Effect of Subsurface Drainage in Regulating Water on Desalinization and Microbial Communities in Salinized Irrigation Soils
Abstract
1. Introduction
2. Materials and Methods
2.1. Description of the Experimental Site
2.2. Experimental Treatments and Design
2.3. Research Method
2.4. Data Analysis
3. Results
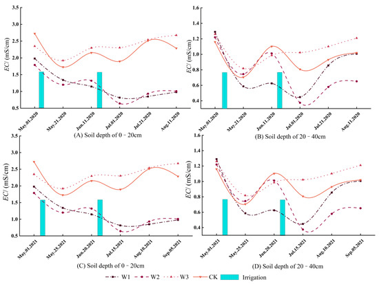
3.1. Distribution Characteristics of Water and Salt in Cultivated Wasteland
3.2. Effects of Water Regulation on Soil Microbial Diversity and Community Structure under Subsurface Drainage
3.3. Effect of Water Regulation on Yield Quality of Sunflower under Subsurface Drainage
3.3.1. Yield Indicators and Water and Nitrogen Use Efficiency in Sunflower
3.3.2. Quality in Sunflower
3.3.3. Correlation Analysis between Soil Microenvironment and Sunflower Yield
3.4. Comprehensive Evaluation of Improvement Effect of Subsurface Drainage Farmland Based on Entropy Weight TOPSIS
- (1)
- Build an original matrix of n indicators for m treatments, where rij is the jth indicator of the ith treatment (i = 1, 2, …, m; j = 1, 2, …, n).
- (2)
- Indicator normalization of the original matrix.
- (3)
- Calculate the information entropy of the jth metric.
- (4)
- Calculate the weights of the indicators using the entropy weighting method.
- (5)
- Determine positive and negative ideal solutions and .
- (6)
- Calculate the distance of each evaluation treatment indicator value from the positive and negative ideal solutions.
- (7)
- Calculate the degree of closeness Ci.
4. Discussion
4.1. Effect of Moisture Regulation on Desalinization Rate under Subsurface Drainage
4.2. Effect of Moisture Regulation on Microorganisms under Subsurface Drainage
4.3. Effect of Water Regulation on Crop Yield Quality under Subsurface Drainage
5. Conclusions
Author Contributions
Funding
Data Availability Statement
Conflicts of Interest
References
- Liu, H.; Wang, X.; Zhang, X.; Zhang, L.; Li, Y.; Huang, G. Evaluation on the responses of maize (Zea mays L.) growth, yield and water use efficiency to drip irrigation water under mulch condition in the Hetao irrigation District of China. Agric. Water Manag. 2017, 179, 144–157. [Google Scholar] [CrossRef]
- Zhang, J.; Xiao, H. Past, Current and Future Prospect for Research on Agricultural Water Use in Irrigation Districts in the Yellow River Basin. J. Irrig. Drain. 2020, 39, 9–17. [Google Scholar] [CrossRef]
- Cao, Z.; Zhu, T.; Cai, X. Hydro-agro-economic optimization for irrigated farming in an arid region: The Hetao Irrigation District, Inner Mongolia. Agric. Water Manag. 2023, 277, 108095. [Google Scholar] [CrossRef]
- Wang, C.; Wu, J.; Zeng, W.; Zhu, Y.; Huang, J. Five-Year Experimental Study on Effectiveness and Sustainability of a Dry Drainage System for Controlling Soil Salinity. Water 2019, 11, 111. [Google Scholar] [CrossRef]
- Feng, L.; Li, W.; Shi, Q.; Zhao, S.; Hao, Y.; Liu, H.; Shi, H. Effects of Irrigation and Nitrogen Application Rates on Protein and Amino Acid Content of Sunflower Seed Kernels. Water 2021, 13, 78. [Google Scholar] [CrossRef]
- Cao, J.; Liu, C.; Zhang, W.; Guo, Y. Effect of integrating straw into agricultural soils on soil infiltration and evaporation. Water Sci. Technol. 2012, 65, 2213–2218. [Google Scholar] [CrossRef]
- Sembiring, H.; Raun, W.; Johnson, G.; Boman, R. Effect of wheat straw inversion on soil water conservation. Soil Sci. 1995, 159, 81–89. [Google Scholar] [CrossRef]
- Haj-Amor, Z.; Bouri, S. Subsurface drainage system performance, soil salinization risk, and shallow groundwater dynamic under irrigation practice in an arid land. Arab. J. Sci. Eng. 2019, 44, 467–477. [Google Scholar] [CrossRef]
- Jafari-Talukolaee, M.; Shahnazari, A.; Ahmadi, M.Z.; Darzi-Naftchali, A. Drain discharge and salt load in response to subsurface drain depth and spacing in paddy fields. J. Irrig. Drain. Eng. 2015, 141, 04015017. [Google Scholar] [CrossRef]
- Xu, X.; Huang, G.; Qu, Z.; Pereira, L.S. Assessing the groundwater dynamics and impacts of water saving in the Hetao Irrigation District, Yellow River basin. Agric. Water Manag. 2010, 98, 301–313. [Google Scholar] [CrossRef]
- Wang, X.; Zhang, H.; Zhang, Z.; Zhang, C.; Zhang, K.; Pang, H.; Bell, S.M.; Li, Y.; Chen, J. Reinforced soil salinization with distance along the river: A case study of the Yellow River Basin. Agric. Water Manag. 2023, 279, 108184. [Google Scholar] [CrossRef]
- Mao, W.; Yang, J.; Zhu, Y.; Ye, M.; Wu, J. Loosely coupled SaltMod for simulating groundwater and salt dynamics under well-canal conjunctive irrigation in semi-arid areas. Agric. Water Manag. 2017, 192, 209–220. [Google Scholar] [CrossRef]
- Ayars, J.E.; Christen, E.W.; Hornbuckle, J. Controlled drainage for improved water management in arid regions irrigated agriculture. Agric. Water Manag. 2006, 86, 128–139. [Google Scholar] [CrossRef]
- Hooper, D.U.; Bignell, D.E.; Brown, V.K.; Brussard, L.; Dangerfield, J.M.; Wall, D.H.; Wardle, D.A.; Coleman, D.C.; Giller, K.E.; Lavelle, P. Interactions between Aboveground and Belowground Biodiversity in Terrestrial Ecosystems: Patterns, Mechanisms, and Feedbacks: We assess the evidence for correlation between aboveground and belowground diversity and conclude that a variety of mechanisms could lead to positive, negative, or no relationship—Depending on the strength and type of interactions among species. Bioscience 2000, 50, 1049–1061. [Google Scholar]
- Xia, Q.; Rufty, T.; Shi, W. Soil microbial diversity and composition: Links to soil texture and associated properties. Soil Biol. Biochem. 2020, 149, 107953. [Google Scholar] [CrossRef]
- Jing, J.; Ming-Hua, S. Review of the roles of plants and soil microorganisms in regulating ecosystem nutrient cycling. Chin. J. Plant Ecol. 2010, 34, 979. [Google Scholar]
- Bach, E.M.; Baer, S.G.; Meyer, C.K.; Six, J. Soil texture affects soil microbial and structural recovery during grassland restoration. Soil Biol. Biochem. 2010, 42, 2182–2191. [Google Scholar] [CrossRef]
- Singh, J.S.; Pandey, V.C.; Singh, D.P. Efficient soil microorganisms: A new dimension for sustainable agriculture and environmental development. Agric. Ecosyst. Environ. 2011, 140, 339–353. [Google Scholar] [CrossRef]
- Liu, C.; Wang, J.; Huang, P.; Hu, C.; Gao, F.; Liu, Y.; Li, Z.; Cui, B. Response of Soil Microenvironment and Crop Growth to Cyclic Irrigation Using Reclaimed Water and Brackish Water. Plants 2023, 12, 2285. [Google Scholar] [CrossRef]
- Singh, A. Poor-drainage-induced salinization of agricultural lands: Management through structural measures. Land Use Policy 2019, 82, 457–463. [Google Scholar] [CrossRef]
- Heng, T.; He, X.-L.; Yang, L.-L.; Xu, X.; Feng, Y. Mechanism of Saline–Alkali land improvement using subsurface pipe and vertical well drainage measures and its response to agricultural soil ecosystem. Environ. Pollut. 2022, 293, 118583. [Google Scholar] [CrossRef]
- Zhao, L.; Heng, T.; Yang, L.; Xu, X.; Feng, Y. Study on the Farmland Improvement Effect of Drainage Measures under Film Mulch with Drip Irrigation in Saline–Alkali Land in Arid Areas. Sustainability 2021, 13, 4159. [Google Scholar] [CrossRef]
- Kirk, J.L.; Beaudette, L.A.; Hart, M.; Moutoglis, P.; Klironomos, J.N.; Lee, H.; Trevors, J.T. Methods of studying soil microbial diversity. J. Microbiol. Methods 2004, 58, 169–188. [Google Scholar] [CrossRef]
- Venter, Z.S.; Jacobs, K.; Hawkins, H.-J. The impact of crop rotation on soil microbial diversity: A meta-analysis. Pedobiologia 2016, 59, 215–223. [Google Scholar] [CrossRef]
- Kimura, M.; Asakawa, S. Comparison of community structures of microbiota at main habitats in rice field ecosystems based on phospholipid fatty acid analysis. Biol. Fertil. Soils 2006, 43, 20–29. [Google Scholar] [CrossRef]
- Schoch, C.L.; Sung, G.-H.; López-Giráldez, F.; Townsend, J.P.; Miadlikowska, J.; Hofstetter, V.; Robbertse, B.; Matheny, P.B.; Kauff, F.; Wang, Z.; et al. The Ascomycota Tree of Life: A Phylum-wide Phylogeny Clarifies the Origin and Evolution of Fundamental Reproductive and Ecological Traits. Syst. Biol. 2009, 58, 224–239. [Google Scholar] [CrossRef]
- Zhao, L.; Xue, N.; Lu, Z.; Xue, L. Pyrrhotite-Based Constructed Wetland–Microbial Fuel Cell: Reactive Brilliant Red X-3B Removal Performance and Microbial Communities. J. Environ. Eng. 2023, 149, 04022086. [Google Scholar] [CrossRef]
- Eichorst Stephanie, A.; Trojan, D.; Huntemann, M.; Clum, A.; Pillay, M.; Palaniappan, K.; Varghese, N.; Mikhailova, N.; Stamatis, D.; Reddy, T.B.K.; et al. One Complete and Seven Draft Genome Sequences of Subdivision 1 and 3 Acidobacteria Isolated from Soil. Microbiol. Resour. Announc. 2020, 9. [Google Scholar] [CrossRef]
- Wilson, A.M.; Wilken, P.M.; van der Nest, M.A.; Wingfield, M.J.; Wingfield, B.D. It’s All in the Genes: The Regulatory Pathways of Sexual Reproduction in Filamentous Ascomycetes. Genes 2019, 10, 330. [Google Scholar] [CrossRef] [PubMed]
- Kruczyńska, A.; Kuźniar, A.; Banach, A.; Jurczyk, S.; Podlewski, J.; Słomczewski, A.; Marzec-Grządziel, A.; Sochaczewska, A.; Gałązka, A.; Wolińska, A. Changes in the mycobiome structure in response to reduced nitrogen fertilization in two cropping systems of maize. Sci. Total Environ. 2023, 904, 166343. [Google Scholar] [CrossRef] [PubMed]
- Muhammad Anjum, F.; Nadeem, M.; Issa Khan, M.; Hussain, S. Nutritional and therapeutic potential of sunflower seeds: A review. Br. Food J. 2012, 114, 544–552. [Google Scholar] [CrossRef]
- Suzuki, T.; Miyata, N. Lysine Demethylases Inhibitors. J. Med. Chem. 2011, 54, 8236–8250. [Google Scholar] [CrossRef] [PubMed]
- Zhang, S.; Tan, Q.; Zhao, H.; Zhang, T. Drainage and Total Nitrogen Loss of Cropland under Drip Irrigation and Subsurface Pipe Drainage. IOP Conf. Ser. Mater. Sci. Eng. 2020, 730, 012064. [Google Scholar] [CrossRef]
- Darabnoush Tehrani, A.; Kohankar Kouchesfehani, Z.; Najafi, M. Review and recommendations for structural testing of buried gravity storm drain pipes and culverts. Can. J. Civ. Eng. 2020, 48, 173–186. [Google Scholar] [CrossRef]
- Sah, R.P.; Chakraborty, M.; Prasad, K.; Pandit, M.; Tudu, V.K.; Chakravarty, M.K.; Narayan, S.C.; Rana, M.; Moharana, D. Impact of water deficit stress in maize: Phenology and yield components. Sci. Rep. 2020, 10, 2944. [Google Scholar] [CrossRef]
- Patanè, C.; Cosentino, S.L. Effects of soil water deficit on yield and quality of processing tomato under a Mediterranean climate. Agric. Water Manag. 2010, 97, 131–138. [Google Scholar] [CrossRef]
- Yu, Y.; Xu, J.; Zhang, P.; Meng, Y.; Xiong, Y. Controlled Irrigation and Drainage Reduce Rainfall Runoff and Nitrogen Loss in Paddy Fields. Int. J. Environ. Res. Public Health 2021, 18, 3348. [Google Scholar] [CrossRef]
- Rothstein, D.E. Effects of amino-acid chemistry and soil properties on the behavior of free amino acids in acidic forest soils. Soil Biol. Biochem. 2010, 42, 1743–1750. [Google Scholar] [CrossRef]
- Wang, D.; Wang, Z.; Zhang, J.; Zhou, B.; Lv, T.; Li, W. Effects of Soil Texture on Soil Leaching and Cotton (Gossypium hirsutum L.) Growth under Combined Irrigation and Drainage. Water 2021, 13, 3614. [Google Scholar] [CrossRef]
- Ritzema, H.P.; Satyanarayana, T.V.; Raman, S.; Boonstra, J. Subsurface drainage to combat waterlogging and salinity in irrigated lands in India: Lessons learned in farmers’ fields. Agric. Water Manag. 2008, 95, 179–189. [Google Scholar] [CrossRef]
- Zhang, J.; Huang, J.; Qian, R.; Zhang, Q.; Gao, J. Lowland artificial watersheds with unique nutrient transport: Response to natural and anthropogenic drivers. J. Hydrol. 2023, 622, 129635. [Google Scholar] [CrossRef]
- Siebielec, S.; Siebielec, G.; Klimkowicz-Pawlas, A.; Gałązka, A.; Grządziel, J.; Stuczyński, T. Impact of Water Stress on Microbial Community and Activity in Sandy and Loamy Soils. Agronomy 2020, 10, 1429. [Google Scholar] [CrossRef]








| Soil Layer (cm) | Soil Density (g cm−3) | Hydrolytic Nitrogen (mg kg−1) | Quick-Acting Phosphorus (mg kg−1) | Quick-Acting Potassium (mg kg−1) | Organic Matter (g kg−1) | Total Salt Content (g kg−1) | |
|---|---|---|---|---|---|---|---|
| Subsurface drainage area | 0–20 | 2.63 | 53.27 | 10.29 | 155.2 | 10.19 | 6.59 |
| 20–40 | 2.65 | 31.65 | 2.69 | 80.31 | 5.18 | 5.46 | |
| Drainage-free area | 0–20 | 2.64 | 48.44 | 13.45 | 111.86 | 9.58 | 6.57 |
| 20–40 | 2.68 | 40.99 | 3.14 | 66.28 | 5.04 | 5.64 |
| Drainage Conditions | Treatment | Irrigation Quota | Number of Irrigation Times | Irrigation Norm (mm) | Base Fertilizer (kg hm−2) | Topdressing (kg hm−2) | |
|---|---|---|---|---|---|---|---|
| Spring Irrigation | Bud Stage | ||||||
| (mm) | |||||||
| Subsurface drainage | W1 | 240 | 90 | 2 | 330 | 67.5 | 210 |
| W2 | 120 | 90 | 2 | 210 | 67.5 | 210 | |
| W3 | 120 | 0 | 1 | 120 | 67.5 | 210 | |
| Drainage-free | CK | 240 | 90 | 2 | 330 | 67.5 | 210 |
| Treatment | Index | Chao1 Index | Shannon Index | |||||||
|---|---|---|---|---|---|---|---|---|---|---|
| Soil Layer/cm | 2020 | 2021 | 2020 | 2021 | ||||||
| 0–20 | 20–40 | 0–20 | 20–40 | 0–20 | 20–40 | 0–20 | 20–40 | |||
| W1 | Bacterial | 4667.25 ab | 4660.12 a | 4095.49 b | 5131.44 b | 10.34 a | 10.64 a | 10.76 a | 10.73 a | |
| W2 | 4897.46 a | 5113.60 a | 4629.27 a | 5508.17 a | 10.41 a | 10.68 a | 10.82 a | 11.03 a | ||
| W3 | 4554.65 b | 4016.74 b | 4254.97 b | 4721.30 c | 10.06 a | 10.56 a | 10.77 a | 10.56 a | ||
| W1 | Fungal | 428.15 a | 602.02 a | 191.45 a | 230.23 a | 2.61 c | 5.03 ab | 4.45 a | 4.78 a | |
| W2 | 448.52 a | 674.94 a | 207.94 a | 258.34 a | 5.78 a | 5.66 a | 4.91 a | 5.04 a | ||
| W3 | 298.61 b | 435.02 b | 111.05 b | 162.03 b | 4.61 b | 4.78 b | 2.61 b | 4.08 b | ||
| Targets | Information Entropy (e) | Information Utility Value (d) | Weights (%) |
|---|---|---|---|
| Yield | 0.547 | 0.453 | 6.495 |
| Essential amino acids | 0.516 | 0.484 | 6.942 |
| Protein | 0.56 | 0.44 | 6.302 |
| Seed weight per tray | 0.615 | 0.385 | 5.518 |
| 100-grain weight | 0.627 | 0.373 | 5.344 |
| Fruiting rate | 0.607 | 0.393 | 5.629 |
| Besalinization rate | 0.63 | 0.370 | 5.310 |
| Fertilizer partial productivity | 0.588 | 0.412 | 5.910 |
| Irrigation water productivity | 0.544 | 0.456 | 6.539 |
| Number of predominant bacteria phyla | 0.545 | 0.455 | 6.526 |
| Fungal abundance | 0.603 | 0.397 | 5.691 |
| Fungal diversity | 0.342 | 0.658 | 9.434 |
| Bacterial diversity | 0.617 | 0.383 | 5.488 |
| Bacterial abundance | 0.201 | 0.799 | 11.452 |
| Crude fat content | 0.483 | 0.517 | 7.418 |
| Index Value | Positive Ideal Solution Distance (D+) | Negative Ideal Solution Distance (D−) | Composite Score Index (C) | Ranking Order |
|---|---|---|---|---|
| W2 | 0.3358 | 0.8305 | 0.7120 | 1 |
| W1 | 0.6723 | 0.6797 | 0.5027 | 2 |
| W3 | 0.8979 | 0.3145 | 0.2594 | 3 |
Disclaimer/Publisher’s Note: The statements, opinions and data contained in all publications are solely those of the individual author(s) and contributor(s) and not of MDPI and/or the editor(s). MDPI and/or the editor(s) disclaim responsibility for any injury to people or property resulting from any ideas, methods, instructions or products referred to in the content. |
© 2024 by the authors. Licensee MDPI, Basel, Switzerland. This article is an open access article distributed under the terms and conditions of the Creative Commons Attribution (CC BY) license (https://creativecommons.org/licenses/by/4.0/).
Share and Cite
Zhang, J.; Zhao, S.; Miao, Q.; Feng, L.; Chi, Z.; Li, Z.; Li, W. Effect of Subsurface Drainage in Regulating Water on Desalinization and Microbial Communities in Salinized Irrigation Soils. Agronomy 2024, 14, 282. https://doi.org/10.3390/agronomy14020282
Zhang J, Zhao S, Miao Q, Feng L, Chi Z, Li Z, Li W. Effect of Subsurface Drainage in Regulating Water on Desalinization and Microbial Communities in Salinized Irrigation Soils. Agronomy. 2024; 14(2):282. https://doi.org/10.3390/agronomy14020282
Chicago/Turabian StyleZhang, Jiapeng, Sha Zhao, Qingfeng Miao, Liang Feng, Zhaonan Chi, Zhen Li, and Weiping Li. 2024. "Effect of Subsurface Drainage in Regulating Water on Desalinization and Microbial Communities in Salinized Irrigation Soils" Agronomy 14, no. 2: 282. https://doi.org/10.3390/agronomy14020282
APA StyleZhang, J., Zhao, S., Miao, Q., Feng, L., Chi, Z., Li, Z., & Li, W. (2024). Effect of Subsurface Drainage in Regulating Water on Desalinization and Microbial Communities in Salinized Irrigation Soils. Agronomy, 14(2), 282. https://doi.org/10.3390/agronomy14020282

