Abstract
Denitrification is a key process in soil available nitrogen (N) loss. However, the effects of different water-saving irrigation systems on soil N components and denitrifying bacterial communities are still unclear. In this study, quantitative fluorescence PCR and Illumina MiSeq sequencing were used to investigate the effects of three main irrigation systems, conventional flooding irrigation (FP), shallow buried drip irrigation (DI), and mulched drip irrigation (MF), on the abundance, community composition, and diversity of soil nirK- and nirS-type denitrifying bacteria in the semi-arid area of Northeast China, and to clarify the driving factors of nirK- and nirS-type denitrifying bacterial community variations. The results showed that, compared with FP, MF significantly increased soil moisture, alkaline hydrolyzed nitrogen (AHN), nitrate nitrogen (NO3−-N), non-acid hydrolyzed nitrogen (AIN), and amino sugar nitrogen (ASN), but significantly decreased the contents of ammonium nitrogen (NH4+-N) and acid hydrolyzed ammonium nitrogen (AN). The irrigation system changed the relative abundance of the dominant genera of denitrifying bacteria, DI and MF significantly increased nitrate reductase (NR) and nitrite reductase (NiR) activities, and MF significantly increased the diversity of nirK- and nirS-type denitrifying bacteria but significantly decreased the richness. The community structure of nirK- and nirS-type denitrifying bacteria was significantly different among the three irrigation systems. NO3−-N was the main driving factor affecting the community structure of nirS-type denitrifying bacteria, and moisture significantly affected the community structure of nirK-type denitrifying bacteria. DI and MF significantly increased the abundance of nirK- and nirS-type denitrifying bacteria and also increased the abundance ratio of nirS/nirK genes. Therefore, although DI and MF significantly increased the abundance of denitrifying microorganisms, they did not lead to an increase in the N2O emission potential.
1. Introduction
While the semi-arid region of Northeastern China is one of the main food-producing areas, the region has an average annual rainfall of only 408 mm, while the average annual evaporation is 1834 mm, making it a typical ecologically vulnerable region in Northeastern China [1]. Due to the interaction of resource factors and man-made factors in recent years, which have exacerbated water shortages and time–space inequalities in the region, prolonged drought and low rainfall have severely constrained sustainable food production in the area. In the semi-arid areas of northeast China, drought stress caused by insufficient precipitation is the main environmental factor limiting corn production, which often leads to corn disaster reduction and production reduction. In order to improve the adverse effects of drought shortage on maize production in semi-dry areas, domestic and international scholars have carried out a study of maize membrane drip irrigation technology [2], which drips a small amount through several irrigations, without damaging the soil structure conditions, accurately applying water fertilizer around the root system and creating good conditions for root growth. Sui et al. [3] showed that film drip irrigation could significantly improve maize yields and moisture utilization efficiency. Irrigation can influence soil nitrogen (N) conversion processes by changing soil moisture status and chemistry, microbial quantity and activity, and the rate of gas dispersion in the soil [4,5,6]. Soil microbial properties are highly sensitive to substantial changes, such as changes in soil community structure and diversity, which are partly reflective of soil fertility. At present, indicators of soil microbial activity, abundance, community structure, and diversity, as bioevaluation indicators of soil health, play an important role in controlling soil degradation and restoring soil quality [7]. Through changing soil moisture conditions, film and drip irrigation could affect microbial diversity and the abundance of microbes [8]. Soil enzyme activity was also sensitive to soil moisture responses, and suitable soil humidity conditions could increase soil acid phosphatase, invertase, and urease activities [9]. Soil enzyme activity under drip irrigation was significantly higher than conventional irrigations and non-irrigations [10]. Soil moisture is one of the main factors affecting soil microbial community structure and extracellular enzyme activity, so studying the impact of changes in irrigation systems on the soil micro-environment will help to accurately assess the soil health of irrigated agricultural fields. Most soil nutrients and biological indicators are extremely sensitive to irrigation measures, and from the point of view of improving soil fertility and improving the soil ecological environment, the evaluation and appropriateness of different irrigation systems are selected, and there is a promotion of crop production and soil quality improvement.
The soil N cycle is a series of enzymatic processes. As one of the central links in the N cycle process, the denitrifying bacteria process not only causes large amounts of N fertilizer loss in the agricultural ecosystem but also releases strong greenhouse gases, N dioxide (N2O), destroying the atmospheric environment [11]. Denitrification is a four-step reduction process in which nitrate (NO3−) is gradually reduced to nitrite (NO2−), nitric oxide (NO), nitrous oxide (N2O), and the end product nitrogen (N2) [12]. Under the catalysis of nitrite reductase (NiR), NO2− reduced to NO is usually a core step in denitrification [13,14]. The enzyme has two structurally different but functionally identical forms, the cd1 cytochrome reductase coded by the nirS gene and the containing copper reductase coded with the nirK gene, respectively [15]. Denitrifying bacteria are categorically diverse and are not defined by close systemic developmental relationships (for example, development based on the 16S rRNA gene system); the two genes, although functionally similar, belong to different bacterial families [16]. Therefore, nirS and nirK are often used as suitable biological markers to represent the abundance and diversity of denitrifying microorganisms [17]. Studies have shown that the abundance of the nirK and nirS genes is associated with different soil environmental factors [18] and that the community structure of denitrifying bacteria of nirK- and nirS-type is also vulnerable to significant effects from fertilization methods [19], soil types [18], and crop types [20]. Previous studies have shown that denitrifying microbial communities of the nirS-type respond differently to environmental factors than those of nirK-type [17,18]. These results indicated that the two types of denitrifying bacteria occupy different ecological positions in the land environment [18,21]. Therefore, denitrified nirS- and nirK-type genes were used as markers to conduct studies of the changes in soil denitrifying microbial communities in different drip irrigation systems, helping to further recognize the bio-geochemical cycle processes of the agricultural field ecosystems in which soil microbes are involved.
Studies have focused mainly on the effects of irrigation and plastic film mulching on soil moisture, soil nutrition, and crop yield, while ignoring their effects on the soil microscopic environment and the evolution of soil microorganisms [22]. Different irrigation systems can affect the migration transformation of mineral N, but how different irrigation systems affect soil denitrifying bacteria microorganisms, thereby affecting soil minerals N transformation, is not clear. Based on this, the present study used three different irrigation systems (conventional flooding irrigation, shallow buried drip irrigation, and mulched drip irrigation), to make clear the effect on soil N composition and soil nitrate reductase (NR) and NiR activities. The study also conducted an evaluation of the correspondence of nirK- and nirS-type denitrifying bacteria microbial communities to different irrigation systems. It also describes environmental variables associated with denitrifying bacteria microbial communities of nirK- and nirS-type. The influence of irrigation on functional microorganisms related to the denitrifying bacteria effect of soil is to be studied, and the microbiological mechanisms of the influence on the mineral N transformation of the soil are to be explored, with the aim of providing the theoretical basis for the application of water-saving irrigation systems in semi-arid areas.
2. Materials and Methods
2.1. Experimental Design and Sample Collection
The experimental site was located in the Minle Village (45°26′ N, 125°88′ E), Ningjiang District, Songyuan City, Jilin Province, China, with an average annual sunshine time of about 2867 h and a freezing period of 135–140 d. The experimental soil is sandy loamy chernozem soil. The field experiment began in 2017, with a total of three treatments: irrigation by flooding (FP, all fertilizers were used once as bottom fertilizer); shallow buried drip irrigation (DI, 30% N, 50% phosphorus (P) and potassium (K) fertilizers were used for base fertilizer, and the remaining fertilizers by drip irrigation with water four times); and mulched drip irrigation (MF, white plastic film covered on maize and drip irrigation belt, the method of fertilization and the amount of fertilization were the same as DI). The maize variety was Xiangyu 998. The cultivation density was s 70,000 plants ha−1.
The same amount of N, P, and K fertilizers and the same amount of irrigation water were applied in all treatments. The amounts of fertilizers N-P2O5-K2O were 210-90-90 kg ha−1. FP used Shrimeri controlled release compound fertilizer (N-P2O5-K2O:25-11-11), base fertilizers for integration of water, and the fertilizer treatment (DI and MF treatment) used urea (N 46%), diammonium phosphate (N-P2O5-K2O:18-46-0), potassium chloride (K2O 60%), topdressing used urea (46%), water-soluble monoammonium phosphate (N-P2O5-K2O:12-61-0), and water-soluble potassium chloride (K2O 60%). The per experimental plot length was 10 m, the width was 3.6 m, and the area was 36 m2, three replicates were arranged in randomized blocks, and the experiment used a large ridge double row cultivation mode. The spacing of the narrow rows was 40 cm and the spacing of the wide rows was 80 cm. The drip irrigation belt was laid in the middle of the narrow row at the time of sowing, the inner diameter of the drip irrigation belt was 16 mm, and the distance between the drip heads was 30 cm. After the fertilizer seedings, the film was artificially covered. The experimental water source used underground water, and each plot had a separate fertilizer tank. The fertilizing tank was filled with water and stirred thoroughly to dissolve the fertilizer completely, the lid of the tank was fastened, water was dropped for 30 min before fertilizing, and then the valve of the fertilizing tank was opened to drop fertilizer, and continued to drop water for 30 min after fertilizing.
In this study, 0–20 cm soil samples were collected in September 2021, each replicate of which was mixed into 5 points to make up a soil sample. Each treatment was composed of 3 replicated soil samples and 9 soil samples were collected. After collection, samples were put into the ice box and brought back to the laboratory, the roots and stones in the soil sample were removed, and a 2 mm mesh was used for screening. Fresh soils were used for soil enzyme activities, soil nitrate nitrogen (NO3−-N), and ammonium nitrogen (NH4+-N) measurement. Part of the fresh soil samples was stored at 80 °C in a refrigerator for extracting DNA, and the other part was used to analyze soil physicochemical properties and the soil N component at room temperature.
2.2. Measurement of Soil Physicochemical Properties and Acid Hydrolyzable Organic N Components
The soil pH was determined by the potentiometric method (soil to water ratio was 1:2.5), the soil moisture was measured by the drying method, the soil organic matter (SOM) was determined using the potassium dichromate method, soil total nitrogen (TN) used the Kjeldahl method, soil alkaline nitrogen (AVN) used the alkaline solution diffusion method, and soil NO3−-N and NH4+-N were measured using a flow analyzer (SKALAR San++, Skalar, Breda, The Netherlands) [23]. The content of each acid hydrolyzable N component in the soil was determined by the Bremner method, where the content of acid hydrolyzable organic nitrogen (ACHN) was determined by Kjeldahl distillation, and the content of ammoniacal nitrogen (AN) that could be hydrolyzed by acid was determined with the MgO-Kjeldahl distillation method. The acid hydrolyzable amino sugar nitrogen (ASN) content was determined by the phosphate-borax buffer distillation method and the acid hydrolyzable amino acid nitrogen (AAN) content has been oxidized with ninhydrin, phosphate—a Borax Buffer distilling assay. The content of non-hydrolyzable nitrogen (AIN) was the soil TN minus the AHN, and the content of unidentified hydrolyzable nitrogen (AUN) was the AHN minus AN minus ASN minus AAN content [23].
2.3. Measurement of Soil NR and NiR Activities
We took 1 g of fresh soil samples into a washed and dried 100 mL centrifugal tube, added 50 mL of ultra-pure water, turbined for 15 s on the vibrator, then vibrated at 180 rpm in the shake bed for 30 min, and then removed with 50 mL of ultra-pure water, washed the centrifuge, transferred 100 mL of the suspension liquid all to the beaker, and mixed under the magnetic mixer to maintain the uniformity of the soil suspension. We added soil suspension fluid, substrate, ultra-pure water, and standard substances according to a certain volume and order. The micropores were set as follows: sample micropores (200 μL suspension + 50 μL substrates), control micropores (200 μL suspension + 50 μL ultra-pure water), negative-controlled micropores (200 μL ultra-pure water + 50 μL substrates), reference standard micropores (200 μL ultra-pure water + 50 μL standard substances), quenching standard micropores (200 μL suspension + 50 mL standard substances). After the ELISA plate was sealed at 25 °C and cultivated in a dark place for 4 h, 1 mol L−1 NaOH solution was added to terminate the reaction, the triggering light and the light wavelength of emission were set to 365 nm and 450 nm, and analysis was performed using a microplate reader (Saint Bio, Shanghai, China) [23].
2.4. Total Soil DNA Extraction and Quantitative Fluorescence PCR of nirK and nirS Gene of Denitrifying Bacteria
Soil samples were measured at 0.5 g, soil total DNA was extracted using a Fast DNA® SPIN Kit for Soil (MP Biomedicals, Irvine, CA, USA) in accordance with the instructions, the DNA concentration and purity was detected with NanoDrop® 2000 (Thermo Scientific, Wilmington, DE, USA), and samples stored at −20 °C. The primers F1aCu (5′-ATCATGGTSCTGCCGCG-3′)/R3Cu (5′-GCCTCGAGRTTGTGGTT-3′) were used to amplify the nirK gene of denitrifying bacteria and amplification of the nirS gene was carried out using the primers Cd3aF (5′-GTSAACGTSAAGGARACSGG-3′) and R3cdR (5′-GASTTCGGRTGSGRTGS GTCTTGA-3′), respectively [24,25]. The qPCR reaction was carried out using the LightCycler® 480 thermocycler (Roche Applied Science, Mannheim, Germany). The qPCR reaction system consisted of 10 μL SYBR®Premix Ex Taq (Takara, Dalian, China), 1 μL soil sample DNA, 1 μL 10 μmol/L forward primer, 1 μL 10 μmol/L reverse primer, and 7.0 μL H2O. The reaction conditions were: 95 °C initial denaturation for 2 min, then 95 °C denaturation for 5 s, 60 °C annealing for 15 s, for a total of 41 cycles, maintained at 72 °C for 20 s.
2.5. Illumina MiSeq Sequencing and Bioinformatic Analysis
Illumina MiSeq sequencing of nirK- and nirS-type genes was carried out using the primers F1aCu (5′-ATCATGGTSCTGCCGCG-3′)/R3Cu (5′-GCCTCGATCAGRTTGTGGTT-3′) and Cd3aF (5′-GTSAACGTSAAGGARACSGG-3′)/R3cdR (5′-GASTTCGGRTGSGTCTTGA-3′). The Illumina MiSeq sequencing analysis was modified by the sample-specific barcode at the 5′ end of each attraction to distinguish the source of the soil sample processing. The 25 μL PCR system contained 12.5 μL 2 × Taq Plus Master Mix, 3 μL BSA (2ng/μL) (TaKaRa, Dalian, China), 1 μL forward primer and 1 μL reverse primer, and 2 μL sample DNA for template, supplemented with sterilized ultra-pure water up to 25 μL. PCR reaction conditions: 94 °C initial denaturation for 5 min, then 94 °C denaturation for 30 s, 63 °C renaturation for 30 s, and 72 °C extension for 60 s for 35 cycles, with a 72 °C extension of 7 min. Each sample was repeated 3 times, and the PCR product was tested with a gel recovery kit (Agarose Gel DNA Purification Kit, TaKaRa, San Jose, CA, USA) and purified with a glue-purified kit (TaKaRa, Dalian, China). Sequential analysis of purified PCR products was carried out using the Illumina MiSeq platform (Beijing Aoweisen Genetics Co., Ltd., Beijing, China).
The Illumina MiSeq sequencing data were analyzed using the QIIME Pipeline Version 1.9.0 software (http://qiime.org/tutorials/tutorial.html, accessed on 12 January 2022). First, the raw sequence file of the denitrifying bacteria FASTQ would be divided and quality controlled [26]. We used the FLASH Version 1.2.11 (fast length adjustment of short reads) software to double-end the stacking of quality-controlled sequences, removing sequences with less than 200 bp and average mass scores less than 20 [27]. The high-quality sequence would be obtained by classifying operational taxonomic units (OTU) at a similarity level of 97%. The representative sequence of each OTU was translated into an amino acid sequence and then paired on FunGene (http://fungene.cme.msu.edu/, accessed on 12 January 2022). Using Mega Version 10.0 software to compare the representative sequence with the reference sequence, we constructed phylogenetic trees. The sequence of each sample was aligned to the minimum number of sequences for subsequent bioinformatical analysis. All raw sequences generated in this study have been deposited in NCBI under the accession SRP475466.
2.6. Statistical Analysis
Based on SPSS (version 23.0), one-way ANOVA used a significant differences analysis of soil physicochemical properties, enzyme activities, denitrifying bacterial abundance, and diversity of different treatments. We used the R (version 3.4.3) “vegan” package to perform the principal coordinates analysis (PCoA) and analysis of similarities (Anosim) of the Bray–Curtis distance. Canoco (version 5.0) was used to perform redundancy analysis (RDA) to analyze differences in denitrifying bacterial communities and their main drivers among different treatments. The heatmap of dominant genera and heatmap correlation analysis of denitrifying bacterial abundance, soil physicochemical properties, and enzyme activities were related to the “pheatmap” package of R software (version 3.4.3).
3. Results
3.1. Soil Physicochemical Properties and Acid Hydrolyzable Organic N Components
DI and MF significantly increased soil moisture, AHN, and NO3−-N contents compared to FP, but significantly reduced the soil NH4+-N content (p < 0.05) (Table 1). Compared with FP, soil in DI and MF Moisture increased by 0.75–2.97%, AVN increased by 10.84–19.75 g/kg, and NO3−-N increased by 2.43–2.51 mg/kg, respectively (Table 1). An analysis of the acid hydrolyzable organic N components found that compared to FP, MF treatment significantly increased the AIN and ASN contents by 95 mg/kg and 25.39 mg/kg, respectively, while significantly reducing AN content (p < 0.05) (Table 2). Compared to DI, MF treatment significantly reduced the content of AN (p < 0.05). Analysis of the proportion of acid hydrolyzable organic N composition showed that the AIN (38.78–49.59%) had the highest proportion of TN in the three irrigation systems, AN, AUN, and AAN, followed by ASN, which had the lowest proportion of TN in FP, DI, and MF. This was followed by AN, AUN, and ASN, while AAN had the lowest proportion of TN (Table 3). Compared with FP and DI, MF significantly decreased the proportion of AAN and ASN in TN. Compared with FP, MF significantly increased the proportion of AUN and AIN in TN. There was no significant difference in the proportion of AN and ACHN in TN among the three irrigation systems.
Table 1.
Physicochemical properties of soil under three irrigation systems.
Table 2.
Soil acidolysis organic N components under three irrigation systems (mg kg−1).
Table 3.
Proportion of acid-hydrolyzable organic N in soil to total N under three irrigation systems (%).
3.2. Soil NR and NiR Activities
DI and MF significantly increased NR and NiR activities, which were 1.78 and 2.56 times and 1.12 and 1.19 times higher than FP, respectively, and NR activity in MF was significantly higher than DI (p < 0.05) (Figure 1). NR showed a significant positive correlation with moisture (p < 0.001), AIN (p < 0.05), and ASN (p < 0.05) (Figure S1), and NiR showed significant negative correlations with moisture (p < 0.05), AIN (p < 0.05), and with NH4+ -N (p < 0.01) and AAN (p < 0.01). The results of the RDA analysis showed that moisture (contribution = 82.8%, p = 0.008) was the main driver of the variations of the NR activity (Table S1), while NH4+-N (contribution = 73.8%, p = 0.022) was the primary driver for the variations of the NR activity (Table S2).
Figure 1.
Soil NR (A) and NiR (B) activities under three irrigation systems. Bars indicate SD, different letters indicate significant differences among samples (p < 0.05, ANOVA). NR, nitrate reductase; NiR, nitrite reductase; FP, flooding irrigation system; DI, shallow buried drip irrigation system, drip irrigation without plastic mulch; MF, mulched fertigation system, drip irrigation under plastic mulch.
3.3. The Abundance of nirK and nirS Genes
The abundances of nirK and nirS genes ranged from 1.69 × 105 to 8.36 × 105 g−1 soil and 1.76 × 104 to 2.43 × 104 g−1 soil in three irrigation systems, respectively (Figure 2A,B). In the three irrigation systems, the abundance of the nirK gene was significantly higher than the nirS gene abundance. Compared to FP and DI, MF significantly increased the abundance of the soil nirK gene (p < 0.05), which was 4.49 times and 2.77 times higher than FP and DI, respectively (Figure 2A). Compared to FP, DI and MF significantly increased the abundance of soil nirS gene by 1.15 times and 1.38 times (p < 0.05), respectively (Figure 2B). Compared with DI, MF significantly increased the abundance of soil nirS genes by 1.2 times (p < 0.05). The abundance ratio for the nirS/nirK gene ranged from 0.03 to 0.10, and DI and MF significantly increased the abundance ratios compared to FP (p < 0.05) (Figure 2C). The abundance of the nirK gene was significantly positively correlated with moisture (p < 0.001), NR (p < 0.01) and NiR (p < 0.05) (Figure S1), with significantly negative correlations with ACHN (p < 0.01), AAN (p < 0.05), and AN (p < 0.05). The abundance of the nirS gene was significantly positively correlated with moisture (p < 0.01), AIN (p < 0.05), NR (p < 0.001), and NiR (p < 0.05) (Figure S1).
Figure 2.
The abundance of nirK- (A) and nirS-type (B) denitrifying bacteria, the abundance ratio of nirS/nirK genes (C) under three irrigation systems. Bars indicate SD, different letters indicate significant differences among samples (p < 0.05, ANOVA). FP, flooding irrigation system; DI, shallow buried drip irrigation system, drip irrigation without plastic mulch; MF, mulched fertigation system, drip irrigation under plastic mulch.
3.4. The Community Composition of nirK- and nirS-Type Denitrifying Bacteria
In total, 509,246 quality sequences were obtained from all samples of the nirK gene, with 45,973 to 76,194 quality sequences for each sample (Table S1), and 4,611,786 quality sequences of the nirS gene, with 41,353 to 58,553 for each sample (Table S2). Proteobacteria was the predominant bacterial phylum of the nirK- (85.96–91.01%) and the nirS-type (34.74–37.28%) denitrifying bacteria. Alphaproteobacteria was the clearly dominant class in the nirK-type denitrifying bacteria, accounting for 83.58–89.99% of all bacteria (Figure 3A). Unidentified (61.63–63.28%), Betaproteobacteria (12.42–18.65%), Alphaproteopacteria (6.15–13.09%), and Gammaproteopacteria (8.24–12.61%) represented the main classes of nirS-type denitrifying bacteria, accounting for 98.6–99.3% of all soil samples (Figure 3B). Rhodopseudomonas, Bradyrhizobium, and Mesorhisobium were the predominant bacterial genera in the three irrigation systems of nirK-type denitrifying bacteria (Figure 4A). In comparison with FP, MF significantly improved the relative abundance of Bosea, Pseudomona, and Aminobacter. Azospirillum, Rhodanobacter, and Hydrogenophaga were the predominant genera in the FP for nirS-type denitrifying bacteria. Rhodium, Rubrivivax, and Hydrogenofaga were dominant genera in the DI and Azospiri, Rodium, and Rubrivivax were predominant genera in MF (Figure 4B). Compared to FP, MF significantly increased the relative abundance of Azospirillum, Pulveribacter, Magnetospirillium, Herbaspirillum, and Sulfuritalea, while significantly reducing the relative abundance of Cupriavidus, Hydrogenophaga, Ideonella, Bradyrhizobium, and Azospira.
Figure 3.
The community composition of nirK- (A) and nirS-type (B) denitrifying bacteria at class level under three irrigation systems. FP, flooding irrigation system; DI, shallow buried drip irrigation system, drip irrigation without plastic mulch; MF, mulched fertigation system, drip irrigation under plastic mulch.
Figure 4.
The relative abundance of nirK- (A) and nirS-type (B) denitrifying bacteria at dominant genera (the relative abundance > 1.0%) under three irrigation systems. FP, flooding irrigation system; DI, shallow buried drip irrigation system, drip irrigation without plastic mulch; MF, mulched fertigation system, drip irrigation under plastic mulch.
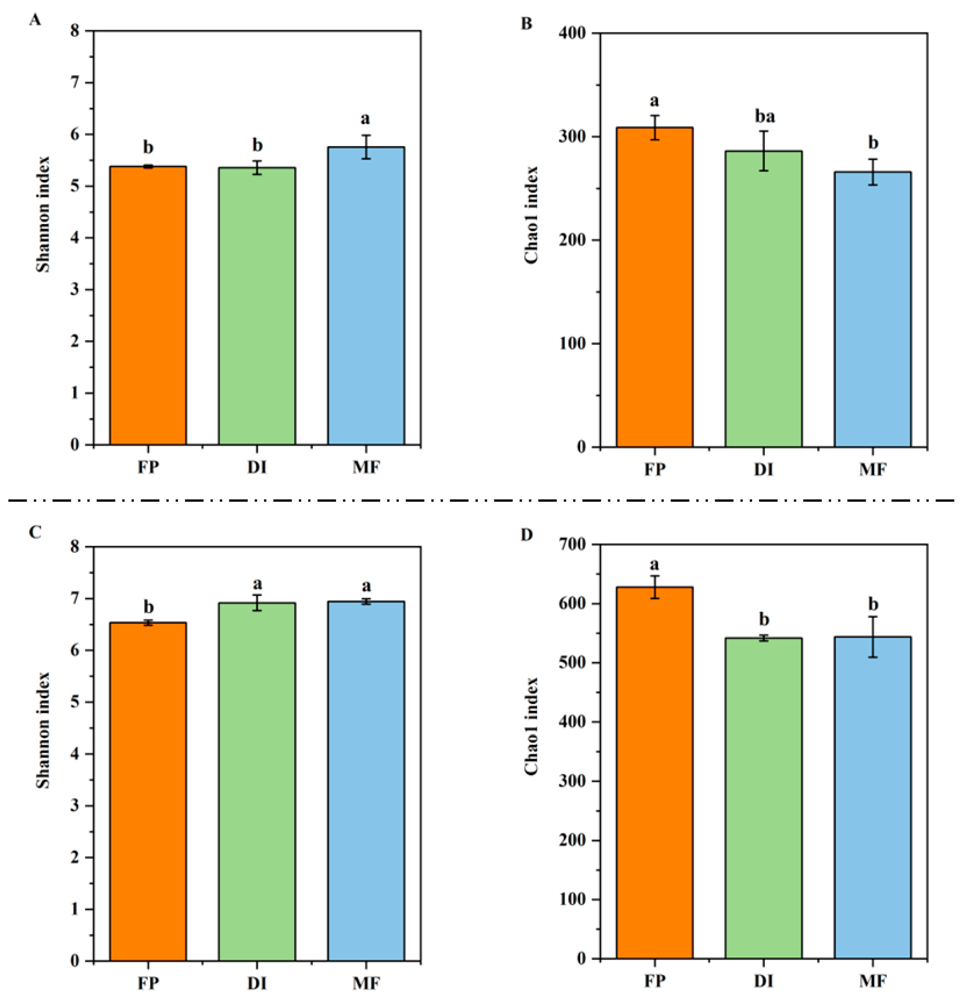
3.5. The Diversity of nirK- and nirS-Type Denitrifying Bacteria
Compared to FP, MF significantly increased the Shannon index of the nirK-type denitrifying bacteria, while significantly reducing the Chao1 index (p < 0.05) (Figure 5A). Compared to FP, DI and MF significantly increased the Shannon index of nirS-type denitrifying bacteria, while significantly reducing the Chao1 index (p < 0.05) (Figure 5B). For nirK-type denitrifying bacteria, PCoA analysis based on Bray–Curtis distances showed (Figure 5) that PC1 and PC2 explained 50.06% and 13.08% of community structural variations, respectively (Figure 6A). The PC1 and PC2 accounted for 41.5% and 14.33% of the community structural changes in nirS-type denitrifying bacteria (Figure 6C). According to Anosim analysis, there were significant differences in the nirK- and nirS-type denitrifying bacterial communities of FP, DI, and MF (Anosim test, p = 0.004, p = 0.008) (Figure 6B,D).
Figure 5.
The Shannon index and Chao1 index of nirK- (A,B) and nirS-type (C,D) denitrifying bacteria under three irrigation systems. Bars indicate SD, different letters indicate significant differences among samples (p < 0.05, ANOVA). FP, flooding irrigation system; DI, shallow buried drip irrigation system, drip irrigation without plastic mulch; MF, mulched fertigation system, drip irrigation under plastic mulch.
Figure 6.
Principal coordinates analysis (PCoA) and analysis of similarities (ANOSIM) of nirK- (A,B) and nirS-type (C,D) denitrifying bacteria based on OTU under three irrigation systems. FP, flooding irrigation system; DI, shallow buried drip irrigation system, drip irrigation without plastic mulch; MF, mulched fertigation system, drip irrigation under plastic mulch.
3.6. The Driving Factors Affecting the Denitrifying Bacterial Community Structure
The results of the RDA analysis showed that moisture (contribution = 46.2%, p = 0.022) and SOM (contribution = 15.7%, p = 0.05) were the main drivers of the variations of the nirK-type denitrifying bacteria community (Figure 7A), while NO3−-N (contribution = 28.2%, p = 0.004) and ACHN (contribution = 26.6%, p = 0.01) were the primary drivers for the distinction of the nirS-type denitrifying bacteria community (Figure 7B).
Figure 7.
Redundancy analysis (RDA) between soil physicochemical properties, N components, and nirK- (A) and nirS-type (B) denitrifying bacterial communities under three irrigation systems. SOM, soil organic matter; NH4+-N, ammonium nitrogen; AN, ammonia nitrogen; ACHN, acid hydrolyzable organic nitrogen; TN, total nitrogen; NO3−-N, nitrate nitrogen; FP, flooding irrigation system; DI, shallow buried drip irrigation system, drip irrigation without plastic mulch; MF, mulched fertigation system, drip irrigation under plastic mulch.
4. Discussion
4.1. Impact of Irrigation Systems on the Soil Physicochemical Properties and Acid Hydrolyzable Organic N Components
We have found that DI and MF treatment significantly increased soil moisture compared to FP. This might be due to the slow and uniform infiltration of soil water into the soil during drip irrigation, which kept the soil water holding capacity relatively appropriate and stable without destroying the soil structure and reducing the volatilization of soil water [28]. The film mulching to a certain extent relieved the impact of the air co-flow, which had the effect of warming, preserving, and thereby suppressing the ineffective evaporation of surface moisture, better improving soil water heat conditions, while promoting the development of crop pre-fertility, saving water fertilizer, and increasing the water use efficiency [29]. Compared to FP, DI and MF significantly increased the soil ACHN content, which might be due to variations in the content of ACHN in soil that was unstable and susceptible to soil water heat and biological activity. The film increased soil temperature, increased microbial activities, promoted nutrient release, and increased the content of ACHN [30,31]. We have shown that DI and MF significantly lowered the content of NH4+-N compared to FP, whereas they significantly increased soil NO3−-N content. Zheng et al. [32] and Li et al. [33] also showed the same results, which might be due to the rapid evaporation of soil moisture after drip irrigation; better soil aeration, resulting in an increase in NO3−-N content; increased bacterial nitration activity in the soil due to soil ventilation and soil temperature; and intensified nitritation reaction, leading to changes in the N forms in soils and decreased NH4+-N content. N accumulated on the surface of the soil under film treatment, and the film slowed down the rate of NO3−-N migration, thereby increasing the content of NO3−-N in the film treatment [34,35]. The same results showed that soil moisture was the most important factor affecting the changes to soil nutrients, and drip irrigation could alleviate the adverse effects of drought stress on crops and promote the absorption and utilization of NO3−-N by roots [36]. Overall, increased soil moisture content promoted the process of microbial denitrifying bacteria and increased the risk of NO3−-N migration and discharge while reducing soil NH4+-N content, increasing the risk of NH4+-N leaching.
We found that MF treatment significantly increased the content of AIN and ASN compared to FP, while significantly reducing AN compared with DI. The different contents of organic N components in soil are due to different effects of mineralization and degradation, and acid hydrolyzable organic N was a key driving indicator for mineralizable N, especially the AAN and AN content in acid hydrolyzable organic N. Yang et al. [37] have shown that different irrigation systems significantly affect soil N fertilizer distribution and crop N utilization efficiency. Wang et al. [38] indicated that drip irrigation improved the uniformity of irrigations, thereby reducing the absorption of nitrates during the growing season. After plastic film mulching, the change in the ecological environment is beneficial to the transformation and consumption of acid-hydrolyzed organic N. The main reasons are as follows: the improvement of the ecological environment, such as raising soil temperature, promoting the degradation of soil surface organic matter, thus inhibiting soil microbial reproduction and abundance increase, and reducing soil microbial acidolysis N content.
4.2. Effects of Irrigation Systems on Enzyme Activities and the Abundance of nirK- and nirS-type Denitrifying Bacteria
The results demonstrated that DI and MF significantly increased NR and NiR activities and were significantly positively associated with moisture. Tao et al. [39] also revealed that drip irrigation increased soil NR and NiR activities. Ma et al. [40] illustrated that soil NR activity was positively correlated with soil moisture, and the higher the soil moisture, the lower the oxygen content, and the more conducive it was to the improvement of NR activity.
The abundance of the nirK gene was higher than that of the nirS gene. Similar results had been observed in maize-wheat upland crop systems [15,41]. However, this was inconsistent with the results of the rice field [42,43]. This might be due to a tendency to have higher denitrifying bacteria activity in nirK-type denitrifying bacteria compared to nirS-type denitrifying bacteria observed under micro-aerobic conditions [18]. Compared to FP, MF increased the abundance of soil nirK- and nirS-type denitrifying bacteria, thus promoting soil N2O to N2 conversion. However, under the conditions of FP and DI, the denitrification was inhibited and soil nitrate conversion to nitrate, NO, and N2O was reduced. In the hydrothermal environment of MF, soil microorganisms accelerated the degradation of SOM, especially its unstable parts, to meet the demand for organic carbon. This process consumed a large amount of oxygen, resulting in an oxygenic environment, thereby increasing the denitrifying bacteria potential [44]. At the same time, inorganic substances in the applied N fertilizer as an essential nutrient for microbes increased the abundance of nirK- and nirS-type denitrifying bacteria. The abundance of nirS and nirK denitrifying bacteria was significantly correlated with NiR activity, which was consistent with the results of previous studies [45]. Compared to nirK, nirS-type denitrifying bacteria tend to have a complete denitrification pathway [46], and the nirS/nirK ratio has recently been proposed as an important indicator of the N2O aggregation capacity of soils in denitrification, with N2O emissions decreasing with the rise of the nires/nirK ratio [47]. Changes in soil factors can therefore affect the relative microbial proportion and diversity as well as the potential to reduce N2O to N2, since the abundance ratio of nirS/nirK-type denitrifying bacteria factors is the primary driver of soil N2O storage capacity, as previously observed for the nirS and nirK-type denitrifying bacterial communities. In our study, the nirS/nirK abundance ratio in DI and MF was higher than in FP, suggesting that drip irrigation may lead to lower N2O emission potential in maize fields.
4.3. Impact of Irrigation Systems on the nirK- and nirS-type Denitrifying Bacterial Community Structure
In this study, Illumina MiSeq sequencing of the nirS-type denitrifying bacteria found that a large number of unclassified bacteria and environmental samples were present in nirS-type denitrifying bacterial communities, similar to the results of Zhou et al. [48] in Northern China’s reservoir sediment. Proteobacteria was the dominant denitrifying bacterial phylum in upland crop soils in Northeastern China, which was consistent with the results of most studies [17,48]. There were also significant differences in the main denitrifying bacterial classes in different habitats (including industrial wastewater, soil systems, and reservoir sediments) [48,49,50], and similar results were found in this study, with an absolute advantage in the relative abundance of Alphaproteobacteria in the nirK-type denitrifying bacteria, with a low relative abundance in Gammaproteobacteria and Betaproteobacteria compared to the relative abundance of Betaproteobacteria, which was the most abundant in the nirS-type denitrifying bacteria.
In all soil samples, the diversity and richness of nirS-type denitrifying bacteria was higher than that of nirK-type denitrifying bacteria, indicating that nirS-type denitrifying bacteria was more susceptible to changes in the agricultural environment than nirK-type denitrifying bacteria. Similarly, the results of Chen et al. [16] also showed that the diversity and abundance of nirS-type denitrifying bacteria was higher than that of nirK-type denitrifying bacteria. In this study, NO3−-N and ACHN were the main drivers in the differentiation of the nirS-type denitrifying bacterial community, which was consistent with previous findings that the NO3−-N content had a significant impact on the nirS-type denitrifying bacterial community [51,52]. NO3− as was the substrate of denitrification, which had a strong influence on the community structure of denitrifying bacteria [38,52]. Oxygen content is the main limiting factor of denitrification in aerobic conditions, but in anaerobic conditions, the NO3−-N content is a denitrifying bacteria factor, and soil NO3−-N increase provides a substrate for denitrification, which could promote denitrification. Drip irrigation significantly increased soil NO3−-N content and then increased the abundance of nirS genes, which further promoted denitrification. Castro-Gonz et al. [53] also found that NO3−-N content was an important environmental factor in changing the denitrifying bacterial community in the South Pacific under low oxygen conditions, suggesting that denitrifying bacteria in different habitats may be significantly affected by NO3−-N content. The RDA indicated that moisture was the most important driving factor in the variation of the nirK-type denitrifying bacterial community. A study declared that moisture significantly affected the nirK-type denitrifying bacterial community [18], with lower soil moisture content not being conducive to the growth of anaerobic denitrifying microorganisms, whereas the NiR coded by the nirK gene is the rate-limiting enzyme of denitrification, and thus drip irrigation can significantly improve the abundance of nirK gene. The water-saving irrigation system regulates the soil denitrification process by influencing denitrifying bacteria.
5. Conclusions
In conclusion, MF significantly increased the contents of moisture, AHN, NO3−-N, AIN, and ASN, but significantly decreased the contents of NH4+-N and AN compared to FP. Irrigation systems altered the relative abundance of the dominant genera of denitrifying bacteria. DI and MF significantly increased NR and NiR activities in the meantime, and MF significantly increased denitrifying bacteria diversity but significantly decreased richness. The community structures of soil denitrifying bacteria were significantly different among the three irrigation systems, and NO3−-N and moisture were the main driving factors affecting the community structures of nirS- and nirK-type denitrifying bacteria, respectively. DI and MF significantly increased the abundance of denitrifying microorganisms, but drip irrigation may result in a lower N2O emission potential in maize fields. The abundance of denitrifying genes only represented the potential physiological functions of denitrifying microorganisms, while the diversity characteristics and community composition of denitrifying bacteria may be the determinants of the occurrence of soil denitrification.
Supplementary Materials
The following supporting information can be downloaded at: https://www.mdpi.com/article/10.3390/agronomy14030577/s1, Figure S1: The correlation analysis among nirK- and nirS-type denitrifiers abundance, soil enzyme activities, and nutrients; Table S1: The contribution rate in RDA of soil NR and soil nutrients under three irrigation systems; Table S2: The contribution rate in RDA of soil NiR and soil nutrients under three irrigation systems; Table S3: Illumina MiSeq sequenced denitrifying bacterial data based on the nirK gene; Table S4: Illumina MiSeq sequenced denitrifying bacterial data based on the nirS gene; Table S5: The contribution rate in RDA of soil nirK-type denitrifiers community structure and soil nutrients under three irrigation systems; Table S6: The contribution rate in RDA of soil nirS-type denitrifiers community structure and soil nutrients under three irrigation systems.
Author Contributions
Conceptualization, H.L. and M.W.; methodology, Y.L. and H.S.; software, W.L.; formal analysis, C.L.; data curation, R.Q.; writing—original draft preparation, R.Q.; writing—review and editing, H.L.; supervision, J.Z.; project administration, Q.L.; funding acquisition, M.W. All authors have read and agreed to the published version of the manuscript.
Funding
This study was funded by the Jilin Province Science and Technology Development Program (Grant numbers 20220101176JC, 20220203022SF, 20210101028JC); Capital Construction Funds in the budget of Jilin Province in 2023 (2023C036-2).
Data Availability Statement
The gene sequences obtained in this study were submitted to NCBI and were assigned the accession number SRP475466.
Conflicts of Interest
The authors declare that the research was conducted in the absence of any commercial or financial relationships that could be construed as a potential conflict of interest.
References
- Philippot, L.; Spor, A.; Hénault, C.; Bru, D.; Bizouard, F. Loss in microbial diversity affects nitrogen cycling in soil. ISME J. 2013, 7, 1609–1619. [Google Scholar] [CrossRef]
- Feng, D.; Li, G.; Wang, D.; Wulazibieke, M.; Cai, M.; Kang, J. Evaluation of AquaCrop model performance under mulched drip irrigation for maize in Northeast China. Agric. Water Manag. 2022, 261, 107372. [Google Scholar] [CrossRef]
- Sui, J.; Wang, J.; Gong, S.; Xu, D.; Zhang, Y.; Qin, Q. Assessment of maize yield-increasing potential and optimum N level under mulched drip irrigation in the Northeast of China. Field Crops Res. 2018, 215, 132–139. [Google Scholar] [CrossRef]
- Sanchez, L.; Meijide, A.; Garcia, L.; Vallejo, A. Combination of drip irrigation and organic fertilizer for mitigating emissions of nitrogen oxides in semiarid climate. Agric. Ecosyst. Environ. 2010, 137, 99–107. [Google Scholar] [CrossRef]
- Bronson, K.; Hunsaker, D.; Williams, C.; Thorp, K.; Rockholt, K. Nitrogen management affects nitrous oxide emissions under varying cotton irrigation systems in the desert southwest, USA. J. Environ. Qual. 2018, 47, 70–78. [Google Scholar] [CrossRef]
- Mehmood, F.; Wang, G.; Gao, Y.; Liang, Y.; Chen, J.; Si, Z. Nitrous oxide emission from winter wheat field as responded to irrigation scheduling and irrigation methods in the North China Plain. Agric. Water Manag. 2019, 222, 367–374. [Google Scholar] [CrossRef]
- Huang, J.; Dai, X.; Chen, X.; Ail, I.; Chen, H.; Gou, J. Combined forage grass-microbial for remediation of strontium-contaminated soil. J. Hazard. Mater. 2023, 450, 131013. [Google Scholar] [CrossRef]
- Sarula, C.; Yang, H.; Zhang, R.; Li, Y. Shallow-buried drip irrigation promoted the enrichment of beneficial microorganisms in surface soil. Rhizosphere 2023, 28, 100776. [Google Scholar] [CrossRef]
- Chen, S.; Zhang, S.; Hu, T.; Li, H.; Sun, J. Responses of soil reactive nitrogen pools and enzyme activities to water and nitrogen levels and their relationship with apple yield and quality under drip fertigation. Sci. Hortic. 2024, 324, 112632. [Google Scholar] [CrossRef]
- Zong, R.; Wang, Z.; Li, W.; Li, H.; Ayantobo, O. Effects of practicing long-term mulched drip irrigation on soil quality in Northwest China. Sci. Total Environ. 2023, 878, 163247. [Google Scholar] [CrossRef]
- Ye, M.; Zheng, W.; Yin, C.; Fan, X.; Chen, H. The inhibitory efficacy of procyanidin on soil denitrification varies with N fertilizer type applied. Sci. Total Environ. 2022, 806, 150588. [Google Scholar] [CrossRef]
- Zheng, Q.; Ding, J.; Lin, W.; Yao, Z.; Li, Q. The influence of soil acidification on N2O emissions derived from fungal and bacterial denitrification using dual is otopocule map and acetylene inhibition. Environ. Pollut. 2022, 303, 119076. [Google Scholar] [CrossRef]
- Wang, H.; Liu, Z.; Ma, L.; Li, D.; Liu, K.; Huang, Q. Denitrification potential of paddy and upland soils derived from the same parent material respond differently to long-term fertilization. Front. Environ. Sci. 2020, 8, 105. [Google Scholar] [CrossRef]
- Nie, J.; Yang, Y.; Wang, B.; Liu, Z.; Zhu, B. Stronger impact of urea application than incorporation of Chinese milk vetch (Astragalus sinicus L.) on nirK-denitrifying bacterial communities in a Chinese double-rice paddy. Acta Agric. Scand. Sect. B Soil Plant Sci. 2021, 71, 530–540. [Google Scholar] [CrossRef]
- Wang, X.; Li, Y.; Ciampitti, I.; He, P.; Xu, X. Response of soil denitrification potential and community composition of denitrifying bacterial to different rates of straw return in north-central China. Appl. Soil Ecol. 2022, 170, 104312. [Google Scholar] [CrossRef]
- Chen, Z.; Ma, J.; Liu, Y.; Ma, J.; Yu, Q.; Zou, P. Differential responses of soil nirS-and nirK-type denitrifying microbial communities to long-term application of biogas slurry in a paddy soil. Appl. Soil Ecol. 2023, 182, 104711. [Google Scholar] [CrossRef]
- Hou, S.; Ai, C.; Zhou, W.; Liang, G.; He, P. Structure and assembly cues for rhizospheric nirK- and nirS-type denitrifier communities in long-term fertilized soils. Soil Biol. Biochem. 2018, 119, 32–40. [Google Scholar] [CrossRef]
- Azziz, G.; Monza, J.; Etchebehere, C.; Irisarri, P. nirS-and nirK-type denitrifier communities are differentially affected by soil type, rice cultivar and water management. Eur. J. Soil Biol. 2017, 78, 20–28. [Google Scholar] [CrossRef]
- Hu, X.; Liu, J.; Wei, D.; Zhu, P.; Cui, X. Chronic effects of different fertilization regimes on nirS-type denitrifier communities across the black soil region of Northeast China. Pedosphere 2020, 30, 73–86. [Google Scholar] [CrossRef]
- Maul, J.; Cavigelli, M.; Vinyard, B.; Jeffrey, S. Crop system history and crop rotation phase drive the abundance of soil denitrification genes nirK, nirS and nosZ in conventional and organic grain agroecosystems. Agric. Ecosyst. Environ. 2019, 273, 95–106. [Google Scholar] [CrossRef]
- Bowen, H.; Maul, J.; Cavigelli, M.; Yarwood, S. Denitrifier abundance and community composition linked to denitrification activity in an agricultural and wetland soil. Appl. Soil Ecol. 2020, 151, 103521. [Google Scholar] [CrossRef]
- Wang, J.; Li, H.; Cheng, Z. Changes in soil bacterial and fungal community characteristics in response to long-term mulched drip irrigation in oasis agroecosystems. Agric. Water Manag. 2023, 279, 108178. [Google Scholar] [CrossRef]
- Lu, R. Soil and Agro-Chemical Analytical Methods; China Agricultural Science and Technology Press: Beijing, China, 1999. [Google Scholar]
- Throbäck, I.; Enwall, K.; Jarvis, A.; Hallin, S. Reassessing PCR primers targeting nirS, nirK and nosZ genes for community surveys of denitrifying bacteria with DGGE. FEMS Microbiol. Ecol. 2004, 49, 401–417. [Google Scholar] [CrossRef] [PubMed]
- Palmer, K.; Biasi, C.; Horn, M. Contrasting denitrifier communities relate to contrasting N2O emission patterns from acidic peat soils in Arctic tundra. ISME J. 2012, 6, 1058–1077. [Google Scholar] [CrossRef] [PubMed]
- Edgar, R.; Haas, B.; Clemente, J.; Quince, C.; Knight, R. UCHIME improves sensitivity and speed of chimera detection. Bioinformatics 2011, 27, 2194–2200. [Google Scholar] [CrossRef] [PubMed]
- Li, W.; Godzik, A. Cd-hit: A fast program for clustering and comparing large sets of protein or nucleotide sequences. Bioinformatics 2006, 22, 1658–1659. [Google Scholar] [CrossRef] [PubMed]
- Wu, Y.; Si, W.; Yan, S.; Wu, L.; Zhao, W.; Zhang, J. Water consumption, soil nitrate-nitrogen residue and fruit yield of drip-irrigated greenhouse tomato under various irrigation levels and fertilization practices. Agric. Water Manag. 2023, 277, 108092. [Google Scholar] [CrossRef]
- Yu, Y.; Neil, C.; Gong, Y.; Feng, M.; Fang, C. Benefits and limitations to straw- and plastic-film mulch on maize yield and water use efficiency: A meta-analysis across hydrothermal gradients. Eur. J. Agron. 2018, 99, 138–147. [Google Scholar] [CrossRef]
- Hu, Y.; Sun, B.; Wu, S.; Feng, H. Soil carbon and nitrogen of wheat–maize rotation system under continuous straw and plastic mulch. Nutr. Cycl. Agroecosyst. 2021, 119, 181–193. [Google Scholar] [CrossRef]
- Wang, D.; Mo, Y.; Li, G.; Wilkerson, J.; Hoogenboom, G. Improving maize production and decreasing nitrogen residue in soil using mulched drip fertigation. Agric. Water Manag. 2021, 251, 106871. [Google Scholar] [CrossRef]
- Zheng, J.; Zhou, M.; Zhu, B.; Fan, J.; Lin, H. Drip fertigation sustains crop productivity while mitigating reactive nitrogen losses in Chinese agricultural systems: Evidence from a meta-analysis. Sci. Total Environ. 2023, 886, 163804. [Google Scholar] [CrossRef]
- Li, R.; Wu, X.; Zhang, Y.; Wang, L.; Li, X. Nitrate nitrogen contents and quality of greenhouse soil applied with different N rates under drip irrigation. J. Plant Nutr. 2015, 21, 1642–1651. [Google Scholar] [CrossRef]
- Chen, N.; Li, X.; Jiri, I.; Shi, H.; Zhang, Y. The effects of biodegradable and plastic film mulching on nitrogen uptake, distribution, and leaching in a drip-irrigated sandy field. Agric. Ecosyst. Environ. 2020, 292, 106817. [Google Scholar] [CrossRef]
- Qiang, D.; Ting, H.; Shen, G.; Ming, H. Effect of different mulching measures on nitrate nitrogen leaching in spring maize planting system in south of Loess Plateau. Agric. Water Manag. 2019, 213, 654–658. [Google Scholar] [CrossRef]
- Zhang, F.; Chen, M.; Fu, J.; Zhang, X.; Li, Y.; Xing, Y. Effects of drip irrigation on yield, soil fertility and soil enzyme activity of different potato varieties in Northwest China. Front. Plant Sci. 2023, 14, 1240196. [Google Scholar] [CrossRef]
- Yang, W.; Shao, F.; Li, Z.; Li, W.; Yong, W.; Wen, X. Drip irrigation incorporating water conservation measures: Effects on soil water–nitrogen utilization, root traits and grain production of spring maize in semi-arid areas. J. Integr. Agric. 2021, 20, 16. [Google Scholar] [CrossRef]
- Wang, Z.; Li, J.; Li, Y. Effects of drip irrigation system uniformity and nitrogen applied on deep percolation and nitrate leaching during growing seasons of spring maize in semi-humid region. Irrig. Sci. 2014, 32, 221–236. [Google Scholar] [CrossRef]
- Tao, R.; Wakelin, S.; Liang, Y.; Baowei, H.; Chu, G. Nitrous oxide emission and denitrifier communities in drip-irrigated calcareous soil as affected by chemical and advances in organic chemistry. Sci. Total Environ. 2018, 612, 739–749. [Google Scholar] [CrossRef]
- Ma, C.; Song, H.; Fang, J.; Zhang, J.; Wei, S.; Liu, X.; Chen, K.; Zhang, W. Development of a process-based N2O emission model for natural forest and grassland ecosystems. J. Adv. Model. Earth Syst. 2022, 14, e2021MS002460. [Google Scholar] [CrossRef]
- Fang, Y.; Wang, F.; Jia, X.; Zhang, H.; Lin, C.; Chen, L.; Chen, J. Differential response of denitrifying community to the application of green manure and reduced chemical fertilizer in a paddy soil. Chil. J. Agric. Res. 2020, 80, 393–404. [Google Scholar] [CrossRef]
- Duan, R.; Long, X.; Tang, Y.F.; Wen, J.; Su, S.; Bai, L.; Liu, R.; Zeng, X. Effects of different fertilizer application methods on the community of nitrifiers and denitrifiers in a paddy soil. Soils Sediments 2018, 18, 24–38. [Google Scholar] [CrossRef]
- Jin, W.; Cao, W.; Liang, F.; Wen, Y.; Wang, F.; Dong, Z.; Song, H. Water management impact on denitrifier community and denitrification activity in a paddy soil at different growth stages of rice. Agric. Water Manag. 2020, 241, 106354. [Google Scholar] [CrossRef]
- Chen, H.; Li, X.; Hu, F.; Shi, W. Soil nitrous oxide emissions following crop residue addition: A meta-analysis. Glob. Chang. Biol. 2013, 19, 2956–2964. [Google Scholar] [CrossRef]
- Liang, Y.; Wu, C.; Wei, X.; Liu, Y.; Chen, X.; Qin, H.; Wu, J.; Su, Y.; Ge, T.; Hu, H. Characterization of nirS- and nirK-containing communities and potential denitrification activity in paddy soil from eastern China. Agric. Ecosyst. Environ. 2021, 319, 107561. [Google Scholar] [CrossRef]
- Christopher, M.; Blaz, S.; Magnus, R.; Sare, H. Phylogenetic analysis of nitrite, nitric oxide, and nitrous oxide respiratory enzymes reveal a complex evolutionary history for denitrification. Mol. Biol. Evol. 2008, 25, 1955–1966. [Google Scholar] [CrossRef]
- Christopher, M.; Ayme, S.; Fiona, P.; Marie-Christine, B. Recently identified microbial guild mediates soil N2O sink capacity. Nat. Clim. Chang. 2014, 4, 801–805. [Google Scholar] [CrossRef]
- Zhou, S.; Huang, T.; Zhang, C.; Fang, K.; Xia, C.; Bai, S.; Zeng, M.; Qiu, X. Illumina MiSeq sequencing reveals the community composition of nirS-type and nirK-type denitrifiers in Zhoucun reservoir-a large shallow eutrophic reservoir in norther China. Rsc. Adv. 2016, 6, 91517–91528. [Google Scholar] [CrossRef]
- Demanèche, S.; Philippot, L.; David, M.; Navarro, E.; Vogel, T.; Simonet, P. Characterization of denitrification gene clusters of soil bacteria via a metagenomic approach. Appl. Environ. Microb. 2009, 75, 534–537. [Google Scholar] [CrossRef]
- Kornaros, M.; Zafiri, C.; Lyberatos, G. Kinetics of denitrification by Pseudomonas denitrificans under growth conditions limited by carbon and/or nitrate or nitrite. Water Environ. Res. 1996, 68, 934–945. [Google Scholar] [CrossRef]
- Guo, Y.; Geng, J.; Cheng, S.; Fang, H.; Li, Y.; Yang, Y. Soil acidification and ammonia-oxidizing archaeal abundance dominate the contrasting responses of soil N2O emissions to NH4+ and NO3− enrichment in a subtropical plantation. Eur. J. Soil Biol. 2023, 116, 103491. [Google Scholar] [CrossRef]
- Francis, C.; O’Mullan, G.; Cornwell, J.; Ward, B. Transitions in nirS type denitrifier diversity community composition and biogeochemical activity along the Chesapeake Bay estuary. Front. Microbiol. 2013, 4, 237–249. [Google Scholar] [CrossRef] [PubMed]
- Castro, M.; Braker, G.; Farias, L.; Ulloa, O. Communities of nirS-type denitrifiers in the water column of the oxygen minimum zone in the eastern South Pacific. Environ. Microbiol. 2005, 7, 1298–1306. [Google Scholar] [CrossRef] [PubMed]
Disclaimer/Publisher’s Note: The statements, opinions and data contained in all publications are solely those of the individual author(s) and contributor(s) and not of MDPI and/or the editor(s). MDPI and/or the editor(s) disclaim responsibility for any injury to people or property resulting from any ideas, methods, instructions or products referred to in the content. |
© 2024 by the authors. Licensee MDPI, Basel, Switzerland. This article is an open access article distributed under the terms and conditions of the Creative Commons Attribution (CC BY) license (https://creativecommons.org/licenses/by/4.0/).






