Next Article in Journal
Identifications of Seed Vigor-Related QTLs and Candidate Genes Combined Cultivated Soybean with Wild Soybean
Previous Article in Journal
Study on Diversity of Poisonous Weeds in Grassland of the Ili Region in Xinjiang
 
 
Correction published on 31 July 2025, see Agronomy 2025, 15(8), 1850.
Font Type:
Arial Georgia Verdana
Font Size:
Aa Aa Aa
Line Spacing:
Column Width:
Background:
Article

Adaptation of NO2 Extraction Methods to Different Agricultural Soils: Fine-Tuning Based on Existing Techniques

1
College of Ecology and the Environment, Co-Innovation Center for the Sustainable Forestry in Southern China, Nanjing Forestry University, Nanjing 210037, China
2
Key Laboratory of Geographic Information Science (Ministry of Education), School of Geographic Sciences, East China Normal University, Shanghai 200241, China
3
Institute of Eco-Chongming (IEC), Shanghai 202162, China
4
State Key Laboratory of Atmospheric Boundary Layer Physics and Atmospheric Chemistry, Institute of Atmospheric Physics, Chinese Academy of Sciences, Beijing 100029, China
5
Faculty of Environmental Sciences and Natural Resource Management, Norwegian University of Life Sciences, N-1432 Ås, Norway
6
Institute of Xilingol Bioengineering Research, Xilingol Vocational College, Xilinhot 026000, China
7
Graduate School of Agriculture and Biology, Shanghai Jiaotong University, Shanghai 200240, China
8
Hebei Key Laboratory of Soil Ecology, Center for Agricultural Resources Research, Institute of Genetics and Developmental Biology, Chinese Academy of Sciences, Shijiazhuang 050022, China
*
Authors to whom correspondence should be addressed.
Agronomy 2024, 14(2), 331; https://doi.org/10.3390/agronomy14020331
Submission received: 25 December 2023 / Revised: 26 January 2024 / Accepted: 3 February 2024 / Published: 5 February 2024 / Corrected: 31 July 2025
(This article belongs to the Section Agroecology Innovation: Achieving System Resilience)

Abstract

Soil nitrite (NO2) is an important reactive intermediate in many nitrogen transformation processes, but it is unstable under acidic conditions and may be lost as gaseous N. The canonical extraction method of soil NO2 using a potassium chloride (KCl) solution greatly underestimates its concentration. In order to reflect the soil NO2 concentration more accurately, we made minor adjustments on the basis of the existing soil NO2 extraction method, so that it can be adapted to agricultural soils with different textures and pH values (alkalic fluvo-aquic soil, acidic Mollisol, and Ultisol soils, respectively). Both extractable soil ammonium (NH4+) and nitrate (NO3) were systematically investigated to refine the simultaneous extraction of soil inorganic nitrogen. The effects of different extractants (deionized water (DIW), un-buffered 2 mol L−1 KCl, and pH-buffered 2 mol L−1 KCl), shaking time (10 and 30 min), and storage duration of the extracts (stored at −20 °C for 1 day, and at 4 °C for 1, 3, and 6 days) on the determination of soil inorganic nitrogen were investigated. The results showed that the un-buffered KCl extractant significantly underestimated soil NO2 concentration compared to DIW. The highest recovery of NO2 was obtained by extracting with DIW at 10 min of shaking for all three soils. Compared with DIW, the concentration of NH4+ and NO3 in soil extracted from the KCl solution increased significantly. Furthermore, the soil inorganic nitrogen content of extracts stored at 4 °C for one day was closer to the direct measurements of fresh samples than with the other storage methods. In conclusion, soil NO2 extraction was carried out by DIW extraction, shaking for 10 min, and filtering with a 0.45 µm filter, while soil NH4+ and NO3 were extracted with a KCl solution and shaken for 30 min. The extract should be stored at 4 °C and analyzed within 24 h. We have made minor adjustments to our previously published method for soil NO2 analysis to make it more adaptable to soils with different textures and pH values. These adjustments make the method more effective in soil geochemical nitrogen cycling studies, especially in the assessment of soil nitrite (HONO) and nitric oxide (NO) emissions.

1. Introduction

Nitrite (NO2) plays a crucial role in the soil nitrogen cycle as a key intermediate in several nitrogen transformation processes (nitrification, denitrification, nitrifier denitrification, dissimilatory nitrate reduction to ammonium (DNRA), and chemo-denitrification) [1,2,3,4,5,6] and is also closely associated with gaseous nitrogen emissions as an independently existing nitrogen reservoir [7]. For example, NO2 is directly associated with NO and N2O gas formation. When NO2 < 1 mg N kg−1, it still promotes NO production [8]. NO2 is also an important precursor for N2O formation, and more than 44% of N2O changes are associated with NO2 [9]. Due to its extremely rapid turnover, it is considered an instantaneous product and has often been neglected in previous soil nitrogen (N) cycle studies [10,11,12]. However, NO2 accumulation occurs when some environmental factors lead to the decoupling of ammonia oxidation from nitrite oxidation [13,14]. For example, the application of urea or ammonium-based fertilizers may cause instantaneous accumulation of NO2 during nitrification [9,10,15], which is exacerbated at higher soil pH [16]. Soil NO2 accumulation may cause a number of environmental problems; for example, NO2 reacts with other substances to form gases such as nitrous acid (HONO), nitric oxide (NO), nitrogen dioxide (NO2), and nitrous oxide (N2O). This affects the oxidizing capacity of the atmosphere, air quality, and human health, and it can also act as a strong greenhouse gas [17,18,19]. The importance of NO2 in water and soil for gaseous N emissions has been increasingly acknowledged. Accurate and rapid determination of soil NO2 is therefore needed to achieve a deeper understanding of N transformation processes in soil.
Typically, a 2 mol L−1 KCl solution is used to extract NO2 from soil, which is also a classical method for simultaneously extracting soil ammonium (NH4+) and nitrate (NO3) [20]. However, KCl causes NO2 degradation under acidic and neutral conditions, greatly underestimating the NO2 concentration in soil [16,20]. Studies have shown that only 22–40% of NO2 is recovered from soils with a pH between 4.8–5.4 [20,21]. Subsequently, Homyak et al. (2015) [20] improved the extraction of NO2 from soil and identified deionized water (DIW) as the preferred extractant as a new method for extracting soil NO2.
Although DIW has become the recommended extractant for soil NO2 analysis, the presence of suspended solids in the DIW extract affects the absorbance measurements of NO2 analyzed spectrophotometrically, thus requiring filtration through a 0.45 µm filter [20]. To maximize the recovery of soil NO2, the pH of the extraction solution with calcium hydroxide [Ca(OH)2] [22], calcium carbonate (CaCO3) [23], or potassium hydroxide (KOH) [24] was adjusted. Stevens and Laughlin (1995) [24] adjusted the pH of the extraction solution to 8.0 with 2 mol L−1 KOH and a soil/extractant ratio of 1:1, which resulted in a significant increase in NO2 recovery. However, this method is only applicable to a substantial amount of soil (200 g) [20], and deviation from this parameter may lead to dispersion of silt and clay particles and/or the dissolution of organic matter [25], making it difficult to obtain a clear solution for analysis [20]. This adjustment process is cumbersome and increases the experimental time and effort. Due to the strong buffering effect of acidic soils, it is difficult to keep the pH of the adjusted KCl extract stable, and the pH may still decrease after oscillation, which may lead to the loss of NO2. In addition, a higher pH tends to cause volatilization losses of NH3 [26], potentially decreasing NH4+ recovery if the same extraction method is applied.
In recent years, a large number of studies have been conducted on the factors affecting the determination of soil NH4+ and NO3, including the extraction method [27], the concentration of the extractant [27], the storage method [28], the shaking time [27], etc. However, the effects of these factors on soil NO2 concentration have not been systematically reported. Therefore, this study aims to verify the effectiveness and accuracy of the latest soil NO2 detection method in soils with different textures and pH values in order to provide a scientific basis for the efficient extraction of NO2, NO3 and NH4+.

2. Materials and Methods

2.1. Soil Sampling

The soils used here (fluvo-aquic soil, Mollisol, and Ultisol) were previously studied by Song et al. (2023) [19] and have been described in detail. Briefly, the fluvo-aquic soil was collected from Quzhou County, in the North China Plain (36°52′ N, 115°10′ E), with a pH of 7.98, soil organic matter (SOM) of 17.59 g kg−1, total nitrogen (TN) of 0.11%, and C/N of 9.23, respectively. The soil clay, silt, and sand fractions were 0.65%, 84.47%, and 11.88%, respectively. The soil net nitrification rate and the net mineralization rate were 16.92 and 19.55 mg kg−1 day−1, respectively. The climate is a temperate monsoon climate, with an average annual temperature and precipitation of 13.2 °C and 494 mm, respectively. The crops planted are a rotation of wheat and maize. The Mollisol was collected from Lishu County in Northeast China (43°37′ N, 124°36′ E). It has a pH of 5.51, SOM of 22.76 g kg−1, TN of 0.13%, and C/N of 10.13, respectively. The soil clay, silt, and sand fractions were 3.85%, 75.62%, and 20.53%, respectively. The soil net nitrification rate and net mineralization rate were 15.36 and 21.45 mg kg−1 day−1, respectively. The climate is a temperate monsoon climate, with an average annual temperature and precipitation of 6.5 °C and 650 mm, respectively. The planted crop is maize. The Ultisol was collected from Jinjing City in Central South China (28°38′ N, 113°19′ E). It has a pH of 5.35, SOM of 18.45 g kg−1, TN of 0.11%, and C/N of 9.72, respectively. The soil clay, silt, and sand fractions were 0.07%, 77.49%, and 22.44%, respectively. The soil net nitrification rate and net mineralization rate were 11.05 and 11.05 mg kg−1 day−1, respectively. The climate is a subtropical monsoon climate, with an average annual temperature and precipitation of 17.5 °C and 1330 mm, respectively. The crops planted are oilseed rape and maize. Five sampling points were randomly selected on each site, and samples were taken at a depth of 20 cm before combining them into one composite sample. After removing roots, rocks, seeds, and other debris, the soil was air-dried. After grinding, the soil was sieved through a 2 mm sieve and then kept at room temperature.

2.2. Experimental Design

We first compared the effect of different extraction methods on inorganic N concentrations (DIW, un-buffered 2 mol L−1 KCl, and pH-buffered 2 mol L−1 KCl) to assess whether increasing the pH in the extraction solution would affect the extractable NO2. Three groups of treatments were set up: (1) only DIW; (2) un-buffered 2 mol L−1 KCl; (3) pH = 7.5, 6.5, and 6.0 phosphate buffer solutions (PBSs) + 2 mol L−1 KCl (1:4) were added to the fluvo-aquic soil; and pH = 8.4, 8.0, 7.5, and 7.0 phosphate buffer solutions + 2 mol L−1 KCl (1:4) were added to the Mollisol and Ultisol samples, respectively. Different pH values of PBS were prepared by mixing 1/15 mol L−1 KH2PO4 and Na2HPO4 in different proportions. Air-dried soils (5 g; n = 3; sieved to 2 mm) were extracted in 25 mL DIW, un-buffered 2 mol L−1 KCl, or pH-buffered 2 mol L−1 KCl (the soil-liquid ratio of all extractions was 1:5 (weight/volume, w/v)), followed by shaking at 200 rpm and 25 °C for 30 min, centrifugation at 9000 rpm for 15 min, and filtration, first through 9 cm medium speed filter paper (aperture 15–20 µm) and then through 0.45 µm aperture filter paper. The inorganic nitrogen content of the extracting solution was measured by a SmartChem automatic chemical analyzer 450 (AMS-Alliance, Rome, Italy). The pH of the extracting solution was measured by a pH meter (Mettler Toledo FE28, Schwerzenbach, Switzerland) and mixed at a 1:2.5 soil to water ratio (w/v).
We further investigated the effect of storing the extracts for variable time periods. Briefly, air-dried soils (5 g, n = 3) were extracted in 25 mL un-buffered 2 mol L−1 KCl or DIW and mixed at a 1:5 soil-liquid ratio (w/v), followed by shaking at 200 rpm and 25 °C for 30 min, centrifugation at 9000 rpm for 15 min, and filtration, first with 9 cm medium speed filter paper (aperture 15–20 µm) and then with 0.45 µm aperture filter paper. Aliquots of the extracts were taken for direct determination of soil inorganic nitrogen concentration, while the remainder was stored at −20 °C for 1 day and at 4 °C for 1, 3, and 6 days, respectively, before analysis.
Finally, we studied the effect of shaking duration on soil NO2 recovery. NO2 standard solution was added to evaluate the recovery of NO2 in the extracts. The background value of NO2 is low in acidic soils, and in order to be able to accurately detect changes in NO2 content, the amount of NO2 added in this experiment was 3 mg N kg−1 soil. Soil samples were extracted with DIW and pH-buffered 2 mol L−1 KCl. The extraction method was as described above. The difference was that shaking was 10 min and 30 min, respectively, and the extract was placed at 4 °C for storage and analyzed within 24 h. All the above treatments were set up in triplicates. Soil without the addition of standard solution was used as a control. The recovery of NO2 was calculated based on the difference measured in soil with and without adding the standard solution:
R e c o v e r y = N b N a N o × 100 %
where Nb and Na represent the NO2 content of soil with added standard solution and control soil, respectively; No represents the NO2 concentration in the standard solution.

2.3. Statistical Analyses

All test data were preliminarily sorted and in-depth calculated by Microsoft Excel 2019. SPSS Statistics 26.0 (IBM, Armonk, NY, USA) was used for a one-way ANOVA or a two-factor ANOVA to determine the differences in extractable soil inorganic nitrogen between treatments (t and LSD test, p < 0.05). When necessary, data were transformed to meet the assumption of normality.

3. Results

3.1. Higher Soil NO2 Contents with DIW Extraction

The pH values of the un-buffered KCl extracts were 7.68, 4.16, and 4.65 for the fluvo-aquic soil, Mollisol, and Ultisol, respectively. These values were significantly lower than the pH of the DIW extracts (Figure 1). Adding a phosphate buffer solution decreased the pH of the extracts significantly in the fluvo-aquic soil, while it increased the pH in the Mollisol and Ultisol samples. The pH values were 7.14, 6.17, and 5.96 for the pH-buffered KCl extracts in thefluvo-aquic soil, while they were maintained at pH 6.0–7.5 in Mollisol and Ultisol.
The variation of inorganic nitrogen in different treatments is shown in Figure 2. The NO2 content was significantly higher in the fluvo-aquic soil (1.18–2.06 mg N kg−1) than in Mollisol (0.02–0.03 mg N kg−1) and Ultisol (0.02–0.08 mg N kg−1) (p < 0.05, Figure S1). Extraction with DIW resulted in a higher NO2 content as compared with the un-buffered KCl solution in all three soils. Extractable NO2 increased when using a phosphate buffer solution with different pH but was still lower than that in the DIW extractions. However, soil NH4+ concentration was reduced by 25% (fluvo-aquic soil), 35% (Mollisol), and 60% (Ultisol) when extracted by DIW compared with the un-buffered KCl treatment, respectively. The soil NO3 concentrations were significantly higher in the un-buffered KCl treatment than in the DIW extracts of fluvo-aquic soils, while the opposite was true for Mollisol and Ultisol. It was further found that the NH4+ and NO3 content of Ultisol was significantly higher than that of the other two soils in the un-buffered KCl treatment (p < 0.05, Figure S1b).

3.2. Storage Increased NO2 and NH4+ Content

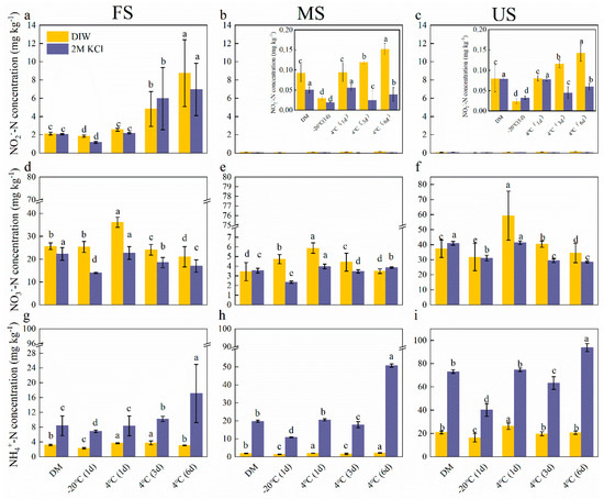
Storage significantly affected the concentration of inorganic nitrogen in the extracts (Figure 3). When calculating the soil NO2 content, it was closer to the directly measured content of fresh samples when stored at 4 °C than at −20 °C, regardless of extraction with DIW or un-buffered KCl treatment. There was a tendency for DIW extracts to increase with longer storage time at 4 °C (p < 0.05). Compared to storage for 1 d, storage for 6 d increased the soil NO2 content by 3.4 (fluvo-aquic soil), 1.6 (Mollisol), and 1.8 folds (Ultisol), respectively. The soil NO3 concentration extracted by un-buffered KCl treatment decreased with the storage time (4 °C), while the opposite was the case for NH4+. The soil NH4+ concentration increased by 51% (fluvo-aquic soil), 59% (Mollisol), and 20% (Ultisol) after storing the extracts for 6 d compared to 1 d. We found no significant difference between storing for 1 d at 4 °C and directly measuring DIW-extracted NO2 and un-buffered KCl-extracted NH4+ concentrations (p > 0.05). Further studies revealed that the inorganic nitrogen concentration differed significantly among the three soils (p > 0.05, Figure S2).

3.3. Effect of Shaking Time on NO2 Recovery

Shaking time had a significant effect on NO2 recovery in acidic soils (Mollisol and Ultisol) but not in the alkaline soil (fluvo-aquic soil) (Figure 4). When shaking for 10 min, the NO2 recovery rates of the three soils were 85–87% (fluvo-aquic soil), 92–95% (Mollisol), and 91.39–91.72% (Ultisol), respectively, for both extraction methods (DIW and pH-buffered KCl). No significant difference was found among the treatments (p > 0.05). With the increase of shaking time, the recovery of NO2 in acidic soil decreased, especially in the DIW treatment. The NO2 recovery in acidic soils was affected by the pH of the extractant. After shaking for 30 min, the NO2 recovery rates of the pH-buffered treatments were 88% (Mollisol) and 90% (Ultisol), respectively, which were significantly higher than those of the DIW treatments (p < 0.05). The results of a two-way ANOVA showed that there was a significant interaction effect between pH and shaking time on the recovery of NO2 in the acidic soils, but not in the alkaline soil (p > 0.05). In summary, extraction with DIW and shaking for 10 min could be suitable for both acidic and alkaline soils.

4. Discussion

4.1. Soil NO2 Concentration

Compared with DIW, extracting with an un-buffered KCl solution significantly reduced the pH of extracts in Mollisol and Ultisol (Figure 1b,c), which may be due to the release of protons by K+ adsorption, an increase in ionic strength, and the hydrolysis of extractable aluminum. In acidic environments, NO2 protonates into HNO2 (pKa = 3.3, 25 °C), which subsequently decomposes to gaseous nitrogen products such as HONO, NO, or NO2, a process that can explain the loss of NO2 in acidic environments [19,20,29]. These results were confirmed by lower NO2 concentrations (35–59%) in the un-buffered KCl extract compared to those extracted by DIW (Figure 2a–c). In addition, the chemical fixation of NO2 by insoluble soil organic matter [21,30], the reaction with metal oxides [31], or the rapid conversion to NO3 [23,30] may also be responsible for the low NO2 concentration in the un-buffered KCl extract. To maximize the recovery of soil NO2, the pH of the extracting solution was adjusted with Ca(OH)2 [22], CaCO3 [23], or KOH [24]. Indeed, the pH of the pH-buffered KCl extracts increased significantly (Figure 1b,c), and the NO2 contents also increased significantly (Figure 2b,c). The extracted NO2 by the pH 8.4 buffer solution was even comparable to that of DIW in Mollisol and Ultisol. It was found that the recovery of NO2 was about 69% when the extract’s pH was between 4.8 and 6.0, and it increased to as much as 95% when the pH was adjusted to 7.8 [31]. In conclusion, unbuffered KCl solutions considerably reduced NO2 concentrations, in agreement with previous studies [16,20]. Although more NO2 can be extracted with DIW, it produces a brown extract that interferes with colorimetric analysis [20]. Homyak et al. (2015) [20] obtained more accurate measurements of NO2 concentration by filtering through a 0.45 micron filter [20].
Shaking time was also a key factor for soil NO2 recovery. NO2 recovery from acidic soil decreased significantly with an increase in shaking time (Figure 4). Stevens and Laughlin (1995) [24] showed that the NO2 recovery after 10 min of shaking was 86%, which was three times higher than that after 30 min of shaking. Our study showed that the NO2 recovery from acidic Mollisol and Ultisol extracted by DIW was greater than 90% at 10 min of shaking. The NO2 recovery was higher when extracting for 30 min at a higher pH.
During the analysis process, the extracts may not be determined immediately and may be stored for a period of time because of logistical reasons. However, few studies have considered the effect of the storage duration on soil NO2 concentration. We found that the NO2 concentration of samples stored at 4 °C was closer to the directly measured values of fresh samples, whereas freezing to −20 °C resulted in severe losses of NO2 (Figure 3a–c). The reason may be due to NO2 degradation caused by freezing and rapid NO2 turnover during thawing [32]. There were also significant differences in NO2 concentration among different soils (p < 0.05, Figure S2). In addition, the NO2 concentration gradually increased with the increase in storage time (4 °C), likely due to nitrification in the non-sterile extract [32]. Therefore, it is recommended that NO2 should be measured as soon as possible after extraction to obtain more accurate value.

4.2. Soil NH4+ and NO3 Concentrations

Compared with un-buffered KCl, extraction with DIW significantly underestimated the NH4+ concentration in the three soils and the NO3 concentration in the fluvo-aquic soil (Figure 2d–f). Tu et al. (2021) [27] also found that the measured concentrations of NH4+ and NO3 in KCl extracts were 1.6–2.6 and 1.1–1.8 folds higher than those in DIW, respectively. Lim et al. (2018) [16] showed that DIW-extracted NO3 concentrations were only 50–60% of those extracted by 2 mol L−1 KCl. Due to the significant ion exchange capacity of soil [16], soil colloids are usually negatively charged and can adsorb NH4+, while high concentrations of K+ can displace NH4+ adsorbed on soil colloids. However, the negatively charged NO3 ions will not be adsorbed by the soil and will “freely” exist in soil solution.
Although most of the literature suggests that the shaking time for extracting NH4+ and NO3 should be 60 min [27,33], some studies believe that the concentration of NO3 does not change significantly after 15–30 min of shaking [34,35]. The NH4+ and NO3 concentrations were relatively stable at the late stage of shaking (30–60 min), indicating that 30 min of shaking is long enough to quantitatively extract soil NH4+ and NO3 [35]. For soils with very high mineral nitrogen content, the shaking time may be extended to 60 min. In this study, NH4+ and NO3 were extracted with a shaking time of 30 min.
The storage conditions of the extracts significantly affected the soil NH4+ and NO3 contents. We found that the soil NH4+ or NO3 contents were close to the directly measured values of fresh samples when the un-buffered KCl or DIW extracts were stored at 4 °C. These values were also higher than those at −20 °C (Figure 3d–i). The NH4+ and NO3 contents in extracts stored at −20 °C were only 50–60% and 60–80% of those at 4 °C, respectively. This may be due to the degradation of NH4+ and NO3 due to the freezing or thawing process. A gradual increase in NH4+ and decrease in NO3 in soil extracts stored at 4 °C (Figure 3d–i) was also reported by Li et al. (2012) [33]. Thus, we recommend that the extracted solution be stored at 4 °C and analyzed within 24 h. In addition, we observed significant differences between the NH4+ and NO3 concentrations in Ultisol in the above treatments and other soils (p < 0.05, Figure S2), a phenomenon which suggests that the nature of the soil has an influence on the results of the study.

5. Conclusions

We have fine-tuned our published soil NO2 extraction methods to make them applicable to agricultural soils of different textures and pHs. Un-buffered KCl significantly underestimated soil NO2 concentration compared to DIW. Further studies showed that the shaking time and the storage method significantly affected the NO2 concentration. The highest NO2 recoveries for the three soil NO2 extracted by DIW were obtained at 10 min of shaking. The soil inorganic nitrogen content in extracts stored at 4 °C for one day was closer to the direct measurements of fresh samples than with other storage methods. Overall, the optimal conditions for determination of soil NO2 involved using DIW as the extractant, shaking for 10 min, and passing the solution through a 0.45 µm filter. Soil NH4+ and NO3 were extracted using conventional KCl solution. Both extracts should be measured immediately. Otherwise, they should be stored at 4 °C and analyzed within 24 h. Our study achieved the efficient extraction of soil NO2, NO3, and NH4+, respectively. Further optimization is needed if we want to achieve their efficient extraction at the same time.

Supplementary Materials

The following supporting information can be downloaded at: https://www.mdpi.com/article/10.3390/agronomy14020331/s1, Figure S1: Variation of inorganic nitrogen concentration in different soils; Figure S2: Changes in inorganic nitrogen concentrations in three soils under 1 d of storage at 4 °C.

Author Contributions

Y.S.: data analysis and visualization, writing the manuscript. D.W.: conception, funding acquisition, methodology, review, and editing. P.D.: review and editing. L.Y.: measurement, data analysis, and visualization. L.D.: measurement, data analysis, and visualization. C.L.: supervision, editing. Z.S.: supervision, editing. W.D.: funding acquisition, supervision. Y.Y.: funding acquisition, supervision. All authors have read and agreed to the published version of the manuscript.

Funding

This work was supported by the National Key Research and Development Program of China (2023YFC3707401), National Natural Science Foundation of China (42077083), State Key Laboratory of Atmospheric Boundary Layer Physics and Atmospheric Chemistry (LAPC-KF-2022-09), the Fundamental Research Funds for the Central Universities (2017–2023), Shanghai “Science and Technology Innovation Action Plan” Project (22002400300) and the Priority Academic Program Development of Jiangsu Higher Education Institutions (PAPD).

Data Availability Statement

The original contributions presented in the study are included in the article/supplementary material, further inquiries can be directed to the corresponding authors.

Conflicts of Interest

The authors declare that they have no known competing financial interests or personal relationships that could have appeared to influence the work reported in this paper.

References

  1. Butterbach-Bahl, K.; Dannenmann, M. Denitrification and associated soil N2O emissions due to agricultural activities in a changing climate. Curr. Opin. Environ. Sustain. 2011, 3, 389–395. [Google Scholar] [CrossRef]
  2. Li, Y.; Ju, X.; Wu, D. Transient nitrite accumulation explains the variation of N2O emissions to N fertilization in upland agricultural soils. Soil Biol. Biochem. 2023, 177, 108917. [Google Scholar] [CrossRef]
  3. Kool, D.M.; Dolfing, J.; Wrage, N.; Van Groenigen, J.W. Nitrifier denitrification as a distinct and significant source of nitrous oxide from soil. Soil Biol. Biochem. 2011, 43, 174–178. [Google Scholar] [CrossRef]
  4. Pandey, A.; Suter, H.; He, J.Z.; Hu, H.W.; Chen, D.L. Dissimilatory nitrate reduction to ammonium dominates nitrate reduction in long-term low nitrogen fertilized rice paddies. Soil Biol. Biochem. 2019, 131, 149–156. [Google Scholar] [CrossRef]
  5. Wang, M.; Hu, R.; Ruser, R.; Schmidt, C.; Kappler, A. Role of Chemodenitrification for N2O Emissions from Nitrate Reduction in Rice Paddy Soils. ACS Earth Space Chem. 2020, 4, 122–132. [Google Scholar] [CrossRef]
  6. Nie, S.; Mo, S.; Gao, T.; Yan, B.; Shen, P.; Kashif, M.; Zhang, Z.; Li, J.; Jiang, C. Coupling effects of nitrate reduction and sulfur oxidation in a subtropical marine mangrove ecosystem with Spartina alterniflora invasion. Sci. Total Environ. 2023, 862, 160930. [Google Scholar] [CrossRef]
  7. Müller, C.; Laughlin, R.J.; Spott, O.; Rütting, T. Quantification of N2O emission pathways via a 15N tracing model. Soil Biol. Biochem. 2014, 72, 44–54. [Google Scholar] [CrossRef]
  8. Russow, R.; Stange, C.; Neue, H. Role of nitrite and nitric oxide in the processes of nitrification and denitrification in soil: Results from 15N tracer experiments. Soil Biol. Biochem. 2009, 41, 785–795. [Google Scholar] [CrossRef]
  9. Maharjan, B.; Venterea, R.T. Nitrite intensity explains N management effects on N2O emissions in maize. Soil Biol. Biochem. 2013, 66, 229–238. [Google Scholar] [CrossRef]
  10. Serna, M.; Bañuls, J.; Quiñones, A.; Primo-Millo, E.; Legaz, F. Evaluation of 3,4-dimethylpyrazole phosphate as a nitrification inhibitor in a Citrus-cultivated soil. Biol. Fertil. Soils 2000, 32, 41–46. [Google Scholar] [CrossRef]
  11. Yang, L.; Zhang, X.; Ju, X.; Wu, D. Oxygen-depletion by rapid ammonia oxidation regulates kinetics of N2O, NO and N2 production in an ammonium fertilised agricultural soil. Soil Biol. Biochem. 2021, 163, 108460. [Google Scholar] [CrossRef]
  12. Zhu, G.; Song, X.; Ju, X.; Zhang, J.; Müller, C.; Sylvester-Bradley, R.; Thorman, R.E.; Bingham, I.; Rees, R.M. Gross N transformation rates and related N2O emissions in Chinese and UK agricultural soils. Sci. Total Environ. 2019, 666, 176–186. [Google Scholar] [CrossRef] [PubMed]
  13. Giguere, A.T.; Taylor, A.E.; Suwa, Y.; Myrold, D.D.; Bottomley, P.J. Uncoupling of ammonia oxidation from nitrite oxidation: Impact upon nitrous oxide production in non-cropped Oregon soils. Soil Biol. Biochem. 2017, 104, 30–38. [Google Scholar] [CrossRef]
  14. Venterea, R.; Coulter, J.; Clough, T. Nitrite accumulation and nitrogen gas production increase with decreasing temperature in urea-amended soils: Experiments and modeling. Soil Biol. Biochem. 2020, 142, 10772. [Google Scholar] [CrossRef]
  15. Ma, L.; Shan, J.; Yan, X. Nitrite behavior accounts for the nitrous oxide peaks following fertilization in a fluvo-aquic soil. Biol. Fertil. Soils 2015, 51, 563–572. [Google Scholar] [CrossRef]
  16. Lim, N.Y.N.; Frostegård, Å.; Bakken, L.R. Nitrite kinetics during anoxia: The role of abiotic reactions versus microbial reduction. Soil Biol. Biochem. 2018, 119, 203–209. [Google Scholar] [CrossRef]
  17. Medinets, S.; Skiba, U.; Rennenberg, H.; Butterbach-Bahl, K. A review of soil NO transformation: Associated processes and possible physiological significance on organisms. Soil Biol. Biochem. 2015, 80, 92–117. [Google Scholar] [CrossRef]
  18. Oswald, R.; Behrendt, T.; Ermel, M.; Wu, D.; Su, H.; Cheng, Y.; Breuninger, C.; Moravek, A.; Mougin, E.; Delon, C.; et al. HONO emissions from soil bacteria as a major source of atmospheric reactive nitrogen. Science 2013, 341, 1233–1235. [Google Scholar] [CrossRef]
  19. Song, Y.; Wu, D.; Ju, X.; Dörsch, P.; Wang, M.; Wang, R.; Song, X.; Deng, L.; Wang, R.; Gao, Z.; et al. Nitrite stimulates HONO and NOx but not N2O emissions in Chinese agricultural soils during nitrification. Sci. Total Environ. 2023, 902, 166451. [Google Scholar] [CrossRef]
  20. Homyak, P.M.; Vasquez, K.T.; Sickman, J.O.; Parker, D.R.; Schimel, J.P. Improving Nitrite Analysis in Soils: Drawbacks of the Conventional 2 M KCl Extraction. Soil Sci. Soc. Am. J. 2015, 79, 1237–1242. [Google Scholar] [CrossRef]
  21. Islam, A.; Chen, D.; White, R.E.; Weatherley, A.J. Chemical decomposition and fixation of nitrite in acidic pasture soils and implications for measurement of nitrification. Soil Biol. Biochem. 2008, 40, 262–265. [Google Scholar] [CrossRef]
  22. Reuss, J.O.; Smith, R.L. Chemical Reactions of Nitrites in Acid Soils. Soil Sci. Soc. Am. J. 1965, 29, 267–270. [Google Scholar] [CrossRef]
  23. Nelson, D.W.; Bremner, J.M. Factors affecting chemical transformations of nitrite in soils. Soil Biol. Biochem. 1969, 1, 229–239. [Google Scholar] [CrossRef]
  24. Stevens, R.J.; Laughlin, R.J. Nitrite Transformations during Soil Extraction with Potassium Chloride. Soil Sci. Soc. Am. J. 1995, 59, 933–938. [Google Scholar] [CrossRef]
  25. Fujitake, N.; Kusumoto, A.; Tsukamoto, M.; Kawahigashi, M.; Suzuki, T.; Otsuka, H. Properties of soil humic substances in fractions obtained by sequential extraction with pyrophosphate solutions at different pHs. Soil Sci. Plant Nutr. 1998, 44, 253–260. [Google Scholar] [CrossRef]
  26. Ju, X.; Zhang, C. Nitrogen cycling and environmental impacts in upland agricultural soils in North China: A review. J. Integr. Agric. 2017, 16, 2848–2862. [Google Scholar] [CrossRef]
  27. Tu, Q.; Dou, F.; Salem, H.M. Optimizing Conditions for the Measurement of Soil Inorganic Nitrogen with a Micro-Plate Reader. Glob. J. Agric. Innov. Res. Dev. 2021, 8, 22–31. [Google Scholar]
  28. Ma, B.L.; Ying, J.; Balchin, D. Impact of Sample Preservation Methods on the Extraction of Inorganic Nitrogen by Potassium Chloride. J. Integr. Agric. 2005, 28, 785–796. [Google Scholar] [CrossRef]
  29. Venterea, R.T.; Burger, M.; Spokas, K.A. Nitrogen Oxide and Methane Emissions under Varying Tillage and Fertilizer Management. J. Environ. Qual. 2005, 34, 1467–1477. [Google Scholar] [CrossRef]
  30. Isobe, K.; Koba, K.; Suwa, Y.; Ikutani, J.; Kuroiwa, M.; Fang, Y.; Yohb, M.; Mo, J.; Otsuka, S.; Senoo, S. Nitrite transformations in an N-saturated forest soil. Soil Biol. Biochem. 2012, 52, 61–63. [Google Scholar] [CrossRef]
  31. Nelson, D.W.; Bremner, J.M. Gaseous products of nitrite decomposition in soils. Soil Biol. Biochem. 1970, 2, 203–215. [Google Scholar] [CrossRef]
  32. Zhu, Q.; Ma, L.; Ma, Q.; Li, L.; Chen, B.C.; Liu, Z.G.; Zhang, M. Content of soil mineral nitrogen as influenced by sample extraction and preservation. Chin. J. Eco-Agric. 2012, 20, 138–143. (In Chinese) [Google Scholar] [CrossRef]
  33. Li, K.; Zhao, Y.; Yuan, X.; Zhao, H.; Wang, Z.; Li, S.; Malhi, S. Comparison of Factors Affecting Soil Nitrate Nitrogen and Ammonium Nitrogen Extraction. Commun. Soil Sci. Plant Anal. 2012, 43, 571–588. [Google Scholar] [CrossRef]
  34. Yang, L.; Zhou, G.; Qiu, Z.; Wang, Z.; Yu, B. Study on the Methods of Sample Collection and Keeping in Forest Soil NO3-N Determination. For. Res. 2005, 18, 209–213. (In Chinese) [Google Scholar]
  35. Zhu, J.; Wang, C.; Paerhati, X.Y.; Cao, X.; Hua, Z. Effect of Oscillation and Extraction Time on Measurement of Content of NO3-N and NH4+-N in Soil Held by Different Saving Methods. Xinjiang Agric. Sci. 2014, 51, 761–767. (In Chinese) [Google Scholar]
Figure 1. Variation in pH of soil extracts from different treatments. (a) FS; (b) MS; (c) US. DIW, deionized water; KCl, 2 mol L−1 KCl; PBS 8.4, 8.0, 7.5, 7.0, 6.5, and 6.0 denote phosphate buffer solutions with pH values of 8.4, 8.0, 7.5, 7.0, 6.5, and 6.0, respectively. FS: fluvo-aquic soil; MS: Mollisol; US: Ultisol. Different lowercase letters indicate significant differences at p < 0.05.
Figure 1. Variation in pH of soil extracts from different treatments. (a) FS; (b) MS; (c) US. DIW, deionized water; KCl, 2 mol L−1 KCl; PBS 8.4, 8.0, 7.5, 7.0, 6.5, and 6.0 denote phosphate buffer solutions with pH values of 8.4, 8.0, 7.5, 7.0, 6.5, and 6.0, respectively. FS: fluvo-aquic soil; MS: Mollisol; US: Ultisol. Different lowercase letters indicate significant differences at p < 0.05.
Agronomy 14 00331 g001
Figure 2. Variation in inorganic nitrogen concentration in different treated soils. (ac) are FS, MS, and US NO2 concentrations, and (df) are FS, MS, and US NH4+ and NO3 concentrations, respectively. DIW, deionized water; KCl, 2 mol L−1 KCl; PBS 8.4, 8.0, 7.5, 7.0, 6.5, and 6.0 denote phosphate buffer solutions with pH values of 8.4, 8.0, 7.5, 7.0, 6.5, and 6.0, respectively; FS: fluvo-aquic soil; MS: Mollisol; US: Ultisol. Different lowercase letters indicate a significant difference between treatments for the same species of inorganic nitrogen (p < 0.05).
Figure 2. Variation in inorganic nitrogen concentration in different treated soils. (ac) are FS, MS, and US NO2 concentrations, and (df) are FS, MS, and US NH4+ and NO3 concentrations, respectively. DIW, deionized water; KCl, 2 mol L−1 KCl; PBS 8.4, 8.0, 7.5, 7.0, 6.5, and 6.0 denote phosphate buffer solutions with pH values of 8.4, 8.0, 7.5, 7.0, 6.5, and 6.0, respectively; FS: fluvo-aquic soil; MS: Mollisol; US: Ultisol. Different lowercase letters indicate a significant difference between treatments for the same species of inorganic nitrogen (p < 0.05).
Agronomy 14 00331 g002
Figure 3. Changes in inorganic nitrogen concentration in extracts from different storage methods. (ac) are the concentrations of FS, MS, and US NO2, (df) are the concentrations of FS, MS, and US NO3, (gi) are the concentrations of FS, MS, and US NH4+, respectively.DM, directly measured; −20 °C (1d), stored at −20 °C for 1 day; 4 °C (1d), (3d), and (6d) means that the samples were stored at 4 °C for 1, 3, and 6 days, respectively; FS: fluvo-aquic soil; MS: Mollisol; US: Ultisol. Different lowercase letters indicate a significant difference between treatments for the same soil extract (p < 0.05).
Figure 3. Changes in inorganic nitrogen concentration in extracts from different storage methods. (ac) are the concentrations of FS, MS, and US NO2, (df) are the concentrations of FS, MS, and US NO3, (gi) are the concentrations of FS, MS, and US NH4+, respectively.DM, directly measured; −20 °C (1d), stored at −20 °C for 1 day; 4 °C (1d), (3d), and (6d) means that the samples were stored at 4 °C for 1, 3, and 6 days, respectively; FS: fluvo-aquic soil; MS: Mollisol; US: Ultisol. Different lowercase letters indicate a significant difference between treatments for the same soil extract (p < 0.05).
Agronomy 14 00331 g003
Figure 4. Soil NO2 recovery rate with different oscillation time. DIW, deionized water; 2 M KCl + PBS, 2 mol L−1 KCl, and PBS with different pH values: pH 7.5 of PBS is added to the fluvo-aquic soil, and pH 8.4 of PBS is added to Mollisol and Ultisol; FS: fluvo-aquic soil; MS: Mollisol; US: Ultisol. Different lowercase letters indicate a significant difference between the DIW and KCl + PBS treatments at p < 0.05. Different uppercase letters indicate a significant difference between different oscillation times at p < 0.05.
Figure 4. Soil NO2 recovery rate with different oscillation time. DIW, deionized water; 2 M KCl + PBS, 2 mol L−1 KCl, and PBS with different pH values: pH 7.5 of PBS is added to the fluvo-aquic soil, and pH 8.4 of PBS is added to Mollisol and Ultisol; FS: fluvo-aquic soil; MS: Mollisol; US: Ultisol. Different lowercase letters indicate a significant difference between the DIW and KCl + PBS treatments at p < 0.05. Different uppercase letters indicate a significant difference between different oscillation times at p < 0.05.
Agronomy 14 00331 g004
Disclaimer/Publisher’s Note: The statements, opinions and data contained in all publications are solely those of the individual author(s) and contributor(s) and not of MDPI and/or the editor(s). MDPI and/or the editor(s) disclaim responsibility for any injury to people or property resulting from any ideas, methods, instructions or products referred to in the content.

Share and Cite

MDPI and ACS Style

Song, Y.; Wu, D.; Dörsch, P.; Yue, L.; Deng, L.; Liao, C.; Sha, Z.; Dong, W.; Yu, Y. Adaptation of NO2 Extraction Methods to Different Agricultural Soils: Fine-Tuning Based on Existing Techniques. Agronomy 2024, 14, 331. https://doi.org/10.3390/agronomy14020331

AMA Style

Song Y, Wu D, Dörsch P, Yue L, Deng L, Liao C, Sha Z, Dong W, Yu Y. Adaptation of NO2 Extraction Methods to Different Agricultural Soils: Fine-Tuning Based on Existing Techniques. Agronomy. 2024; 14(2):331. https://doi.org/10.3390/agronomy14020331

Chicago/Turabian Style

Song, Yaqi, Dianming Wu, Peter Dörsch, Lanting Yue, Lingling Deng, Chengsong Liao, Zhimin Sha, Wenxu Dong, and Yuanchun Yu. 2024. "Adaptation of NO2 Extraction Methods to Different Agricultural Soils: Fine-Tuning Based on Existing Techniques" Agronomy 14, no. 2: 331. https://doi.org/10.3390/agronomy14020331

APA Style

Song, Y., Wu, D., Dörsch, P., Yue, L., Deng, L., Liao, C., Sha, Z., Dong, W., & Yu, Y. (2024). Adaptation of NO2 Extraction Methods to Different Agricultural Soils: Fine-Tuning Based on Existing Techniques. Agronomy, 14(2), 331. https://doi.org/10.3390/agronomy14020331

Note that from the first issue of 2016, this journal uses article numbers instead of page numbers. See further details here.

Article Metrics

Back to TopTop