Highly Effective Fe-Doped Nano Titanium Oxide for Removal of Acetamiprid and Atrazine under Simulated Sunlight Irradiation
Abstract
1. Introduction
2. Materials and Methods
2.1. Chemicals
2.2. Synthesis of nTiO2 and Fe3+-Doped nTiO2
2.3. Structural Characterization of Fe-nTiO2
2.4. Degradation of ACE and ATZ by Fe-nTiO2
2.5. Potted Application Experiment of Fe-nTiO2
3. Results
3.1. Characterization of TiO2 and Fe-nTiO2
3.2. Photocatalytic Activity of Fe-nTiO2
3.3. Degradation Mechanisms of ACE and ATZ
3.4. Photocatalytic Degradation Ways and Intermediate Products of ACE/ATZ
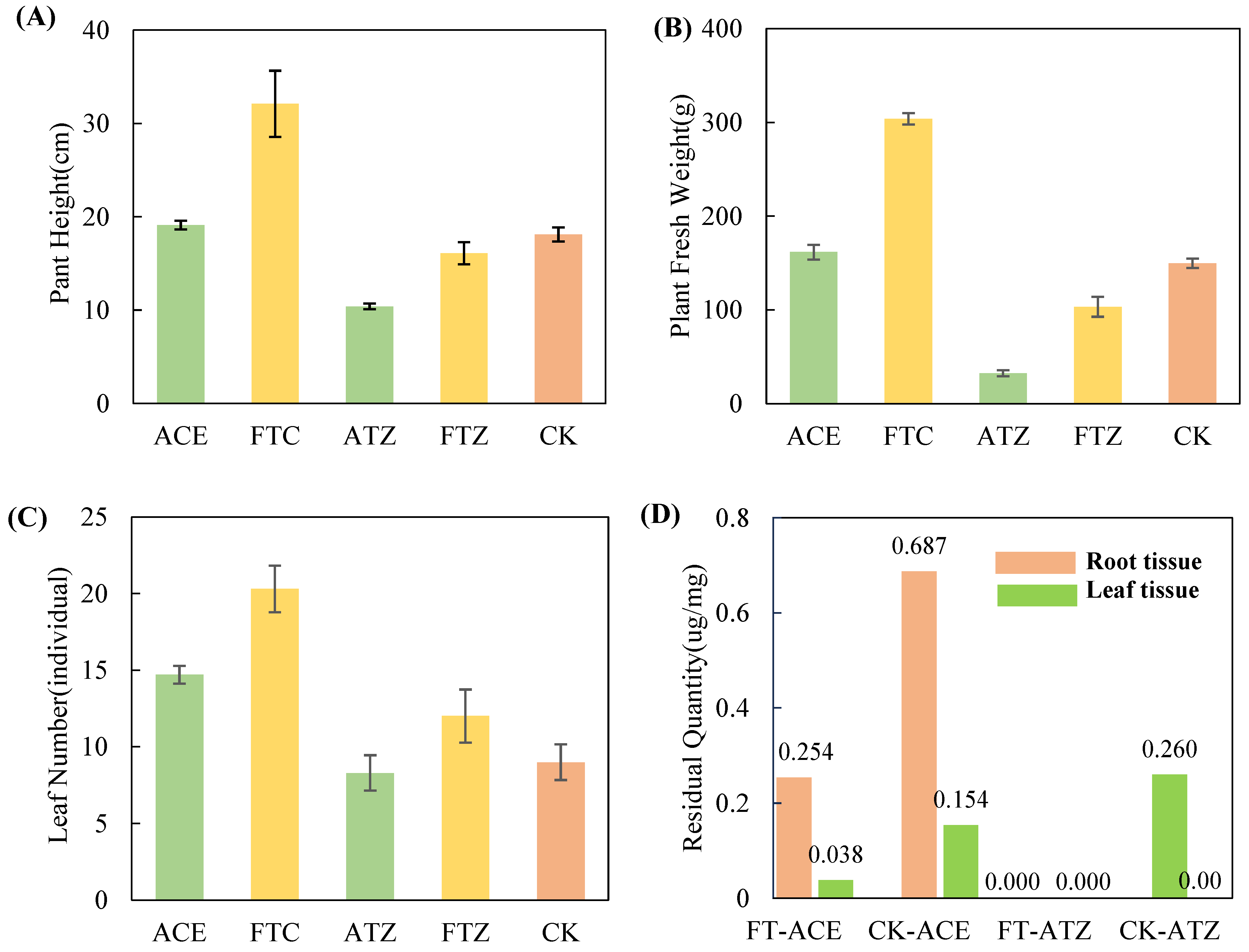
3.5. The Effect of Fe-nTiO2 on the Growth of Lettuce
4. Discussion
5. Conclusions
Supplementary Materials
Author Contributions
Funding
Institutional Review Board Statement
Informed Consent Statement
Data Availability Statement
Conflicts of Interest
References
- Lewis, N.S. A prospective on energy and environmental science. Energy Environ. Sci. 2019, 12, 16–18. [Google Scholar] [CrossRef]
- Venkatesan, A.; Al-onazi, W.A.; Elshikh, M.S.; Pham, T.H.; Suganya, S.; Boobas, S.; Priyadharsan, A. Study of synergistic effect of cobalt and carbon codoped with TiO2 photocatalyst for visible light induced degradation of phenol. Chemosphere 2022, 305, 135333. [Google Scholar] [CrossRef] [PubMed]
- Mangat Echavia, G.R.; Matzusawa, F.; Negishi, N. Photocatalytic degradation of organophosphate and phosphonoglycine pesticides using TiO2 immobilized on silica gel. Chemosphere 2009, 76, 595–600. [Google Scholar] [CrossRef] [PubMed]
- Abdennouri, M.; Baâlala, M.; Galadi, A.; El Makhfouk, M.; Bensitel, M.; Nohair, K.; Sadiq, M.; Boussaoud, A.; Barka, N. Photocatalytic degradation of pesticides by titanium dioxide and titanium pillared purified clays. Arab. J. Chem. 2016, 9, S313–S318. [Google Scholar] [CrossRef]
- Gaya, U.I.; Abdullah, A.H. Heterogeneous photocatalytic degradation of organic contaminants over titanium dioxide: A review of fundamentals, progress and problems. J. Photochem. Photobiol. C Photochem. Rev. 2008, 9, 1–12. [Google Scholar] [CrossRef]
- Mei, Q.-F.; Zhang, F.-Y.; Wang, N.; Lu, W.-S.; Su, X.-T.; Wang, W.; Wu, R.-L. Photocatalysts: Z-Scheme Heterojunction Constructed with Titanium Dioxide. Chin. J. Inorg. Chem. 2019, 35, 1321–1339. [Google Scholar]
- Sakthivel, S.; Kisch, H. Daylight photocatalysis by carbon-modified titanium dioxide. Angew. Chem. Int. Ed. 2003, 42, 4908–4911. [Google Scholar] [CrossRef] [PubMed]
- Hong, D.; Lyu, L.-M.; Koga, K.; Shimoyama, Y.; Kon, Y. Plasmonic Ag@TiO2 Core-Shell Nanoparticles for Enhanced CO2 Photoconversion to CH4. ACS Sustain. Chem. Eng. 2019, 7, 18955–18964. [Google Scholar] [CrossRef]
- Kim, J.C.; Choi, J.; Lee, Y.B.; Hong, J.H.; Lee, J.I.; Yang, J.W.; Lee, W.I.; Hur, N.H. Enhanced photocatalytic activity in composites of TiO2 nanotubes and CdS nanoparticles. Chem. Commun. 2006, 48, 5024–5026. [Google Scholar] [CrossRef]
- Kitano, S.; Hashimoto, K.; Kominami, H. Photocatalytic degradation of 2-propanol over metal-ion-loaded titanium(IV) oxide under visible light irradiation: Effect of physical properties of nano-crystalline titanium(IV) oxide. Appl. Catal. B Environ. 2011, 101, 206–211. [Google Scholar] [CrossRef]
- Li, R.; Li, T.; Zhou, Q. Impact of Titanium Dioxide (TiO2) Modification on Its Application to Pollution Treatment—A Review. Catalysts 2020, 10, 804. [Google Scholar] [CrossRef]
- Verwey, J.F.; Heringa, A.; de Werdt, R.; vd Hofstad, W. Drift of the breakdown voltage in p-n junctions in silicon (walk-out). Solid-State Electron. 1977, 20, 689–695. [Google Scholar] [CrossRef]
- Danish, M.S.S.; Estrella, L.L.; Alemaida, I.M.A.; Lisin, A.; Moiseev, N.; Ahmadi, M.; Nazari, M.; Wali, M.; Zaheb, H.; Senjyu, T. Photocatalytic Applications of Metal Oxides for Sustainable Environmental Remediation. Metals 2021, 11, 80. [Google Scholar] [CrossRef]
- Kundu, A.; Mondal, A. Structural, optical, physio-chemical properties and photodegradation study of methylene blue using pure and iron-doped anatase titania nanoparticles under solar-light irradiation. J. Mater. Sci. Mater. Electron. 2019, 30, 3244–3256. [Google Scholar] [CrossRef]
- Yun, H.J.; Lee, H.; Joo, J.B.; Kim, N.D.; Kang, M.Y.; Yi, J. Facile preparation of high performance visible light sensitive photo-catalysts. Appl. Catal. B Environ. 2010, 94, 241–247. [Google Scholar] [CrossRef]
- Murtaza, G.; Ahmad, R.; Rashid, M.S.; Hassan, M.; Hussnain, A.; Khan, M.A.; Ehsan ul Haq, M.; Shafique, M.A.; Riaz, S. Structural and magnetic studies on Zr doped ZnO diluted magnetic semiconductor. Curr. Appl. Phys. 2014, 14, 176–181. [Google Scholar] [CrossRef]
- Inturi, S.N.R.; Boningari, T.; Suidan, M.; Smirniotis, P.G. Visible-light-induced photodegradation of gas phase acetonitrile using aerosol-made transition metal (V, Cr, Fe, Co, Mn, Mo, Ni, Cu, Y, Ce, and Zr) doped TiO2. Appl. Catal. B Environ. 2014, 144, 333–342. [Google Scholar] [CrossRef]
- Choina, J.; Fischer, C.; Flechsig, G.U.; Kosslick, H.; Tuan, V.A.; Tuyen, N.D.; Tuyen, N.A.; Schulz, A. Photocatalytic properties of Zr-doped titania in the degradation of the pharmaceutical ibuprofen. J. Photochem. Photobiol. A Chem. 2014, 274, 108–116. [Google Scholar] [CrossRef]
- Wu, Q.; van de Krol, R. Selective Photoreduction of Nitric Oxide to Nitrogen by Nanostructured TiO2 Photocatalysts: Role of Oxygen Vacancies and Iron Dopant. J. Am. Chem. Soc. 2012, 134, 9369–9375. [Google Scholar] [CrossRef] [PubMed]
- Akpan, U.G.; Hameed, B.H. The advancements in sol–gel method of doped-TiO2 photocatalysts. Appl. Catal. A Gen. 2010, 375, 1–11. [Google Scholar] [CrossRef]
- Chen, X.; Mao, S.S. Titanium Dioxide Nanomaterials: Synthesis, Properties, Modifications, and Applications. Chem. Rev. 2007, 107, 2891–2959. [Google Scholar] [CrossRef]
- Zhang, Z.; Wang, C.-C.; Zakaria, R.; Ying, J.Y. Role of Particle Size in Nanocrystalline TiO2-Based Photocatalysts. J. Phys. Chem. B 1998, 102, 10871–10878. [Google Scholar] [CrossRef]
- Cruz-Alcalde, A.; Sans, C.; Esplugas, S. Priority pesticides abatement by advanced water technologies: The case of acetamiprid removal by ozonation. Sci. Total Environ. 2017, 599, 1454–1461. [Google Scholar] [CrossRef]
- Lin, J.; Li, H.-X.; Qin, L.; Du, Z.-H.; Xia, J.; Li, J.-L. A novel mechanism underlies atrazine toxicity in quails (Coturnix Coturnix coturnix): Triggering ionic disorder via disruption of ATPases. Oncotarget 2016, 7, 83880–83892. [Google Scholar] [CrossRef]
- Das, S.; Singh, V.; Paul, S. Surface conjugation of titanium dioxide nanoparticles on nano-graphene oxide enhances photocatalytic degradation of azo dyes under sunlight. Environ. Sci. Pollut. Res. 2022, 29, 40226–40240. [Google Scholar] [CrossRef]
- Liu, D.; Hirner, S.M.; Smyth, J.R.; Zhang, J.; Shi, X.; Wang, X.; Zhu, X.; Ye, Y. Crystal chemistry and high-temperature vibrational spectra of humite and norbergite: Fluorine and titanium in humite-group minerals. Am. Mineral. 2021, 106, 1153–1162. [Google Scholar] [CrossRef]
- Ma, P.; Jiang, W.; Wang, F.; Li, F.; Shen, P.; Chen, M.; Wang, Y.; Liu, J.; Li, P. Synthesis and photocatalytic property of Fe3O4@TiO2 core/shell nanoparticles supported by reduced graphene oxide sheets. J. Alloys Compd. 2013, 578, 501–506. [Google Scholar] [CrossRef]
- Chen, X.; Choing, S.N.; Aschaffenburg, D.J.; Pemmaraju, C.D.; Prendergast, D.; Cuk, T. The Formation Time of Ti-O• and Ti-O• Ti Radicals at the n-SrTiO3/Aqueous Interface during Photocatalytic Water Oxidation. J. Am. Chem. Soc. 2017, 139, 1830–1841. [Google Scholar] [CrossRef] [PubMed]
- Guo, R.; Qi, X.; Zhang, X.; Zhang, H.; Cheng, X. Synthesis of Ag2CO3/α-Fe2O3 heterojunction and it high visible light driven photocatalytic activity for elimination of organic pollutants. Sep. Purif. Technol. 2019, 211, 504–513. [Google Scholar] [CrossRef]
- Kiwi, J.; Rtimi, S. Mechanisms of the Antibacterial Effects of TiO2-FeOx under Solar or Visible Light: Schottky Barriers versus Surface Plasmon Resonance. Coatings 2018, 8, 391. [Google Scholar] [CrossRef]
- Jiang, B.; Tang, Y.; Qu, Y.; Wang, J.-Q.; Xie, Y.; Tian, C.; Zhou, W.; Fu, H. Thin carbon layer coated Ti3+-TiO2 nanocrystallites for visible-light driven photocatalysis. Nanoscale 2015, 7, 5035–5045. [Google Scholar] [CrossRef]
- Fang, W.; Xing, M.; Zhang, J. A new approach to prepare Ti3+ self-doped TiO2 via NaBH4 reduction and hydrochloric acid treatment. Appl. Catal. B-Environ. 2014, 160, 240–246. [Google Scholar] [CrossRef]
- Palanisamy, B.; Babu, C.M.; Sundaravel, B.; Anandan, S.; Murugesan, V. Sol-gel synthesis of mesoporous mixed Fe2O3/TiO2 photocatalyst: Application for degradation of 4-chlorophenol. J. Hazard. Mater. 2013, 252, 233–242. [Google Scholar] [CrossRef]
- Xu, Z.M.; Ju, S.H.; Gao, P.; Lin, J.J.; Niu, Y.F.; Meng, F.; Li, S.L.; Li, F.F.; Du, J.H.; Xu, L.; et al. FexO4-enhanced degradation of bisphenol A in visible light/peroxydisulfate system: Production of singlet state oxygen. Environ. Sci. Pollut. Res. 2023, 30, 66303–66313. [Google Scholar] [CrossRef] [PubMed]
- Reddy, N.R.; Reddy, P.M.; Jyothi, N.; Kumar, A.S.; Jung, J.H.; Joo, S.W. Versatile TiO2 bandgap modification with metal, non-metal, noble metal, carbon material, and semiconductor for the photoelectrochemical water splitting and photocatalytic dye degradation performance. J. Alloys Compd. 2023, 935, 167713. [Google Scholar] [CrossRef]
- Ismael, M. Enhanced photocatalytic hydrogen production and degradation of organic pollutants from Fe (III) doped TiO2 nanoparticles. J. Environ. Chem. Eng. 2020, 8, 103676. [Google Scholar] [CrossRef]
- Moniz, S.J.A.; Shevlin, S.A.; An, X.Q.; Guo, Z.X.; Tang, J.W. Fe2O3-TiO2 Nanocomposites for Enhanced Charge Separation and Photocatalytic Activity. Chem. Eur. J. 2014, 20, 15571–15579. [Google Scholar] [CrossRef] [PubMed]
- Xue, Y.; Wang, P.; Wang, C.; Ao, Y. Efficient degradation of atrazine by BiOBr/UiO-66 composite photocatalyst under visible light irradiation: Environmental factors, mechanisms and degradation pathways. Chemosphere 2018, 203, 497–505. [Google Scholar] [CrossRef] [PubMed]
- Singh, S.; Kumar, V.; Chauhan, A.; Datta, S.; Wani, A.B.; Singh, N.; Singh, J. Toxicity, degradation and analysis of the herbicide atrazine. Environ. Chem. Lett. 2018, 16, 211–237. [Google Scholar] [CrossRef]










| Disclaimer/Publisher’s Note: The statements, opinions and data contained in all publications are solely those of the individual author(s) and contributor(s) and not of MDPI and/or the editor(s). MDPI and/or the editor(s) disclaim responsibility for any injury to people or property resulting from any ideas, methods, instructions or products referred to in the content. | 
© 2024 by the authors. Licensee MDPI, Basel, Switzerland. This article is an open access article distributed under the terms and conditions of the Creative Commons Attribution (CC BY) license (https://creativecommons.org/licenses/by/4.0/).
Share and Cite
Liu, Z.; Lin, J.; Xu, Z.; Li, F.; Wang, S.; Gao, P.; Xiong, G.; Peng, H. Highly Effective Fe-Doped Nano Titanium Oxide for Removal of Acetamiprid and Atrazine under Simulated Sunlight Irradiation. Agronomy 2024, 14, 461. https://doi.org/10.3390/agronomy14030461
Liu Z, Lin J, Xu Z, Li F, Wang S, Gao P, Xiong G, Peng H. Highly Effective Fe-Doped Nano Titanium Oxide for Removal of Acetamiprid and Atrazine under Simulated Sunlight Irradiation. Agronomy. 2024; 14(3):461. https://doi.org/10.3390/agronomy14030461
Chicago/Turabian StyleLiu, Zhanpeng, Junjian Lin, Zhimin Xu, Fangfang Li, Siyao Wang, Peng Gao, Guomei Xiong, and Hongbo Peng. 2024. "Highly Effective Fe-Doped Nano Titanium Oxide for Removal of Acetamiprid and Atrazine under Simulated Sunlight Irradiation" Agronomy 14, no. 3: 461. https://doi.org/10.3390/agronomy14030461
APA StyleLiu, Z., Lin, J., Xu, Z., Li, F., Wang, S., Gao, P., Xiong, G., & Peng, H. (2024). Highly Effective Fe-Doped Nano Titanium Oxide for Removal of Acetamiprid and Atrazine under Simulated Sunlight Irradiation. Agronomy, 14(3), 461. https://doi.org/10.3390/agronomy14030461
 
        

