Impacts of Livestock Production on Grassland Grasshopper Disasters
Abstract
1. Introduction
1.1. Background
1.2. Literature Review
2. Materials and Methods
2.1. Study Area
2.2. Data Collection
2.3. Statistical Models
2.4. Variable Selection and Data Description
3. Results
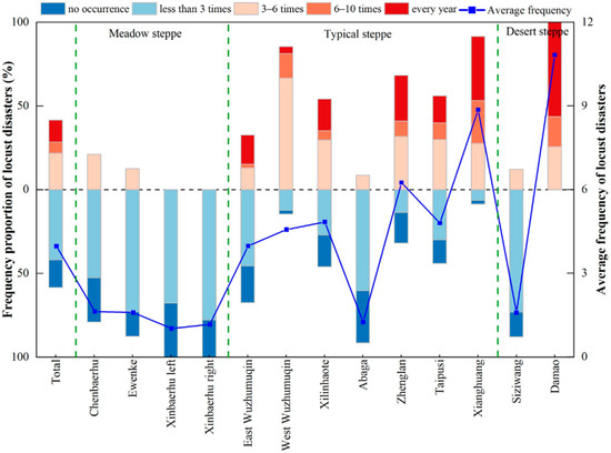
3.1. Frequency of Grasshopper Disasters Perceived by Herders
3.2. Losses from Grasshopper Disasters Perceived by Herders
3.3. The Impact of Production Behavior on Grasshopper Disasters
4. Discussion
4.1. How Grazing Influences Grasshopper Disasters
4.2. Why Operating Grassland Area Matter
4.3. The Influences of Supplementation to Grasshopper Disasters
4.4. Limitations and Future Work
5. Conclusions
Author Contributions
Funding
Data Availability Statement
Acknowledgments
Conflicts of Interest
Appendix A
Appendix A.1. Calculation of the Average Frequency of Grasshoppers
| Species | Damaged Grassland Types | Size Category | Occurrence Period | Control Standards (Density of Insects per Square Meter) | ||
|---|---|---|---|---|---|---|
| Meadow Steppe | Typical Steppe | Desert Steppe | ||||
| Oedaleus decorus (Germar) | + | + | + | Medium | mid-season | 15 |
| Dasyhippus barbipes (Fischer-Waldheim) | + | + | + | Small | early season | 25 |
| Myrmeleotettix palpalis (Zubowsky) | + | + | + | Small | early season | 25 |
| Angaracris barabensis (Pallas) | + | + | + | Medium | mid-season | 15 |
| Bryodema luctuosum (Stoll) | - | + | + | Medium | early season | 15 |
| Bryodemella tuberculatum dilutum (Stoll) | + | + | - | Medium | late-season | 15 |
| Pararcyptera microptera meridionalis (Ikonnikov) | - | + | - | Medium | mid-season | 15 |
| Chorthippus dubius (Zubovsky) | - | + | - | Small | late-season | 25 |
| Calliptamus abbreviatus Ikonnikov | + | - | + | Medium | late-season | 15 |
Appendix A.2. Analysis of Grazing Rate

| County | No Occurrence | Less than 3 Times | 3–6 Times | 6–10 Times | Every Year | Average Frequency |
|---|---|---|---|---|---|---|
| Total | 89 | 227 | 118 | 36 | 71 | 3.97 |
| Chenbaerhu | 10 | 20 | 8 | 0 | 0 | 1.63 |
| Ewenke | 7 | 35 | 6 | 0 | 0 | 1.59 |
| Xinbaerhu left | 10 | 21 | 0 | 0 | 0 | 1.02 |
| Xinbaerhu right | 8 | 28 | 0 | 0 | 0 | 1.17 |
| East Wuzhumuqin | 10 | 21 | 6 | 1 | 8 | 3.98 |
| West Wuzhumuqin | 1 | 6 | 32 | 7 | 2 | 4.57 |
| Xilinhaote | 7 | 10 | 11 | 2 | 7 | 4.84 |
| Abaga | 18 | 35 | 5 | 0 | 0 | 1.25 |
| Zhenglan | 4 | 3 | 7 | 2 | 6 | 6.25 |
| Taipusi | 7 | 15 | 15 | 5 | 8 | 4.80 |
| Xianghuang | 1 | 3 | 13 | 12 | 18 | 8.86 |
| Siziwang | 6 | 30 | 5 | 0 | 0 | 1.59 |
| Damao | 0 | 0 | 10 | 7 | 22 | 10.83 |
| Steppe Type | <0.4 | 0.4–0.8 | 0.8–1.2 | 1.2–1.6 | ≥1.6 |
|---|---|---|---|---|---|
| Total | 131 (24.21%) | 103 (19.04%) | 82 (15.16%) | 60 (11.09%) | 165 (30.50%) |
| Meadow steppe | 76 (49.67%) | 36 (23.53%) | 15 (9.80%) | 12 (7.84%) | 14 (9.15%) |
| Typical steppe | 36 (11.69%) | 52 (16.88%) | 57 (18.51%) | 34 (11.04%) | 129 (41.88%) |
| Desert steppe | 19 (23.75%) | 15 (18.75%) | 10 (12.50%) | 14 (17.05%) | 22 (27.50%) |
References
- Wang, X.; Li, G.; Wang, S.; Feng, C.; Xu, W.; Nie, Q.; Liu, Q. The effect of environmental changes on locust outbreak dynamics in the downstream area of the Yellow River during the Ming and Qing Dynasties. Sci. Total. Environ. 2023, 877, 162921. [Google Scholar] [CrossRef] [PubMed]
- Wang, B.; Deveson, E.D.; Waters, C.; Spessa, A.; Lawton, D.; Feng, P.; Liu, L. Future climate change likely to reduce the Australian plague locust (Chortoicetes terminifera) seasonal outbreaks. Sci. Total. Environ. 2019, 668, 947–957. [Google Scholar] [CrossRef] [PubMed]
- Salih, A.A.M.; Baraibar, M.; Mwangi, K.K.; Artan, G. Climate change and locust outbreak in East Africa. Nat. Clim. Chang. 2020, 10, 584–585. [Google Scholar] [CrossRef]
- FAO. Publication: Desert Locust Upsurge Progress Report on the Response in the Greater Horn of Africa and Yemen. Available online: https://www.fao.org/locusts/en/ (accessed on 20 March 2024).
- Lecoq, M.; Cease, A. What have we learned after millennia of locust invasions? Agronomy 2022, 12, 472. [Google Scholar] [CrossRef]
- Wang, Y.; Kou, Y.; Li, C.; Tu, B.; Wang, J.; Yao, M.; Li, X. Contrasting responses of diazotrophic specialists, opportunists, and generalists to steppe types in Inner Mongolia. Catena 2019, 182, 104168. [Google Scholar] [CrossRef]
- Robinson, M.D. Desert nitrogen cycles: Fecal nitrogen from a population of the Sahelian tree locust in Oman. Sultan Qaboos Univ. J. Sci. 2001, 6, 33–38. [Google Scholar] [CrossRef]
- Miao, J.; Zhao, Z.; Liu, H.L. Using MODIS data to monitor the change of vegetatio n index of diseases and insect pests in a wide range-taking the locust disaster in Australia in 2010 as an example. Chin. Agron. Sci. Bull. (Arch. Am. Art) 2015, 31, 148–155. [Google Scholar]
- Cheng, Y.; Li, H.; Liu, L.; Wang, G.; Gu, H.; Luke, B. Sex and Body Colour Affect the Variation in Internal Body Temperature of Oedaleus decorus asiaticus in Natural Habitats in Inner Mongolia, China. Agriculture 2022, 12, 878. [Google Scholar] [CrossRef]
- Giese, M.; Brueck, H.; Gao, Y.Z.; Lin, S.; Steffens, M.; Kögel-Knabner, I.; Glindemann, T.; Susenbeth, A.; Taube, F.; Butterbach-Bahl, K. N balance and cycling of Inner Mongolia typical steppe: A comprehensive case study of grazing effects. Ecol. Monogr. 2013, 83, 195–219. [Google Scholar] [CrossRef]
- Cullen, D.A.; Sword, G.A.; Simpson, S.J. Optimizing multivariate behavioural syndrome models in locusts using automated video tracking. Anim. Behav. 2012, 84, 771–784. [Google Scholar] [CrossRef]
- Piou, C.; Lebourgeois, V.; Benahi, A.S.; Bonnal, V.; el Hacen Jaavar, M.; Lecoq, M.; Vassal, J.-M. Coupling historical prospection data and a remotely-sensed vegetation index for the preventative control of Desert locusts. Basic Appl. Ecol. 2013, 14, 593–604. [Google Scholar] [CrossRef]
- Meynard, C.N.; Gay, P.E.; Lecoq, M.; Foucart, A.; Piou, C.; Chapuis, M.P. Climate-driven geographic distribution of the desert locust during recession periods: Subspecies’ niche differentiation and relative risks under scenarios of climate change. Glob. Chang. Biol. 2017, 23, 4739–4749. [Google Scholar] [CrossRef] [PubMed]
- Cease, A. Locust Outbreaks and Migration in the Asian Steppe: The Influence of Land Management Practices and Host Plant Nutrient Status; Arizona State University: Phoenix, AZ, USA, 2012. [Google Scholar]
- Le Gall, M.; Overson, R.; Cease, A. A global review on locusts (Orthoptera: Acrididae) and their interactions with livestock grazing practices. Front. Ecol. Evol. 2019, 7, 263. [Google Scholar] [CrossRef]
- Kang, L. Influence of Livestock Grazing on Grasshopper (Orthoptera: Acrididae) Diversity in the Inner Mongolian Steppes. Biodivers. Science 1994, 2, 9–17. [Google Scholar] [CrossRef]
- Cease, A.J.; Elser, J.J.; Fenichel, E.P.; Hadrich, J.C.; Harrison, J.F.; Robinson, B.E. Living with locusts: Connecting soil nitrogen, locust outbreaks, livelihoods, and livestock markets. Bioscience 2015, 65, 551–558. [Google Scholar] [CrossRef]
- Veran, S.; Simpson, S.J.; Sword, G.A.; Deveson, E.; Piry, S.; Hines, J.E.; Berthier, K. Modeling spatiotemporal dynamics of outbreaking species: Influence of environment and migration in a locust. Ecology 2015, 96, 737–748. [Google Scholar] [CrossRef] [PubMed]
- Díaz, S.; Lavorel, S.; McIntyre, S.; Falczuk, V.; Casanoves, F.; Milchunas, D.G.; Skarpe, C.; Rusch, G.; Sternberg, M.; Noy-Meir, I.; et al. Plant trait responses to grazing-a global synthesis. Glob. Chang. Biol. 2007, 13, 313–341. [Google Scholar] [CrossRef]
- Cease, A.J.; Elser, J.J.; Ford, C.F.; Hao, S.; Kang, L.; Harrison, J.F. Heavy livestock grazing promotes locust outbreaks by lowering plant nitrogen content. Science 2012, 335, 467–469. [Google Scholar] [CrossRef] [PubMed]
- Peng, W.; Ma, N.L.; Zhang, D.; Zhou, Q.; Yue, X.; Khoo, S.C.; Yang, H.; Guan, R.; Chen, H.; Zhang, X. A review of historical and recent locust outbreaks: Links to global warming, food security and mitigation strategies. Environ. Res. 2020, 191, 110046. [Google Scholar] [CrossRef]
- Karpakakunjaram, V.; Kolatkar, M.D.; Muralirangan, M.C. Effects of abiotic factors on the population of an acridid grasshopper, Diabolocatantops pinguis (Orthoptera: Acrididae) at two sites in southern India: A three-year study. J. Orthoptera Res. 2002, 11, 55–62. [Google Scholar] [CrossRef]
- Latchininsky, A.V. Moroccan locust Dociostaurus maroccanus (Thunberg, 1815): A faunistic rarity or an important economic pest? J. Insect Conserv. 1998, 2, 167–178. [Google Scholar] [CrossRef]
- Wu, T.; Hao, S.; Kang, L. Effects of soil temperature and moisture on the development and survival of grasshopper eggs in inner mongolian grasslands. Front. Ecol. Evol. 2021, 9, 727911. [Google Scholar] [CrossRef]
- Jin, K.; Li, P. Theory and Practice of Grass-Animal Balance; China Agriculture Press: Beijing, China, 2023. [Google Scholar]
- Li, A.; Wu, J.; Zhang, X.; Xue, J.; Liu, Z.; Han, X.; Huang, J. China’s new rural “separating three property rights” land reform results in grassland degradation: Evidence from Inner Mongolia. Land Use Pol. 2018, 71, 170–182. [Google Scholar] [CrossRef]
- Gardiner, T. Grazing and Orthoptera: A review. J. Orthoptera Res. 2018, 27, 3–11. [Google Scholar] [CrossRef]
- Chen, Y.; Kang, L. Dynamics of grasshopper communities under different grazing intensities in Inner Mongolian steppes. Entomol. Sin. 1995, 2, 265–281. [Google Scholar]
- Zhu, H.; Nkurunziza, V.; Wang, J.; Guo, Q.; Ruan, H.; Wang, D. Effects of large herbivore grazing on grasshopper behaviour and abundance in a meadow steppe. Ecol. Entomol. 2020, 45, 1357–1366. [Google Scholar] [CrossRef]
- Despland, E.; Simpson, S.J. Small-scale vegetation patterns in the parental environment influence the phase state of hatchlings of the desert locust. Physiol. Entomol. 2000, 25, 74–81. [Google Scholar] [CrossRef]
- Cullen, D.A.; Cease, A.J.; Latchininsky, A.V.; Ayali, A.; Berry, K.; Buhl, J.; De Keyser, R.; Foquet, B.; Hadrich, J.C.; Matheson, T.; et al. From Molecules to Management: Mechanisms and Consequences of Locust Phase Polyphenism. In Advances in Insect Physiology; Academic Press: New York, NY, USA, 2017; Volume 53, pp. 167–285. [Google Scholar]
- Zheng, R.; Xia, Y.; Keyhani, N.O. Sex-specific variation in the antennal proteome of the migratory locust. J. Proteom. 2020, 216, 103681. [Google Scholar] [CrossRef]
- Ding, W.; Ren, W.; Li, P.; Hou, X.; Sun, X.; Li, X.; Xie, J.; Ding, Y. Evaluation of the livelihood vulnerability of pastoral households in Northern China to natural disasters and climate change. Rangel. J. 2014, 36, 535–543. [Google Scholar] [CrossRef]
- Qiu, X.H.; Kang, L.; Li, H.C. The economic threshold for control of the major species of grasshoppers on Inner Mongolian rangeland. Acta Entomol. Sin. 2004, 47, 595–598. [Google Scholar]
- Zhang, Z.; Gao, S.; Wang, Y.; Yang, B.; Zhang, Z.; Zheng, S.; Wang, M. Using Metarhizium flavoviride Oil Spray to Control Grasshoppers in Inner Mongolia Grassland. Chin. J. Biol. Control 2000, 16, 49–52. [Google Scholar]
- Bateer, H.; Siqing, G.; Zhang, P. Causes and control measures of grasshopper infestation in Inner Mongolia grassland. Grassl. Prataculture 2007, 19, 52–55. [Google Scholar]
- Xu, Y.; Pang, B.; Zhao, J.; Wang, X.; Liu, Y.; Zhang, J. Comparision of growth and growth and development of five grasshoppers in Inner Mongolia grasslands. J. Inn. Mong. Agric. Univ. (Nat. Sci. Ed.) 2013, 34, 76–79. [Google Scholar]
- Sriningsih, R.; Otok, B.W. Determination of the best multivariate adaptive geographically weighted generalized Poisson regression splines model employing generalized cross-validation in dengue fever cases. MethodsX 2023, 10, 102174. [Google Scholar] [CrossRef] [PubMed]
- Zhu, F. Modeling overdispersed or underdispersed count data with generalized Poisson integer-valued GARCH models. J. Math. Anal. Appl. 2012, 389, 58–71. [Google Scholar] [CrossRef]
- Wang, W.; Famoye, F. Modeling household fertility decisions with generalized Poisson regression. J. Popul. Econ. 1997, 10, 273–283. [Google Scholar] [CrossRef] [PubMed]
- Shen, J.; Zhang, N.; He, B.; Liu, C.Y.; Li, Y.; Zhang, H.Y.; Chen, X.Y.; Lin, H. Construction of a GeogDetector-based model system to indicate the potential occurrence of grasshoppers in Inner Mongolia steppe habitats. Bull. Entomol. Res. 2015, 105, 335–346. [Google Scholar] [CrossRef] [PubMed]
- Zhao, X.; Feng, Y.; Xu, K.; Cao, M.; Hu, S.; Yang, Q.; Liu, X.; Ma, Q.; Hu, T.; Kelly, M. Canopy structure: An intermediate factor regulating grassland diversity-function relationships under human disturbances. Fundam. Res. 2023, 3, 179–187. [Google Scholar] [CrossRef]
- Mahmoudi, B.; Sorouri, Z.; Zenner, E.K.; Mafi-Gholami, D. Development of a new social resilience assessment model for urban forest parks. Environ. Dev. 2022, 43, 100724. [Google Scholar] [CrossRef]
- Hao, S.; Wang, S.; Cease, A.; Kang, L. Landscape level patterns of grasshopper communities in Inner Mongolia: Interactive effects of livestock grazing and a precipitation gradient. Landsc. Ecol. 2015, 30, 1657–1668. [Google Scholar] [CrossRef]
- Lockwood, J.A.; Hong-Chang, L.; Dodd, J.L.; Williams, S.E. Comparison of Grasshopper (Orthoptera: Acrididae) Ecology on the Grasslands of the Asian Steppe in Inner Mongolia and the Great Plains of North America. J. Orthoptera Res. 1994, 2, 4–14. [Google Scholar] [CrossRef]
- Chen, W.; Huang, D.; Liu, N.; Zhang, Y.; Badgery, W.B.; Wang, X.; Shen, Y. Improved grazing management may increase soil carbon sequestration in temperate steppe. Sci. Rep. 2015, 5, 10892. [Google Scholar] [CrossRef] [PubMed]
- Dahl, K.M.; Bork, E.W.; Parkins, J.R.; Sherren, K. Assessing variation in range health across grazed northern temperate grasslands. Rangel. Eco. Manag. 2021, 74, 135–146. [Google Scholar] [CrossRef]
- Han, G.; Hao, X.; Zhao, M.; Wang, M.; Ellert, B.H.; Willms, W.; Wang, M. Effect of grazing intensity on carbon and nitrogen in soil and vegetation in a meadow steppe in Inner Mongolia. Agric. Ecosyst. Environ. 2008, 125, 21–32. [Google Scholar] [CrossRef]
- Bazelet, C.S.; Samways, M.J. Relative importance of management vs. design for implementation of large-scale ecological networks. Landsc. Ecol. 2011, 26, 341–353. [Google Scholar] [CrossRef]
- Branson, D.H. Effects of altered seasonality of precipitation on grass production and grasshopper performance in a northern mixed prairie. Environ. Entomol. 2017, 46, 589–594. [Google Scholar] [CrossRef]
- Munkhzu, O.; Oyundelger, K.; Narantuya, N.; Tuvshintogtokh, I.; Oyuntsetseg, B.; Wesche, K.; Jäschke, Y. Grazing Effects on Mongolian Steppe Vegetation—A Systematic Review of Local Literature. Front. Ecol. Evol. 2021, 9, 703220. [Google Scholar] [CrossRef]
- Lee, M.A.; Manning, P.; Walker, C.S.; Power, S.A. Plant and arthropod community sensitivity to rainfall manipulation but not nitrogen enrichment in a successional grassland ecosystem. Oecologia 2014, 176, 1173–1185. [Google Scholar] [CrossRef] [PubMed]
- Jimoh, S.O.; Li, P.; Ding, W.; Hou, X. Socio-ecological factors and risk perception of herders impact grassland rent in Inner Mongolia, China. Rangel. Ecol. Manag. 2021, 75, 68–80. [Google Scholar] [CrossRef]
- Jimoh, S.O.; Feng, X.; Li, P.; Hou, Y.; Hou, X. Risk-overgrazing relationship model: An empirical analysis of grassland farms in northern China. Rangel. Ecol. Manag. 2020, 73, 463–472. [Google Scholar] [CrossRef]
- Lu, L.; Li, P.; Kalacska, M.; Robinson, B.E. Environmental impacts of renting rangelands: Integrating remote sensing and household surveys at the parcel level. Environ. Res. Lett. 2023, 18, 074005. [Google Scholar] [CrossRef]
- Briske, D.D.; Coppock, D.L.; Illius, A.W.; Fuhlendorf, S.D. Strategies for global rangeland stewardship: Assessment through the lens of the equilibrium–non-equilibrium debate. J. Appl. Ecol. 2020, 57, 1056–1067. [Google Scholar] [CrossRef]
- Robinson, B.E.; Li, P.; Hou, X. Institutional change in social-ecological systems: The evolution of grassland management in Inner Mongolia. Glob. Environ. Chang. 2017, 47, 64–75. [Google Scholar] [CrossRef]
- National Forestry and Grassland Administration Office. Notice on Issuing the “Standards for Control of Major Grassland Pest”. Document No. Ban Cao Zi [2021] 73. Available online: https://www.renrendoc.com/paper/239293261.html (accessed on 10 April 2024).







| Category | Total | Meadow Steppe | Typical Steppe | Desert Steppe | |
|---|---|---|---|---|---|
| Nation (%) | Mongolian | 84.1 | 83.66 | 86.36 | 76.25 |
| Han | 13.68 | 9.15 | 13.64 | 22.50 | |
| Other | 2.22 | 7.19 | 0.00 | 1.25 | |
| Age (%) | 16–45 | 45.29 | 56.21 | 43.83 | 30.00 |
| 45–60 | 43.81 | 31.37 | 47.40 | 53.75 | |
| >60 | 10.91 | 12.42 | 8.77 | 16.25 | |
| Gender (%) | Male | 94.82 | 98.69 | 93.18 | 93.75 |
| Female | 5.18 | 1.31 | 6.82 | 6.25 | |
| Education level (%) | Illiteracy | 9.8 | 7.84 | 1.62 | 45.00 |
| Primary school | 28.65 | 32.68 | 27.27 | 26.25 | |
| Middle school | 38.45 | 50.33 | 35.06 | 28.75 | |
| High school/vocational technical high school | 16.64 | 3.92 | 27.27 | 0.00 | |
| Undergraduate degree and above | 6.47 | 5.23 | 8.77 | 0.00 | |
| Operating grassland area (ha) | 372 | 491 | 331 | 314 | |
| Livestock number (se) | 418 | 500 | 420 | 261 | |
| Variable | Definition | Mean | Standard Deviation | Minimum | Maximum |
|---|---|---|---|---|---|
| Explained variable | |||||
| The frequency of grasshopper disasters (y1) | 1 = no occurrence, 2 = less than 3 times, 3 = 3–6 times, 4 = 6–10 times, 5 = every year | 2.58 | 1.22 | 1 | 5 |
| The losses of grasshopper disasters (y2) | Percentage of grassland area perceived by herders to have been damaged by grasshopper disasters to operating grassland area in the last 15 years. | 18.23 | 14.41 | 0 | 60 |
| Explanatory variable | |||||
| Operating grassland area (x1) | Operating grassland area refers to the area used by herdsmen, including grassland contracted from local community and renting grassland (ha). | 372 | 389 | 17 | 3066 |
| Renting grassland area (x2) | Renting grassland area refers to the area rented from other grassland (ha). | 91 | 259 | 0 | 2600 |
| Livestock number (x3) | The number of livestock raised in summer. Livestock number is converted into se. | 418 | 358 | 15 | 1821 |
| Livestock structure (x4) | 1 = Pure small livestock (sheep, goat) or pure large livestock (beef cattle, cow, horse), 2 = Mixed large livestock and small livestock | 1.69 | 0.46 | 1 | 2 |
| Feeding forage (x5) | Amount of forage supplemented per sheep equivalent per year (kg/se). | 229 | 193 | 0 | 756 |
| Grazing rate (x6) | Ratio of the number of livestock actually grazed to the number of livestock in a sustainable grazing scheme per unit area of pasture. | 1.46 | 1.54 | 0.02 | 12.45 |
| Policy intensity (x7) | 1 = grassland-livestock balance, 2 = grassland-livestock balance + rest grazing, 3 = grassland-livestock balance + rest grazing + closure against grazing or grassland-livestock balance + closure against grazing | 2.18 | 0.73 | 0 | 3 |
| Grassland perception (x8) | 1 = very bad, 2 = relatively poor, 3 = general, 4 = fine, 5 = very good | 2.79 | 1.04 | 1 | 5 |
| Explanatory Variable | The Frequency of Grasshopper Disasters (y1) | The Losses of Grasshopper Disasters (y2) | ||
|---|---|---|---|---|
| Coefficient | Standard Error | Coefficient | Standard Error | |
| Operating grassland area (x1) | −0.0002 *** | 0.0001 | −0.0066 *** | 0.0025 |
| Renting grassland area (x2) | 0.0003 *** | 0.0000 | 0.0055 ** | 0.0029 |
| Livestock number (x3) | 0.0001 * | 0.0001 | 0.0023 | 0.0019 |
| Livestock structure (x4) | −0.0159 | 0.0355 | −1.4705 | 1.2530 |
| Feeding forage (x5) | −0.0002 ** | 0.0001 | −0.0063 * | 0.0033 |
| Grazing rate (x6) | 0.0567 *** | 0.0132 | 3.5833 *** | 0.5327 |
| Policy intensity (x7) | 0.0413 * | 0.0212 | 3.8467 ** | 0.6588 |
| Grassland perception (x8) | 0.0157 | 0.0160 | 0.8371 | 0.5169 |
| Typical steppe | 0.3632 *** | 0.0459 | 7.0364 *** | 1.1902 |
| Desert steppe | 0.4513 *** | 0.0579 | 11.3104 *** | 2.0198 |
| _cons | 0.8537 | 0.1034 | 1.2401 | 3.4793 |
| Log likelihood = −617.4663 Prob > chi2 = 0.0000 Pseudo R2 = 0.2439 LR chi2(20) = 1129.84 | Prob > F = 0.0000 R-squared = 0.3972 Root MSE = 11.297 | |||
Disclaimer/Publisher’s Note: The statements, opinions and data contained in all publications are solely those of the individual author(s) and contributor(s) and not of MDPI and/or the editor(s). MDPI and/or the editor(s) disclaim responsibility for any injury to people or property resulting from any ideas, methods, instructions or products referred to in the content. |
© 2024 by the authors. Licensee MDPI, Basel, Switzerland. This article is an open access article distributed under the terms and conditions of the Creative Commons Attribution (CC BY) license (https://creativecommons.org/licenses/by/4.0/).
Share and Cite
Liu, S.; Chen, M.; Li, P.; Baoyin, T.; Hou, X.; Yin, G. Impacts of Livestock Production on Grassland Grasshopper Disasters. Agronomy 2024, 14, 820. https://doi.org/10.3390/agronomy14040820
Liu S, Chen M, Li P, Baoyin T, Hou X, Yin G. Impacts of Livestock Production on Grassland Grasshopper Disasters. Agronomy. 2024; 14(4):820. https://doi.org/10.3390/agronomy14040820
Chicago/Turabian StyleLiu, Sibo, Meimei Chen, Ping Li, Taogetao Baoyin, Xiangyang Hou, and Guomei Yin. 2024. "Impacts of Livestock Production on Grassland Grasshopper Disasters" Agronomy 14, no. 4: 820. https://doi.org/10.3390/agronomy14040820
APA StyleLiu, S., Chen, M., Li, P., Baoyin, T., Hou, X., & Yin, G. (2024). Impacts of Livestock Production on Grassland Grasshopper Disasters. Agronomy, 14(4), 820. https://doi.org/10.3390/agronomy14040820
