Regularity of Artemisia argyi Harvest Time and Its Response to Meteorological Factors
Abstract
1. Introduction
2. Materials and Methods
2.1. Plant Material
2.2. Experimental Design
2.3. Determination of Growth Traits
2.4. Determination of Photosynthetic Characteristics
2.5. Dry Matter Accumulation and Model Construction
2.6. Determination of Quality Index
2.6.1. Main Volatile Ingredient Contents
2.6.2. Output Rate of Moxa
2.6.3. Contents of Eight Flavonoids and Phenolic Acids
2.7. Statistics of Meteorological Factors
2.8. Statistical Analysis
3. Results
3.1. Dynamic Changes in Growth Traits
3.2. Dry Matter Accumulation Characteristics
3.2.1. Dynamic Changes in Dry Matter Accumulation and Distribution
3.2.2. Logistic Model of Dry Matter Accumulation and Growth Time
3.3. Photosynthetic Characteristics at Different Growth Stages
3.4. Dynamic Changes in A. argyi Quality
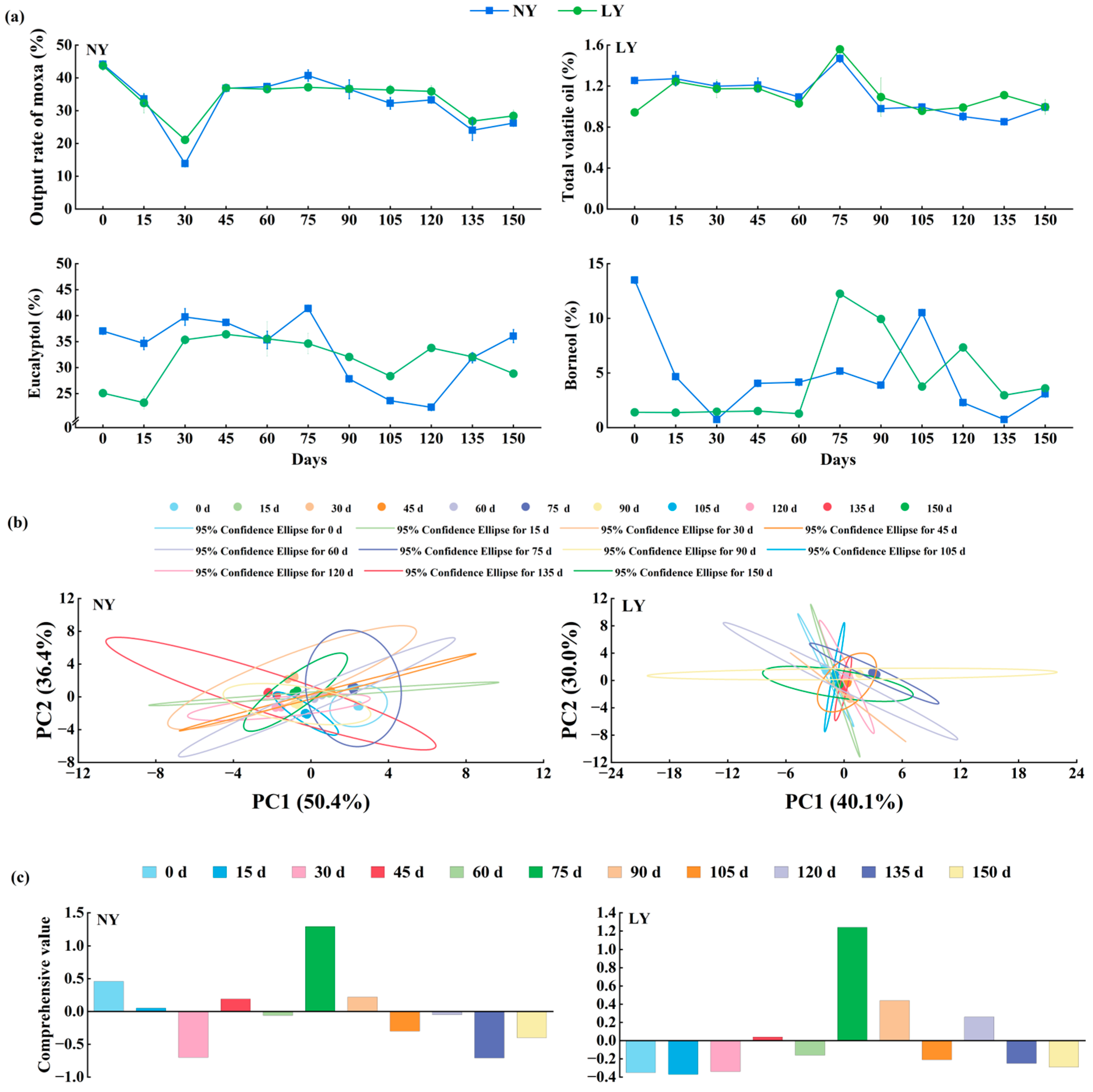
3.4.1. Dynamic Changes in Output Rate of Moxa and Main Volatile Ingredient Contents
3.4.2. Dynamic Changes in Contents of Eight Flavonoids and Phenolic Acids
3.4.3. Principal Component Analysis of the Contents of Eight Flavonoids and Phenolic Acids
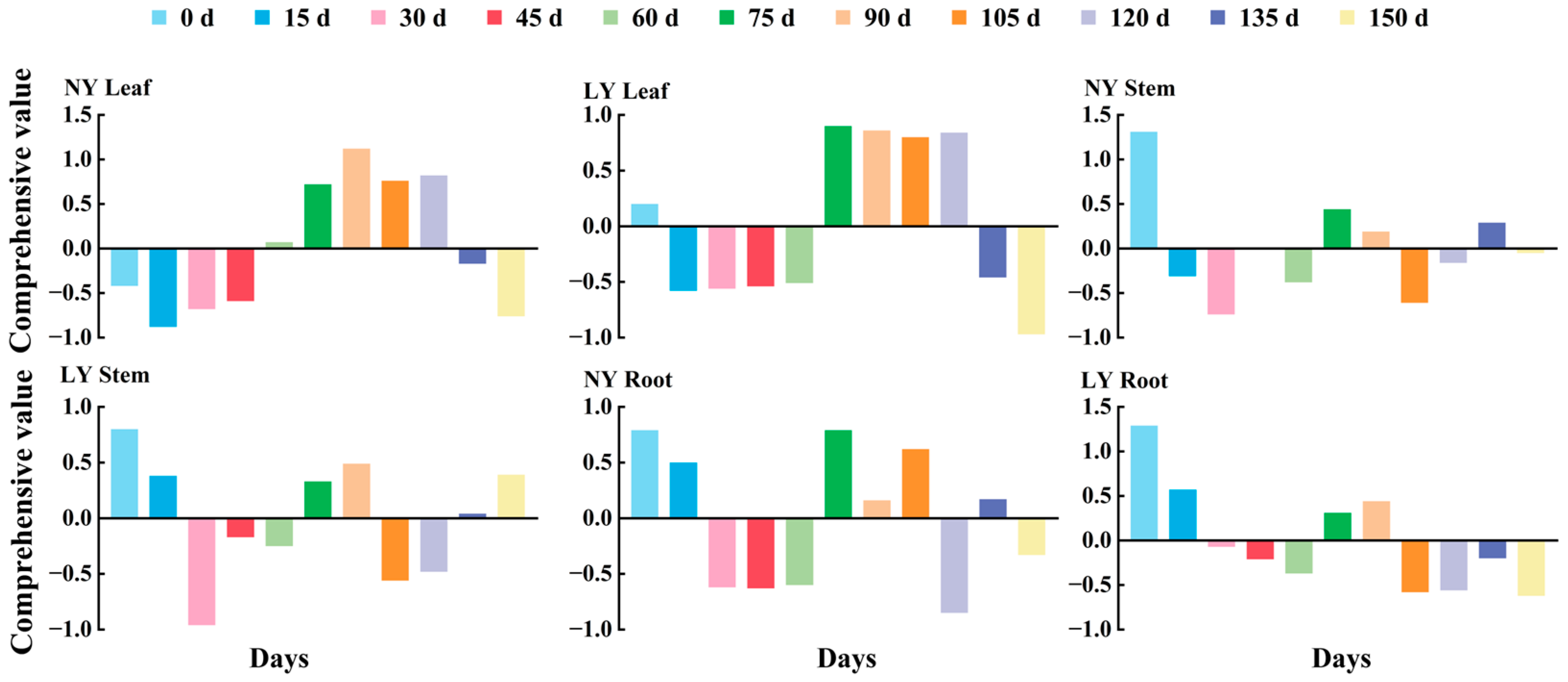
3.4.4. Comprehensive Evaluation of the Contents of Eight Flavonoids and Phenolic Acids
3.5. Effect of Meteorological Factors on Dry Matter Accumulation and Quality
3.5.1. Correlation Analysis
3.5.2. Stepwise Regression Analysis
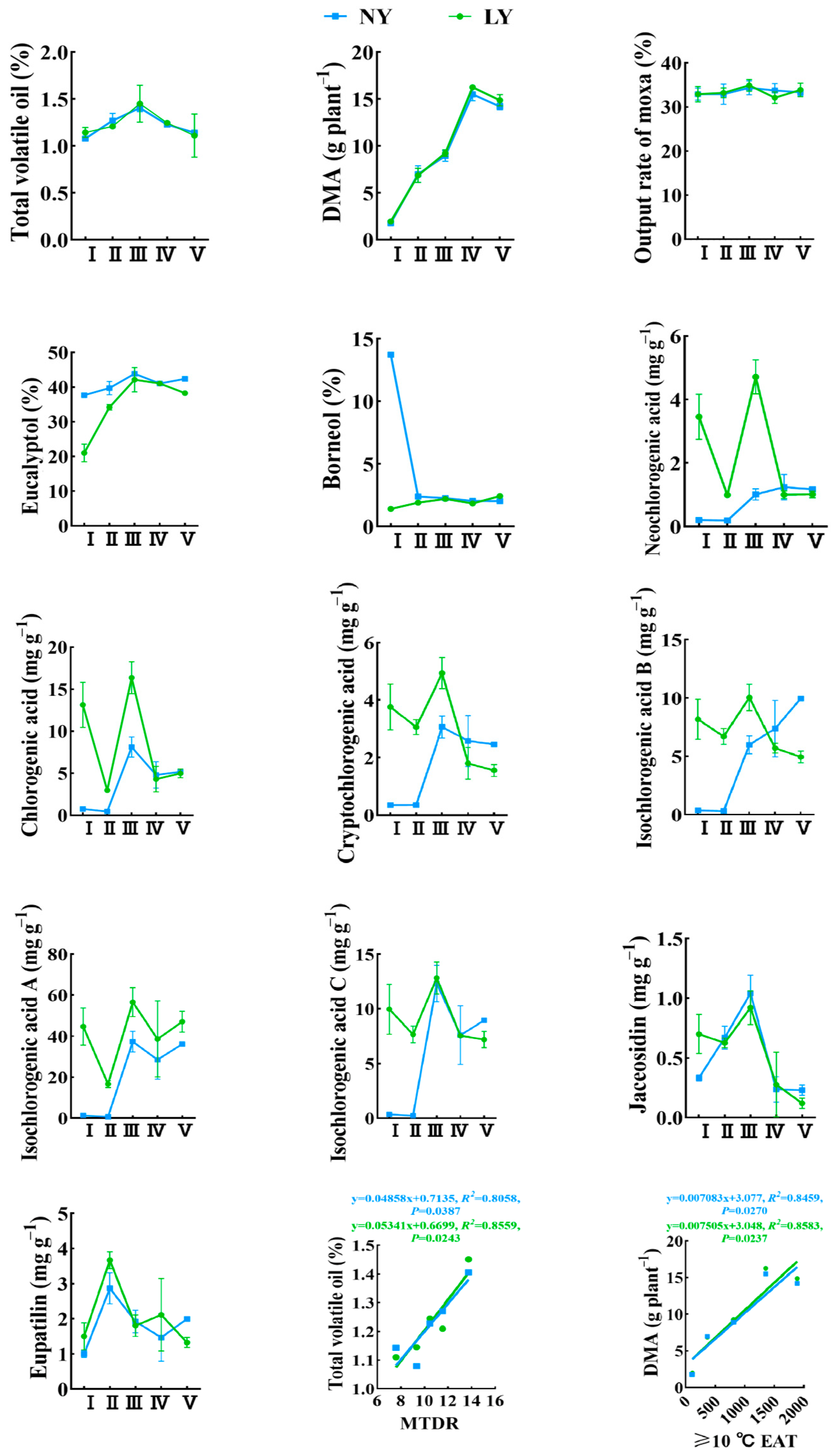
3.6. Verification of the Optimal Harvest Time of A. argyi
4. Discussion
4.1. Determination of Optimal Harvest Time
4.2. Rules of Dry Matter Accumulation and Distribution
4.3. Characteristics of Growth Traits and Photosynthesis in Different Growth Periods
4.4. Meteorological Factors Regulated the Harvest Time of A. argyi
5. Conclusions
Author Contributions
Funding
Data Availability Statement
Acknowledgments
Conflicts of Interest
References
- Chen, C.J.; Luo, D.D.; Miao, Y.H.; Kang, L.P.; Guo, L.P.; Liu, D.H.; Huang, L.Q. Analysis and evaluation of volatile oil content in leaves of different Artemisia argyi germplasm resources. China J. Chin. Mat. Med. 2021, 46, 3814–3823. [Google Scholar] [CrossRef]
- Zhou, J.; Li, Y.; Liu, Y.; Zhang, H.; Di, Z.B.; Wan, Z.X.; Su, T.S.; Wang, C.L. Research status analysis of main chemical constituents in Artemisia argyi leaves from different producing areas. Chin. Tradit. Herb. Drugs 2022, 53, 4882–4894. [Google Scholar]
- Li, H.; Chen, X.Y.; Zhu, Z.; Wang, Y.J.; Luo, B.L.; Mei, Q.X. The modern research progress of Artemisia argyi. J. Chin. Med. Mat. 2022, 45, 765–769. [Google Scholar] [CrossRef]
- Chen, L.; Li, J.X.; Zhu, Y.Y.; Zhao, T.T.; Guo, L.J.; Kang, L.P.; Yu, J.Q.; Du, H.Z.; Liu, D.H. Weed suppression and molecular mechanisms of isochlorogenic acid A isolated from Artemisia argyi extract via an Activity-guided method. J. Agric. Food Chem. 2022, 70, 1494–1506. [Google Scholar] [CrossRef]
- Beigh, Y.A.; Masood, D.; Ganai, A.M.; Ahmad, H.A.; Muzamil, S.; Mir, S.H. Impact of dietary inclusion of wormwood (Artemisia absinthium Linn.) herb on blood metabolic profile in sheep. Med. Plants-Int. J. Phytomed. 2019, 11, 427–434. [Google Scholar] [CrossRef]
- Kang, S.H.; Kim, K.; Lee, J.H.; Ahn, B.O.; Won, S.Y.; Sohn, S.H.; Kim, J.S. The complete chloroplast genome sequence of medicinal plant, Artemisia argyi. Mitochondrial DNA B 2016, 1, 257–258. [Google Scholar] [CrossRef][Green Version]
- Chen, C.J.; Ma, L.; Miao, Y.H.; Fang, Y.; Guo, L.P.; Liu, D.H. Effects of phosphorus application rate on the growth and quality of Artemisia argyi. J. Plant Nut. Fertilizer. 2021, 27, 1420–1431. [Google Scholar] [CrossRef]
- Gao, L.; Yang, G.J. Evaluation of volatile components in Artemisia Argyi Levl. et in different growth periods. China Phar. 2020, 23, 1531–1534. [Google Scholar] [CrossRef]
- Hong, Z.G.; Wei, H.S.; Zhang, L.L.; Lv, F.; Wu, H.G. Study on the yield and chemical components of the volatile oil from Artemisiae argyi Levl. et Vant. gathered in different growing period. J. South-Cent. Univ Natl. (Nat. Sci. Ed.) 2013, 32, 32–35. [Google Scholar] [CrossRef]
- Jiang, J.M.; Guo, Q.S.; Jin, J.Q.; Tian, T.; Liu, Y.; Wang, Q.L.; Wei, J.H. Analysis and suggestions on harvest period standards of plant medicinal materials in 2020 edition of Chinese Pharmacopoeia. China J. Chin. Mat. Med. 2022, 47, 846–852. [Google Scholar] [CrossRef]
- Sun, X.B.; Zhang, P.L.; Wang, Z.H.; Wang, Y.J. Potential of multi-seasonal vegetation indices to predict rice yield from UAV multispectral observations. Precis. Agric. 2024, 25, 1235–1261. [Google Scholar] [CrossRef]
- Pankaj, Y.K.; Kumar, R.; Gill, K.S.; Nagarajan, R. Unravelling QTLs for non-destructive and yield-related traits under timely, late and very late sown conditions in wheat (Triticum aestivum L.). Plant Mol. Biol. Rep. 2024, 42, 369–382. [Google Scholar] [CrossRef]
- Liu, Y.J.; Zhang, J.; Ge, Q.S. The optimization of wheat yield through adaptive crop management in a changing climate: Evidence from China. J. Sci. Food Agric. 2021, 101, 3644–3653. [Google Scholar] [CrossRef] [PubMed]
- Chen, Q.Q.; Zhang, C.Y.; Chen, Y.K.; Wang, C.Q.; Lai, Z.X. Transcriptomic analysis for diurnal temperature differences reveals gene-regulation-network response to accumulation of bioactive ingredients of protocorm-like bodies in Dendrobium officinale. Plants 2024, 13, 874. [Google Scholar] [CrossRef]
- Zhang, C.L.; Yang, D.F.; Liang, Z.S.; Liu, J.L.; Yan, K.J.; Zhu, Y.H.; Yang, S.S. Climatic factors control the geospatial distribution of active ingredients in Salvia miltiorrhiza Bunge in China. Sci. Rep. 2019, 9, 904. [Google Scholar] [CrossRef]
- Wang, J.J.; Hao, W.F.; Zhang, J.W.; Shu, Z.M. Response of volatiles of Artemisiae argyi folium to climatic factors. China J. Chin. Mater. Med. 2018, 43, 3163–3170. [Google Scholar] [CrossRef]
- Chen, L.; Feng, Z.D.; Ran, M.; Hui, Z.C.; Li, K.F.; Li, H.B.; Liu, C.; Zhang, Y.Y. The 4.2 ka BP climate event and human activities in Luoyang Basin of Central Plains of China. Chin. Sci. Bull. 2023, 68, 546–562. [Google Scholar] [CrossRef]
- Song, M.D.; Li, Z.P.; Zhan, S.T.; Li, F. Effects of film mulching and biochar application on potato dry matter accumulation and distribution dynamic. Acta Agr. Boreali-Occident. Sin. 2022, 31, 448–456. [Google Scholar] [CrossRef]
- Wang, X.; Deng, Y.; Zhang, L.; Zheng, G.; Chen, L.; Fang, Y. Identification and determination of phenolic acids and flavonoids in Artemisiae argyi Folium by UPLC-DAD-MS. China J. Chin. Mat. Med. 2019, 44, 983–989. [Google Scholar] [CrossRef]
- Kou, Y.N.; Zhang, X.; Kong, F.K.; Dong, H.J.; Yang, J.; Wang, W.H.; Kong, D.Z.; Yang, B. Content of secondary metabolites and antioxidant activities of Lonicera japonica flowers at different developmental stages from Shandong province. China J. Chin. Mater. Med. 2024, 49, 2654–2665. [Google Scholar] [CrossRef]
- Cun, Z.; Zhang, L.; Zhang, J.Y.; Wu, H.M.; Shuang, S.P.; Chen, J.W. Effect of the harvest month and year on the agronomic traits and saponins of Panax notoginseng (Burk.). F. H. Chen. Chin. J. Appl. Environ. Biol. 2022, 28, 645–654. [Google Scholar] [CrossRef]
- Meng, L.H.; Ma, Q.; Gong, B.C.; Yao, Y.; Liu, X.D.; Ma, Z.G.; Cao, H.; Zhang, Y.; Wu, M.H. Study on optimal harvesting period and rational medicinal parts of Zanthoxylum nitidum based on statistics of main effective components. China J. Chin. Mater. Med. 2024, 49, 2889–2896. [Google Scholar] [CrossRef]
- Chen, J.; Zhang, Q.; Zhao, S.; Shang, X.P.; Du, J.; Wang, J.Y.; Wei, F.; Ma, S.C. Quality evaluation of Glycyrrhiza uralensis Fisch. in different harvest periods based on combinative methods of HPLC specific chromatogram, multi-component assay, and chemometrics. Chin. Pharm. J. 2020, 55, 1540–1547. [Google Scholar] [CrossRef]
- Han, M.; Yang, L.M.; Han, Z.M.; Zhang, Y.G.; Wang, L.P. Photosynthetic characteristics, yield and quality of Scutellaria baicalensis from different provenances. J. Northwest A F Univ. (Nat Sci Ed.) 2015, 43, 197–202+228. [Google Scholar] [CrossRef]
- Ma, L.; Chen, C.J.; Kang, L.P.; Miao, Y.H.; Fang, Y.; Guo, L.P.; Liu, D.H.; Huang, L.Q. Effects of different planting density, leaf position and leaf age on growth and quality of Artemisia argyi var. argyi ‘Qiai’. China J. Chin. Mater. Med. 2020, 45, 4031–4040. [Google Scholar] [CrossRef]
- Zhang, Y.; Xu, H.L.; Huang, Y.; Xia, P.G. Optimization of plant density and harvest time to maximize volatile oil accumulation in two aromatic plants. Agron. J. 2024, 14, 1676. [Google Scholar] [CrossRef]
- Qi, X.X.; Wei, X.; Chen, Z.Y.; Wang, X.J.; Jiang, Y.S. Dynamic change of dry matter accumulation and ralationship between artemisinin and nitrogen, phosphorus, potassium in Artomisia annua. Chin. Tradit. Herb. Drugs 2011, 42, 2541–2544. [Google Scholar]
- Zhang, Y.Y.; Shi, Z.G.; Wei, T.B.; Wu, Z.T.; Zhang, J.; Li, Y.R.; Wei, Y.J. Study on the rules of dry matter accumulation and nutrient absorption of Astragalus membranaceus var. mongholicus Hexi in arid area. J. Chin. J Med. Mater. 2012, 44, 13–18. [Google Scholar] [CrossRef]
- Li, J.X.; Liu, Y.; Guo, C.W.; Yang, Y.W.; Miao, Y.H.; Liu, D.H. Nutrient requirement pattern of Belamcanda chinensis. Chin. J. Exp. Tradit. Med. Formulae. 2022, 28, 128–134. [Google Scholar] [CrossRef]
- Guo, L.J.; Chen, C.J.; Li, J.X.; Fang, Y.; Zhang, B.H.; Liu, D.H. Accumulation and distribution of dry matter and mineral elements in Artemisia argyi var. argyi cv. Qiai. Chin. J. Exp. Tradit. Med. Formulae 2022, 28, 186–196. [Google Scholar] [CrossRef]
- Lv, X.M.; Zhang, Y.; Zhang, Y.X.; Fan, S.J.; Kong, L.G. Source-sink modifications affect leaf senescence and grain mass in wheat as revealed by proteomic analysis. BMC Plant Biol. 2020, 20, 257. [Google Scholar] [CrossRef] [PubMed]
- Zhang, D.L.; Chen, S.J.; Zhong, G.Y. Physiological characteristics of Coptis chinensis at different growth stages. Lishizhen Med. Mat. Med. Res. 2011, 22, 1998–1999. [Google Scholar] [CrossRef]
- Yao, T.T.; Jiang, S.Y.; Hou, K.; Sun, H.; Wang, H.L. Cadmium (Cd) accumulation in traditional Chinese medicine materials (TCMMs): A critical review. Ecotox. Environ. Safe 2022, 242, 113904. [Google Scholar] [CrossRef]
- Zhu, S.D.; Huang, L.Q.; Guo, L.P.; Ma, X.T.; Hao, Q.X.; Le, Z.Y.; Zhang, X.B.; Yang, G.; Zhang, Y.; Chen, M.L. Climate change impacts on yield of Cordyceps sinensis and research on yield prediction model of C. sinensis. China J. Chin. Mater. Med. 2017, 42, 1281–1286. [Google Scholar] [CrossRef]
- Guo, L.P.; Huang, L.Q.; Jiang, Y.X.; Liu, X.L.; Pan, Y.Z.; Lv, D.M.; Zhang, Q. Key factors on essential oil components of Atractylodes lancea and study on its division of climate adaptability. China J. Chin. Mat. Med. 2007, 32, 888–893. [Google Scholar] [CrossRef]
- Su, K.X.; Zheng, T.; Chen, H.L.; Zhang, Q.; Liu, S.M. Climate effects on flavonoid content of Zanthoxylum bungeanum leaves in different development stages. Food Sci. Technol. Res. 2020, 26, 805–812. [Google Scholar] [CrossRef]
- Reimberg, M.C.H.; Colombo, R.; Yariwake, J.H. Multivariate analysis of the effects of soil parameters and environmental factors on the flavonoid content of leaves of Passiflora incarnata L. Planta Med. 2009, 75, 18. [Google Scholar] [CrossRef]
- Zhang, T.; Cheng, L.; Yang, L.L.; Lin, H.M.; Yang, L.M.; Han, M. Effects of ecological factors and gene expression of key enzymes on synthesis of major medicinal ingredients of Scutellaria baicalensis in autumn. Chin. Tradit. Herb. Drugs 2019, 50, 936–944. [Google Scholar] [CrossRef]
- Shi, C.Y.; Zhu, Y.J.; Sa, L.; Wang, D.Y.; Yang, X.H. Potential geographical distribution and the dominant climatic factors of three common Artemisia species in China. Chin. J. Ecol. 2021, 40, 512–524. [Google Scholar] [CrossRef]
- Yogev, B.; Bjorn, C.W.; Adam, S.; Ondřej, N.; Karin, L.; Joanne, C. PIF7 is a master regulator of thermomorphogenesis in shade. Nat. Commun. 2022, 13, 4942. [Google Scholar] [CrossRef]









| Soil Layer (cm) | Organic Matter (%) | Total N (g kg−1) | Nitrate—N (mg kg−1) | Available P (mg kg−1) | Available K (mg kg−1) | pH |
|---|---|---|---|---|---|---|
| 0–20 | 1.90 | 1.40 | 8.09 | 10.59 | 301.51 | 7.68 |
| 20–40 | 1.72 | 1.46 | 8.67 | 5.50 | 254.58 | 7.84 |
| Day | 2023 | 2024 | ||||||||
|---|---|---|---|---|---|---|---|---|---|---|
| MDMXT (°C) | MDMNT (°C) | P (mm) | RH (%) | MTDR (°C) | DMT (°C) | AAT (°C) | ≥10 °C EAT (°C) | MTDR (°C) | ≥10 °C EAT (°C) | |
| 0 | 18.45 | 7.45 | 1.55 | 49.34 | 10.79 | 12.9 | 372.5 | 122.5 | — | — |
| 15 | 23.80 | 11.60 | 0.53 | 54.00 | 12.20 | 17.7 | 638.0 | 238.0 | 9.34 | 109.0 |
| 30 | 21.73 | 10.47 | 1.81 | 61.87 | 11.27 | 16.1 | 873.5 | 333.5 | — | — |
| 45 | 27.60 | 15.4 | 1.09 | 65.99 | 12.20 | 21.5 | 299.0 | 126.5 | 11.53 | 365.0 |
| 60 | 27.13 | 17.47 | 6.63 | 79.46 | 9.67 | 22.3 | 1530.5 | 690.5 | — | — |
| 75 | 30.53 | 18.47 | 1.15 | 71.51 | 12.07 | 24.5 | 1910.0 | 920.0 | 13.73 | 810.0 |
| 90 | 33.20 | 22.60 | 0.99 | 69.13 | 10.60 | 27.9 | 2328.5 | 1188.5 | — | — |
| 105 | 35.33 | 24.87 | 3.43 | 69.23 | 10.47 | 30.1 | 2780.0 | 1490.0 | 10.46 | 1354.2 |
| 120 | 33.20 | 24.13 | 9.03 | 78.37 | 9.07 | 28.7 | 3210.0 | 1770.0 | — | — |
| 135 | 32.40 | 23.67 | 0.34 | 81.38 | 8.73 | 28.0 | 3630.5 | 2040.5 | 7.58 | 1186.9 |
| 150 | 31.27 | 21.73 | 6.84 | 79.37 | 9.53 | 26.5 | 4028.0 | 2288.0 | — | — |
| Germplasm Resource | Organ | Logistic Equation | R2 | t0 (d) | t1 (d) | t2 (d) | t2 − t1 |
|---|---|---|---|---|---|---|---|
| NY | Root | y = 22.268/(1 + e3.117−0.051t) | 0.998 | 60.90 | 35.17 | 86.63 | 51.46 |
| Stem | y = 32.270/(1 + e4.016−0.059t) | 0.977 | 68.09 | 45.76 | 90.43 | 44.66 | |
| Leaf | y = 33.738/(1 + e3.263−0.041t) | 0.989 | 79.65 | 47.50 | 111.79 | 64.30 | |
| LY | Root | y = 16.544/(1 + e3.938−0.012t) | 0.999 | 57.88 | 38.53 | 77.24 | 38.71 |
| Stem | y = 23.945/(1 + e3.500−0.060t) | 0.993 | 58.64 | 36.57 | 80.71 | 44.14 | |
| Leaf | y = 37.544/(1 + e2.786−0.027t) | 0.998 | 102.61 | 54.10 | 151.12 | 97.02 |
| Germplasm Resource | Index | Regression Equation | Impact Factor | R2 | Significance |
|---|---|---|---|---|---|
| NY | DMARoot | Y = −21.955 + 0.361MDMNT + 0.370RH + 0.321EAT | MDMNT, RH, EAT | 0.975 | <0.001 |
| DMAStem | Y = −21.811 + 0.903MDMNT | MDMNT | 0.816 | <0.001 | |
| DMALeaf | Y = 0.892EAT | EAT | 0.795 | <0.001 | |
| DMATotal | Y = 0.754MDMNT − 0.300MTDR | MDMNT, MTDR | 0.928 | <0.001 | |
| V | Y = 0.824MTDR | MTDR | 0.678 | 0.002 | |
| R8 | — | — | — | — | |
| S8 | — | — | — | — | |
| L8 | Y = −2.811 + 0.668MDMXT | MDMXT | 0.465 | 0.021 | |
| E | Y = 46.417 − 0.681MDMNT | MDMNT | 0.446 | 0.025 | |
| B | — | — | — | — | |
| M | — | — | — | — | |
| LY | DMARoot | Y = −6.010 + 0.553MDMNT + 0.460RH | MDMNT, RH | 0.975 | <0.001 |
| DMAStem | Y = −14.138 + 0.815MDMNT + 0.300P | MDMNT, P | 0.947 | <0.001 | |
| DMALeaf | Y = 0.970EAT | EAT | 0.941 | <0.001 | |
| DMATotal | Y = −21.804 + 0.513MDMNT | MDMNT | 0.956 | <0.001 | |
| V | Y = 0.606MTDR | MTDR | 0.368 | 0.048 | |
| R8 | Y = 3.046 − 0.790RH | RH | 0.624 | 0.004 | |
| S8 | — | — | — | — | |
| L8 | — | — | — | — | |
| E | — | — | — | — | |
| B | — | — | — | — | |
| M | — | — | — | — |
Disclaimer/Publisher’s Note: The statements, opinions and data contained in all publications are solely those of the individual author(s) and contributor(s) and not of MDPI and/or the editor(s). MDPI and/or the editor(s) disclaim responsibility for any injury to people or property resulting from any ideas, methods, instructions or products referred to in the content. |
© 2024 by the authors. Licensee MDPI, Basel, Switzerland. This article is an open access article distributed under the terms and conditions of the Creative Commons Attribution (CC BY) license (https://creativecommons.org/licenses/by/4.0/).
Share and Cite
Yang, D.; Zhou, T.; Niu, T.; Yang, X.; Fu, G.; Song, C.; Hou, X. Regularity of Artemisia argyi Harvest Time and Its Response to Meteorological Factors. Agronomy 2024, 14, 2874. https://doi.org/10.3390/agronomy14122874
Yang D, Zhou T, Niu T, Yang X, Fu G, Song C, Hou X. Regularity of Artemisia argyi Harvest Time and Its Response to Meteorological Factors. Agronomy. 2024; 14(12):2874. https://doi.org/10.3390/agronomy14122874
Chicago/Turabian StyleYang, Di, Tingting Zhou, Tongfei Niu, Xu Yang, Guozhan Fu, Chengwei Song, and Xiaogai Hou. 2024. "Regularity of Artemisia argyi Harvest Time and Its Response to Meteorological Factors" Agronomy 14, no. 12: 2874. https://doi.org/10.3390/agronomy14122874
APA StyleYang, D., Zhou, T., Niu, T., Yang, X., Fu, G., Song, C., & Hou, X. (2024). Regularity of Artemisia argyi Harvest Time and Its Response to Meteorological Factors. Agronomy, 14(12), 2874. https://doi.org/10.3390/agronomy14122874

