Correlation Analysis of Soil Nutrients and Quality Index in Pepper Planting Areas
Abstract
1. Introduction
2. Materials and Methods
2.1. Experimental Materials
2.2. Methodology and Sample Collection
2.3. Indicators and Measurements
- Soil Nutrient Analysis:
- Fruit Quality Analysis:
2.4. Data Analysis
3. Results and Analysis
3.1. Analysis of Soil Nutrient Characteristics in Different Pepper-Growing Regions
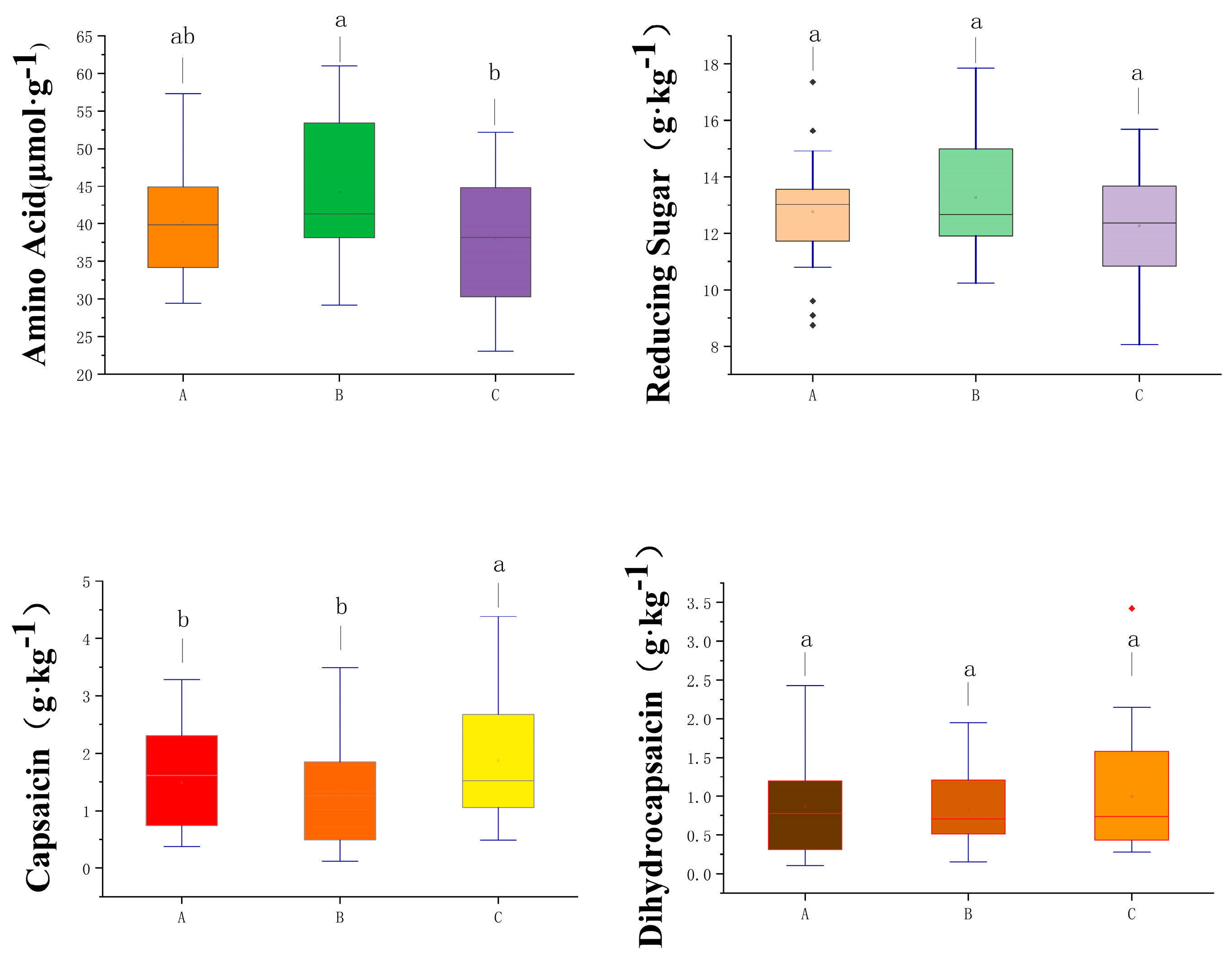
3.2. Analysis of Pepper Quality Indicators in Different Regions
3.3. Correlation Analysis Between Pepper Quality and Soil Nutrient Characteristics
3.4. Analysis of the Impact of Soil Factors on Amino Acids
3.5. Analysis of the Impact of Soil Factors on Reducing Sugar Content
3.6. Analysis of the Impact of Soil Factors on Capsaicin Content
4. Discussion
5. Conclusions
Author Contributions
Funding
Data Availability Statement
Conflicts of Interest
References
- Li, Z. Research on the high-quality development of pepper industry in Guizhou from the perspective of the whole industry chain. Mod. Mark. 2023, 1, 62–64. [Google Scholar]
- Yin, Z.; Hou, B.; Lu, B.; Bai, X.; Liu, X.; Lei, Y.; Sun, L.; Duan, R. Research Progress and Application Prospect of Hypoglycemic Activity of Pepper. J. Wild Plant Resour. 2023, 42, 89–92+105. [Google Scholar]
- Tao, X.; Zhu, H.; Wang, X.; Zhang, Y.; Liu, M. Nutrient composition analysis of pepper with geographical indications in five different producing areas. J. Food Saf. Qual. 2023, 14, 303–310. [Google Scholar]
- Wang, J.; Guo, Q.; Wang, S. SWOT analysis and development countermeasures of pepper industry in Guizhou. J. Pepper Peppers 2012, 10, 39–42. [Google Scholar]
- Peng, G.; Liang, Z.; Zhao, M.; Yang, M. Development status and countermeasures of Bijie pepper industry. Anhui Agric. Sci. Bull. 2020, 26, 4979. [Google Scholar]
- Peng, G.; Wang, Y.; Yin, Y.; Hu, M. “Scientific Research Unit + Supply and Marketing Alliance + Planting Subject” Helps the High-quality Development of Guizhou Pepper Industry. Pepper Pepper Mag. 2022, 20, 1–6. [Google Scholar]
- Wang, X.; Liu, S.; Li, S.; Lan, P.; Liao, X.; Wang, R. Effects of nitrogen, phosphorus and potassium nutrient dosage and ratio on yield and quality of seedless yellow peel. J. Inner Mong. Agric. Univ. (Nat. Sci. Ed.) 2007, 3, 42–45. [Google Scholar]
- Guo, T.; Yang, C.; Wu, Q.; Feng, Y. Effects of tree age and site soil conditions on nutritional status and fruit quality of Prunus prunus. Mol. Plant Breed. 2021, 16, 5512–5521. [Google Scholar] [CrossRef]
- Wu, M.; Zhao, P.; Liu, L.; Zhao, Q.; Li, Q.; Li, L.; Xu, J. The organic manure-improved yield and quality in strawberries is attributed to metabolic reprogramming to increase amino acids, sugar/acid ratio, flavonoids and phenolic volatiles. Plant Soil 2024, 1–19. [Google Scholar] [CrossRef]
- Uarrota, V.G.; Maraschin, M.; de Fátima, M.Â.; Pedreschi, R. Factors affecting the capsaicinoid profile of hot peppers and biological activity of their non-pungent analogs (Capsinoids) present in sweet peppers. Crit. Rev. Food Sci. Nutr. 2021, 61, 649–665. [Google Scholar] [CrossRef]
- Yang, Y.; Gao, C.; Ye, Q.; Liu, C.; Wan, H.; Ruan, M.; Zhou, G.; Wang, R.; Li, Z.; Diao, M.; et al. The Influence of Different Factors on the Metabolism of Capsaicinoids in Pepper (Capsicum annuum L.). Plants 2024, 13, 2887. [Google Scholar] [CrossRef] [PubMed]
- Harvell, K.P.; Bosland, P.W. The environment produces a significant effect on pungency of chiles. HortScience 1997, 32, 1292. [Google Scholar] [CrossRef]
- Thakur, V.; Sharma, P.; Kumar, P.; Sharma, P.; Bhat, S.A.; Sharma, S.; Azmi, R.; Thakur, S. Quantifying the impact of fermented liquid bio formulations, biofertilizers and organic amendments on horticultural and soil nutrient traits of garden pea (Pisum sativum L.). Int. J. Recycl. Org. Waste Agric. (IJROWA) 2024, 13, 1–7. [Google Scholar]
- Rahim, R.; Manea, A.; AAnbagi, R. Effect of cultivar and potassium silicate and the interaction between them on the percentage of NPK, the percentage of calcium, the content of capsaicin and the content of protein in the fruits. Euphrates J. Agric. Sci. 2023, 15, 252–262. [Google Scholar]
- Kim, E.H.; Lee, S.Y.; Baek, D.Y.; Park, S.Y.; Lee, S.G.; Ryu, T.H.; Lee, S.K.; Kang, H.J.; Kwon, O.H.; Kil, M.; et al. A comparison of the nutrient composition and statistical profile in red pepper fruits (Capsicums annuum L.) based on genetic and environmental factors. Appl. Biol. Chem. 2019, 62, 48. [Google Scholar] [CrossRef]
- Khan, N.; Ahmed, M.J.; Shah, S.Z. Comparative analysis of mineral content and proximate composition from chilli pepper (Capsicum annuum L.) germplasm. Pure Appl. Biol. 2019, 8, 1338–1347. [Google Scholar] [CrossRef]
- Żurawik, A.; Jadczak, D.; Panayotov, N.; Żurawik, P. Macro-and micronutrient content in selected cultivars of Capsicum annuum L. depending on fruit coloration. Plant Soil Environ. 2020, 66, 155–161. [Google Scholar] [CrossRef]
- Soares, J.C.; Santos, C.S.; Carvalho, S.M.; Pintado, M.M.; Vasconcelos, M.W. Preserving the nutritional quality of crop plants under a changing climate: Importance and strategies. Plant Soil 2019, 443, 1–26. [Google Scholar] [CrossRef]
- Tahat, M.M.; Alananbeh, K.M.; Othman, Y.A.; Leskovar, D.I. Soil Health and Sustainable Agriculture. Sustainability 2020, 12, 4859. [Google Scholar] [CrossRef]
- Liu, Z.; Huang, Y.; Tan, F.; Chen, W.; Ou, L. Effects of soil type on trace element absorption and fruit quality of pepper. Front. Plant Sci. 2021, 12, 698796. [Google Scholar] [CrossRef]
- Liu, Y.; Zhang, H.; Chen, F.; Yu, F. Analysis on Quality Differences of Local Pepper Varieties in Guizhou Province. Chin. Melon Veg. 2022, 35, 42–46. [Google Scholar] [CrossRef]
- Hong, C.; Zhao, J.; Cheng, C.; Zheng, W.W.; Geng, S.S.; Chen, B.; Du, H.S.; Zhang, X.F. Comprehensive Evaluation of Agronomic Traits of Pepper Germplasm Resources. China Veg. 2024, 7, 33–41. [Google Scholar] [CrossRef]
- Ren, Z.; Tian, X.; Liao, W.; Zhou, A.; Tian, H. Evaluation of Quality Traits of Different Pepper Germplasm Resources. Southwest China J. Agric. Sci. 2020, 33, 1884–1891. [Google Scholar]
- Bao, S. (Ed.) Soil Agrochemical Analysis; China Agriculture Press: Beijing, China, 2000. [Google Scholar]
- GB/T 40348-2021; Determination of Capsaicin in Botanical Products by Liquid Chromatography-Mass Spectrometry/Mass Spectrometry. China National Standardization Administration: Beijing, China, 2021.
- NY/T 1381-2007; Determination of Capsaicin by High Performance Liquid Chromatography. Ministry of Agriculture of the People’s Republic of China: Beijing, China, 2007.
- Gao, J. Experimental Guidance of Plant Physiology; Higher Education Press: Beijing, China, 2006. [Google Scholar]
- Yang, Y.; Cui, C.; Zhang, X.; Guo, Y.D. Analysis of amino acid content in fruits of different tomato varieties. Hubei Agric. Sci. 2022, 61, 136–139. [Google Scholar]
- Keutgen, A.J.; Pawelzik, E. Contribution of amino acids to strawberry fruit quality and their relevance as stress indicators under NaCl salinity. Food Chem. 2008, 111, 642–647. [Google Scholar] [CrossRef]
- Zhang, C.; Shen, L.; Yang, S.; Chang, T.; Luo, M.; Zhen, S.; Ji, X. Effect of Nitrogen Fertilizer on Capsaicinoids and Related Metabolic Substances of Dried Chili Pepper Fruit. Horticulturae 2024, 10, 831. [Google Scholar] [CrossRef]
- Shi, G. Effects of Balanced Fertilization on Growth, Yield and Quality Improvement of Pepper. Vegetables 2024, 3, 43–47. [Google Scholar]
- Du, Q.J.; Xiao, H.J.; Li, J.Q.; Zhang, J.X.; Zhou, L.Y.; Wang, J.Q. Effects of different fertilization rates on growth, yield, quality and partial factor productivity of tomato under non-pressure gravity irrigation. PLoS ONE 2021, 16, e0247578. [Google Scholar] [CrossRef] [PubMed] [PubMed Central]
- González-Cortés, A.; Robledo-Torres, V.; Luna-García, L.R.; Mendoza-Villarreal, R.; Pérez-Rodríguez, M.Á. Yield and Antioxidant Quality of Habanero Chili Pepper by Supplementing Potassium with Organic Products. Horticulturae 2023, 9, 797. [Google Scholar] [CrossRef]
- Khan, A.; Shah SN, M.; Rab, A.; Sajid, M.; Ali, K.; Ahmed, A.; Faisal, S. Influence of nitrogen and potassium levels on growth and yield of chillies (Capsicum annuum L.). Int. J. Farming Allied Sci. 2014, 3, 260. [Google Scholar]
- Rosales, M.A.; Cervilla, L.M.; Sánchez-Rodríguez, E.; Rubio-Wilhelmi, M.D.; Blasco, B.; Ríos, J.J.; Soriano, T.; Castilla, N.; Romero, L.; Ruiz, J.M. The effect of environmental conditions on nutritional quality of cherry tomato fruits: Evaluation of two experimental Mediterranean greenhouses. J. Sci. Food Agric. 2011, 91, 152–162. [Google Scholar] [CrossRef] [PubMed]
- Lei, H.; Xia, J.; Xiao, Z.; Chen, Y.; Jin, C.; Pan, H.; Pang, Z. Effects of Aerated Drip Irrigation on the Soil Nitrogen Distribution, Crop Growth, and Yield of Chili Peppers. Plants 2024, 13, 642. [Google Scholar] [CrossRef] [PubMed]
- Sudasinghe, S.P.; Yoshioka, K.; Kitamura, K.; Rathnayaka, R.M.; Minami, M.; Nemoto, K.; Matsushima, K. The Effects of Soil Phosphorus Levels on Capsaicinoid and Sugar Contents in Chili Pepper (Capsicum spp.). Trop. Agric. Dev. 2023, 67, 61–71. [Google Scholar]
- Naves, E.R.; De Ávila Silva, L.; Sulpice, R.; Araújo, W.L.; Nunes-Nesi, A.; Peres, L.E.P.; Zsögön, A. Capsaicinoids: Pungency beyond Capsicum. Trends Plant Sci. 2019, 24, 109–120. [Google Scholar] [CrossRef]
- Medina-Lara, F.; Echevarría-Machado, I.; Pacheco-Arjona, R.; Ruiz-Lau, N.; Guzmán-Antonio, A.; Martinez-Estevez, M. Influence of nitrogen and potassium fertilization on fruiting and capsaicin content in habanero pepper (Capsicum chinense Jacq.). HortScience 2008, 43, 1549–1554. [Google Scholar] [CrossRef]
- Monforte-González, M.; Guzmán-Antonio, A.; Uuh-Chim, F.; Vázquez-Flota, F. Capsaicin accumulation is related to nitrate content in placentas of habanero peppers (Capsicum chinense Jacq.). J. Sci. Food Agric. 2010, 90, 764–768. [Google Scholar] [CrossRef]
- da Silva, M.P.; Mendonça Freitas, M.S.; Pereira, J.A.; dos Santos, P.C.; de Carvalho, A.J.; Vieira, I.J.; Rodrigues, R. Capsaicinoids and mineral composition of peppers produced under nutrient deficiencies. J. Plant Nutr. 2021, 44, 845–853. [Google Scholar] [CrossRef]
- Shams, M.; Yuksel, E.A.; Agar, G.; Ekinci, M.; Kul, R.; Turan, M.; Yildirim, E. Biosynthesis of capsaicinoids in pungent peppers under salinity stress. Physiol. Plant. 2023, 175, e13889. [Google Scholar] [CrossRef]
- Chen, K.; Yu, H.; Feng, W.; Tu, S.; Qin, Y. Effects of combined application of organic fertilizer and chemical fertilizer on yield and quality of pepper. J. Southwest China Agric. Sci. 2014, 5, 2006–2010. [Google Scholar] [CrossRef]









| Number | Variety | Type | Number | Variety | Type |
|---|---|---|---|---|---|
| 1 | Qianjiao 4 | Xianjiao | 18 | Suilajiao 1 | Chaotianjiao |
| 2 | Qianla 11 | Xianjiao | 19 | Xingsu Single | Chaotianjiao |
| 3 | Qianjiao 11 | Xianjiao | 20 | Guinong Single | Chaotianjiao |
| 4 | Qianla 3 | Chaotianjiao | 21 | Dafang Xianjiao | Xianjiao |
| 5 | Chuanjiao 112 | Xianjiao | 22 | Suiyang Chaotianjiao | Chaotianjiao |
| 6 | Changla 7 | Xianjiao | 23 | Huaxi Pepper | Xianjiao |
| 7 | Chuanjiao 19 | Xianjiao | 24 | Huangyang Xiaomila | Chaotianjiao |
| 8 | Qianla 9 | Zhuzijiao | 25 | Zunyi Chaotianjiao | Chaotianjiao |
| 9 | Qianla 10 | Zhuzijiao | 26 | Huangping Xianjiao | Xianjiao |
| 10 | Layan 12 | Xianjiao | 27 | Meijiang Pear l | Zhuzijiao |
| 11 | Hongla 18 | Xianjiao | 28 | Lafuomei | Xianjiao |
| 12 | Shanbao 1 | Chaotianjiao | 29 | Bolajiao 15 | Xianjiao |
| 13 | Shanbao 2 | Chaotianjiao | 30 | Xiuting | Xianjiao |
| 14 | Layan 3 | Chaotianjiao | 31 | Niuchang Pepper | Xianjiao |
| 15 | Qianjiao 5 | Xianjiao | |||
| 16 | Chaotianjiao 8 | Chaotianjiao | |||
| 17 | Chaotianjiao 6 | Chaotianjiao |
| Area | Longitude and Latitude | Elevation | pH Value | SOM (g/kg) | TN (g/kg) | TP (g/kg) | TK (g/kg) | SAN (mg/kg) | AP (mg/kg) | AK (mg/kg) | Soil Type |
|---|---|---|---|---|---|---|---|---|---|---|---|
| Dafang | N: 27°04′ E: 105°80′ | 1860 m | 5.94 | 22.71 | 1.49 | 0.80 | 16.20 | 74.24 | 50.32 | 352.59 | yellow soil |
| Bozhou | N: 27°53 E: 106°71′ | 848 m | 6.05 | 21.88 | 1.34 | 0.99 | 12.90 | 77.91 | 24.01 | 128.44 | yellow–brown soil |
| Qingzhen | N: 26°18′ E: 106°19′ | 1201 m | 6.12 | 13.80 | 0.73 | 1.05 | 18.90 | 31.61 | 24.31 | 183.85 | yellow soil and limestone soil |
| Item | pH Value | SOM (g/kg) | TN (g/kg) | TP (g/kg) | TK (g/kg) | SAN (mg/kg) | AP (mg/kg | AK (mg/kg) | |
|---|---|---|---|---|---|---|---|---|---|
| Da fang | Avg | 6.01 b | 21.54 c | 1.40 c | 0.75 c | 16.40 a | 117.32 c | 6.40 b | 294.36 a |
| Min | 5.35 | 18.48 | 1.25 | 0.55 | 14,64 | 66.10 | 3.52 | 146.28 | |
| Max | 6.60 | 25.85 | 1.67 | 0.99 | 18.29 | 188.98 | 14.90 | 479.15 | |
| Std Dev | 0.42 | 1.87 | 0.11 | 0.09 | 0.95 | 30.83 | 2.53 | 109.55 | |
| CV | 0.07 | 0.09 | 0.08 | 0.12 | 0.06 | 0.26 | 0.40 | 0.37 | |
| Bo zhou | Avg | 5.85 b | 32.79 b | 2.20 b | 1.61 a | 13.65 b | 149.31 b | 25.73 a | 116.87 c |
| Min | 5.04 | 26.86 | 1.80 | 1.25 | 12.25 | 122.00 | 4.31 | 74.00 | |
| Max | 7.01 | 47.22 | 3.37 | 2.75 | 15.13 | 214.21 | 55.47 | 164.00 | |
| Std Dev | 0.68 | 4.47 | 0.34 | 0.36 | 0.67 | 19.22 | 14.12 | 18.83 | |
| CV | 0.12 | 0.14 | 0.15 | 0.22 | 0.05 | 0.13 | 0.55 | 0.16 | |
| Qingzhen | Avg | 6.35 a | 62.09 a | 3.03 a | 1.09 b | 13.13 c | 234.49 a | 10.03 b | 176.20 b |
| Min | 5.18 | 54.20 | 2.74 | 0.67 | 10.97 | 185.87 | 2.50 | 101.99 | |
| Max | 6.85 | 68.26 | 3.33 | 1.29 | 14.94 | 307.88 | 34.32 | 297.91 | |
| Std Dev | 0.48 | 3.14 | 0.11 | 0.12 | 0.79 | 26.44 | 7.14 | 55.55 | |
| CV | 0.08 | 0.05 | 0.04 | 0.11 | 0.06 | 0.11 | 0.71 | 0.32 | |
Disclaimer/Publisher’s Note: The statements, opinions and data contained in all publications are solely those of the individual author(s) and contributor(s) and not of MDPI and/or the editor(s). MDPI and/or the editor(s) disclaim responsibility for any injury to people or property resulting from any ideas, methods, instructions or products referred to in the content. |
© 2024 by the authors. Licensee MDPI, Basel, Switzerland. This article is an open access article distributed under the terms and conditions of the Creative Commons Attribution (CC BY) license (https://creativecommons.org/licenses/by/4.0/).
Share and Cite
Liang, C.; Xing, D.; He, J.; Tu, D.; Wang, Y. Correlation Analysis of Soil Nutrients and Quality Index in Pepper Planting Areas. Agronomy 2024, 14, 2752. https://doi.org/10.3390/agronomy14122752
Liang C, Xing D, He J, Tu D, Wang Y. Correlation Analysis of Soil Nutrients and Quality Index in Pepper Planting Areas. Agronomy. 2024; 14(12):2752. https://doi.org/10.3390/agronomy14122752
Chicago/Turabian StyleLiang, Chuanjing, Dan Xing, Jianwen He, Dehui Tu, and Yongping Wang. 2024. "Correlation Analysis of Soil Nutrients and Quality Index in Pepper Planting Areas" Agronomy 14, no. 12: 2752. https://doi.org/10.3390/agronomy14122752
APA StyleLiang, C., Xing, D., He, J., Tu, D., & Wang, Y. (2024). Correlation Analysis of Soil Nutrients and Quality Index in Pepper Planting Areas. Agronomy, 14(12), 2752. https://doi.org/10.3390/agronomy14122752

