A Study of the Relationship between Initial Grape Yield and Soil Properties Based on Organic Fertilization
Abstract
1. Introduction
2. Materials and Methods
2.1. Study Site and Material
2.2. Experimental Treatment
- (i)
- Control (CK): 15 kg each plant, ternary compound fertilizer, produced by Stanley Agricultural Group Inc. (Linyi, Shandong, China) N:P2O5:K2O = 15:20:5, total nutrients ≥ 40%. Packaging specification is 50 kg/bag.
- (ii)
- Maize straw (A1): 0.5 m3 each plant, crushed and added with strain of Shiming Bio-Reactor Strain 001 for fermentation [26], produced by Shandong Tianhe Bioengineering Technology Co. (Jinan, Shandong, China)
- (iii)
- Sheep manure (A2): 0.5 m3 each plant, sheep manure naturally composted and rotted.
- (iv)
- Commercial organic fertilizer (B1): 15 kg each plant, produced by Parch Bio Ltd. (Gongyi, Henan, China) with fertilizer, containing mineral potassium xanthate ≥50%, potassium chloride ≥12%, Humic acid content ≥55%, organic carbon content ≥25%. Packaging specification is 10 kg/bag.
- (v)
- Commercial organic fertilizer (B2): 15 kg each plant, produced by Angie’s Yeast Co. (Yichang, Hubei, China) with organic matter content ≥40%. The number of effective living bacteria ≥0.2 billion. g−1, packaging specification is 20 kg/bag.
2.3. Grape Yield Determination
2.4. Soil Sample Collection and Nutrient Determination
2.5. Soil Enzyme Activities
2.6. Statistical Analysis
3. Results
3.1. Grape Yield
3.2. Soil Physicochemical Properties
3.3. Soil Nutrients
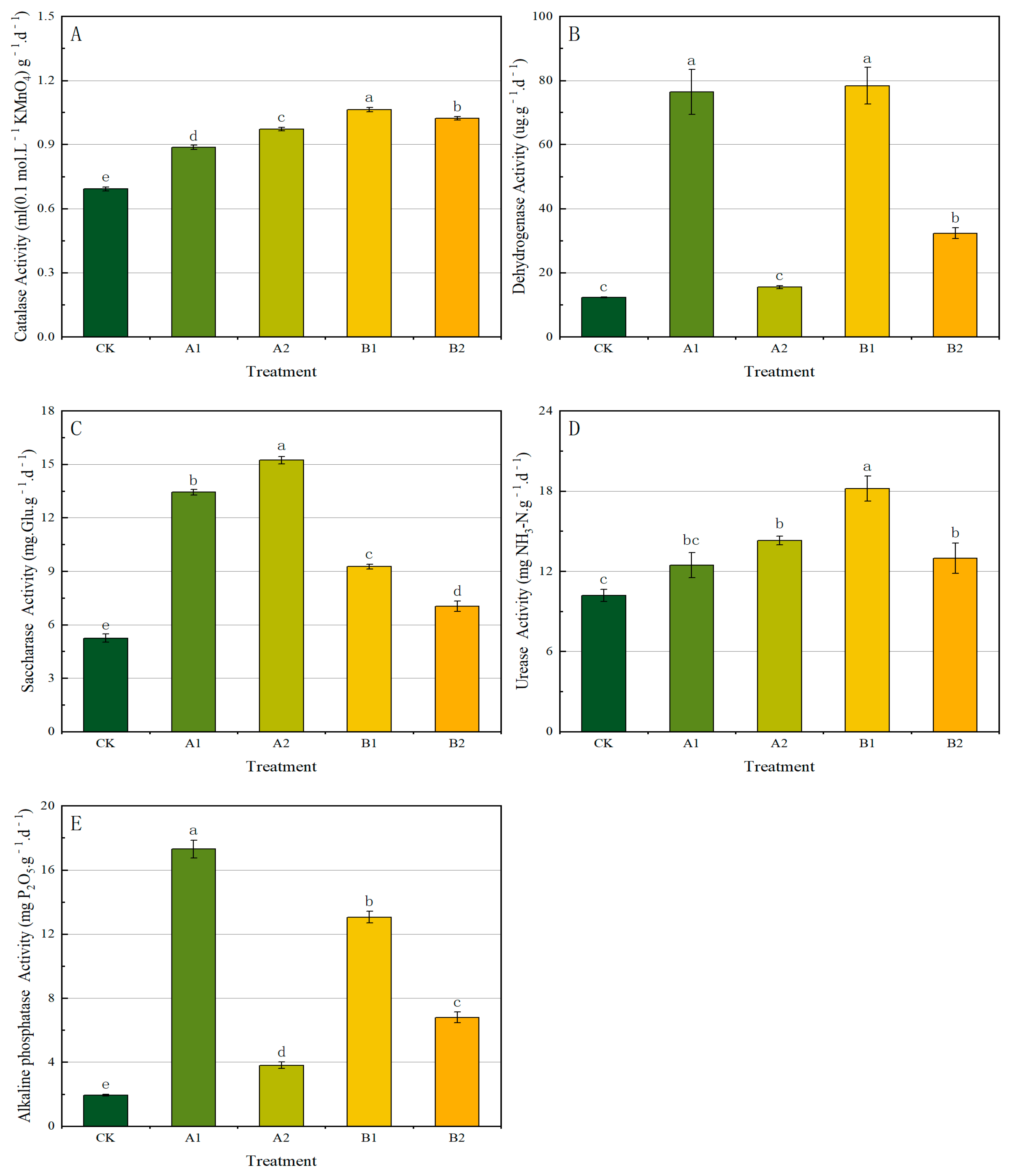
3.4. Soil Enzyme Activity
3.5. Correlation Analysis between Grape Yield and Soil Indicators
3.6. Multiple Linear Regression Analysis of Grape Yield and Soil Indicators
4. Discussion
4.1. Effect of Organic Fertilizer on Grape Yield
4.2. Effect of Organic Fertilizer Application on Soil Physicochemical Properties
4.3. Effect of Organic Fertilizer Application on Soil Fertility and Enzyme Activities
4.4. Relationship between Grape Yield and Soil Parameters after Application of Organic Fertilizer
5. Conclusions
Author Contributions
Funding
Data Availability Statement
Conflicts of Interest
References
- Yang, F.; Tian, J.; Fang, H.; Gao, Y.; Xu, M.; Lou, Y.; Zhou, B.; Kuzyakov, Y. Functional Soil Organic Matter Fractions, Microbial Community, and Enzyme Activities in a Mollisol Under 35 Years Manure and Mineral Fertilization. J. Soil. Sci. Plant Nutr. 2019, 19, 430–439. [Google Scholar] [CrossRef]
- Geng, Y.; Cao, G.; Wang, L.; Wang, S.; Bhadha, J.H. Effects of equal chemical fertilizer substitutions with organic manure on yield, dry matter, and nitrogen uptake of spring maize and soil nitrogen distribution. PLoS ONE 2019, 14, e0219512. [Google Scholar] [CrossRef] [PubMed]
- Lv, F.; Song, J.; Giltrap, D.; Feng, Y.; Yang, X.; Zhang, S. Crop yield and N2O emission affected by long-term organic manure substitution fertilizer under winter wheat-summer maize cropping system. Sci. Total Environ. 2020, 732, 139321. [Google Scholar] [CrossRef] [PubMed]
- Kyte, E.; Cey, E.; Hrapovic, L.; Hao, X. Nitrate in shallow groundwater after more than four decades of manure application. J. Contam. Hydrol. 2023, 256, 104200. [Google Scholar] [CrossRef] [PubMed]
- Tilman, D.; Balzer, C.; Hill, J.; Befort, B.L. Global food demand and the sustainable intensification of agriculture. Proc. Natl. Acad. Sci. USA 2011, 108, 20260–20264. [Google Scholar] [CrossRef] [PubMed]
- Kai, T.; Adhikari, D. Effect of Organic and Chemical Fertilizer Application on Apple Nutrient Content and Orchard Soil Condition. Agriculture 2021, 11, 340. [Google Scholar] [CrossRef]
- Zhao, Z.; Yan, S.; Liu, F.; Ji, P.; Wang, X.; Tong, Y. Effects of chemical fertilizer combined with organic manure on Fuji apple quality, yield and soil fertility in apple orchard on the Loess Plateau of China. Int. J. Agric. Biol. Eng. 2014, 7, 45–55. [Google Scholar]
- Wu, L.; Jiang, Y.; Zhao, F.; He, X.; Liu, H.; Yu, K. Increased organic fertilizer application and reduced chemical fertilizer application affect the soil properties and bacterial communities of grape rhizosphere soil. Sci. Rep. 2020, 10, 9568. [Google Scholar] [CrossRef] [PubMed]
- Li, X.; Chu, C.; Ding, S.; Wei, H.; Wu, S.; Xie, B. Insight into how fertilization strategies increase quality of grape (Kyoho) and shift microbial community. Environ. Sci. Pollut. Res. Int. 2022, 29, 27182–27194. [Google Scholar] [CrossRef]
- Pan, X.; Shi, M.; Chen, X.; Kuang, S.; Ullah, H.; Lu, H.; Riaz, L. An investigation into biochar, acid-modified biochar, and wood vinegar on the remediation of saline-alkali soil and the growth of strawberries. Front. Environ. Sci. 2022, 10, 1057384. [Google Scholar] [CrossRef]
- Baldi, E.; Marcolini, G.; Quartieri, M.; Sorrenti, G.; Muzzi, E.; Toselli, M. Organic fertilization in nectarine (Prunus persica var. nucipersica) orchard combines nutrient management and pollution impact. Nutr. Cycl. Agroecosyst. 2016, 105, 39–50. [Google Scholar] [CrossRef]
- Huang, M.; Yang, L.; Qin, H.; Jiang, L.; Zou, Y. Quantifying the effect of biochar amendment on soil quality and crop productivity in Chinese rice paddies. Field Crops Res. 2013, 154, 172–177. [Google Scholar] [CrossRef]
- Zhang, J.; Bei, S.; Li, B.; Zhang, J.; Christie, P.; Li, X. Organic fertilizer, but not heavy liming, enhances banana biomass, increases soil organic carbon and modifies soil microbiota. Appl. Soil. Ecol. 2019, 136, 67–79. [Google Scholar] [CrossRef]
- Zhu, Z.; Bai, Y.; Lv, M.; Tian, G.; Zhang, X.; Li, L.; Jiang, Y.; Ge, S. Soil Fertility, Microbial Biomass, and Microbial Functional Diversity Responses to Four Years Fertilization in an Apple Orchard in North China. Hortic. Plant J. 2020, 6, 223–230. [Google Scholar] [CrossRef]
- Xie, S.; Feng, H.; Yang, F.; Zhao, Z.; Hu, X.; Wei, C.; Liang, T.; Li, H.; Geng, Y. Does dual reduction in chemical fertilizer and pesticides improve nutrient loss and tea yield and quality? A pilot study in a green tea garden in Shaoxing, Zhejiang Province, China. Environ. Sci. Pollut. R. 2019, 26, 2464–2476. [Google Scholar] [CrossRef] [PubMed]
- Jin, N.; Jin, L.; Wang, S.; Li, J.; Liu, F.; Liu, Z.; Luo, S.; Wu, Y.; Lyu, J.; Yu, J. Reduced Chemical Fertilizer Combined with Bio-Organic Fertilizer Affects the Soil Microbial Community and Yield and Quality of Lettuce. Front. Microbiol. 2022, 13, 863325. [Google Scholar] [CrossRef] [PubMed]
- Belay, A.; Claassens, A.; Wehner, F.C. Effect of direct nitrogen and potassium and residual phosphorus fertilizers on soil chemical properties, microbial components and maize yield under long-term crop rotation. Biol. Fertil. Soils. 2002, 35, 420–427. [Google Scholar]
- Luthria, D.; Singh, A.P.; Wilson, T.; Vorsa, N.; Banuelos, G.S.; Vinyard, B.T. Influence of conventional and organic agricultural practices on the phenolic content in eggplant pulp: Plant-to-plant variation. Food Chem. 2010, 121, 406–411. [Google Scholar] [CrossRef]
- Vallverdu-Queralt, A.; Medina-Remon, A.; Casals-Ribes, I.; Lamuela-Raventos, R.M. Is there any difference between the phenolic content of organic and conventional tomato juices? Food Chem. 2012, 130, 222–227. [Google Scholar] [CrossRef]
- Oliveira, A.B.; Moura, C.F.H.; Gomes-Filho, E.; Marco, C.A.; Urban, L.; Miranda, M.R.A. The Impact of Organic Farming on Quality of Tomatoes Is Associated to Increased Oxidative Stress during Fruit Development. PLoS ONE 2013, 8, e56354. [Google Scholar] [CrossRef]
- James, A.; Mahinda, A.; Mwamahonje, A.; Rweyemamu, E.W.; Mrema, E.; Aloys, K.; Swai, E.; Mpore, F.J.; Massawe, C. A review on the influence of fertilizers application on grape yield and quality in the tropics. J. Plant Nutr. 2023, 46, 2936–2957. [Google Scholar] [CrossRef]
- Mercedes Martinez, M.; Ortega, R.; Janssens, M.; Fincheira, P. Use of organic amendments in table grape: Effect on plant root system and soil quality indicators. J. Soil. Sci. Plant Nutr. 2018, 18, 100–112. [Google Scholar]
- Koureh, O.K.; Bakhshi, D.; Pourghayoumi, M.; Majidian, M. Comparison of yield, fruit quality, antioxidant activity, and some phenolic compounds of white seedless grape obtained from organic, conventional, and integrated fertilization. Int. J. Fruit. Sci. 2019, 19, 1–12. [Google Scholar] [CrossRef]
- GB/T 17296-2009; Classification and Codes for Chinese Soil. China Standard Press: Beijing, China, 2009.
- Qi, Y.; Wang, M.; Wan, N.; Yin, D.; Wei, M.; Sun, X.; Fang, Y.; Ma, T. Sensory characteristics of “Shine Muscat” grapes based on consumer reviews and human and intelligent sensory evaluation. LWT 2024, 195, 115810. [Google Scholar] [CrossRef]
- Zhang, S.M. Straw Bioreactor Technology; China Agriculture Science Press: Beijing, China, 2012; pp. 274–342. [Google Scholar]
- Lu, R.K. Analysis Method of Soil Agrochemistry; China Agriculture Science Press: Beijing, China, 1999; pp. 146–194. [Google Scholar]
- Bao, S.D. Soil and Agricultural Chemistry Analysis; Agricultural Press: Beijing, China, 2005; pp. 30–34. [Google Scholar]
- Guan, S.Y. Soil Enzyme and Its Research Method; Agricultural Press: Beijing, China, 1986; pp. 274–342. [Google Scholar]
- Li, K.; Wang, C.; Li, X.; Li, H.; Dong, M.; Jin, S.; Liu, L.; Zhu, C.; Xue, R. Long-term effect of integrated fertilization on maize yield and soil fertility in a calcaric fluvisol. Arch. Agron. Soil. Sci. 2021, 67, 1400–1410. [Google Scholar] [CrossRef]
- Toishimanov, M.; Suleimenova, Z.; Myrzabayeva, N.; Dossimova, Z.; Shokan, A.; Kenenbayev, S.; Yessenbayeva, G.; Serikbayeva, A.; Clark, S. Effects of Organic Fertilizers on the Quality, Yield, and Fatty Acids of Maize and Soybean in Southeast Kazakhstan. Sustainability 2024, 16, 162. [Google Scholar] [CrossRef]
- Marin-Martinez, A.; Sanz-Cobena, A.; Angeles Bustamante, M.; Agullo, E.; Paredes, C. Effect of Organic Amendment Addition on Soil Properties, Greenhouse Gas Emissions and Grape Yield in Semi-Arid Vineyard Agroecosystems. Agronomy 2021, 11, 1477. [Google Scholar] [CrossRef]
- Xie, J.; Hou, M.; Zhou, Y.; Wang, R.; Zhang, S.; Yang, X.; Sun, B. Carbon sequestration and mineralization of aggregate-associated carbon in an intensively cultivated anthrosol in north China as affected by long term fertilization. Geoderma 2017, 296, 1–9. [Google Scholar] [CrossRef]
- Xia, L.; Lam, S.K.; Yan, X.; Chen, D. How Does Recycling of Livestock Manure in Agroecosystems Affect Crop Productivity, Reactive Nitrogen Losses, and Soil Carbon Balance? Environ. Sci. Technol. 2017, 51, 7450–7457. [Google Scholar] [CrossRef]
- Subehia, S.K.; Sepehya, S.; Rana, S.S.; Negi, S.C.; Sharma, S.K. Long-term effect of organic and inorganic fertilizers on rice (Oryza sativa L.)-wheat (Triticum aestivum L.) yield, and chemical properties of an acidic soil in the western Himalayas. Exp. Agric. 2013, 49, 382–394. [Google Scholar] [CrossRef]
- Ning, L.; Xu, X.; Zhang, Y.; Zhao, S.; Qiu, S.; Ding, W.; Zou, G.; He, P. Effects of chicken manure substitution for mineral nitrogen fertilizer on crop yield and soil fertility in a reduced nitrogen input regime of North-Central China. Front. Plant Sci. 2022, 13, 1050179. [Google Scholar] [CrossRef] [PubMed]
- He, H.; Peng, M.; Lu, W.; Hou, Z.; Li, J. Commercial organic fertilizer substitution increases wheat yield by improving soil quality. Sci. Total Environ. 2022, 851, 158132. [Google Scholar] [CrossRef]
- Li, X.; Lu, Q.; Li, D.; Wang, D.; Ren, X.; Yan, J.; Ahmed, T.; Li, B. Effects of Two Kinds of Commercial Organic Fertilizers on Growth and Rhizosphere Soil Properties of Corn on New Reclamation Land. Plants 2022, 11, 2553. [Google Scholar] [CrossRef]
- Miller, M.N.; Zebarth, B.J.; Dandie, C.E.; Burton, D.L.; Goyer, C.; Trevors, J.T. Crop residue influence on denitrification, N2O emissions and denitrifier community abundance in soil. Soil. Biol. Biochem. 2008, 40, 2553–2562. [Google Scholar] [CrossRef]
- Hafez, M.; Popov, A.I.; Rashad, M. Integrated use of bio-organic fertilizers for enhancing soil fertility-plant nutrition, germination status and initial growth of corn (Zea mays L.). Environ. Technol. Innov. 2021, 21, 101329. [Google Scholar] [CrossRef]
- Huang, A.; Wang, Z.; Yang, D.; Yang, S.; Bai, W.; Wu, N.; Lu, X.; Liu, Z. Effects of tea oil camellia (Camellia oleifera Abel.) shell-based organic fertilizers on the physicochemical property and microbial community structure of the rhizosphere soil. Front. Microbiol. 2023, 14, 1231978. [Google Scholar] [CrossRef] [PubMed]
- Ye, J.; Wang, Y.; Wang, Y.; Hong, L.; Jia, X.; Kang, J.; Lin, S.; Wu, Z.; Wang, H. Improvement of soil acidification in tea plantations by long-term use of organic fertilizers and its effect on tea yield and quality. Front. Plant Sci. 2022, 13, 1055900. [Google Scholar] [CrossRef] [PubMed]
- Wang, H.; Xu, J.; Liu, X.; Zhang, D.; Li, L.; Li, W.; Sheng, L. Effects of long-term application of organic fertilizer on improving organic matter content and retarding acidity in red soil from China. Soil. Tillage Res. 2019, 195, 104382. [Google Scholar] [CrossRef]
- Gondek, M.; Weindorf, D.C.; Thiel, C.; Kleinheinz, G. Soluble Salts in Compost and Their Effects on Soil and Plants: A Review. Compost. Sci. Util. 2020, 28, 59–75. [Google Scholar] [CrossRef]
- Kim, H.N.; Park, J.H. Monitoring of soil EC for the prediction of soil nutrient regime under different soil water and organic matter contents. Appl. Biol. Chem. 2024, 67, 1. [Google Scholar] [CrossRef]
- Liu, E.; Yan, C.; Mei, X.; He, W.; Bing, S.H.; Ding, L.; Liu, Q.; Liu, S.; Fan, T. Long-term effect of chemical fertilizer, straw, and manure on soil chemical and biological properties in northwest China. Geoderma 2010, 158, 173–180. [Google Scholar] [CrossRef]
- Song, X.; Li, Y.; Yue, X.; Hussain, Q.; Zhang, J.; Liu, Q.; Jin, S.; Cui, D. Effect of cotton straw-derived materials on native soil organic carbon. Sci. Total Environ. 2019, 663, 38–44. [Google Scholar] [CrossRef] [PubMed]
- Liang, Q.; Chen, H.; Gong, Y.; Yang, H.; Fan, M.; Kuzyakov, Y. Effects of 15 years of manure and mineral fertilizers on enzyme activities in particle-size fractions in a North China Plain soil. Eur. J. Soil. Biol. 2014, 60, 112–119. [Google Scholar] [CrossRef]
- Wang, Y.; Hu, N.; Ge, T.; Kuzyakov, Y.; Wang, Z.; Li, Z.; Tang, Z.; Chen, Y.; Wu, C.; Lou, Y. Soil aggregation regulates distributions of carbon, microbial community and enzyme activities after 23-year manure amendment. Appl. Soil. Ecol. 2017, 111, 65–72. [Google Scholar] [CrossRef]
- Li, X.; Fang, J.; Shagahaleh, H.; Wang, J.; Hamad, A.A.A.; Alhaj Hamoud, Y. Impacts of Partial Substitution of Chemical Fertilizer with Organic Fertilizer on Soil Organic Carbon Composition, Enzyme Activity, and Grain Yield in Wheat-Maize Rotation. Life 2023, 13, 1929. [Google Scholar] [CrossRef] [PubMed]
- Huang, C.; Zhang, K.; Guo, W.; Huang, H.; Gou, Z.; Yang, L.; Chen, Y.; Oh, K.; Fang, C.; Luo, L. The Effects of Partial Substitution of Fertilizer Using Different Organic Materials on Soil Nutrient Condition, Aggregate Stability and Enzyme Activity in a Tea Plantation. Plants 2023, 12, 3791. [Google Scholar] [CrossRef]
- Wang, X.; Tong, Y.; Gao, Y.; Gao, P.; Liu, F.; Zhao, Z.; Pang, Y. Spatial and Temporal Variations of Crop Fertilization and Soil Fertility in the Loess Plateau in China from the 1970s to the 2000s. PLoS ONE 2014, 9, e112273. [Google Scholar] [CrossRef]







| Treatment | Yield/(kg·ha−1) | Compared with CK | |
|---|---|---|---|
| Increased Yield/(kg·ha−1) | Yield Increasing Rate/% | ||
| CK | 10,824.30 b | / | / |
| A1 | 8211.39 d | −2612.91 b | −24.09 b |
| A2 | 8761.83 c | −2062.47 b | −18.97 b |
| B1 | 12,883.35 a | 2059.05 a | 19.04 a |
| B2 | 12,583.32 a | 1759.02 a | 16.26 a |
| Index | R | R2 | Corrected R2 | F | Sig. |
|---|---|---|---|---|---|
| X5 | 0.688 | 0.474 | 0.433 | 11.702 | 0.005 |
| X6 | 0.821 | 0.674 | 0.648 | 26.829 | 0.000 |
| X7 | 0.801 | 0.642 | 0.614 | 23.313 | 0.000 |
| X8 | 0.724 | 0.539 | 0.503 | 15.182 | 0.002 |
| X9 | 0.878 | 0.771 | 0.754 | 43.877 | 0.000 |
| X10 | 0.739 | 0.547 | 0.512 | 15.686 | 0.002 |
| X11 | 0.608 | 0.370 | 0.321 | 7.622 | 0.016 |
| X15 | 0.742 | 0.551 | 0.516 | 15.943 | 0.002 |
| Model | R | R2 | Corrected R2 | Standard Error of Prediction | Durbin-Watson (DW) |
|---|---|---|---|---|---|
| 1 | 0.888 a | 0.789 | 0.780 | 928.649 | |
| 2 | 0.974 b | 0.949 | 0.944 | 469.358 | |
| 3 | 0.980 c | 0.961 | 0.955 | 420.451 | 2.200 |
| Model | Unstandardized Coefficients | Standardized Coefficients | t | Sig. | Covariance Statistic | |||
|---|---|---|---|---|---|---|---|---|
| B | Standard Error | Beta | Tolerance | VIF | ||||
| 1 | Constant | 3603.658 | 781.604 | 4.611 | 0.000 | |||
| X6 | 169.566 | 18.263 | 0.888 | 9.285 | 0.000 | 1.000 | 1.000 | |
| 2 | Constant | 7205.244 | 588.818 | 12.237 | 0.000 | |||
| X6 | 136.621 | 10.057 | 0.716 | 13.584 | 0.000 | 0.842 | 1.187 | |
| X15 | −222.174 | 26.935 | −0.435 | −8.248 | 0.000 | 0.842 | 1.187 | |
| 3 | Constant | 7352.479 | 530.658 | 13.855 | 0.000 | |||
| X6 | 80.712 | 23.841 | 0.423 | 3.385 | 0.003 | 0.120 | 8.314 | |
| X15 | −287.080 | 35.197 | −0.562 | −8.156 | 0.000 | 0.396 | 2.526 | |
| X11 | 4.993 | 1.971 | 0.291 | 2.533 | 0.019 | 0.143 | 7.012 | |
Disclaimer/Publisher’s Note: The statements, opinions and data contained in all publications are solely those of the individual author(s) and contributor(s) and not of MDPI and/or the editor(s). MDPI and/or the editor(s) disclaim responsibility for any injury to people or property resulting from any ideas, methods, instructions or products referred to in the content. |
© 2024 by the authors. Licensee MDPI, Basel, Switzerland. This article is an open access article distributed under the terms and conditions of the Creative Commons Attribution (CC BY) license (https://creativecommons.org/licenses/by/4.0/).
Share and Cite
Wu, Y.; Luo, Z.; Qi, L.; Zhang, R.; Wang, Y. A Study of the Relationship between Initial Grape Yield and Soil Properties Based on Organic Fertilization. Agronomy 2024, 14, 861. https://doi.org/10.3390/agronomy14040861
Wu Y, Luo Z, Qi L, Zhang R, Wang Y. A Study of the Relationship between Initial Grape Yield and Soil Properties Based on Organic Fertilization. Agronomy. 2024; 14(4):861. https://doi.org/10.3390/agronomy14040861
Chicago/Turabian StyleWu, Yuxia, Zhengcheng Luo, Liang Qi, Rui Zhang, and Yanxiu Wang. 2024. "A Study of the Relationship between Initial Grape Yield and Soil Properties Based on Organic Fertilization" Agronomy 14, no. 4: 861. https://doi.org/10.3390/agronomy14040861
APA StyleWu, Y., Luo, Z., Qi, L., Zhang, R., & Wang, Y. (2024). A Study of the Relationship between Initial Grape Yield and Soil Properties Based on Organic Fertilization. Agronomy, 14(4), 861. https://doi.org/10.3390/agronomy14040861
