Sowing Rates and Methods Affect Yield and Forage Quality of American Jointvetch in the Southwestern Area of Japan
Abstract
1. Introduction
2. Materials and Methods
2.1. Research Site and Observations
2.2. Sampling and Measurements
2.3. Statistical Analysis
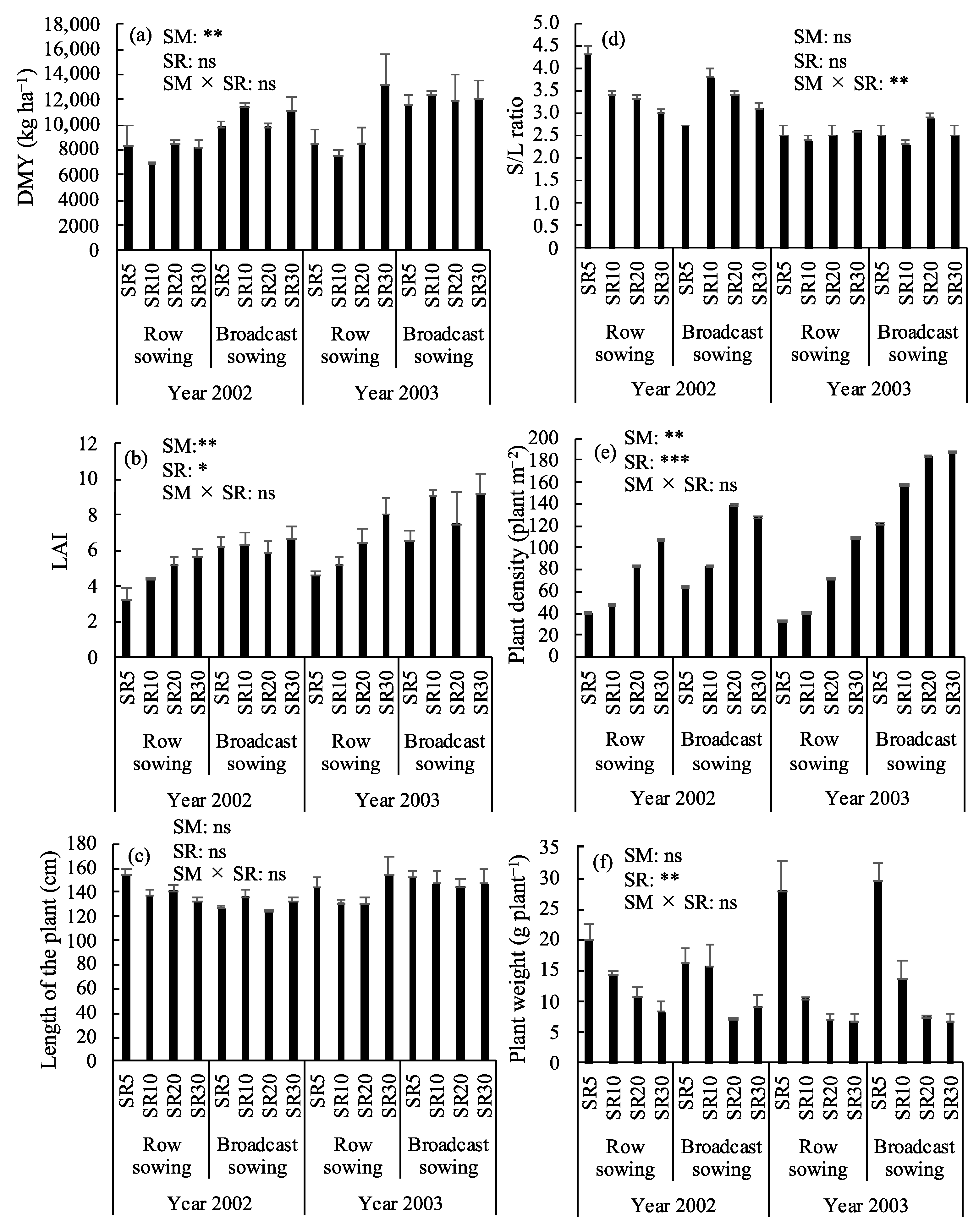
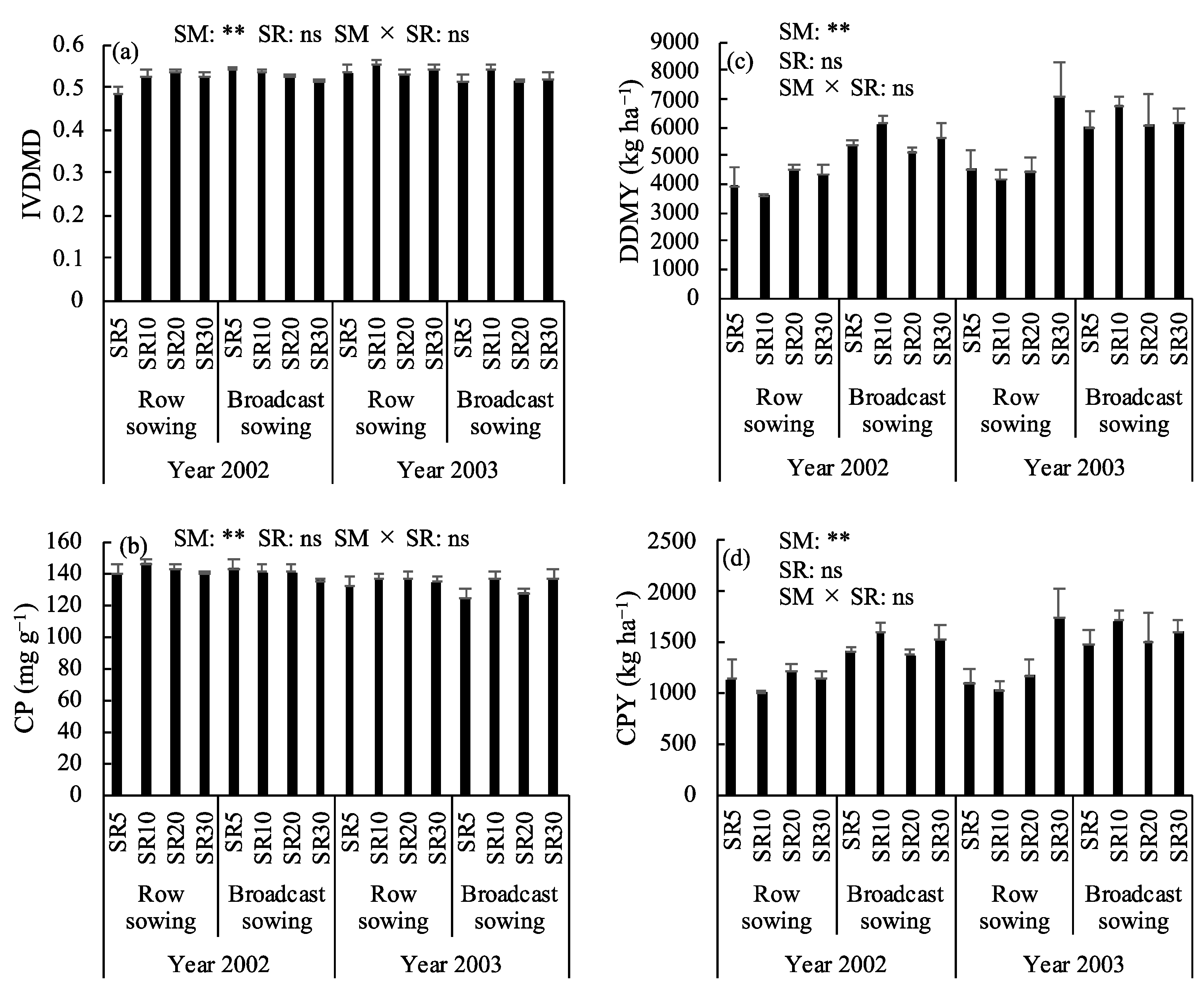
3. Results
3.1. Dry Matter Yield, Growth Characteristics and Forage Quality
3.2. Relationships Between DMY and Growth Characteristics
4. Discussion
4.1. Yield, Growth Characteristics and Forage Quality
4.2. Sowing Method
4.3. Seeding Rate
5. Conclusions
Author Contributions
Funding
Data Availability Statement
Acknowledgments
Conflicts of Interest
References
- Humphreys, L.R. Diversity and productivity of tropical legumes. In Tropical Legumes in Animal Nutrition; D’Mello, J.P.F., Devendra, C., Eds.; CABI Publishing: Wallingford, UK, 1995; pp. 1–12. [Google Scholar]
- Choi, B.; Ohe, M.; Harada, J.; Daimon, H. Role of belowground parts of green manure legumes, Crotalaria spectabilis and Sesbania rostrata, in N uptake by the succeeding tendergreen mustard plant. Plant Prod. Sci. 2008, 11, 116–123. [Google Scholar] [CrossRef]
- Jensen, E.S.; Peoples, M.B.; Boddey, R.M.; Gresshoff, P.M.; Hauggaard-Nielsen, H.; Alves, B.J.R.; Morrison, M.J. Legumes for mitigation of climate change and the provision of feedstock for biofuels and biorefineries. A review. Agron. Sustai. Dev. 2012, 32, 329–364. [Google Scholar] [CrossRef]
- Garzon, J.; Vendramini, J.M.B.; Silveira, M.L.; Dubeux, J.C.B., Jr.; Liao, H.-L.; Sollenberger, L.E.; da Silva, H.M.S.; Gomes, V.C.; de Oliveira, H.M.R. Overseeding aeschynomene and N fertilization effects on forage characteristics, N fixation, and N2O-N emissions of bahiagrass pastures. Crop Sci. 2023, 63, 2594–2607. [Google Scholar] [CrossRef]
- Tobisa, M.; Shimojo, M.; Okano, K.; Masuda, Y. Growth habit of tropical forage legume genus Aeschynomene in the drained paddy field and upland field. Jpn. J. Grassl. Sci. 1999, 45, 248–256. [Google Scholar]
- Tobisa, M.; Shimojo, M.; Nakano, Y.; Okano, K.; Masuda, Y. Dry matter digestibility and nitrogen content of tropical forage legume Aeschynomene americana L. grown in the drained paddy field and upland field. Jpn. J. Grassl. Sci. 2000, 46, 133–142. [Google Scholar]
- Tobisa, M.; Nakano, Y.; Okano, K.; Shimojo, M.; Masuda, Y. The dry matter yield and nutritive value of wet endurance tropical forage legumes in single cropping or mixed cropping with gramineous forage crops in drained paddy field. Trop. Grassl. 2005, 39, 235. [Google Scholar]
- Tobisa, M.; Nakano, Y. Effects of sowing methods and seeding rates on growth and yield characteristics of phasey bean (Macroptilium lathyroides). Grass Forage Sci. 2019, 74, 696–707. [Google Scholar] [CrossRef]
- Japan Meteorological Agency. Climate Database. Japan Meteorological Agency: Tokyo, Japan, 2022. Available online: https://www.jma.go.jp/jma/index.html (accessed on 10 August 2022).
- Bishop, H.G.; Ludke, D.H.; Rutherford, M.T. Glenn joint vetch: A new pasture legume for Queensland coastal areas. Queensl. Agric. J. 1985, 111, 241–245. [Google Scholar]
- Skerman, P.J.; Cameron, D.G.; Riveros, F. Aeschynomene spp. In Tropical Forage Legumes; Skerman, P.J., Cameron, D.G., Riveros, F., Eds.; FAO: Rome, Italy, 1988; pp. 205–211. [Google Scholar]
- Cook, B.G.; Pengelly, B.C.; Schultze-Kraft, R.; Taylor, M.; Burkart, S.; Cardoso Arango, J.A.; González Guzmán, J.J.; Cox, K.; Jones, C.; Peters, M. Tropical Forages: An Interactive Selection Tool, 2nd, revised ed.; International Center for Tropical Agriculture (CIAT): Cali, Colombia; International Livestock Research Institute (ILRI): Nairobi, Kenya, 2020. Available online: https://www.tropicalforages.info/text/intro/index.html (accessed on 11 February 2023).
- Pitman, W.D.; Kretschmer, A.E. Legumes for tropical and subtropical areas. In Forages: The Science of Grassland Agriculture, 6th ed.; Barnes, R.F., Nelson, C.J., Moore, K.J., Collins, M., Eds.; Blackwell Publishing: Ames, IA, USA, 2007; Volume 2, pp. 191–210. [Google Scholar]
- Sollenberger, L.E.; Collins, M. Legumes for southern area. In Forages: An Introduction to Grassland Agriculture, 7th ed.; Collins, M., Nelson, C.J., Moore, K.J., Barnes, R.F., Eds.; Wiley: Blackwell, OK, USA, 2018; Volume 1, pp. 133–149. [Google Scholar]
- Tobisa, M.; Shimojo, M.; Masuda, Y. Root distribution and nitrogen fixation activity of tropical forage legume American jointvetch (Aeschynomene americana L.) cv. Glenn under waterlogging conditions. Int. J. Agron. 2014, 2014, 507405. [Google Scholar] [CrossRef]
- Garzon, J.; Vendramini, J.M.B.; Silveira, M.L.; Dubeux, J.C.B., Jr.; Sollenberger, L.E.; Liao, H.-L.; da Silva, H.M.S.; Gomes, V.C.; Oliveira, H.M.R.; Moriel, P. Aeschynomene overseeding and nitrogen fertilization effects in bahiagrass litter decomposition. Agron. J. 2024, 116, 1455–1465. [Google Scholar] [CrossRef]
- Hall, M.H.; Vough, L.R. Forage establishment and renovation. In Forages: The Science of Grassland Agriculture, 6th ed.; Barnes, R.F., Nelson, C.J., Moore, K.J., Collins, M., Eds.; Blackwell Publishing: Ames, IA, USA, 2007; Volume 2, pp. 343–354. [Google Scholar]
- Vitorino, H.S.; Junior, A.C.S.; Goncalves, C.G.; Martins, D. Interference of a weed community in the soybean crop in functions of sowing spacing. Rev. Ciência Agronômica 2017, 48, 605–613. [Google Scholar] [CrossRef]
- Hall, M.H.; Collins, M. Forage establishment. In Forages: An Introduction to Grassland Agriculture, 7th ed.; Collins, M., Nelson, C.J., Moore, K.J., Barnes, R.F., Eds.; Wiley: Blackwell, OK, USA, 2018; Volume 1, pp. 221–233. [Google Scholar]
- Ahmad, J.; Iqbal, A.; Ayub, M.; Akhtar, J. Forage yield potential and quality attributes of alfalfa (Medicago sativa L.) under various agro-management techniques. J. Anim. Plant Sci. 2016, 26, 465–474. [Google Scholar]
- Ball, B.C. Cereal production with broadcast seed and reduced tillage-A review of recent experimental and farming experience. J. Agric. Eng. Res. 1986, 35, 71–95. [Google Scholar] [CrossRef]
- Heege, H.J. Seeding methods performance for cereals, rape, and beans. Trans. ASAE 1993, 36, 653–661. [Google Scholar] [CrossRef]
- Brennan, E.B.; Leap, J.E. A comparison of drill and broadcast methods for establishing cover crops on beds. HortScience 2014, 49, 441–447. [Google Scholar] [CrossRef]
- Edwards, L. Comparison of two spring seeding methods to establish forage cover crops in relay with winter cereals. Soil Till. Res. 1998, 45, 227–235. [Google Scholar] [CrossRef]
- Tesfay, T.; Gebresamuel, G. Agronomic and economic evaluations of compound fertilizer applications under different planting methods and seed rates of tef (Eragrostis tef (Zucc.) Trotter) in northern Ethiopia. J. Drylands 2016, 6, 409–422. [Google Scholar]
- Shirtliffe, S.J.; Johnston, A.M. Yield-density relationships and optimum plant populations in two cultivars of solid-seeded fry bean (Phaseolus vulgaris L.) grown in Saskatchewan. Can. J. Plant Sci. 2002, 82, 521–529. [Google Scholar] [CrossRef]
- Mligo, J.K.; Craufurd, P.Q. Productivity and optimum plant density of pigeonpea in different environments in Tanzania. J. Agric. Sci. 2007, 145, 343–351. [Google Scholar] [CrossRef]
- Baird, J.M.; Walley, F.L.; Shirtliffe, S.J. Optimal seeding rate for organic production of field pea in the northern Great Plains. Can. J. Plant Sci. 2009, 89, 455–464. [Google Scholar] [CrossRef]
- Atis, I.; Kokten, K.; Hatipoglu, R.; Yilmaz, S.; Atak, M.; Can, E. Plant density and mixture ratio effects on the competition between common vetch and wheat. Aust. J. Crop Sci. 2012, 6, 498–505. [Google Scholar]
- Read, J.J.; McLaughlin, M.R.; Jenkins, J.N.; Fairbrother, T.E. Berseem clover seeding rate and harvest management effects on forage yields and nutrient uptake in a swine effluent spray field. Grass Forage Sci. 2013, 69, 365–375. [Google Scholar] [CrossRef]
- Turk, M.A.; Tawaha, A.-R.M. Impact of seeding rate, seeding date, rate and method of phosphorus application in faba bean (Vicia faba L. minor) in the absence of moisture stress. Biotechnol. Agron. Soc. Environ. 2002, 6, 171–178. [Google Scholar]
- Hall, M.H.; Nelson, C.J.; Coutts, J.H.; Stout, R.C. Effect of seeding rate on alfalfa stand longevity. Agron. J. 2004, 96, 717–722. [Google Scholar] [CrossRef]
- Turk, M.A.; Tawaha, A.-R.M.; El-Shatnawi, M.K.J. Response of Lentil (Lens culinaris Medik) to plant density, sowing date, phosphorus fertilization and ethephon application in the absence of moisture stress. J. Agron. Crop Sci. 2003, 189, 1–6. [Google Scholar] [CrossRef]
- Yu, C.-L.; Hui, D.; Johnston, T.; Porter, K.; Miller, C.; Duseja, D.; Tegegne, F. Field performance and yield of four pigeonpea varieties in middle Tennessee. Agron. J. 2014, 106, 2202–2208. [Google Scholar] [CrossRef]
- López-Bellido, F.J.; López-Bellido, L.; López-Bellido, R.J. Competition, growth and yield of faba bean (Vicia faba L.). Eur. J. Agron. 2005, 23, 359–378. [Google Scholar] [CrossRef]
- Maldonado-Peralta, M.d.l.Á.; Rojas-García, A.R.; Cristobal-Santiago, O. Yield and chemical quality of chepil (Crotalaria longirostrata Hook. & Arn) forage at different seeding densities and cutting frequency. Agrociencia 2023, 57, 2695. [Google Scholar] [CrossRef]
- Vendramini, J.; Silveira, M.L.A. Aeschynomene. SS-AGR-61. In Florida Forage Handbook; originally written by Chambliss, C.G., Kalmbacher, R.S., Adjei, M.B.; revised by Vendramini, J., Newman, Y.C., Silveira, M.L.A.; University of Florida: Gainesville, FL, USA, 2020; pp. 1–3. Available online: https://edis.ifas.ufl.edu/publication/AA189 (accessed on 10 August 2022).
- AOAC Official Methods of Analysis, 15th ed.; Association of Official Analytical Chemists: Arlington, VA, USA, 1990.
- Goto, I.; Minson, D.J. Prediction of the dry matter digestibility of tropical grasses using a pepsin-cellulase assay. Anim. Feed Sci. Technol. 1977, 2, 247–253. [Google Scholar] [CrossRef]
- Cinar, S.; Ozkurt, M.; Cetin, R. Effects of nitrogen fertilization rates on forage yield and quality of annual ryegrass (Lolium multiflorum L.) in Central Black Sea Climatic Zone in Turkey. Appl. Ecol. Environ. Res. 2020, 18, 417–432. [Google Scholar] [CrossRef]
- Mislevy, P.; Kalmbacher, R.S.; Martin, F.G. Cutting management of the tropical legume American jointvetch. Agron. J. 1981, 73, 771–775. [Google Scholar] [CrossRef]
- Pearson, C.J.; Ison, R.L. Herbage quality and animal intake. In Agronomy of Grassland Systems; Pearson, C.J., Ison, R.L., Eds.; Cambridge University Press: Cambridge, UK, 1997; pp. 119–139. [Google Scholar]
- St Aime, R.; Noh, E.; Bridges, W.C., Jr.; Narayanan, S. A comparison of drill and broadcast planting methods for biomass production of two legume cover crops. Agronomy 2022, 12, 79. [Google Scholar] [CrossRef]
- Gondal, M.R.; Arshad, M.; Ali, N.; Rizvi, S.A.; Jahangeer, A.; Ijaz, S.; Ashraf, M.S.; Khan, M.N.; Iqbal, N.; Idrees, M. Appropriate sowing technique to enhance productivity and maximize the net return of alfalfa crop. Int. J. Agric. Technol. 2022, 18, 1477–1486. [Google Scholar]
- Khan, M.B.; Yousaf, F.; Hussain, M.; Haq, M.W.; Lee, D.J.; Farooq, M. Influence of planting methods on root development, crop productivity and water use efficiency in maize hybrids. Chilean J. Agric. Res. 2012, 72, 556–563. Available online: https://www.scielo.cl/pdf/chiljar/v72n4/at15.pdf (accessed on 10 August 2022). [CrossRef]
- Worku, M.; Astatkie, T. Row and plant spacing effects on yield and yield components of soya bean varieties under hot humid tropical environment of Ethiopia. J. Agron. Crop Sci. 2011, 197, 67–74. [Google Scholar] [CrossRef]
- Mattera, J.; Romero, L.A.; Cuatrín, A.L.; Cornaglia, P.S.; Grimoldi, A.A. Yield components, light interception and radiation use efficiency of lucerne (Medicago sativa L.) in response to row spacing. Eur. J. Agron. 2013, 45, 87–95. [Google Scholar] [CrossRef]
- Skinner, R.H. Emergence and survival of pasture species sown in monocultures or mixtures. Agron. J. 2005, 97, 799–805. [Google Scholar] [CrossRef]
- Pearson, C.J.; Ison, R.L. Vegetative growth. In Agronomy of Grassland Systems; Pearson, C.J., Ison, R.L., Eds.; Cambridge University Press: Cambridge, UK, 1997; pp. 60–82. [Google Scholar]
- Pengelly, B.C.; Blamey, F.P.C.; Muchow, R.C. Radiation interception and the accumulation of biomass and nitrogen by soybean and three tropical annual forage legumes. Field Crop. Res. 1999, 63, 99–112. [Google Scholar] [CrossRef]
- Weiner, J.; Freckleton, R.P. Constant final yield. Annu. Rev. Ecol. Evol. Syst. 2010, 41, 173–192. [Google Scholar] [CrossRef]
- Cavalieri, A.; Groß, D.; Dutay, A.; Weiner, J. Do plant communities show constant final yield? Ecology 2022, 103, e3802. [Google Scholar] [CrossRef] [PubMed]
- Roscher, C.; Schumacher, J.; Weisser, W.W.; Schmid, B.; Schulze, E.-D. Detecting the role of individual species for overyielding in experimental grassland communities composed of potentially dominant species. Oecologia 2007, 154, 535–549. [Google Scholar] [CrossRef] [PubMed]
- Hagihara, A. Theoretical considerations on the C-D effect in self-thinning plant populations. Res. Popul. Ecol. 1999, 41, 151–159. [Google Scholar] [CrossRef]
- Jaramillo, D.M.; Dubeux, J.C.B., Jr.; Vendramini, J.M.B.; Queiroz, L.M.D.; Santos, E.R.S.; Ruiz-Moreno, M.; Garcia, L.; de Abreu, D.S.; de Miranda, L.R.; de Siqueira, M.C.F. Establishment techniques affect productivity, nutritive value and atmospheric N2 fixation of two sunn hemp cultivars. Grass Forage Sci. 2020, 75, 153–158. [Google Scholar] [CrossRef]





| Item | Contents |
|---|---|
| Plant species, cultivar | American jointvetch (Aeschynomene americana L.) cv. “Glenn” |
| Treatment | Sowing methods (SM): row sowing (RS) and broadcast sowing (BS), Seeding rates (SR): 5, 10, 20, or 30 kg ha−1; designated SR5, SR10, SR20, or SR30 |
| Experimental design | 24 plots, each measuring 2 × 2 m, arranged in a randomized complete block design with a split plot configuration and three replications |
| Seeding dates | 11 July 2002 and 4 June 2003 |
| Fertilizer application | 50 kg N ha−1, 100 kg P2O5 ha−1, and 100 kg K2O ha−1 as an individual basal dressing |
| Sampling dates | 4 November 2002 (116 days after seeding) and 1 October 2003 (119 days after seeding) |
| Evaluation parameters | Length of the plants, leaf area index (LAI), plant density, dry matter (DM) weight and yield (DMY), crude protein (CP) content, in vitro dry matter digestibility (IVDMD), crude protein yield (CPY), and digestible dry matter yield (DDMY) |
| Relationship Item | Equation | r Value | p Value |
|---|---|---|---|
| DMY–PD | Total; DMY = 29.54 × PD + 7018 | 0.751 | 0.001 |
| DDMY–PD | Total; DDMY = 14.90 × PD + 3755 | 0.707 | 0.01 |
| CPY–PD | Total; CPY = 3.54 × PD + 1003 | 0.726 | 0.01 |
| DMY–LAI | Total; DMY = 1036.2 × LAI + 3475 BS; DMY = 596.6 × LAI + 6973 RS; DMY = 1053.7 × LAI + 3039 | 0.846 0.799 0.776 | 0.001 0.05 0.05 |
| DDMY–LAI | Total; DDMY = 565.7 × LAI + 1699 BS; DDMY = 301.8 × LAI + 3745 RS; DDMY = 634.0 × LAI + 1183 | 0.861 0.773 0.838 | 0.001 0.05 0.01 |
| CPY–LAI | Total; CPY = 128.1 × LAI + 554.4 BS; CPY = 65.6 × LAI + 1051.6 RS; CPY = 130.0 × LAI + 494.7 | 0.842 0.780 0.786 | 0.001 0.05 0.05 |
| DDMY–DMY | Total; DDMY = 0.529 × DMY + 26.5 BS; DDMY = 0.494 × DMY + 349.7 RS; DDMY = 0.549 × DMY + 186.2 | 0.986 0.945 0.984 | 0.001 0.001 0.001 |
| CPY–DMY | Total; CPY = 0.122 × DMY + 145.4 BS; CPY = 0.096 × DMY + 443.8 RS; CPY = 0.121 × DMY + 144.2 | 0.979 0.851 0.990 | 0.001 0.01 0.001 |
| CP–DMY | Total; CP = −0.0014 × DMY + 151.3 | −0.507 | 0.05 |
| LAI–PD | Total; LAI = 0.026 × PD + 3.634 RS; LAI = 0.034 × PD + 3.077 | 0.820 0.753 | 0.001 0.05 |
| PD–SR | Total; PD = 0.112 × SR + 54.20 RS; PD = 0.119 × SR + 18.08 | 0.551 0.987 | 0.05 0.001 |
| IVDMD–S/L | Total; IVDMD = −0.017 × S/L + 0.577 RS; IVDMD = −0.026 × S/L + 0.609 | −0.567 −0.866 | 0.05 0.01 |
| PW–PD | RS; PW = −0.177 × PD + 24.96 | −0.737 | 0.05 |
| DMY–PL | BS; DMY = 84.43 × PL + 459.5 | 0.895 | 0.01 |
| CP–PL | BS; CP = −0.469 × PL + 200.9 | −0.768 | 0.05 |
Disclaimer/Publisher’s Note: The statements, opinions and data contained in all publications are solely those of the individual author(s) and contributor(s) and not of MDPI and/or the editor(s). MDPI and/or the editor(s) disclaim responsibility for any injury to people or property resulting from any ideas, methods, instructions or products referred to in the content. |
© 2024 by the authors. Licensee MDPI, Basel, Switzerland. This article is an open access article distributed under the terms and conditions of the Creative Commons Attribution (CC BY) license (https://creativecommons.org/licenses/by/4.0/).
Share and Cite
Tobisa, M.; Nakano, Y. Sowing Rates and Methods Affect Yield and Forage Quality of American Jointvetch in the Southwestern Area of Japan. Agronomy 2024, 14, 2963. https://doi.org/10.3390/agronomy14122963
Tobisa M, Nakano Y. Sowing Rates and Methods Affect Yield and Forage Quality of American Jointvetch in the Southwestern Area of Japan. Agronomy. 2024; 14(12):2963. https://doi.org/10.3390/agronomy14122963
Chicago/Turabian StyleTobisa, Manabu, and Yutaka Nakano. 2024. "Sowing Rates and Methods Affect Yield and Forage Quality of American Jointvetch in the Southwestern Area of Japan" Agronomy 14, no. 12: 2963. https://doi.org/10.3390/agronomy14122963
APA StyleTobisa, M., & Nakano, Y. (2024). Sowing Rates and Methods Affect Yield and Forage Quality of American Jointvetch in the Southwestern Area of Japan. Agronomy, 14(12), 2963. https://doi.org/10.3390/agronomy14122963

