A Phenotypic Extraction and Deep Learning-Based Method for Grading the Seedling Quality of Maize in a Cold Region
Abstract
1. Introduction
2. Materials and Methods
2.1. Experimental Design
2.1.1. Description of the Test Site
2.1.2. Test Material Treatment
2.1.3. Design of Individual Quality Indicators
2.2. Measurements
2.2.1. Determination of Morphological Indicators in Seedlings
- (1)
- Plant height (x1): a ruler was used to measure the distance from the base of the stem (the junction between the stem and root) to the top of the longest leaf when upright;
- (2)
- Stem base diameter (x2): the diameter of the stem base (the junction between the stem and root) was measured using a vernier caliper;
- (3)
- Coleoptile length (x3): a ruler was used to measure the length of the conical sheath outside the embryo;
- (4)
- Leaf sheath length of first spreading leaf (x4): the length of the base of the first fully unfolded leaf that surrounds the stem in a sheath shape was measured using a ruler;
- (5)
- Leaf sheath length of second spreading leaf (x5): the length of the base of the second fully unfolded leaf that surrounds the stem in a sheath shape was measured using a ruler;
- (6)
- Length of first spreading leaf blade (x6): the length from the base to the tip of the first fully unfolded leaf blade was measured using a ruler;
- (7)
- Width of first spreading leaf blade (x7): the width at the widest point of the first fully unfolded leaf blade was measured using a ruler;
- (8)
- Length of second spreading leaf blade (x8): the length from the base to the tip of the second fully unfolded leaf blade was measured using a ruler;
- (9)
- Width of second spreading leaf blade (x9): the width at the widest point of the second fully unfolded leaf blade was measured using a ruler;
- (10)
- Length of third spreading leaf blade (x10): the length from the base to the tip of the third fully unfolded leaf blade was measured using a ruler;
- (11)
- Width of third spreading leaf blade (x11): the width at the widest point of the third fully unfolded leaf blade was measured using a ruler;
- (12)
- Total leaf area of first to third spreading leaves (x12): the length width coefficient method (length × width × 0.75) was used to calculate the single leaf area of the first to third fully unfolded leaves, and then the total leaf area was calculated [43].
- (13)
- Primordial radicle (the main root that grows first from the seed embryo) length (x13), diameter (x14), number of secondary radicles (young roots gradually growing on both sides of the primary embryonic root, x15), number of nodal roots (roots growing on stem nodes, x16), and root volume (the size of the space occupied by the root system, x17) were determined using the WinRHIZO Pro (Zealquest Scientific Technology Co., Ltd., Shanghai, China) root analysis system [44].
2.2.2. Detection of Chlorophyll Content and Chlorophyll Fluorescence Parameters in Leaves
2.2.3. Determination of Fresh and Dry Weight of Various Parts of Seedlings
2.2.4. Measurement and Calculation of Yield Per Plant
2.3. Constructing a Grading Model for the Quality of Cold-Land Maize Seedlings
2.3.1. CNN Model Building
2.3.2. Optimizer
- (1)
- The gradient was first computed for the current time step, initialized to be computed from , and time iterations of training were performed, with the parameter values being updated for each computation:
- (2)
- The exponential moving average of the gradient was calculated, was initialized to 0, and the coefficient was used as the exponential decay rate to control weight allocation. Typically, a value close to 1 was taken, set to 0.9 in this study.
- (3)
- was initialized to 0 and the exponential moving average of gradient squared was calculated, with being the exponential decay rate coefficient, and the gradient squared was controlled before setting it to 0.99 in this study.
- (4)
- Initially initializing to 0 could lead to leaning towards 0, particularly at the beginning of training. To reduce the impact of bias on the initial training stage, bias correction was applied to the gradient mean .
- (5)
- Similar to , deviation correction was performed on .
- (6)
- The parameters were updated, and the learning rate was set to = 0.001 and = 10−8.
2.3.3. Model Evaluation Indicators
3. Results
3.1. Data Pre-Processing and Analysis
3.1.1. Effect of Different Stages of Low-Temperature Treatment and Duration on Seedling Quality Indicators from Sowing to Seedling Stage
3.1.2. Effect of Different Stages of Low-Temperature Treatment and Duration on Maize Yield Per Plant from Sowing to Seedling Stage
3.1.3. Classification of Seedling Quality
3.2. Analysis of Seedling Quality Grading Model
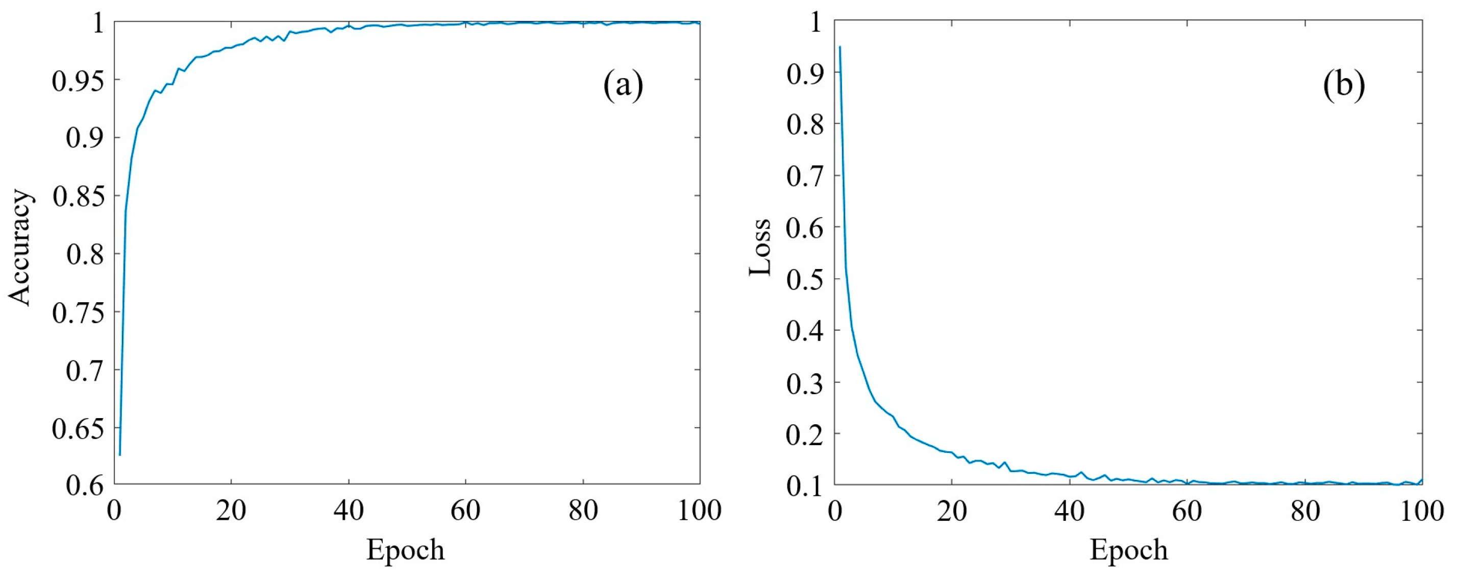
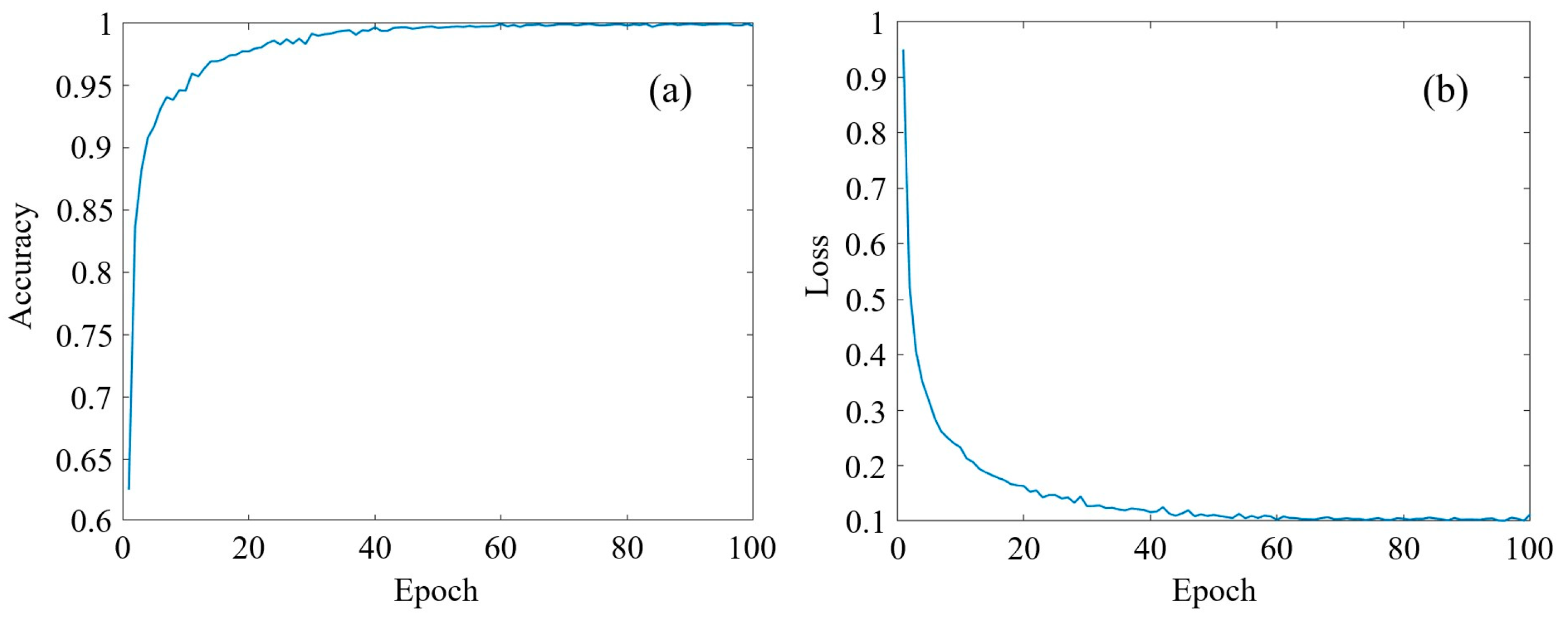
3.2.1. Training Results and Analysis
3.2.2. Test Results and Analysis
3.2.3. Model Evaluation
4. Discussion
4.1. Analysis of the Methodological Strengths of This Study
4.2. Error Analysis
4.3. Future Promotion and Application
5. Conclusions
Supplementary Materials
Author Contributions
Funding
Data Availability Statement
Acknowledgments
Conflicts of Interest
References
- Jiang, R.; He, W.; He, L.; Yang, J.Y.; Qian, B.; Zhou, W.; He, P. Modelling adaptation strategies to reduce adverse impacts of climate change on maize cropping system in Northeast China. Sci. Rep. 2021, 11, 810. [Google Scholar] [CrossRef]
- Yang, R.; Zhou, G. Temporal-spatial dynamics of maize chilling damage frequency in Northeast China during 1961–2013. J. Meteorol. Sci. 2016, 36, 311–318. [Google Scholar]
- Li, Z.; Zhang, Z.; Zhang, J.; Luo, Y.; Zhang, L. A new framework to quantify maize production risk from chilling injury in Northeast China. Clim. Risk Manag. 2021, 32, 100299. [Google Scholar] [CrossRef]
- Zhao, J.; Guo, J.; Mu, J. Exploring the relationships between climatic variables and climate-induced yield of spring maize in Northeast China. Agric. Ecosyst. Environ. 2015, 207, 79–90. [Google Scholar] [CrossRef]
- Zhao, J.; Yang, X.; Liu, Z.; Lv, S.; Wang, J.; Dai, S. Variations in the potential climatic suitability distribution patterns and grain yields for spring maize in Northeast China under climate change. Clim. Chang. 2016, 137, 29–42. [Google Scholar] [CrossRef]
- Luo, Y.C.; Zhang, Z.; Zhang, L.L.; Zhang, J.; Tao, F.L. Weakened maize phenological response to climate warming in China over 1981–2018 due to cultivar shifts. Adv. Clim. Chang. Res. 2022, 13, 710–720. [Google Scholar] [CrossRef]
- Wang, T.; Li, N.; Li, Y.; Lin, H.; Yao, N.; Chen, X.; Liu, D.; Yu, Q.; Feng, H. Impact of climate variability on grain yields of spring and summer maize. Comput. Electron. Agric. 2022, 199, 107101. [Google Scholar] [CrossRef]
- Chenu, K.; Fournier, C.; Andrieu, B.; Giauffret, C. An architectural approach to investigate maize response to low temperature. In Scale and Complexity in Plant Systems Research: Gene-Plant-Crop Relation, 1st ed.; Spiertz, J.H.J., Struik, P.C., can Laar, H.H., Eds.; Springer: Dordrecht, The Netherlands, 2007; Volume 21, pp. 201–210. [Google Scholar]
- Liu, Z.; Yang, X.; Hubbard, K.G.; Lin, X. Maize potential yields and yield gaps in the changing climate of northeast China. Glob. Change Biol. 2012, 18, 3441–3454. [Google Scholar] [CrossRef]
- Zhang, Y.; Cao, Y.; Zheng, H.; Feng, W.; Qu, J.; Fu, F.; Li, W.; Yu, H. Ectopic expression of antifreeze protein gene from Ammopiptanthus nanus confers chilling tolerance in maize. Crop J. 2021, 9, 924–933. [Google Scholar] [CrossRef]
- Hou, S.; Ren, H.; Fan, F.; Zhao, M.; Zhou, W.; Zhou, B.; Li, C. The effects of plant density and nitrogen fertilization on maize yield and soil microbial communities in the black soil region of Northeast China. Geoderma 2023, 430, 116325. [Google Scholar] [CrossRef]
- Zhu, G.; Liu, Z.; Qiao, S.; Zhang, Z.; Huang, Q.; Su, Z.; Yang, X. How could observed sowing dates contribute to maize potential yield under climate change in Northeast China based on APSIM model. Eur. J. Agron. 2022, 136, 126511. [Google Scholar] [CrossRef]
- Yuan, L.; Liu, Y.; He, H.; Zhu, T.; Chen, X.; Zhang, X.; Liang, C.; Xie, H.; Zhang, J.; Müller, C.; et al. Effects of long-term no-tillage and maize straw mulching on gross nitrogen transformations in mollisols of Northeast China. Geoderma 2022, 428, 116194. [Google Scholar] [CrossRef]
- Zhao, J.; Yang, X.; Lv, S.; Liu, Z.; Wang, J. Variability of available climate resources and disaster risks for different maturity types of spring maize in Northeast China. Reg. Environ. Chang. 2014, 14, 17–26. [Google Scholar] [CrossRef]
- Li, W.Q.; Li, J.Y.; Zhang, Y.F.; Luo, W.Q.; Dou, Y.; Yu, S. Effect of reactive oxygen scavenger N,N′-Dimethylthiourea (DMTU) on seed germination and radicle elongation of maize. Int. J. Mol. Sci. 2023, 24, 15557. [Google Scholar] [CrossRef] [PubMed]
- Yan, M.; Li, F.; Sun, Q.; Zhao, J.; Ma, Y. Identification of chilling-tolerant genes in maize via bulked segregant analysis sequencing. Environ. Exp. Bot. 2023, 208, 105234. [Google Scholar] [CrossRef]
- Guo, Q.; Li, X.; Niu, L.; Jameson, P.E.; Zhou, W. Transcription-associated metabolomic adjustments in maize occur during combined drought and cold stress. Plant Physiol. 2021, 186, 677–695. [Google Scholar] [CrossRef] [PubMed]
- Friero, I.; Larriba, E.; Martínez-Melgarejo, P.A.; Justamante, M.S.; Alarcón, M.V.; Albacete, A.; Salguero, J.; Pérez-Pérez, J.M. Transcriptomic and hormonal analysis of the roots of maize seedlings grown hydroponically at low temperature. Plant Sci. 2023, 326, 111525. [Google Scholar] [CrossRef] [PubMed]
- Raza, A.; Charagh, S.; Najafi-Kakavand, S.; Abbas, S.; Shoaib, Y.; Anwar, S.; Sharifi, S.; Lu, G.; Siddique, K.H.M. Role of phytohormones in regulating cold stress tolerance: Physiological and molecular approaches for developing cold-smart crop plants. Plant Stress. 2023, 8, 100152. [Google Scholar] [CrossRef]
- Allen, D.J.; Ort, D.R. Impacts of chilling temperatures on photosynthesis in warm-climate plants. Trends Plant Sci. 2001, 6, 36–42. [Google Scholar] [CrossRef]
- He, F.; Shen, H.; Lin, C.; Fu, H.; Sheteiwy, M.S.; Guan, Y.; Huang, Y.; Hu, J. Transcriptome analysis of chilling-imbibed embryo revealed membrane recovery related genes in maize. Front. Plant Sci. 2016, 7, 1978. [Google Scholar] [CrossRef]
- Zhou, Y.; Zhang, H.; Zhang, S.; Zhang, J.; Di, H.; Zhang, L.; Dong, L.; Lu, Q.; Zeng, X.; Liu, X.; et al. The G protein-coupled receptor COLD1 promotes chilling tolerance in maize during germination. Int. J. Biol. Macromol. 2023, 253, 126877. [Google Scholar] [CrossRef] [PubMed]
- Verheul, M.J.; Picatto, C.; Stamp, P. Growth and development of maize (Zea mays L.) seedlings under chilling conditions in the field. Eur. J. Agron. 1996, 5, 31–43. [Google Scholar] [CrossRef]
- Fryer, M.J.; Andrews, J.R.; Oxborough, K.; Blowers, D.A.; Baker, N.R. Relationship between CO2 assimilation, photosynthetic electron transport, and active O2 metabolism in leaves of maize in the field during periods of low temperature. Plant Physiol. 1998, 116, 571–580. [Google Scholar] [CrossRef] [PubMed]
- Ying, J.; Lee, E.A.; Tollenaar, M. Response of maize leaf photosynthesis to low temperature during the grain-filling period. Field Crops Res. 2000, 68, 87–96. [Google Scholar] [CrossRef]
- Sowiński, P.; Rudzińska-Langwald, A.; Adamczyk, J.; Kubica, I.; Fronk, J. Recovery of maize seedling growth, development and photosynthetic efficiency after initial growth at low temperature. J. Plant Physiol. 2005, 162, 67–80. [Google Scholar] [CrossRef] [PubMed]
- Hund, A.; Fracheboud, Y.; Soldati, A.; Stamp, P. Cold tolerance of maize seedlings as determined by root morphology and photosynthetic traits. Eur. J. Agron. 2008, 28, 178–185. [Google Scholar] [CrossRef]
- Farooq, M.; Aziz, T.; Wahid, A.; Lee, D.J.; Siddique, K.H.M. Chilling tolerance in maize: Agronomic and physiological approaches. Crop Pasture Sci. 2009, 60, 501–516. [Google Scholar] [CrossRef]
- Richner, W.; Kiel, C.; Stamp, P. Is seedling root morphology predictive of seasonal accumulation of shoot dry matter in maize? Crop Sci. 1997, 37, 1237–1241. [Google Scholar] [CrossRef]
- Hund, A.; Richner, W.; Soldati, A.; Fracheboud, Y.; Stamp, P. Root morphology and photosynthetic performance of maize inbred lines at low temperature. Eur. J. Agron. 2007, 27, 52–61. [Google Scholar] [CrossRef]
- Yang, M.; Yang, J.; Su, L.; Sun, K.; Li, D.; Liu, Y.; Wang, H.; Chen, Z.; Guo, T. Metabolic profile analysis and identification of key metabolites during rice seed germination under low-temperature stress. Plant Sci. 2019, 289, 110282. [Google Scholar] [CrossRef]
- Ahad, M.T.; Li, Y.; Song, B.; Bhuiyan, T. Comparison of CNN-based deep learning architectures for rice diseases classification. Artif. Intell. Agric. 2023, 9, 22–35. [Google Scholar] [CrossRef]
- Kim, Y.H.; Park, K.R. MTS-CNN: Multi-task semantic segmentation-convolutional neural network for detecting crops and weeds. Comput. Electron. Agric. 2022, 199, 107146. [Google Scholar] [CrossRef]
- Li, L.; Bie, Z.; Zhang, Y.; Huang, Y.; Peng, C.; Han, B.; Xu, S. Nondestructive detection of key phenotypes for the canopy of the watermelon plug seedlings based on deep learning. Hortic. Plant J. 2023; in press. [Google Scholar]
- Perugachi-Diaz, Y.; Tomczak, J.M.; Bhulai, S. Deep learning for white cabbage seedling prediction. Comput. Electron. Agric. 2021, 184, 106059. [Google Scholar] [CrossRef]
- Gao, X.; Zan, X.; Yang, S.; Zhang, R.; Chen, S.; Zhang, X.; Liu, Z.; Ma, Y.; Zhao, Y.; Li, S. Maize seedling information extraction from UAV images based on semi-automatic sample generation and Mask R-CNN model. Eur. J. Agron. 2023, 147, 126845. [Google Scholar] [CrossRef]
- Zhang, Y.; Xiao, D.; Liu, Y.; Wu, H. An algorithm for automatic identification of multiple developmental stages of rice spikes based on improved Faster R-CNN. Crop J. 2022, 10, 1323–1333. [Google Scholar] [CrossRef]
- Westcot, D.W.; Ayers, R.S. Water Quality for Agriculture; FAO Irrigation and Drainage Paper, 29 Rev.1; FAO: Rome, Italy, 1985. [Google Scholar]
- Hu, S.; Sanchez, D.L.; Wang, C.; Lipka, A.E.; Yin, Y.; Gardner, C.A.C.; Lübberstedt, T. Brassinosteroid and gibberellin control of seedling traits in maize (Zea mays L.). Plant Sci. 2017, 263, 132–141. [Google Scholar] [CrossRef] [PubMed]
- Itroutwar, P.D.; Kasivelu, G.; Raguraman, V.; Malaichamy, K.; Sevathapandian, S.K. Effects of biogenic zinc oxide nanoparticles on seed germination and seedling vigor of maize (Zea mays). Biocatal. Agric. Biotechnol. 2020, 29, 101778. [Google Scholar] [CrossRef]
- Evans, T.; Griscom, H. Comparing the effects of four propagation methods on hybrid chestnut seedling quality. Trees Forests People 2021, 6, 100157. [Google Scholar] [CrossRef]
- Zhang, M.; Qi, Q.; Zhang, D.; Tong, S.; Wang, X.; An, Y.; Lu, X. Effect of priming on Carex schmidtii seed germination and seedling growth: Implications for tussock wetland restoration. Ecol. Eng. 2021, 171, 106389. [Google Scholar] [CrossRef]
- Zhou, H.; Zhou, G.; He, Q.; Zhou, L.; Ji, Y.; Zhou, M. Environmental explanation of maize specific leaf area under varying water stress regimes. Environ. Exp. Bot. 2020, 171, 103932. [Google Scholar] [CrossRef]
- Liu, Y.; Guo, L.; Huang, Z.; López-Vicente, M.; Wu, G.L. Root morphological characteristics and soil water infiltration capacity in semi-arid artificial grassland soils. Agric. Water Manag. 2020, 235, 106153. [Google Scholar] [CrossRef]
- Chiango, H.; Figueiredo, A.; Sousa, L.; Sinclair, T.; da Silva, J.M. Assessing drought tolerance of traditional maize genotypes of Mozambique using chlorophyll fluorescence parameters. S. Afr. J. Bot. 2021, 138, 311–317. [Google Scholar] [CrossRef]
- Zhang, L.; Han, W.; Niu, Y.; Chávez, J.L.; Shao, G.; Zhang, H. Evaluating the sensitivity of water stressed maize chlorophyll and structure based on UAV derived vegetation indices. Comput. Electron. Agric. 2021, 185, 106174. [Google Scholar] [CrossRef]
- Ma, J.; Chen, Y.; Wang, K.; Huang, Y.; Wang, H. Re-utilization of Chinese medicinal herbal residues improved soil fertility and maintained maize yield under chemical fertilizer reduction. Chemosphere 2021, 283, 131262. [Google Scholar] [CrossRef] [PubMed]
- Semenoglou, A.A.; Spiliotis, E.; Assimakopoulos, V. Image-based time series forecasting: A deep convolutional neural network approach. Neural. Netw. 2023, 157, 39–53. [Google Scholar] [CrossRef] [PubMed]
- Yang, J.; Ma, X.; Guan, H.; Yang, C.; Zhang, Y.; Li, G.; Li, Z. A recognition method of corn varieties based on spectral technology and deep learning model. Infrared Phys. Technol. 2023, 128, 104533. [Google Scholar] [CrossRef]
- Zhang, Z.; Tian, J.; Huang, W.; Yin, L.; Zheng, W.; Liu, S. A haze prediction method based on one-dimensional convolutional neural network. Atmosphere 2021, 12, 1327. [Google Scholar] [CrossRef]
- Moitra, D.; Mandal, R.K. Classification of non-small cell lung cancer using one-dimensional convolutional neural network. Expert Syst. Appl. 2020, 159, 113564. [Google Scholar] [CrossRef]
- Yu, M.; Ma, X.; Guan, H.; Zhang, T. A diagnosis model of soybean leaf diseases based on improved residual neural network. Chemom. Intell. Lab. Syst. 2023, 237, 104824. [Google Scholar] [CrossRef]
- Chen, C.; Chen, H.; Zhang, Y.; Thomas, H.R.; Frank, M.H.; He, Y.; Xia, R. TBtools: An integrative toolkit developed for interactive analyses of big biological data. Mol. Plant. 2020, 13, 1194–1202. [Google Scholar] [CrossRef]
- Khoshgoftarmanesh, A.H.; Sharifi, H.R.; Afiuni, D.; Schulin, R. Classification of wheat genotypes by yield and densities of grain zinc and iron using cluster analysis. J. Geochem. Explor. 2012, 121, 49–54. [Google Scholar] [CrossRef]
- Huang, Z.; Ci, H.; Liu, Z.; Xue, Y.; Ren, X.; Xue, J.; Zhang, X. Comprehensive evaluation on yield and quality of medicinal chrysanthemum morifolium varieties based on principal component analysis and cluster analysis. Sci. Technol. Food Ind. 2024, 45, 271–280. [Google Scholar]
- Sun, Y.; Ye, L.; Wang, F.; Lian, P.; Zhang, C.; Mei, X.; Zhang, Z.; Wang, Q.; Xu, Z.; Wang, X.; et al. Study on high-yield population traits of soybean based on principal component analysis and cluster analysis. Acta Agric. Jiangxi 2023, 35, 24–29. [Google Scholar]
- Dou, R.; Hou, Y.; Wei, Y.; Liu, J. Dual carbon oriented optimization method for manufacturing industry chain based on BP neural network and clonal selection algorithm. Appl. Soft Comput. 2023, 148, 110887. [Google Scholar] [CrossRef]
- Carrizosa, E.; Mortensen, L.H.; Romero Morales, D.R.; Sillero-Denamiel, M.R. The tree based linear regression model for hierarchical categorical variables. Expert Syst. Appl. 2022, 203, 117423. [Google Scholar] [CrossRef]
- Wang, P.; Wang, Z.; Sun, X.; Mu, X.; Chen, H.; Chen, F.; Yuan, L.; Mi, G. Interaction effect of nitrogen form and planting density on plant growth and nutrient uptake in maize seedlings. J. Integr. Agric. 2019, 18, 1120–1129. [Google Scholar] [CrossRef]
- Wang, Y.; Zhang, X.; Chen, J.; Chen, A.; Wang, L.; Guo, X.; Niu, Y.; Liu, S.; Mi, G.; Gao, Q. Reducing basal nitrogen rate to improve maize seedling growth, water and nitrogen use efficiencies under drought stress by optimizing root morphology and distribution. Agric. Water Manag. 2019, 212, 328–337. [Google Scholar] [CrossRef]
- Mustamu, N.E.; Tampubolon, K.; Alridiwirsah, M.; Basyuni, M.; Al-Taey, D.K.A.; Jawad Kadhim Al Janabi, H.; Mehdizadeh, M. Drought stress induced by polyethylene glycol (PEG) in local maize at the early seedling stage. Heliyon 2023, 9, e20209. [Google Scholar] [CrossRef]
- Dyrmann, M.; Karstoft, H.; Midtiby, H.S. Plant species classification using deep convolutional neural network. Biosyst. Eng. 2016, 151, 72–80. [Google Scholar] [CrossRef]
- Quan, L.; Feng, H.; Lv, Y.; Wang, Q.; Zhang, C.; Liu, J.; Yuan, Z. Maize seedling detection under different growth stages and complex field environments based on an improved Faster R–CNN. Biosyst. Eng. 2019, 184, 1–23. [Google Scholar] [CrossRef]
- Pearse, G.D.; Tan, A.Y.S.; Watt, M.S.; Franz, M.O.; Dash, J.P. Detecting and mapping tree seedlings in UAV imagery using convolutional neural networks and field-verified data. ISPRS J. Photogramm. 2020, 168, 156–169. [Google Scholar] [CrossRef]
- Yuan, D.; Jiang, J.; Gong, Z.; Nie, C.; Sun, Y. Moldy peanuts identification based on hyperspectral images and point-centered convolutional neural network combined with embedded feature selection. Comput. Electron. Agric. 2022, 197, 106963. [Google Scholar] [CrossRef]
- Nag, A.; Chanda, P.R.; Nandi, S. Mobile app-based tomato disease identification with fine-tuned convolutional neural networks. Comput. Elec. Eng. 2023, 112, 108995. [Google Scholar] [CrossRef]
- Fonseca, Y.; Bautista, C.; Pardo-Beainy, C.; Parra, C. A plum selection system that uses a multi-class Convolutional Neural Network (CNN). J. Agric. Food Res. 2023, 14, 100793. [Google Scholar] [CrossRef]











| Seedling Quality Class | Number of Training Set | Number of Tests | Coded Label |
|---|---|---|---|
| Optimal seedling | 918 | 305 | [1, 0, 0, 0] |
| Sub-optimal seedling | 864 | 288 | [0, 1, 0, 0] |
| Medium seedling | 702 | 234 | [0, 0, 1, 0] |
| Weak seedling | 234 | 78 | [0, 0, 0, 1] |
| Total | 2718 | 905 | — |
| Evaluation Indicators Type of Seedlings | Training Set | Test Set | ||||
|---|---|---|---|---|---|---|
| Precision | Recall | F1-Score | Precision | Recall | F1-Score | |
| Optimal seedling | 99.0% | 99.3% | 99.1% | 98.0% | 99.0% | 98.5% |
| Sub-optimal seedling | 98.4% | 98.2% | 98.3% | 97.9% | 97.2% | 97.5% |
| Medium seedling | 98.6% | 98.2% | 98.4% | 96.6% | 98.7% | 97.6% |
| Weak seedling | 98.3% | 99.1% | 98.7% | 100.0% | 92.9% | 96.3% |
| Model | Training Set | Test Set | ||
|---|---|---|---|---|
| Accuracy | Training Time/s | Accuracy | Simulation Time/s | |
| BP | 93.97% | 5 | 95.80% | 0.0033 |
| LeNet5 | 98.16% | 14 | 97.23% | 0.0099 |
| PLS | 90.06% | 3 | 89.89% | 0.0022 |
Disclaimer/Publisher’s Note: The statements, opinions and data contained in all publications are solely those of the individual author(s) and contributor(s) and not of MDPI and/or the editor(s). MDPI and/or the editor(s) disclaim responsibility for any injury to people or property resulting from any ideas, methods, instructions or products referred to in the content. |
© 2024 by the authors. Licensee MDPI, Basel, Switzerland. This article is an open access article distributed under the terms and conditions of the Creative Commons Attribution (CC BY) license (https://creativecommons.org/licenses/by/4.0/).
Share and Cite
Zhang, Y.; Lu, Y.; Guan, H.; Yang, J.; Zhang, C.; Yu, S.; Li, Y.; Guo, W.; Yu, L. A Phenotypic Extraction and Deep Learning-Based Method for Grading the Seedling Quality of Maize in a Cold Region. Agronomy 2024, 14, 674. https://doi.org/10.3390/agronomy14040674
Zhang Y, Lu Y, Guan H, Yang J, Zhang C, Yu S, Li Y, Guo W, Yu L. A Phenotypic Extraction and Deep Learning-Based Method for Grading the Seedling Quality of Maize in a Cold Region. Agronomy. 2024; 14(4):674. https://doi.org/10.3390/agronomy14040674
Chicago/Turabian StyleZhang, Yifei, Yuxin Lu, Haiou Guan, Jiao Yang, Chunyu Zhang, Song Yu, Yingchao Li, Wei Guo, and Lihe Yu. 2024. "A Phenotypic Extraction and Deep Learning-Based Method for Grading the Seedling Quality of Maize in a Cold Region" Agronomy 14, no. 4: 674. https://doi.org/10.3390/agronomy14040674
APA StyleZhang, Y., Lu, Y., Guan, H., Yang, J., Zhang, C., Yu, S., Li, Y., Guo, W., & Yu, L. (2024). A Phenotypic Extraction and Deep Learning-Based Method for Grading the Seedling Quality of Maize in a Cold Region. Agronomy, 14(4), 674. https://doi.org/10.3390/agronomy14040674

