Introducing Ferrous Sulfate to Cattle Manure and Corn Straw Composting Reduces Greenhouse Gas Emissions and Ammonia Volatilization
Abstract
1. Introduction
2. Materials and Methods
2.1. Composting Materials and Equipment
2.2. Gas Sample Collection and Analysis
2.3. Physical and Chemical Analysis
2.4. Statistical Analysis
3. Results and Discussion
3.1. Changes in Temperature and pH During Composting
3.2. Oxygen and Carbon Dioxide Content During Composting
3.3. Gas Emissions During Composting
3.3.1. CH4 Emissions
3.3.2. H2S Emissions
3.3.3. N2O Emissions
3.3.4. NH3 Emissions

3.4. Total Emissions and Reduction Ratio
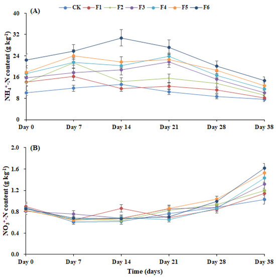
3.5. Nitrogen and Fe Contents of the Compost
4. Conclusions
Author Contributions
Funding
Data Availability Statement
Conflicts of Interest
References
- Sekaran, U.; Lai, L.; Ussiri, D.A.N.; Kumar, S.; Clay, S. Role of Integrated Crop-Livestock Systems in Improving Agriculture Production and Addressing Food Security—A Review. J. Agric. Food Res. 2021, 5, 100190. [Google Scholar] [CrossRef]
- Han, J.; Xin, Z.; Han, F.; Xu, B.; Wang, L.; Zhang, C.; Zheng, Y. Source Contribution Analysis of Nutrient Pollution in a P-Rich Watershed: Implications for Integrated Water Quality Management. Environ. Pollut. 2021, 279, 116885. [Google Scholar] [CrossRef] [PubMed]
- Wang, J.; Qin, L.; Cheng, J.; Shang, C.; Li, B.; Dang, Y.; He, H. Suitable Chemical Fertilizer Reduction Mitigates the Water Footprint of Maize Production: Evidence from Northeast China. Environ. Sci. Pollut. Res. 2022, 29, 22589–22601. [Google Scholar] [CrossRef] [PubMed]
- Mei, J.; Li, B.; Su, L.; Zhou, X.; Duan, E. Effects of Potassium Persulfate on Nitrogen Loss and Microbial Community during Cow Manure and Corn Straw Composting. Bioresour. Technol. 2022, 363, 127919. [Google Scholar] [CrossRef]
- Zhuangzhuang, L.; Yan, Z.; Liu, G.; Wang, X.; Fang, J. Impacts of Adding FeSO4 and Biochar on Nitrogen Loss, Bacterial Community and Related Functional Genes during Cattle Manure Composting. Bioresour. Technol. 2023, 379, 129029. [Google Scholar] [CrossRef]
- Shen, R.; Chen, R.; Yao, Z.; Feng, J.; Yu, J.; Li, Z.; Luo, J.; Zhao, L. Engineering and Microbial Characteristics of Innovative Lab and Pilot Continuous Dry Anaerobic Co-Digestion System Fed with Cow Dung and Corn Straw. Bioresour. Technol. 2021, 342, 126073. [Google Scholar] [CrossRef]
- Zou, T.; Meng, F.; Zhou, J.; Ying, H.; Liu, X.; Hou, Y.; Zhao, Z.; Zhang, F.; Xu, W. Quantifying Nitrogen and Phosphorus Losses from Crop and Livestock Production and Mitigation Potentials in Erhai Lake Basin, China. Agric. Syst. 2023, 211, 103745. [Google Scholar] [CrossRef]
- Si-Xi, D.; Ze, Y.; Yan-Lan, L.; Bo, H.; Jian-Chun, S.; Wei-Zhi, S. Progress of Agricultural Non-Point Source Pollution in Erhai Lake Basin: A Review. J. Ecol. Rural Environ. 2021, 37, 279–286. [Google Scholar]
- Waqas, M.; Hashim, S.; Humphries, U.W.; Ahmad, S.; Noor, R.; Shoaib, M.; Naseem, A.; Hlaing, P.T.; Lin, H.A. Composting Processes for Agricultural Waste Management: A Comprehensive Review. Processes 2023, 11, 731. [Google Scholar] [CrossRef]
- Chen, P.; Zheng, X.; Cheng, W. Biochar Combined with Ferrous Sulfate Reduces Nitrogen and Carbon Losses during Agricultural Waste Composting and Enhances Microbial Diversity. Process Saf. Environ. Prot. 2022, 162, 531–542. [Google Scholar] [CrossRef]
- Deng, Z.; Geng, X.; Shi, M.; Chen, X.; Wei, Z. Effect of Different Moisture Contents on Hydrogen Sulfide Malodorous Gas Emission during Composting. Bioresour. Technol. 2023, 380, 129093. [Google Scholar] [CrossRef] [PubMed]
- Li, M.; Li, S.; Chen, S.; Meng, Q.; Wang, Y.; Yang, W.; Shi, L.; Ding, F.; Zhu, J.; Ma, R.; et al. Measures for Controlling Gaseous Emissions during Composting: A Review. Int. J. Environ. Res. Public Health 2023, 20, 3587. [Google Scholar] [CrossRef] [PubMed]
- Ren, X.; Wang, Z.; Zhao, M.; Xie, J.; Zhang, Z.; Yang, F.; Wang, Q.; Ding, Y. Role of Selenite on the Nitrogen Conservation and Greenhouse Gases Mitigation during the Goat Manure Composting Process. Sci. Total Environ. 2022, 838, 155799. [Google Scholar] [CrossRef] [PubMed]
- Yasmin, N.; Jamuda, M.; Panda, A.K.; Samal, K.; Nayak, J.K. Emission of Greenhouse Gases (GHGs) during Composting and Vermicomposting: Measurement, Mitigation, and Perspectives. Energy Nexus 2022, 7, 100092. [Google Scholar] [CrossRef]
- Sayara, T.; Sánchez, A. Gaseous Emissions from the Composting Process: Controlling Parameters and Strategies of Mitigation. Processes 2021, 9, 1844. [Google Scholar] [CrossRef]
- Liu, Y.; Wang, H.; Zhang, H.; Tao, Y.; Chen, R.; Hang, S.; Ding, X.; Cheng, M.; Ding, G.; Wei, Y.; et al. Synergistic Effects of Chemical Additives and Mature Compost on Reducing H2S Emission during Kitchen Waste Composting. J. Environ. Sci. 2024, 139, 84–92. [Google Scholar] [CrossRef]
- Vilela, M.D.O.; Gates, R.S.; Souza, C.F.; Teles Junior, C.G.S.; Sousa, F.C. Nitrogen Transformation Stages into Ammonia in Broiler Production: Sources, Deposition, Transformation, and Emission into the Environment. DYNA 2020, 87, 221–228. [Google Scholar] [CrossRef]
- Ren, L.M.; Li, G.X.; Shen, Y.J.; Schuchardt, F.; Peng, L. Chemical Precipitation for Controlling Nitrogen Loss during Composting. Waste Manag. Res. 2009, 28, 385–394. [Google Scholar] [CrossRef]
- Elvers, B.; Hawklins, S.; Schulz, G. Ullmann’s Encyclopedia of Industrial Chemistry, 5th ed.; Wiley-VCH Verlag GmbH & Co.: Hoboken, NJ, USA, 1991; ISBN 9780895731692. [Google Scholar]
- Mei, J.; Ji, K.; Su, L.; Wu, M.; Zhou, X.; Duan, E. Effects of FeSO4 Dosage on Nitrogen Loss and Humification during the Composting of Cow Dung and Corn Straw. Bioresour. Technol. 2021, 341, 125867. [Google Scholar] [CrossRef]
- Jian, S.; Shili, R.; Jinchen, L.; Jiming, L.; Jianbo, F.; Xiao, Z. Current Situation and Development Trend of Wine Industry in China. In Proceedings of the 44th World Congress of Vine and Wine, Jerez de la Frontera, Spain, 5–9 June 2023. [Google Scholar]
- Hossain, M.S.; Omar, F.; Asis, A.J.; Bachmann, R.T.; Islam Sarker, M.Z.; Ab Kadir, M.O. Effective Treatment of Palm Oil Mill Effluent Using FeSO4. 7H2O Waste from Titanium Oxide Industry: Coagulation Adsorption Isotherm and Kinetics Studies. J. Clean. Prod. 2019, 219, 86–98. [Google Scholar] [CrossRef]
- Kanari, N.; Ostrosi, E.; Diliberto, C.; Filippova, I.; Shallari, S.; Allain, E.; Diot, F.; Patisson, F.; Yvon, J. Green Process for Industrial Waste Transformation into Super-Oxidizing Materials Named Alkali Metal Ferrates (VI). Materials 2019, 12, 1977. [Google Scholar] [CrossRef] [PubMed]
- Pan, C.; Zhao, Y.; Chen, X.; Zhang, G.; Xie, L.; Wei, Z.; Song, C. Improved Carbon Sequestration by Utilization of Ferrous Ions during Different Organic Wastes Composting. J. Environ. Manag. 2023, 347, 119188. [Google Scholar] [CrossRef] [PubMed]
- Pan, C.; Yang, H.; Gao, W.; Wei, Z.; Song, C.; Mi, J. Optimization of Organic Solid Waste Composting Process through Iron-Related Additives: A Systematic Review. J. Environ. Manag. 2024, 351, 119952. [Google Scholar] [CrossRef] [PubMed]
- Wang, X.; Chen, T.; Zheng, G. Preservation of Nitrogen and Sulfur and Passivation of Heavy Metals during Sewage Sludge Composting with KH2PO4 and FeSO4. Bioresour. Technol. 2020, 297, 122383. [Google Scholar] [CrossRef]
- Chen, W.; Liao, X.; Wu, Y.; Liang, J.B.; Mi, J.; Huang, J.; Zhang, H.; Wu, Y.; Qiao, Z.; Li, X.; et al. Effects of Different Types of Biochar on Methane and Ammonia Mitigation during Layer Manure Composting. Waste Manag. 2017, 61, 506–515. [Google Scholar] [CrossRef]
- Wang, J.; Du, X.; Zhang, Y.; Li, T.; Liao, X. Effect of Substrate on Identification of Microbial Communities in Poultry Carcass Composting and Microorganisms Associated with Poultry Carcass Decomposition. J. Agric. Food Chem. 2016, 64, 6838–6847. [Google Scholar] [CrossRef]
- Czekała, W.; Janczak, D.; Pochwatka, P.; Nowak, M.; Dach, J. Gases Emissions during Composting Process of Agri-Food Industry Waste. Appl. Sci. 2022, 12, 9245. [Google Scholar] [CrossRef]
- Li, Y.; Xu, S.; Chen, Y.; Zhang, X.; Xie, X. Effects of Aeration Rate on the Cornstalks Used for Filtration of Anaerobically Digested Manure Centrate Direct Composting Process: Maturity and Gas Emissions. Environ. Technol. Innov. 2023, 32, 103305. [Google Scholar] [CrossRef]
- Teshima, N.; Fernández, S.K.M.; Ueda, M.; Nakai, H.; Sakai, T. Flow Injection Spectrophotometric Determination of Formaldehyde Based on Its Condensation with Hydroxylamine and Subsequent Redox Reaction with Iron(III)-Ferrozine Complex. Talanta 2011, 84, 1205–1208. [Google Scholar] [CrossRef]
- Chen, H.; Awasthi, S.K.; Liu, T.; Duan, Y.; Ren, X.; Zhang, Z.; Pandey, A.; Awasthi, M.K. Effects of Microbial Culture and Chicken Manure Biochar on Compost Maturity and Greenhouse Gas Emissions during Chicken Manure Composting. J. Hazard. Mater. 2020, 389, 121908. [Google Scholar] [CrossRef]
- Wan, J.; Wang, X.; Yang, T.; Wei, Z.; Banerjee, S.; Friman, V.P.; Mei, X.; Xu, Y.; Shen, Q. Livestock Manure Type Affects Microbial Community Composition and Assembly During Composting. Front. Microbiol. 2021, 12, 621126. [Google Scholar] [CrossRef] [PubMed]
- Wang, Z.; Xu, Y.; Yang, T.; Liu, Y.; Zheng, T.; Zheng, C. Effects of Biochar Carried Microbial Agent on Compost Quality, Greenhouse Gas Emission and Bacterial Community during Sheep Manure Composting. Biochar 2023, 5, 3. [Google Scholar] [CrossRef]
- Cao, Y.; Wang, X.; Liu, L.; Velthof, G.L.; Misselbrook, T.; Bai, Z.; Ma, L. Acidification of Manure Reduces Gaseous Emissions and Nutrient Losses from Subsequent Composting Process. J. Environ. Manag. 2020, 264, 110454. [Google Scholar] [CrossRef] [PubMed]
- Kausar, H.; Ismail, M.R.; Saud, H.M.; Habib, S.H.; Othman, R.; Bhuiyan, M.S.H. Changes of Physical and Chemical Characteristics during Microbial Composting of Rice Straw at Various PH Levels. Compos. Sci. Util. 2014, 22, 153–163. [Google Scholar] [CrossRef]
- Giuffrida, F.; Gangi, D.; Cassaniti, C.; Malvuccio, A.; Leonardi, C. Effects of Aeration Rates on Composting of Ornamental Pruning Wastes. Acta Hortic. 2017, 1168, 245–252. [Google Scholar] [CrossRef]
- Ge, J.; Huang, G.; Huang, J.; Zeng, J.; Han, L. Mechanism and Kinetics of Organic Matter Degradation Based on Particle Structure Variation during Pig Manure Aerobic Composting. J. Hazard. Mater. 2015, 292, 19–26. [Google Scholar] [CrossRef]
- Li, Y.; Luo, W.; Li, G.; Wang, K.; Gong, X. Performance of Phosphogypsum and Calcium Magnesium Phosphate Fertilizer for Nitrogen Conservation in Pig Manure Composting. Bioresour. Technol. 2018, 250, 53–59. [Google Scholar] [CrossRef]
- Macarie, H.; Guyot, J.P. Use of Ferrous Sulphate to Reduce the Redox Potential and Allow the Start-up of Asb Reactors Treating Slowly Biodegradable Compounds: Application to a Wastewater Containing 4- Methylbenzoic Acid. Environ. Technol. 1995, 16, 1185–1193. [Google Scholar] [CrossRef]
- Yang, B.; Ma, Y.; Xiong, Z. Effects of Different Composting Strategies on Methane, Nitrous Oxide, and Carbon Dioxide Emissions and Nutrient Loss during Small-Scale Anaerobic Composting. Environ. Sci. Pollut. Res. 2019, 26, 446–455. [Google Scholar] [CrossRef]
- Liu, C.; Yan, J.; Huang, Q.; Liu, H.; Qiao, C.; Li, R.; Shen, B.; Shen, Q. The Addition of Sawdust Reduced the Emission of Nitrous Oxide in Pig Manure Composting by Altering the Bacterial Community Structure and Functions. Environ. Sci. Pollut. Res. 2022, 29, 3733–3742. [Google Scholar] [CrossRef]
- Ilias, M.K.M.; Hossain, M.S.; Ngteni, R.; Al-Gheethi, A.; Ahmad, H.; Omar, F.M.; Naushad, M.; Pandey, S. Environmental Remediation Potential of Ferrous Sulfate Waste as an Eco-Friendly Coagulant for the Removal of Nh3-n and Cod from the Rubber Processing Effluent. Int. J. Environ. Res. Public Health 2021, 18, 12427. [Google Scholar] [CrossRef]
- Wang, Q.; Awasthi, M.K.; Ren, X.; Zhao, J.; Li, R.; Wang, Z.; Wang, M.; Chen, H.; Zhang, Z. Combining Biochar, Zeolite and Wood Vinegar for Composting of Pig Manure: The Effect on Greenhouse Gas Emission and Nitrogen Conservation. Waste Manag. 2018, 74, 221–230. [Google Scholar] [CrossRef]





| Materials | C Content (%) | N Content (%) | Total P (g kg−1) | Total K (g kg−1) | C/N Ratio |
|---|---|---|---|---|---|
| Cow manure | 43.10 ± 1.53 | 2.59 ± 0.50 | 8.98 ± 0.32 | 25.90 ± 1.79 | 16.63 ± 0.00 |
| Corn straw | 47.34 ± 1.49 | 0.59 ± 0.13 | 1.04 ± 0.03 | 14.80 ± 1.83 | 80.0 ± 0.00 |
Disclaimer/Publisher’s Note: The statements, opinions and data contained in all publications are solely those of the individual author(s) and contributor(s) and not of MDPI and/or the editor(s). MDPI and/or the editor(s) disclaim responsibility for any injury to people or property resulting from any ideas, methods, instructions or products referred to in the content. |
© 2024 by the authors. Licensee MDPI, Basel, Switzerland. This article is an open access article distributed under the terms and conditions of the Creative Commons Attribution (CC BY) license (https://creativecommons.org/licenses/by/4.0/).
Share and Cite
Geng, Y.; Bashir, M.A.; Wang, H.; Li, J.; Raza, Q.-U.-A.; Kan, W.; Tian, S.; Rehim, A.; Yang, L.; Liu, H. Introducing Ferrous Sulfate to Cattle Manure and Corn Straw Composting Reduces Greenhouse Gas Emissions and Ammonia Volatilization. Agronomy 2024, 14, 2867. https://doi.org/10.3390/agronomy14122867
Geng Y, Bashir MA, Wang H, Li J, Raza Q-U-A, Kan W, Tian S, Rehim A, Yang L, Liu H. Introducing Ferrous Sulfate to Cattle Manure and Corn Straw Composting Reduces Greenhouse Gas Emissions and Ammonia Volatilization. Agronomy. 2024; 14(12):2867. https://doi.org/10.3390/agronomy14122867
Chicago/Turabian StyleGeng, Yucong, Muhammad Amjad Bashir, Hongyuan Wang, Jungai Li, Qurat-Ul-Ain Raza, Weijie Kan, Shuo Tian, Abdur Rehim, Longcheng Yang, and Hongbin Liu. 2024. "Introducing Ferrous Sulfate to Cattle Manure and Corn Straw Composting Reduces Greenhouse Gas Emissions and Ammonia Volatilization" Agronomy 14, no. 12: 2867. https://doi.org/10.3390/agronomy14122867
APA StyleGeng, Y., Bashir, M. A., Wang, H., Li, J., Raza, Q.-U.-A., Kan, W., Tian, S., Rehim, A., Yang, L., & Liu, H. (2024). Introducing Ferrous Sulfate to Cattle Manure and Corn Straw Composting Reduces Greenhouse Gas Emissions and Ammonia Volatilization. Agronomy, 14(12), 2867. https://doi.org/10.3390/agronomy14122867

