Effects of Integrated Management Strategies on Pepper Yield and Quality: A Study of Cultivation and Nutrient Management Practices
Abstract
1. Introduction
2. Materials and Methods
2.1. Experimental Site
2.2. Experimental Design and Field Management
2.3. Sampling and Laboratory Analysis
2.3.1. Yield and Aboveground Dry Matter Biomass
2.3.2. Mineral Nutrient Content
2.3.3. Quality Determination
2.3.4. Nutritional Quality Assessment
2.4. Statistical Analysis
3. Results
3.1. Yield
3.2. Nitrogen Use Efficiency
3.3. Aboveground Dry Matter Biomass and Allocation Ratio
3.4. Micromineral Nutrient Absorption
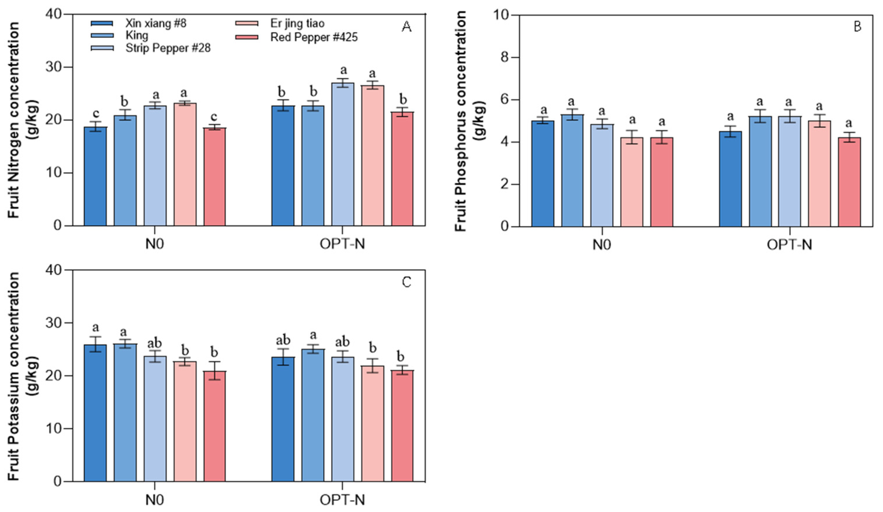
3.5. Mineral Nutrient Absorption
3.6. Quality
3.7. Nutrient Quality Index
4. Discussion
4.1. N-Efficient Varieties Can Achieve Higher Yield, Quality and Nutrient Absorption
4.2. Reasonable Planting Density Significantly Improved Yield, Nutrient Accumulation and Quality
5. Conclusions
Author Contributions
Funding
Data Availability Statement
Conflicts of Interest
References
- FAO (Food and Agriculture Organization of the United Nations). FAO Statistical Yearbook 2022: World Food and Agriculture, Rome. 2022. Available online: http://faostat.fao.org (accessed on 15 April 2023).
- Liang, L.; Ridoutt, B.G.; Lal, R.; Wang, D.; Wu, W.; Peng, P.; Hang, S.; Wang, L.; Zhao, G. Nitrogen footprint and nitrogen use efficiency of greenhouse tomato production in North China. J. Clean. Prod. 2019, 208, 285–296. [Google Scholar] [CrossRef]
- Perrin, A.; Basset-Mens, C.; Gabrielle, B. Life cycle assessment of vegetable products: A review focusing on cropping systems diversity and the estimation of field emissions. Int. J. Life Cycle Assess. 2014, 19, 1247–1263. [Google Scholar] [CrossRef]
- Chen, X.; Cui, Z.; Fan, M.; Vitousek, P.; Zhao, M.; Ma, W.; Wang, Z.L.; Zhang, W.J.; Yan, X.; Yang, J.; et al. Producing more grain with lower environmental costs. Nature 2014, 514, 486–489. [Google Scholar] [CrossRef] [PubMed]
- Zhang, J.; He, P.; Ding, W.; Ullah, S.; Abbas, T.; Li, M.; Ai, C.; Zhou, W. Identifying the critical nitrogen fertilizer rate for optimum yield and minimum nitrate leaching in a typical field radish cropping system in China. Environ. Pollut. 2021, 268, 115004. [Google Scholar] [CrossRef]
- USDA United States Department of Agriculture. Agriculture-Data and Statistics; USDA (United States Department of Agriculture): Washington, DC, USA, 2011. [Google Scholar]
- Ti, C.; Luo, Y.; Yan, X. Characteristics of nitrogen balance in open-air and greenhouse vegetable cropping systems of China. Environ. Sci. Pollut. Res. 2015, 22, 18508–18518. [Google Scholar] [CrossRef]
- Ren, K.; Xu, M.; Li, R.; Zheng, L.; Liu, S.; Reis, S.; Wang, H.; Lu, C.; Zhang, W.; Gao, H.; et al. Optimizing nitrogen fertilizer use for more grain and less pollution. J. Clean. Prod. 2022, 360, 132180. [Google Scholar] [CrossRef]
- Guo, J.H.; Liu, X.J.; Zhang, Y.; Shen, J.L.; Han, W.X.; Zhang, W.F.; Christie, P.; Goulding, K.W.T.; Vitousek, P.M.; Zhang, F.S. Significant Acidification in Major Chinese Croplands. Science 2010, 327, 1008–1010. [Google Scholar] [CrossRef]
- Zhang, W.; Cao, G.; Li, X.; Zhang, H.; Wang, C.; Liu, Q.; Chen, X.; Cui, Z.; Shen, J.; Jiang, R.; et al. Closing yield gaps in China by empowering smallholder farmers. Nature 2016, 537, 671–674. [Google Scholar] [CrossRef]
- Ma, X.; Zhang, F.; Liu, F.; Guo, G.; Cheng, T.; Wang, J.; Shen, Y.; Liang, T.; Chen, X.; Wang, X. An Integrated Nitrogen Management Strategy Promotes Open-Field Pepper Yield, Crop Nitrogen Uptake, and Nitrogen Use Efficiency in Southwest China. Agriculture 2022, 12, 524. [Google Scholar] [CrossRef]
- He, F.; Chen, Q.; Jiang, R.; Chen, X.; Zhang, F. Yield and Nitrogen Balance of Greenhouse Tomato (Lycopersicum esculentum Mill.) with Conventional and Site-specific Nitrogen Management in Northern China. Nutr. Cycl. Agroecosyst. 2007, 77, 1–14. [Google Scholar] [CrossRef]
- Xue, J.; Xie, R.; Zhang, W.; Wang, K.; Hou, P.; Ming, B.; Gou, L.; Li, S. Research progress on reduced lodging of high-yield and -density maize. J. Integr. Agric. 2017, 16, 2717–2725. [Google Scholar] [CrossRef]
- Zhao, H.; Li, X.; Jiang, Y. Response of Nitrogen Losses to Excessive Nitrogen Fertilizer Application in Intensive Greenhouse Vegetable Production. Sustainability 2019, 11, 1513. [Google Scholar] [CrossRef]
- Zhang, F.; Song, Q.; Ma, T.; Gao, N.; Han, X.; Shen, Y.; Yue, S.; Li, S. Long-term maintenance of high yield and soil fertility with integrated soil-crop system management on the Loess Plateau. J. Environ. Manag. 2024, 351, 119687. [Google Scholar] [CrossRef] [PubMed]
- Wang, X.; Dou, Z.; Shi, X.; Zou, C.; Liu, D.; Wang, Z.; Guan, X.; Sun, Y.; Wu, G.; Zhang, B.; et al. Innovative management programmed reduces environmental impacts in Chinese vegetable production. Nat. Food. 2021, 2, 47–53. [Google Scholar] [CrossRef]
- Cui, Z.; Zhang, H.; Chen, X.; Zhang, C.; Ma, W.; Huang, C.; Zhang, W.; Mi, G.; Miao, Y.; Li, X.; et al. Pursuing sustainable productivity with millions of smallholder farmers. Nature 2018, 555, 363. [Google Scholar] [CrossRef]
- Maral, H.; Dumlupinar, Z.; Dokuyucu, T.; Akkaya, A. Impact of genotype and nitrogen fertilizer rate on yield and nitrogen use by oat (Avena sativa L.) in Turkey. Turk. J. Field Crops 2012, 17, 177–184. [Google Scholar]
- Mi, S.; Zhang, X.; Wang, Y.; Zheng, M.; Zhao, J.; Gong, H.; Wang, X. Effect of different genotypes on the fruit volatile profiles, flavonoid composition and antioxidant activities of chili peppers. Food Chem. 2022, 374, 131751. [Google Scholar] [CrossRef]
- Ridzuan, R.; Rafii, M.Y.; Mohammad Yusoff, M.; Ismail, S.I.; Miah, G.; Usman, M. Genetic diversity analysis of selected Capsicum annuum genotypes based on morphophysiological, yield characteristics and their biochemical properties. J. Sci. Food Agric. 2019, 99, 269–280. [Google Scholar] [CrossRef]
- Garnett, T.; Plett, D.; Conn, V.; Conn, S.; Rabie, H.; Rafalski, J.A.; Dhugga, K.; Tester, M.A.; Kaiser, B.N. Variation for N Uptake System in Maize: Genotypic Response to N Supply. Front. Plant Sci. 2015, 6, 936. [Google Scholar] [CrossRef]
- Bond, J.A.; Walker, T.W.; Ottis, B.V.; Harrell, D.L. Rice Seeding and Nitrogen Rate Effects on Yield and Yield Components of Two Rice Cultivars. Agron. J. 2008, 100, 393–397. [Google Scholar] [CrossRef]
- Berry, P.M.; Spink, J.H.; Foulkes, M.J.; Wade, A. Quantifying the contributions and losses of dry matter from non-surviving shoots in four cultivars of winter wheat. Field Crops Res. 2003, 80, 111–121. [Google Scholar] [CrossRef]
- Hou, P.; Liu, Y.; Liu, W.; Liu, G.; Xie, R.; Wang, K.; Ming, B.; Wang, Y.H.; Zhao, R.; Zhang, W.; et al. How to increase maize production without extra nitrogen input. Resour. Conserv. Recycl. 2020, 160, 104913. [Google Scholar] [CrossRef]
- Kahn, B.A.; Leskovar, D.I. Cultivar and Plant Arrangement Effects on Yield and Fruit Quality of Bell Pepper. Hort Sci. 2006, 41, 1565–1570. [Google Scholar] [CrossRef]
- Yang, Y.; Xu, W.; Hou, P.; Liu, G.; Liu, W.; Wang, Y.; Zhao, R.; Ming, B.; Xie, R.; Wang, K.; et al. Improving maize grain yield by matching maize growth and solar radiation. Sci. Rep. 2019, 9, 3635. [Google Scholar] [CrossRef]
- Xu, C.; Li, R.; Song, W.; Wu, T.; Sun, S.; Han, T.; Wu, C. High Density and Uniform Plant Distribution Improve Soybean Yield by Regulating Population Uniformity and Canopy Light Interception. Agron. J. 2021, 11, 1880. [Google Scholar] [CrossRef]
- Adams, C.B.; Erickson, J.E.; Campbell, D.N.; Singh, M.P.; Rebolledo, J.P. Effects of Row Spacing and Population Density on Yield of Sweet Sorghum: Applications for Harvesting as Billets. Agron. J. 2015, 107, 1831–1836. [Google Scholar] [CrossRef]
- Yan, P.; Pan, J.; Zhang, W.; Shi, J.; Chen, X.; Cui, Z. A high plant density reduces the ability of maize to use soil nitrogen. PLoS ONE 2017, 12, e0172717. [Google Scholar] [CrossRef]
- Zhang, L.; Liang, Z.; He, X.; Meng, Q.; Hu, Y.; Schmidhalter, U.; Zhang, W.; Zou, C.; Chen, X. Improving grain yield and protein concentration of maize (Zea mays L.) simultaneously by appropriate hybrid selection and nitrogen management. Field Crops Res. 2020, 249, 107754. [Google Scholar] [CrossRef]
- NBSC (National Bureau of Statistics of China). China Statistical Yearbook; China Statistics Press: Beijing, China, 2022. (In Chinese) [Google Scholar]
- Zhang, F.; Ma, X.; Gao, X.; Cao, H.; Liu, F.; Wang, J.; Guo, G.; Liang, T.; Wang, Y.; Chen, X.; et al. Innovative nitrogen management strategy reduced N2O emission while maintaining high pepper yield in subtropical condition. Agric. Ecosyst. Environ. 2023, 354, 108565. [Google Scholar] [CrossRef]
- Cao, H.; Zhang, F.; Fu, J.; Ma, X.; Wang, J.; Liu, F.; Guo, G.; Tian, Y.; Liang, T.; Zhou, N.; et al. Optimized Nitrogen Fertilizer Rate Can Increase Yield and Nitrogen Use Efficiency for Open-Field Chinese Cabbage in Southwest China. Agron. J. 2023, 13, 1578. [Google Scholar] [CrossRef]
- Singh, J.; Upadhyay, A.K.; Prasad, K.; Bahadur, A.; Rai, M. Variability of carotenes, vitamin C, E and phenolics in Brassica vegetables. J. Food Compos. Anal. 2007, 20, 106–112. [Google Scholar] [CrossRef]
- Li, B.X.; Zhang, H.C.; Wang, S.G. Improvement of nitrate content determination method in vegetables. Plant Physiol. J. 2014, 50, 1749–1752. (In Chinese) [Google Scholar]
- Rekowski, A.; Langenkämper, G.; Dier, M.; Wimmer, M.A.; Scherf, K.A.; Zörb, C. Determination of soluble wheat protein fractions using the Bradford assay. Cereal Chem. 2021, 98, 1059–1065. [Google Scholar] [CrossRef]
- Shao, J.L.; Li, Q.W.; Dong, B.S.; Liu, H.C.; Shu, J. Determination of total free amino acids in tea by ninhydrin colorimetry. Chin. Food Addit. 2008, 2, 162–165. (In Chinese) [Google Scholar]
- Deng, L.; Pan, X.Q.; Sheng, J.P.; Shen, L. Optimization of conditions for determination of trace soluble protein in apple tissues by Coomassie bright blue method. Food Sci. 2012, 33, 185–189. (In Chinese) [Google Scholar]
- Ye, S.H.; Chen, S.Y.; Liu, P.Z. Discussion on the experimental textbook system of plant physiology and biochemistry in agricultural colleges. Plant Physiol. Commun. 2004, 40, 487–488. (In Chinese) [Google Scholar]
- Zhu, S.T.; Yu, S.Y. Evaluation of nutritional quality index of food. Food Sci. 1987, 8, 1–4. (In Chinese) [Google Scholar]
- GB 28050-2011; National Food Safety Standard Pre-Packaged Food General Rules of Nutrition Labelling. Ministry of Health of the People’s Republic of China: Beijing, China, 2011.
- Padilla, F.M.; Gallardo, M.; Peña-Fleitas, M.T.; De Souza, R.; Thompson, R.B. Proximal Optical Sensors for Nitrogen Management of Vegetable Crops: A Review. Sensors 2018, 18, 2083. [Google Scholar] [CrossRef]
- Cheng, Y.; Elrys, A.S.; Wang, J.; Xu, C.; Ni, K.; Zhang, J.; Wang, S.; Cai, Z.; Pacholski, A. Application of enhanced-efficiency nitrogen fertilizers reduces mineral nitrogen usage and emissions of both N2O and NH3 while sustaining yields in a wheat-rice rotation system. Agric. Ecosyst. Environ. 2022, 324, 107720. [Google Scholar] [CrossRef]
- Zhang, F.; Liu, F.; Ma, X.; Guo, G.; Liu, B.; Cheng, T.; Liang, T.; Tao, W.; Chen, X.; Wang, X. Greenhouse gas emissions from vegetables production in China. J. Clean. Prod. 2021, 317, 128449. [Google Scholar] [CrossRef]
- He, P.; Li, S.; Jin, J.; Wang, H.; Li, C.; Wang, Y.; Cui, R. Performance of an Optimized Nutrient Management System for Double-Cropped Wheat-Maize Rotations in North-Central China. Agron. J. 2009, 101, 1489–1496. [Google Scholar] [CrossRef]
- Wang, X.; Liu, B.; Wu, G.; Sun, Y.; Guo, X.; Jin, G.; Jin, Z.; Zou, C.; Chadwick, D.; Chen, X. Cutting carbon footprints of vegetable production with integrated soil—Crop system management: A case study of greenhouse pepper production. J. Clean. Prod. 2020, 254, 120158. [Google Scholar] [CrossRef]
- Zhang, B.; Hu, F.; Cai, X.; Cheng, J.; Zhang, Y.; Lin, H.; Hu, K.; Wu, Z. Integrative Analysis of the Metabolome and Transcriptome of a Cultivated Pepper and Its Wild Progenitor Chiltepin (Capsicum annuum L. var. glabriusculum) Revealed the Loss of Pungency During Capsicum Domestication. Front. Plant Sci. 2022, 12, 783496. [Google Scholar]
- Wang, C.H.; Li, S.X.; Tian, X.H. The impact of different nitrogen fertilizer dosage on the accumulation of nitrogen in vegetables and vegetables. Plant Nutr. Fertil. Sci. 1998, 4, 22–28. (In Chinese) [Google Scholar]
- Hernández, V.; Hellín, P.; Fenoll, J.; Flores, P. Impact of nitrogen supply limitation on tomato fruit composition. Sci. Hortic. 2020, 264, 109173. [Google Scholar] [CrossRef]
- Liu, W.; Muzolf-Panek, M.; Kleiber, T. The effect of various foliar treatments and nitrogen nutrition levels on the yield and physicochemical parameters of flowering Chinese cabbage. Agron. J. 2022, 12, 737. [Google Scholar] [CrossRef]
- Mi, S.; Yu, W.; Li, J.; Liu, M.; Sang, Y.; Wang, X. Characterization and discrimination of chili peppers based on multi-element and non-targeted metabolomics analysis. LWT 2020, 131, 109742. [Google Scholar] [CrossRef]
- Luo, Z. Analysis of the effect of reasonable close planting on respiration characteristics of alfalfa (Medicago sativa L.) artificial grassland. Turk. J. Agric. For. 2021, 45, 533–540. [Google Scholar] [CrossRef]
- Klang, J.M.; Tene, S.T.; Kamdem, F.E.M.; Boungo, G.T.; Womeni, H.M. Optimization using response surface methodology (RSM) of the energy density of flour-based gruels of sweet cassava (Manihot esculenta Crantz) flour: Effect of the addition of two new sprouted rice varieties produced under optimal conditions (Nerica 3 and Nerica L56). NFS J. 2020, 19, 16–25. [Google Scholar]
- Tana, M.G.T.; Urage, E. Effect of planting density on yield components and yield of Groundnut (Arachis hypogaea L.) varieties at Abeya, Borena Zone Southern Ethiopia. Int. J. Sci. Eng. Appl. Sci. 2017, 3, 3. [Google Scholar]
- Bastos, L.M.; Carciochi, W.; Lollato, R.P.; Jaenisch, B.R.; Rezende, C.R.; Schwalbert, R.; Vara Prasad, P.V.; Zhang, G.; Fritz, A.K.; Foster, C.; et al. Winter Wheat Yield Response to Plant Density as a Function of Yield Environment and Tillering Potential: A Review and Field Studies. Front. Plant Sci. 2020, 11, 54. [Google Scholar] [CrossRef] [PubMed]
- Assefa, Y.; Carter, P.; Hinds, M.; Bhalla, G.; Schon, R.; Jeschke, M.; Paszkiewicz, S.; Smith, S.; Ciampitti, I.A. Analysis of Long Term Study Indicates Both Agronomic Optimal Plant Density and Increase Maize Yield per Plant Contributed to Yield Gain. Sci. Rep. 2018, 8, 4937. [Google Scholar] [CrossRef]
- Tremblay, G.J.; Gagnon, L.; Saulnier, M. Effect de la density de peuplement sur trois cultivars de soya. Can. J. Plant Sci. 2002, 82, 675–680. [Google Scholar] [CrossRef]
- Jiang, X.; Tong, L.; Kang, S.; Li, F.; Li, D.; Qin, Y.; Shi, R.; Li, J. Planting density affected biomass and grain yield of maize for seed production in an arid region of Northwest China. J. Arid Land. 2018, 10, 292–303. [Google Scholar] [CrossRef]
- Ciampitti, I.A.; Vyn, T.J. A comprehensive study of plant density consequences on nitrogen uptake dynamics of maize plants from vegetative to reproductive stages. Field Crops Res. 2011, 121, 2–18. [Google Scholar] [CrossRef]
- Zhang, Y.H.; Wang, R.; Wang, S.; Ning, F.; Wang, H.; Wen, P.; Li, A.; Dong, Z.; Xu, Z.; Zhang, Y.J.; et al. Effect of planting density on deep soil water and maize yield on the Loess Plateau of China. Agric. Water Manag. 2019, 223, 105655. [Google Scholar] [CrossRef]
- Cui, Z.; Zhang, F.; Chen, X.; Li, F.; Tong, Y. Using In-Season Nitrogen Management and Wheat Cultivars to Improve Nitrogen Use Efficiency. Soil Sci. Soc. Am. J. 2011, 75, 976–983. [Google Scholar] [CrossRef]
- Meng, Q.F.; Chen, X.P.; Zhang, F.S.; Cao, M.H.; Cui, Z.L.; Bai, J.S.; Yue, S.C.; Chen, S.Y.; Müller, T. In-Season Root-Zone Nitrogen Management Strategies for Improving Nitrogen Use Efficiency in High-Yielding Maize Production in China. Pedosphere 2012, 22, 294–303. [Google Scholar] [CrossRef]








| N Application Rate | Cultivar | Yield (t ha−1) | ||
|---|---|---|---|---|
| 0.6 m × 0.6 m | 0.5 m × 0.5 m | 0.4 m × 0.6 m | ||
| N0 | Xin xiang #8 | 16.4 ± 4.2 a B | 17.8 ± 1.2 ab A | 18.8 ± 1.6 b A |
| King | 19.0 ± 3.0 a B | 24.3 ± 0.8 a A | 25.4 ± 2.4 a A | |
| Strip Pepper #28 | 16.0 ± 2.3 ab B | 18.3 ± 2.4 ab B | 26.4 ± 1.7 a A | |
| Er jing tiao | 14.6 ± 2.0 ab B | 17.9 ± 0.5 ab AB | 20.0 ± 2.7 b A | |
| Red Pepper #425 | 13.0 ± 2.4 b B | 16.1 ± 1.5 b AB | 18.7 ± 1.7 b A | |
| OPT-N | Xin xiang #8 | 22.2 ± 7.2 a B | 30.3 ± 0.9 b A | 30.8 ± 1.0 bc A |
| King | 23.5 ± 7.7 a B | 36.3 ± 4.1 ab A | 36.9 ± 5.3 ab A | |
| Strip Pepper #28 | 25.9 ± 4.0 a B | 40.3 ± 3.4 a A | 44.5 ± 7.8 a A | |
| Er jing tiao | 23.1 ± 5.5 a B | 34.5 ± 2.2 b A | 35.7 ± 3.4 ab A | |
| Red Pepper #425 | 21.7 ± 2.9 a B | 27.3 ± 0.8 c A | 28.4 ± 6.4 c A | |
| Significant level (P) | ||||
| Cultivar (A) | *** | |||
| N application rate (B) | *** | |||
| Planting density(C) | *** | |||
| A × B | *** | |||
| A × C | *** | |||
| B × C | ** | |||
| A × B × C | ns | |||
| N Application Rate | Cultivar | Mass Concentration | |||||||||||
|---|---|---|---|---|---|---|---|---|---|---|---|---|---|
| Vitamin C (mg/100 g) | Nitrate (mg/kg) | Soluble Protein (mg/g) | Free Amino Acid (μ mol/g) | Total Phenolics (mg/g) | Total Flavonoid (mg/g) | ||||||||
| Green Ripening Period | Red Ripening Period | Green Ripening Period | Red Ripening Period | Green Ripening Period | Red Ripening Period | Green Ripening Period | Red Ripening Period | Green Ripening Period | Red Ripening Period | Green Ripening Period | Red Ripening Period | ||
| N0 | Xin xiang #8 | 23.1 ± 1.60 a | 92.6 ± 7.5 a | 11.2 ± 0.35 b | 52.5 ± 1.5 b | 30.4 ± 1.16 a | 30.8 ± 0.75 a | 12.1 ± 1.08 a | 16.6 ± 2.9 ab | 0.92 ± 0.10 b | 1.2 ± 0.1 a | 0.14 ± 0.01 c | 0.10 ± 0.00 d |
| King | 12.9 ± 2.75 b | 107.8 ± 2.4 a | 7.3 ± 2.25 c | 40.4 ± 1.4 d | 30.8 ± 1.33 a | 29.8 ± 0.38 a | 12.8 ± 0.47 a | 18.3 ± 1.9 ab | 0.78 ± 0.05 bc | 0.5 ± 0.1 c | 0.15 ± 0.03 c | 0.15 ± 0.02 c | |
| Strip Pepper #28 | 19.7 ± 2.81 a | 63.7 ± 2.7 b | 13.1 ± 0.55 ab | 46.2 ± 4.1 c | 31.4 ± 0.32 a | 31.2 ± 4.86 a | 13.7 ± 1.06 a | 16.0 ± 2.5 ab | 0.86 ± 0.09 bc | 0.6 ± 0.1 c | 0.22 ± 0.02 b | 0.12 ± 0.01 d | |
| Er jing tiao | 23.6 ± 3.79 a | 90.1 ± 7.2 b | 12.4 ± 0.8 ab | 69.1 ± 2.8 a | 31.2 ± 0.38 a | 32.9 ± 1.84 a | 13.6 ± 0.59 a | 14.6 ± 2.8 b | 0.73 ± 0.11 c | 1.1 ± 0.1 a | 0.24 ± 0.01 b | 0.35 ± 0.01 b | |
| Red Pepper #425 | 15.9 ± 1.03 b | 59.6 ± 2.7 c | 13.4 ± 0.55 a | 70.6 ± 0.5 a | 31.0 ± 0.70 a | 30.8 ± 0.69 a | 12.6 ± 1.01 a | 20.0 ± 0.3 a | 1.21 ± 0.10 a | 1.0 ± 0.1 b | 0.33 ± 0.04 a | 0.37 ± 0.01 a | |
| OPT-N | Xin xiang #8 | 28.5 ± 0.61 a | 94.5 ± 2.0 ab | 14.6 ± 1.09 b | 64.9 ± 2.8 d | 29.1 ± 0.58 a | 30.9 ± 0.98 a | 46.4 ± 2.49 b | 18.2 ± 2.0 bc | 0.71 ± 0.09 b | 0.5 ± 0.1 c | 0.14 ± 0.01 c | 0.17 ± 0.01 b |
| King | 39.6 ± 9.8 a | 106.8 ± 2.4 a | 13.7 ± 1.80 b | 90.5 ± 0.2 b | 29.7 ± 0.32 a | 32.6 ± 3.32 a | 47.0 ± 2.12 b | 18.3 ± 0.6 bc | 0.61 ± 0.15 b | 0.7 ± 0.1 b | 0.15 ± 0.03 c | 0.13 ± 0.00 c | |
| Strip Pepper #28 | 26.1 ± 4.52 a | 64.9 ± 1.2 c | 15.0 ± 1.55 b | 60.6 ± 3.7 d | 29.8 ± 0.29 a | 31.4 ± 0.30 a | 48.6 ± 0.46 a | 16.3 ± 1.0 c | 0.64 ± 0.05 b | 0.5 ± 0.02 c | 0.22 ± 0.02 c | 0.08 ± 0.00 d | |
| Er jing tiao | 32.5 ± 7.02 a | 76.4 ± 3.8 b | 13.7 ± 1.07 b | 92.0 ± 5.9 a | 30.4 ± 0.41 a | 30.8 ± 0.60 a | 37.1 ± 4.02 c | 20.1 ± 2.8 bc | 0.92 ± 0.01 a | 0.4 ± 0.07 d | 0.24 ± 0.01 b | 0.08 ± 0.00 d | |
| Red Pepper #425 | 18.0 ± 2.32 b | 75.0 ± 3.9 b | 20.4 ± 5.00 a | 83.0 ± 2.6 c | 30.0 ± 0.43 a | 30.1 ± 0.47 a | 23.3 ± 0.86 d | 24.3 ± 1.8 a | 1.07 ± 0.09 a | 1.2 ± 0.06 a | 0.33 ± 0.04 a | 0.25 ± 0.00 a | |
| Significant level (P) | |||||||||||||
| Cultivar (A) | *** | *** | *** | *** | ns | ns | *** | *** | *** | *** | *** | *** | |
| N application rate (B) | *** | ** | *** | *** | *** | ns | *** | ** | ** | *** | ns | *** | |
| A × B | *** | ** | ns | *** | ns | ns | *** | ns | ** | *** | *** | *** | |
| N Application Rate | Cultivar | Index of Nutrition Quality | ||||||
|---|---|---|---|---|---|---|---|---|
| Ca | Mg | Fe | Mn | Zn | Cu | VC | ||
| N0 | Xin xiang #8 | 0.3 | 0.7 | 26 | 14 | 16 | 6.9 | 7.1 |
| King | 0.3 | 0.6 | 31 | 21 | 19 | 10 | 8.3 | |
| Strip Pepper #28 | 0.4 | 0.7 | 28 | 22 | 12 | 12 | 4.9 | |
| Er jing tiao | 0.3 | 0.7 | 34 | 24 | 16 | 13 | 7.0 | |
| Red Pepper #425 | 0.3 | 0.7 | 22 | 20 | 12 | 10 | 6.9 | |
| OPT-N | Xin xiang #8 | 0.3 | 0.5 | 32 | 15 | 17 | 9.1 | 7.3 |
| King | 0.4 | 0.6 | 37 | 23 | 26 | 12 | 8.2 | |
| Strip Pepper #28 | 0.4 | 0.7 | 35 | 19 | 15 | 10 | 5.0 | |
| Er jing tiao | 0.4 | 0.6 | 43 | 23 | 17 | 14 | 5.9 | |
| Red Pepper #425 | 0.3 | 0.5 | 26 | 15 | 16 | 9.5 | 5.8 | |
Disclaimer/Publisher’s Note: The statements, opinions and data contained in all publications are solely those of the individual author(s) and contributor(s) and not of MDPI and/or the editor(s). MDPI and/or the editor(s) disclaim responsibility for any injury to people or property resulting from any ideas, methods, instructions or products referred to in the content. |
© 2024 by the authors. Licensee MDPI, Basel, Switzerland. This article is an open access article distributed under the terms and conditions of the Creative Commons Attribution (CC BY) license (https://creativecommons.org/licenses/by/4.0/).
Share and Cite
Tian, Y.; Wang, J.; Chen, J.; Yu, D.; Zeng, Z.; Fu, J.; Zhang, F.; Cao, H.; Liu, F.; Liang, T. Effects of Integrated Management Strategies on Pepper Yield and Quality: A Study of Cultivation and Nutrient Management Practices. Agronomy 2024, 14, 2754. https://doi.org/10.3390/agronomy14122754
Tian Y, Wang J, Chen J, Yu D, Zeng Z, Fu J, Zhang F, Cao H, Liu F, Liang T. Effects of Integrated Management Strategies on Pepper Yield and Quality: A Study of Cultivation and Nutrient Management Practices. Agronomy. 2024; 14(12):2754. https://doi.org/10.3390/agronomy14122754
Chicago/Turabian StyleTian, Yiming, Junjie Wang, Juan Chen, Duan Yu, Zhen Zeng, Jian Fu, Fen Zhang, Hailin Cao, Fabo Liu, and Tao Liang. 2024. "Effects of Integrated Management Strategies on Pepper Yield and Quality: A Study of Cultivation and Nutrient Management Practices" Agronomy 14, no. 12: 2754. https://doi.org/10.3390/agronomy14122754
APA StyleTian, Y., Wang, J., Chen, J., Yu, D., Zeng, Z., Fu, J., Zhang, F., Cao, H., Liu, F., & Liang, T. (2024). Effects of Integrated Management Strategies on Pepper Yield and Quality: A Study of Cultivation and Nutrient Management Practices. Agronomy, 14(12), 2754. https://doi.org/10.3390/agronomy14122754
