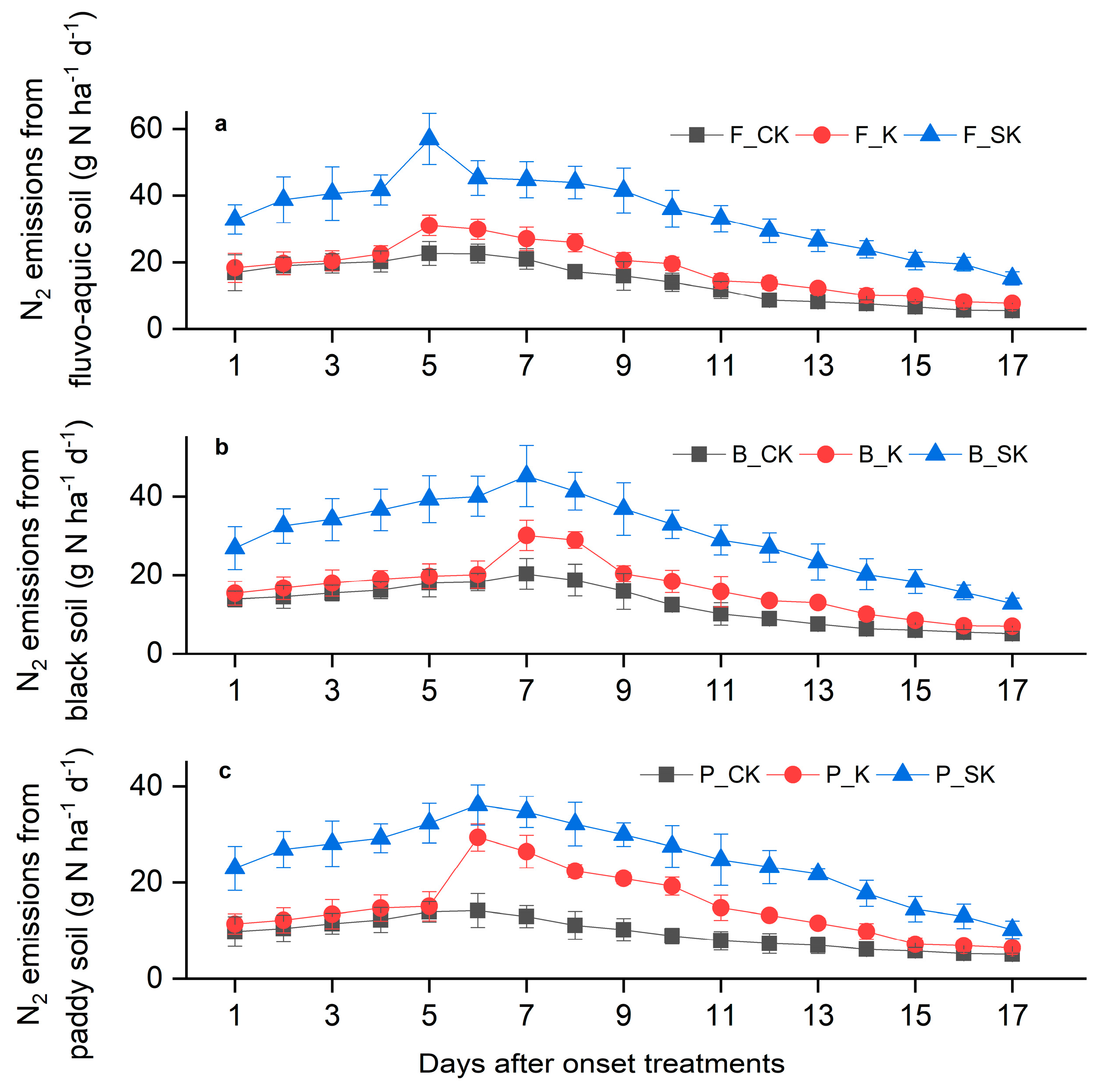
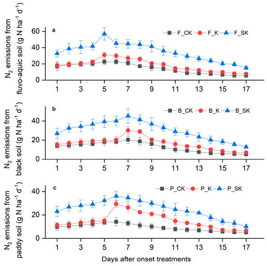
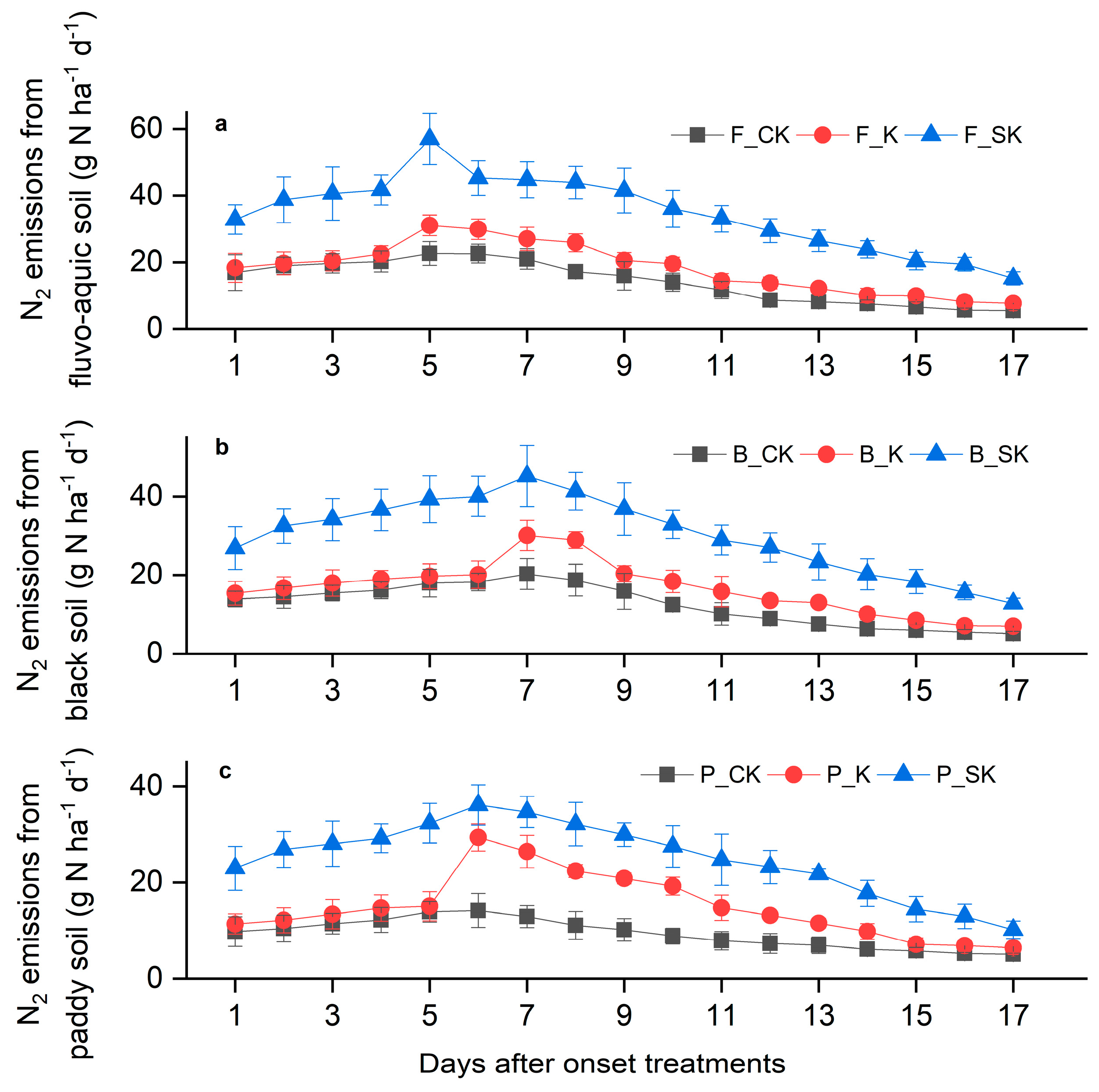
3.2. Temporal Emissions of N2O and N2 Emissions from Three Different Soil Types
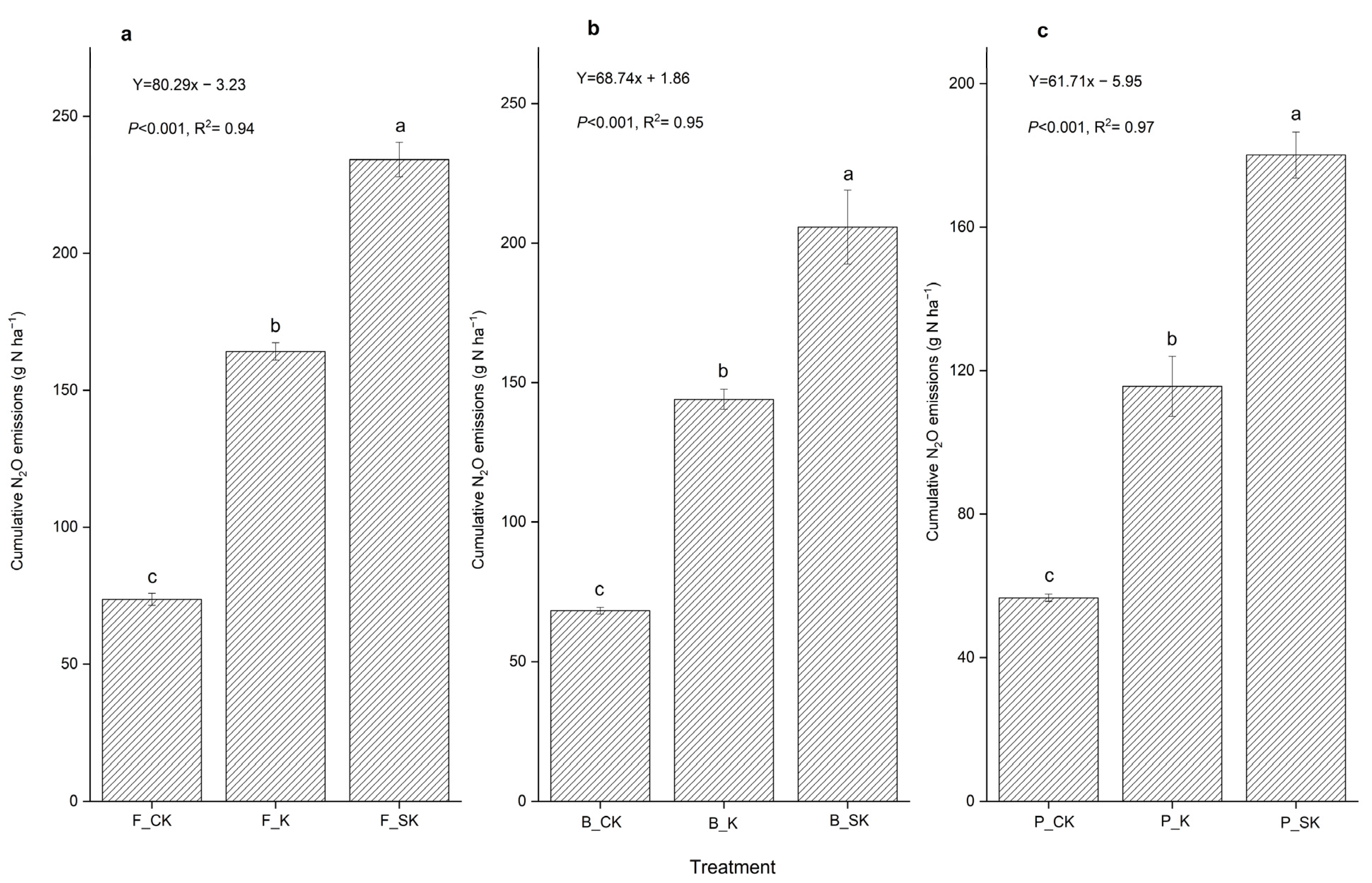
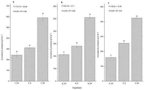
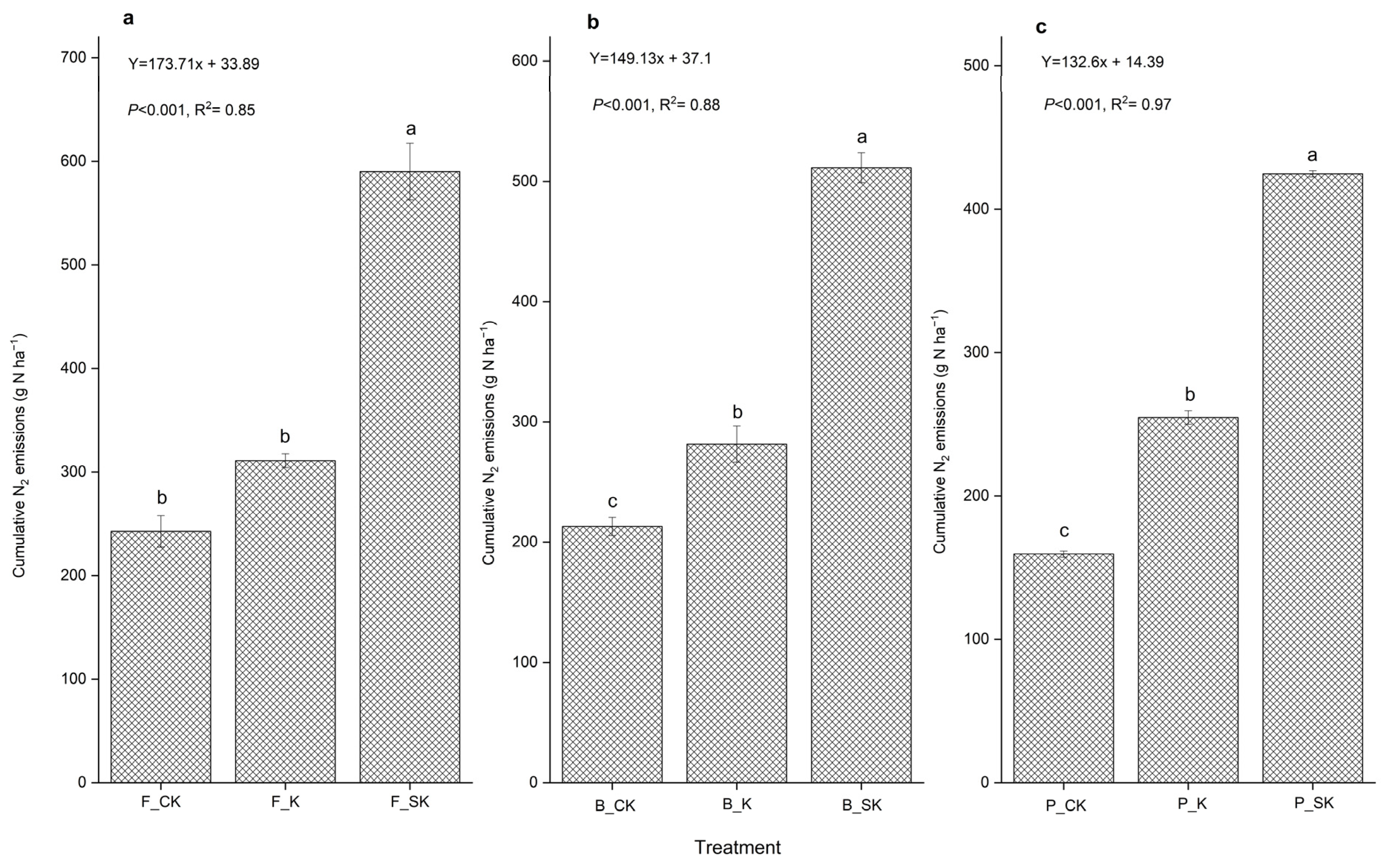
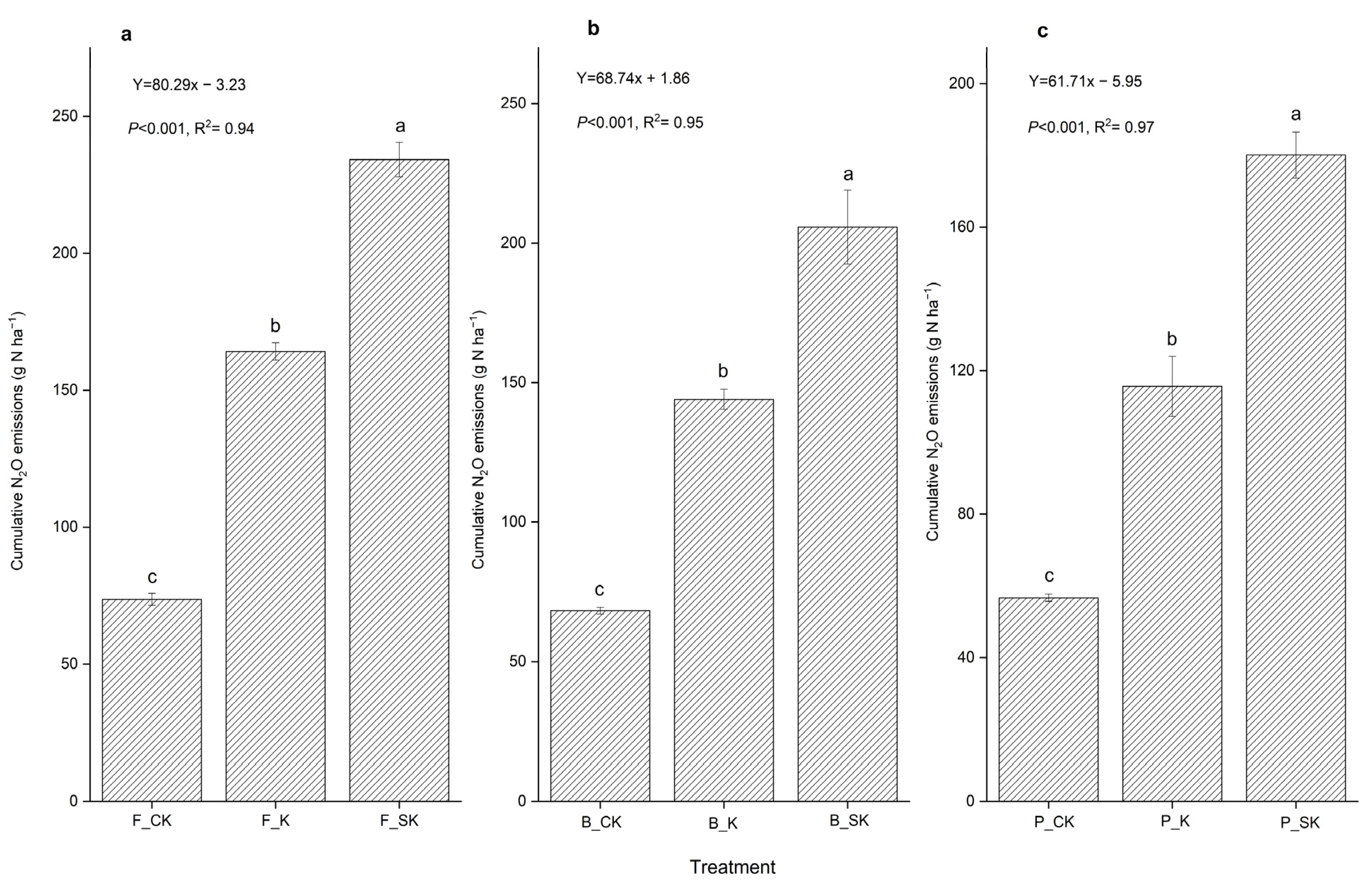
3.3. Cumulative N2O and N2 Emissions from Three Different Soil Types
3.4. Stoichiometric Ratios of N2O/(N2O + N2) from the Three Different Soil Types
4. Discussion
4.1. Effect of Straw and Nitrate Amendments on N2O and N2 Emissions and Their Stoichiometric Ratios
4.2. Effects of Soil Moisture on N2O, N2 and Their Stoichiometric Ratios of N2O/(N2O + N2)
4.3. Effect of Straw and Nitrate Amendments on Bacterial Community Composition
5. Conclusions
Author Contributions
Funding
Data Availability Statement
Conflicts of Interest
References
- Elrys, A.S.; Desoky, E.S.M.; Ali, A.; Zhang, J.B.; Cai, Z.C.; Cheng, Y. Sub-Saharan Africa’s food nitrogen and phosphorus footprints: A scenario analysis for 2050. Sci. Total Environ. 2021, 752, 141964. [Google Scholar] [CrossRef] [PubMed]
- FAO. Statistics Division; Food and Agriculture Organization of the United Nations: Rome, Italy, 2020; Available online: www.fao.org/faostat/en/#data (accessed on 30 March 2023).
- Galloway, J.N.; Dentener, F.J.; Capone, D.G.; Boyer, E.W.; Howarth, R.W.; Seitzinger, S.P.; Vöosmarty, C.J. Nitrogen cycles: Past, present, and future. Biogeochemistry 2004, 70, 153–226. [Google Scholar] [CrossRef]
- Oita, A.; Wirasenjaya, F.; Liu, J.; Webeck, E.; Matsubae, K. Trends in the food nitrogen and phosphorus footprints for Asia’s giants: China, India, and Japan. Resour. Conserv. Recycl. 2020, 157, 104752. [Google Scholar] [CrossRef]
- Bizimana, F.; Timilsina, A.; Dong, W.; Uwamungu, J.Y.; Li, X.; Wang, Y.; Hu, C. Effects of long-term nitrogen fertilization on N2O, N2 and their yield-scaled emissions in a temperate semi-arid agro-ecosystem. J. Soils Sediments 2021, 21, 1659–1671. [Google Scholar] [CrossRef]
- IPCC. Climate Change 2007: The Physical Science Basis. Working Group I Contribution to the Fourth Assessment Report of the Intergovernmental Panel on Climate Change; Cambridge University Press: Cambridge, UK, 2007; Volume 4. [Google Scholar]
- Tilman, D.; Cassman, K.G.; Matson, P.A.; Naylor, R.; Polasky, S. Agricultural sustainability and intensive production practices. Nature 2002, 418, 671–677. [Google Scholar] [CrossRef] [PubMed]
- Wei, Z.; Shan, J.; Chai, Y.; Well, R.; Yan, X.; Senbayram, M. Regulation of the product stoichiometry of denitrification in intensively managed soils. Food Energy Secur. 2020, 9, e251. [Google Scholar] [CrossRef]
- IPCC. Climate Change 2013: The Physical Science Basis. Contribution of Working Group I to the Fifth Assessment Report of the Intergovernmental Panel on Climate Change; Cambridge University Press: Cambridge, UK; New York, NY, USA, 2013. [Google Scholar]
- Baggs, E.M. A review of stable isotope techniques for N2O source partitioning in soils: Recent progress, remaining challenges and future considerations. Rapid Commun. Mass Spectrom. 2008, 22, 1664–1672. [Google Scholar] [CrossRef] [PubMed]
- Timilsina, A.; Bizimana, F.; Pandey, B.; Yadav, R.K.P.; Dong, W.; Hu, C. Nitrous oxide emissions from paddies: Understanding the role of rice plants. Plants 2020, 9, 180. [Google Scholar] [CrossRef]
- Timilsina, A.; Oenema, O.; Luo, J.; Wang, Y.; Dong, W.; Pandey, B.; Hu, C. Plants are a natural source of nitrous oxide even in field conditions as explained by 15N site preference. Sci. Total Environ. 2022, 805, 150262. [Google Scholar] [CrossRef]
- Firestone, M.K.; Davidson, E.A. Microbiological basis of NO and NO production and consumption in soil. In Exchange of Trace Gases between Terrestrial Ecosystems and the Atmosphere; Andreae, M.O., Schimel, D.S., Eds.; Wiley: New York, NY, USA, 1989; pp. 7–212. [Google Scholar]
- Wang, R.; Willibald, G.; Feng, Q.; Zheng, X.; Liao, T.; Brüggemann, N.; Butterbach-Bahl, K. Measurement of N2, N2O, NO, and CO2 emissions from soil with the gas-flow-soil-core technique. Environ. Sci. Technol. 2011, 45, 6066–6072. [Google Scholar] [CrossRef]
- Timilsina, A.; Zhang, C.; Pandey, B.; Bizimana, F.; Dong, W.; Hu, C. Potential pathway of nitrous oxide formation in plants. Front Plant Sci. 2020, 11, 1177. [Google Scholar] [CrossRef] [PubMed]
- Davidson, E.A.; Seitzinger, S. The enigma of progress in denitrification research. Ecol. Appl. 2006, 16, 2057–2063. [Google Scholar] [CrossRef] [PubMed]
- Galloway, J.N.; Townsend, A.R.; Erisman, J.W.; Bekunda, M.; Cai, Z.; Freney, J.R.; Sutton, M.A. Transformation of the nitrogen cycle: Recent trends, questions, and potential solutions. Science 2008, 320, 889–892. [Google Scholar] [CrossRef] [PubMed]
- Butterbach-Bahl, K.; Baggs, E.M.; Dannenmann, M.; Kiese, R.; Zechmeister-Boltenstern, S. Nitrous oxide emissions from soils: How well do we understand the processes and their controls? Philos. Trans. R. Soc. B Biol. Sci. 2013, 368, 20130122. [Google Scholar] [CrossRef] [PubMed]
- Bizimana, F.; Dong, W.; Li, X.; Timilsina, A.; Zhang, Y.; Aluoch, S.O.; Hu, C. Estimating food nitrogen and phosphorus footprints and budgeting nitrogen and phosphorus flows of Rwanda’s agricultural food system during 1961–2020. Sci. Total Environ. 2024, 906, 167693. [Google Scholar] [CrossRef] [PubMed]
- Wang, R.; Pan, Z.; Zheng, X.; Ju, X.; Yao, Z.; Butterbach-Bahl, K.; Huang, B. Using field-measured soil N2O fluxes and laboratory scale parameterization of N2O/(N2O+N2) ratios to quantify field-scale soil N2 emissions. Soil Biol. Biochem. 2020, 148, 107904. [Google Scholar] [CrossRef]
- Bai, J.; Li, Y.; Zhang, J.; Xu, F.; Bo, Q.; Wang, Z.; Yue, S. Straw returning and one-time application of a mixture of controlled release and solid granular urea to reduce carbon footprint of plastic film mulching spring maize. J. Clean. Prod. 2021, 280, 124478. [Google Scholar] [CrossRef]
- Li, C.; Xiong, Y.; Qu, Z.; Xu, X.; Huang, Q.; Huang, G. Impact of biochar addition on soil properties and water-fertilizer productivity of tomato in semi-arid region of inner Mongolia, China. Geoderma 2018, 331, 100–108. [Google Scholar] [CrossRef]
- Badía, D.; Martí, C.; Aguirre, A.J. Straw management effects on CO2 efflux and C storage in different Mediterranean agricultural soils. Sci. Total Environ. 2013, 465, 233–239. [Google Scholar] [CrossRef] [PubMed]
- Liu, C.; Lu, M.; Cui, J.; Li, B.; Fang, C. Effects of straw carbon input on carbon dynamics in agricultural soils: A meta-analysis. Glob. Change Biol. 2014, 20, 1366–1381. [Google Scholar] [CrossRef]
- Chen, S.; Zhang, X.; Shao, L.; Sun, H.; Niu, J.; Liu, X. Effects of straw and manure management on soil and crop performance in North China Plain. Catena 2020, 187, 104359. [Google Scholar] [CrossRef]
- Baggs, E.M.; Rees, R.M.; Smith, K.A.; Vinten, A.J.A. Nitrous oxide emission from soils after incorporating crop residues. Soil Use Manag. 2000, 16, 82–87. [Google Scholar] [CrossRef]
- Pan, F.; Chapman, S.J.; Li, Y.; Yao, H. Straw amendment to paddy soil stimulates denitrification but biochar amendment promotes anaerobic ammonia oxidation. J. Soils Sediments 2017, 17, 2428–2437. [Google Scholar] [CrossRef]
- Xiao, Y.; Zhang, F.; Li, Y.; Li, T.; Che, Y.; Deng, S. Influence of winter crop residue and nitrogen form on greenhouse gas emissions from acidic paddy soil. Eur. J. Soil Biol. 2018, 85, 23–29. [Google Scholar] [CrossRef]
- Zhou, Y.; Zhang, Y.; Tian, D.; Mu, Y. The influence of straw returning on N2O emissions from a maize-wheat field in the North China Plain. Sci. Total Environ. 2017, 584, 935–941. [Google Scholar] [CrossRef]
- Yao, Z.; Yan, G.; Zheng, X.; Wang, R.; Liu, C.; Butterbach-Bahl, K. Straw return reduces yield-scaled N2O plus NO emissions from annual winter wheat-based cropping systems in the North China Plain. Sci. Total Environ. 2017, 590, 174–185. [Google Scholar] [CrossRef] [PubMed]
- Zhou, M.; Zhu, B.; Brüggemann, N.; Bergmann, J.; Wang, Y.; Butterbach-Bahl, K. N2O and CH4 emissions, and NO3− leaching on a crop-yield basis from a subtropical rain-fed wheat–maize rotation in response to different types of nitrogen fertilizer. Ecosystems 2014, 17, 286–301. [Google Scholar] [CrossRef]
- Firestone, M.K. Biological denitrification. Nitrogen Agri. Soils 1982, 22, 289–326. [Google Scholar]
- Weier, K.L.; Doran, J.W.; Power, J.F.; Walters, D.T. Denitrification and the dinitrogen/nitrous oxide ratio as affected by soil water, available carbon, and nitrate. Soil Sci. Soc. Am. J. 1993, 57, 66–72. [Google Scholar] [CrossRef]
- Miller, M.N.; Zebarth, B.; Dandie, C.E.; Burton, D.L.; Goyer, C.; Trevors, J.T. Crop residue influence on denitrification, N2O emissions and denitrifier community abundance in soil. Soil Biol. Biochem. 2008, 40, 2553–2562. [Google Scholar] [CrossRef]
- Chen, L.; Sun, S.; Yao, B.; Peng, Y.; Gao, C.; Qin, T.; Quan, W. Effects of straw return and straw biochar on soil properties and crop growth: A review. Front Plant Sci. 2022, 13, 986763. [Google Scholar] [CrossRef]
- Friedl, J.; Cardenas, L.M.; Clough, T.J.; Dannenmann, M.; Hu, C.; Scheer, C. Measuring denitrification and the N2O/(N2O+N2) emission ratio from terrestrial soils. Curr. Opin. Environ. Sustain. 2020, 47, 61–71. [Google Scholar] [CrossRef]
- Ma, Y.; Shen, Y.; Liu, Y. State of the art of straw treatment technology: Challenges and solutions forward. Bioresour. Technol. 2020, 313, 123656. [Google Scholar] [CrossRef]
- Wieder, W.R.; Boehnert, J.; Bonan, G.B.; Langseth, M. Regridded Harmonized World Soil Database v1.2; ORNL DAAC: Oak Ridge, TN, USA, 2014. [Google Scholar] [CrossRef]
- Liu, X.; Lee Burras, C.; Kravchenko, Y.S.; Duran, A.; Huffman, T.; Morras, H.; Studdert, G.; Zhang, X.; Cruse, R.M.; Yuan, X. Overview of Mollisols in the world: Distribution, land use and management. Can. J. Soil Sci. 2012, 92, 383–402. [Google Scholar] [CrossRef]
- Timilsina, A.; Dong, W.; Luo, J.; Lindsey, S.; Wang, Y.; Hu, C. Nitrogen isotopic signatures and fluxes of N2O in response to land-use change on naturally occurring saline–alkaline soil. Sci. Rep. 2020, 10, 21253. [Google Scholar] [CrossRef] [PubMed]
- Bizimana, F.; Luo, J.; Timilsina, A.; Dong, W.; Gaudel, G.; Ding, K.; Hu, C. Estimating field N2 emissions based on laboratory-quantified N2O/(N2O+N2) ratios and field-quantified N2O emissions. J. Soils Sediments 2022, 22, 2196–2208. [Google Scholar] [CrossRef]
- Molstad, L.; Dörsch, P.; Bakken, L.R. Robotized incubation system for monitoring gases (O2, NO, N2O, N2) in denitrifying cultures. J. Microbiol. Methods 2007, 71, 202–211. [Google Scholar] [CrossRef]
- Giles, M.E.; Daniell, T.J.; Baggs, E.M. Compound driven differences in N2 and N2O emission from soil; the role of substrate use efficiency and the microbial community. Soil Biol. Biochem. 2017, 106, 90–98. [Google Scholar] [CrossRef]
- Senbayram, M.; Well, R.; Bol, R.; Chadwick, D.R.; Jones, D.L.; Wu, D. Interaction of straw amendment and soil NO3− content controls fungal denitrification and denitrification product stoichiometry in a sandy soil. Soil Biol. Biochem. 2018, 126, 204–212. [Google Scholar] [CrossRef]
- Senbayram, M.; Chen, R.; Budai, A.; Bakken, L.; Dittert, K. N2O emission and the N2O/(N2O+N2) product ratio of denitrification as controlled by available carbon substrates and nitrate concentrations. Agric. Ecosyst. Environ. 2012, 147, 4–12. [Google Scholar] [CrossRef]
- Frimpong, K.A.; Baggs, E.M. Do combined applications of crop residues and inorganic fertilizer lower emission of N2O from soil? Soil Use Manag. 2010, 26, 412–424. [Google Scholar] [CrossRef]
- Stein, L.Y.; Klotz, M.G. The nitrogen cycle. Curr. Biol. 2016, 26, R94–R98. [Google Scholar] [CrossRef] [PubMed]
- Morley, N.; Baggs, E.M. Carbon and oxygen controls on N2O and N2 production during nitrate reduction. Soil Biol. Biochem. 2010, 42, 1864–1871. [Google Scholar] [CrossRef]
- Zou, J.; Huang, Y.; Jiang, J.; Zheng, X.; Sass, R.L. A 3-year field measurement of methane and nitrous oxide emissions from rice paddies in China: Effects of water regime, crop residue, and fertilizer application. Glob. Biogeochem. Cycles 2005, 19. [Google Scholar] [CrossRef]
- Wu, D.; Wei, Z.; Well, R.; Shan, J.; Yan, X.; Bol, R.; Senbayram, M. Straw amendment with nitrate-N decreased N2O/(N2O+N2) ratio but increased soil N2O emission: A case study of direct soil-born N2 measurements. Soil Biol. Biochem. 2018, 127, 301–304. [Google Scholar] [CrossRef]
- Pinheiro, P.L.; Recous, S.; Dietrich, G.; Weiler, D.A.; Schu, A.L.; Bazzo, H.L.S.; Giacomini, S.J. N2O emission increases with mulch mass in a fertilized sugarcane cropping system. Biol. Fert. Soil. 2019, 55, 511–523. [Google Scholar] [CrossRef]
- Zistl-Schlingmann, M.; Feng, J.; Kiese, R.; Stephan, R.; Zuazo, P.; Willibald, G.; Dannenmann, M. Dinitrogen emissions: An overlooked key component of the N balance of montane grasslands. Biogeochemistry 2019, 143, 15–30. [Google Scholar] [CrossRef]
- Friedl, J.; Scheer, C.; Rowlings, D.W.; McIntosh, H.V.; Strazzabosco, A.; Warner, D.I.; Grace, P.R. Denitrification losses from an intensively managed sub-tropical pasture–Impact of soil moisture on the partitioning of N2 and N2O emissions. Soil Biol. Biochem. 2016, 92, 58–66. [Google Scholar] [CrossRef]
- Wei, Z.; Shan, J.; Well, R.; Yan, X.; Senbayram, M. Land use conversion and soil moisture affect the magnitude and pattern of soil-borne N2, NO, and N2O emissions. Geoderma 2022, 407, 115568. [Google Scholar] [CrossRef]
- Bateman, E.J.; Baggs, E.M. Contributions of nitrification and denitrification to N2O emissions from soils at different water-filled pore space. Biol. Fert. Soil. 2005, 41, 379–388. [Google Scholar] [CrossRef]
- Dalal, R.C.; Wang, W.; Robertson, G.P.; Parton, W.J. Nitrous oxide emission from Australian agricultural lands and mitigation options: A review. Soil Res. 2003, 41, 165–195. [Google Scholar] [CrossRef]
- Butterbach-Bahl, K.; Dannenmann, M. Denitrification and associated soil N2O emissions due to agricultural activities in a changing climate. Curr. Opin. Environ. Sust. 2011, 3, 389–395. [Google Scholar] [CrossRef]
- Parton, W.J.; Mosier, A.R.; Ojima, D.S.; Valentine, D.W.; Schimel, D.S.; Weier, K.; Kulmala, A.E. Generalized model for N2 and N2O production from nitrification and denitrification. Glob. Biogeochem. Cycle 1996, 10, 401–412. [Google Scholar] [CrossRef]
- Ruser, R.; Flessa, H.; Russow, R.; Schmidt, G.; Buegger, F.; Munch, J.C. Emission of N2O, N2 and CO2 from soil fertilized with nitrate: Effect of compaction, soil moisture and rewetting. Soil Biol. Biochem. 2006, 38, 263–274. [Google Scholar] [CrossRef]
- Blackmer, A.M.; Bremner, J.M. Inhibitory effect of nitrate on reduction of N2O to N2 by soil microorganisms. Soil Biol. Biochem. 1978, 10, 187–191. [Google Scholar] [CrossRef]
- Wang, C.; Amon, B.; Schulz, K.; Mehdi, B. Factors that influence nitrous oxide emissions from agricultural soils as well as their representation in simulation models: A review. Agronomy 2021, 11, 770. [Google Scholar] [CrossRef]
- Parton, W.J.; Holland, E.A.; Del Grosso, S.J.; Hartman, M.D.; Martin, R.E.; Mosier, A.R.; Schimel, D.S. Generalized model for NO x and N2O emissions from soils. J. Geophys. Res. Atmos. 2001, 106, 17403–17419. [Google Scholar] [CrossRef]
- Hallin, S.; Philippot, L.; Löffler, F.E.; Sanford, R.A.; Jones, C.M. Genomics and ecology of novel N2O-reducing microorganisms. Trends Microbiol. 2018, 26, 43–55. [Google Scholar] [CrossRef]
- Senbayram, M.; Wei, Z.; Wu, D.; Shan, J.; Yan, X.; Well, R. Inhibitory effect of high nitrate on N2O reduction is offset by long moist spells in heavily N loaded arable soils. Biol. Fert. Soils 2021, 58, 77–90. [Google Scholar] [CrossRef]







| Parameter | DOC (mg C kg−1) | NO3− (mg N kg−1) | NH4+ (mg N kg−1) | pH | TC (g C kg−1) | TN (g N kg−1) | C/N | Bulk Density (g cm−3) |
|---|---|---|---|---|---|---|---|---|
| Fluvo-aquic soil | 50.1 ± 2.4 a | 36.0 ± 0.8 a | 1.9 ± 0.6 a | 8.0 ± 0.1 a | 21.9 ± 0.8 a | 1.2 ± 0.1 a | 17.8 ± 1.5 a | 1.3 ± 0.1 a |
| Black soil | 48.3 ± 1.0 b | 31.9 ± 1.2 b | 1.2 ± 0.4 b | 6.6 ± 0.1 b | 16.8 ± 1.2 b | 1.1 ± 0.1 b | 15.0 ± 0.2 b | 1.2 ± 0.1 b |
| Paddy soil | 41.7 ± 1.1 c | 28.0 ± 1.1 c | 0.8 ± 0.3 c | 6.1 ± 0.1 c | 10.8 ± 0.5 c | 0.9 ± 0.1 c | 12.1 ± 1.9 c | 1.1 ± 0.1 c |
| Parameter | Final (mg N kg−1) | ||
|---|---|---|---|
| NH4+ | NO3− | ||
| Fluvo-aquic soil | F_CK | 2.4 ± 0.1 | 4.2 ± 0.6 |
| F_K | 2.2 ± 0.2 | 14.8 ± 0.1 | |
| F_SK | 2.9 ± 0.2 | 1.3 ± 0.1 | |
| Black soil | B_CK | 2.3 ± 0.2 | 3.5 ± 0.6 |
| B_K | 2.1 ± 0.1 | 15.9 ± 0.3 | |
| B_SK | 2.6 ± 0.3 | 1.4 ± 0.1 | |
| Paddy soil | P_CK | 1.3 ± 0.2 | 2.7 ± 0.5 |
| P_K | 1.1 ± 0.1 | 13.2 ± 0.1 | |
| P_SK | 1.7 ± 0.2 | 1.3 ± 0.1 | |
| Parameter | N2O (g N ha−1) | N2 (g N ha−1) | N2O + N2 (g N ha−1) | N2O/(N2O + N2) | ||||||||
|---|---|---|---|---|---|---|---|---|---|---|---|---|
| Control (CK) | KNO3 (K) | Straw + KN3O (SK) | Control (CK) | KNO3 (K) | Straw + KN3O (SK) | Control (CK) | KNO3 (K) | Straw + KN3O (SK) | Control (CK) | KNO3 (K) | Straw + KN3O (SK) | |
| Fluvo-aquic soil | 73.6 ± 2.2 a | 164.2 ± 3.2 a | 234.2 ± 6.3 a | 242.7 ± 15.3 a | 311.0 ± 6.6 a | 590.1 ± 27.3 a | 316.4 ± 17.4 a | 475.2 ± 9.3 a | 824.4 ± 24.9 a | 0.23 ± 0.01 c | 0.35 ± 0.0 a | 0.28 ± 0.01 a |
| Black soil | 68.3 ± 1.2 b | 144.0 ± 3.6 b | 205.7 ± 13.2 b | 213.1 ± 7.6 b | 281.6 ± 15.0 b | 511.4 ± 12.5 b | 281.4 ± 8.3 b | 425.6 ± 18.2 b | 717.1 ± 14.0 b | 0.24 ± 0.01 bc | 0.34 ± 0.01 a | 0.29 ± 0.02 a |
| Paddy soil | 56.7 ± 1.0 c | 115.6 ± 8.4 c | 180.1 ± 6.4 c | 159.4 ± 2.1 c | 254.6 ± 4.7 c | 424.6 ± 2.1 c | 216.1 ± 1.3 c | 370.3 ± 8.1 c | 604.7 ± 7.8 c | 0.26 ± 0.01 ab | 0.31 ± 0.02 a | 0.30 ± 0.01 a |
Disclaimer/Publisher’s Note: The statements, opinions and data contained in all publications are solely those of the individual author(s) and contributor(s) and not of MDPI and/or the editor(s). MDPI and/or the editor(s) disclaim responsibility for any injury to people or property resulting from any ideas, methods, instructions or products referred to in the content. |
© 2024 by the authors. Licensee MDPI, Basel, Switzerland. This article is an open access article distributed under the terms and conditions of the Creative Commons Attribution (CC BY) license (https://creativecommons.org/licenses/by/4.0/).
Share and Cite
Bizimana, F.; Dong, W.; Timilsina, A.; Raseduzzaman, M.; Li, X.; Zhang, Y.; Hu, C. Effects of Straw Amendment in Combination with Synthetic N Fertilizer Addition on N2O, N2, and Their Stoichiometric Ratios in Three Different Agro-Ecosystems. Agronomy 2024, 14, 887. https://doi.org/10.3390/agronomy14050887
Bizimana F, Dong W, Timilsina A, Raseduzzaman M, Li X, Zhang Y, Hu C. Effects of Straw Amendment in Combination with Synthetic N Fertilizer Addition on N2O, N2, and Their Stoichiometric Ratios in Three Different Agro-Ecosystems. Agronomy. 2024; 14(5):887. https://doi.org/10.3390/agronomy14050887
Chicago/Turabian StyleBizimana, Fiston, Wenxu Dong, Arbindra Timilsina, Md Raseduzzaman, Xiaoxin Li, Yuming Zhang, and Chunsheng Hu. 2024. "Effects of Straw Amendment in Combination with Synthetic N Fertilizer Addition on N2O, N2, and Their Stoichiometric Ratios in Three Different Agro-Ecosystems" Agronomy 14, no. 5: 887. https://doi.org/10.3390/agronomy14050887
APA StyleBizimana, F., Dong, W., Timilsina, A., Raseduzzaman, M., Li, X., Zhang, Y., & Hu, C. (2024). Effects of Straw Amendment in Combination with Synthetic N Fertilizer Addition on N2O, N2, and Their Stoichiometric Ratios in Three Different Agro-Ecosystems. Agronomy, 14(5), 887. https://doi.org/10.3390/agronomy14050887

