Antioxidant Potential and In Vitro Antidiabetic Activity of Paeonia japonica (Makino) Miyabe & Takeda Extract and Its Isolated Compounds
Abstract
1. Introduction
2. Materials and Methods
2.1. Sample and Extract Preparation
2.2. DPPH (1,1-Diphenyl-2-picrylhydrazyl) Radical Scavenging Activity
2.3. ABTS+ Radical Scavenging Activity Assay
2.4. Total Phenolic Content
2.5. Reducing Power
2.6. α-Amylase Inhibitory Activity
2.7. α-Glucosidase Inhibitory Activity
2.8. BSA–Fructose Assay
2.9. BSA–Methylglyoxal Assay
2.10. Arginine–Methylglyoxal Assay
2.11. Macrophage RAW 264.7 Cell Cultures and Treatment
2.12. Cell Culture and Differentiation
2.13. Glucose Uptake
2.14. mRNA Isolation and Real-Time Quantitative Reverse Transcription-Polymerase Chain Reaction (RT-qPCR)
2.15. Statistics
3. Results and Discussion
3.1. DPPH and ABTS Assays and Total Phenolic Content
3.2. Reducing Power Assay
3.3. α-Amylase and α-Glucosidase Inhibition Activity
3.4. Anti-Glycation Capacity of Extract and Fractions
3.5. Glucose Uptake Assay
3.6. GLUT4 Gene Expression
3.7. EtOAc Fraction from P. japonica Extract Inhibits H2O2-Induced Oxidative Stress in RAW 264.7 Cells
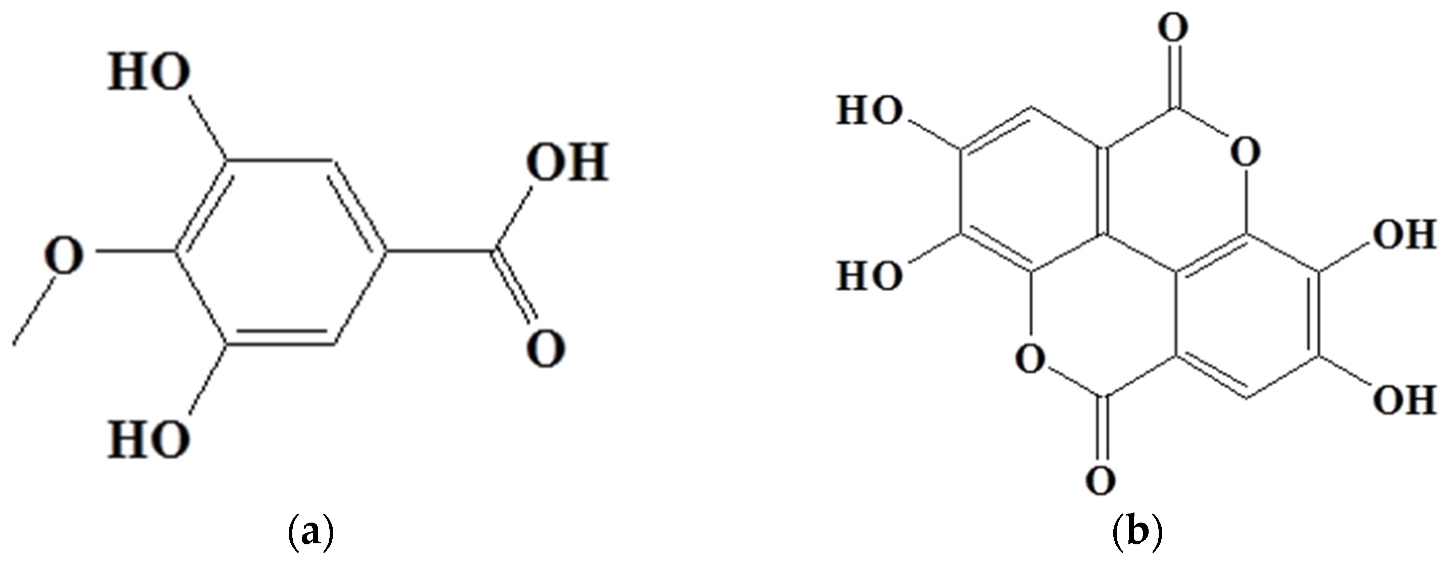
3.8. Polyphenolic Compounds and Antidiabetic Capacity
4. Conclusions
Author Contributions
Funding
Data Availability Statement
Conflicts of Interest
References
- Sun, H.; Saeedi, P.; Karuranga, S.; Pinkepank, M.; Ogurtsova, K.; Duncan, B.B. IDF Diabetes Atlas: Global, regional and country-level diabetes prevalence estimates for 2021 and projections for 2045. Diab. Res. Clin. Pract. 2022, 183, 109–119. [Google Scholar] [CrossRef] [PubMed]
- Shulman, G.I. Cellular mechanisms of insulin resistance. J. Clin. Investig. 2000, 106, 171–176. [Google Scholar] [CrossRef] [PubMed]
- Boden, G. Pathogenesis of type 2 diabetes: Insulin resistance. Endocrin. Metab. Clin. 2001, 30, 801–815. [Google Scholar] [CrossRef] [PubMed]
- Lotfy, M.; Adeghate, J.; Kalasz, H.; Singh, J.; Adeghate, E. Chronic complications of diabetes mellitus: A mini review. Curr. Diabetes Rev. 2017, 13, 3–10. [Google Scholar] [CrossRef] [PubMed]
- Palmer, S.C.; Tendal, B.; Mustafa, R.A.; Vandvik, P.O.; Li, S.; Hao, Q.; Strippoli, G.F. Sodium-glucose cotransporter protein-2 (SGLT-2) inhibitors and glucagon-like peptide-1 (GLP-1) receptor agonists for type 2 diabetes: Systematic review and network meta-analysis of randomised controlled trials. BMJ 2012, 372, m4573. [Google Scholar] [CrossRef]
- Ahn, D.; Kim, J.; Nam, G.; Zhao, X.; Kwon, J.; Hwang, J.Y.; Chung, S.J. Ethyl gallate dual-targeting PTPN6 and PPARγ shows anti-diabetic and anti-obese effects. Int. J. Mol. Sci. 2022, 23, 5020. [Google Scholar] [CrossRef]
- Mihailović, M.; Dinić, S.; Arambašić Jovanović, J.; Uskoković, A.; Grdović, N.; Vidaković, M. The influence of plant extracts and phytoconstituents on antioxidant enzymes activity and gene expression in the prevention and treatment of impaired glucose homeostasis and diabetes complications. Antioxidants 2021, 10, 480. [Google Scholar] [CrossRef]
- Akpoveso, O.O.P.; Ubah, E.E.; Obasanmi, G. Antioxidant phytochemicals as potential therapy for diabetic complications. Antioxidants 2023, 12, 123. [Google Scholar] [CrossRef]
- Kooti, W.; Farokhipour, M.; Asadzadeh, Z.; Ashtary-Larky, D.; Asadi-Samani, M. The role of medicinal plants in the treatment of diabetes: A systematic review. Electron. Physician 2016, 8, 1832. [Google Scholar] [CrossRef]
- Fatima, M.T.; Bhat, A.A.; Nisar, S.; Fakhro, K.A.; Akil, A.S.A.S. The role of dietary antioxidants in type 2 diabetes and neurodegenerative disorders: An assessment of the benefit profile. Heliyon 2023, 9, e12698. [Google Scholar] [CrossRef]
- Xu, R.; Bai, Y.; Yang, K.; Chen, G. Effects of green tea consumption on glycemic control: A systematic review and meta-analysis of randomized controlled trials. Nutr. Metab. 2020, 17, 56. [Google Scholar] [CrossRef] [PubMed]
- Rauf, A.; Imran, M.; Suleria, H.A.R.; Ahmad, B.; Peters, D.G.; Mubarak, M.S. A comprehensive review of the health perspectives of resveratrol. Food Funct. 2017, 8, 4284–4305. [Google Scholar] [CrossRef] [PubMed]
- Gasmi, A.; Mujawdiya, P.K.; Noor, S.; Lysiuk, R.; Darmohray, R.; Piscopo, S.; Bjørklund, G. Polyphenols in metabolic diseases. Molecules 2022, 27, 6280. [Google Scholar] [CrossRef] [PubMed]
- Proença, C.; Ribeiro, D.; Freitas, M.; Fernandes, E. Flavonoids as potential agents in the management of type 2 diabetes through the modulation of α-amylase and α-glucosidase activity: A review. Crit. Rev. Food Sci. Nutr. 2022, 62, 3137–3207. [Google Scholar] [CrossRef] [PubMed]
- Dirir, A.M.; Daou, M.; Yousef, A.F.; Yousef, L.F. A review of alpha-glucosidase inhibitors from plants as potential candidates for the treatment of type-2 diabetes. Phytochem. Rev. 2022, 21, 1049–1079. [Google Scholar] [CrossRef]
- Yu, W.; Ilyas, I.; Aktar, N.; Xu, S. A review on therapeutical potential of paeonol in atherosclerosis. Front. Pharmacol. 2022, 13, 950337. [Google Scholar] [CrossRef]
- Ekiert, H.; Klimek-Szczykutowicz, M.; Szopa, A. Paeonia× suffruticosa (Moutan Peony)—A review of the chemical composition, traditional and professional use in medicine, position in cosmetics industries, and biotechnological studies. Plants 2022, 11, 3379. [Google Scholar] [CrossRef]
- Seo, J.W.; Ham, D.Y.; Lee, J.G.; Kim, N.Y.; Kim, M.J.; Yu, C.Y.; Seong, E.S. Antioxidant Activity, Phenolic Content, and Antioxidant Gene Expression in Genetic Resources of Sorghum Collected from Australia, Former Soviet Union, USA, Sudan and Guadeloupe. Agronomy 2023, 13, 1698. [Google Scholar] [CrossRef]
- Tae, K.H.; Kim, M.K.; Lee, H.Y.; Kim, Y.J.; Kim, E.Y.; Kim, J.S. Evaluation of anti-oxidant and anti-cancer properties of Dendropanax morbifera Léveille. Food Chem. 2013, 141, 1947–1955. [Google Scholar]
- Justino, A.B.; Franco, R.R.; Silva, H.C.; Saraiva, A.L.; Sousa, R.M.; Espindola, F.S. B procyanidins of Annona crassiflora fruit peel inhibited glycation, lipid peroxidation and protein-bound carbonyls, with protective effects on glycated catalase. Sci. Rep. 2019, 9, 19183. [Google Scholar] [CrossRef]
- Liu, S.; Li, D.; Huang, B.; Chen, Y.; Lu, X.; Wang, Y. Inhibition of pancreatic lipase, α-glucosidase, α-amylase, and hypolipidemic effects of the total flavonoids from Nelumbo nucifera leaves. J. Ethnopharmacol. 2013, 149, 263–269. [Google Scholar] [CrossRef] [PubMed]
- Justino, A.B.; Miranda, N.C.; Franco, R.R.; Martins, M.M.; da Silva, N.M.; Espindola, F.S. Annona muricata Linn. leaf as a source of antioxidant compounds with in vitro antidiabetic and inhibitory potential against α-amylase, α-glucosidase, lipase, non-enzymatic glycation and lipid peroxidation. Biomed. Pharmacother. 2018, 100, 83–92. [Google Scholar] [CrossRef] [PubMed]
- Ueda, M.; Furuyashiki, T.; Yamada, K.; Aoki, Y.; Sakane, I.; Fukuda, I.; Ashida, H. Tea catechins modulate the glucose transport system in 3T3-L1 adipocytes. Food Funct. 2010, 1, 167–173. [Google Scholar] [CrossRef] [PubMed]
- Ahmed, S.; Jubair, A.; Hossain, M.A.; Hossain, M.M.; Azam, M.S.; Biswas, M. Free radical-scavenging capacity and HPLC-DAD screening of phenolic compounds from pulp and seed of Syzygium claviflorum fruit. J. Agric. Food Res. 2021, 6, 100203. [Google Scholar] [CrossRef]
- Spiegel, M.; Kapusta, K.; Kołodziejczyk, W.; Saloni, J.; Żbikowska, B.; Hill, G.A.; Sroka, Z. Antioxidant activity of selected phenolic acids–ferric reducing antioxidant power assay and QSAR analysis of the structural features. Molecules 2020, 25, 3088. [Google Scholar] [CrossRef]
- Karawita, R.; Siriwardhana, N.; Lee, K.W.; Heo, M.S.; Yeo, I.K.; Lee, Y.D.; Jeon, Y.J. Reactive oxygen species scavenging, metal chelation, reducing power and lipid peroxidation inhibition properties of different solvent fractions from Hizikia fusiformis. Eur. Food Res. Technol. 2005, 220, 363–371. [Google Scholar] [CrossRef]
- Cardullo, A.; Muccilli, V.; D’Onofrio, F. α-Amylase Inhibitors: A Review of Natural Products and Their Potential Use in the Management of Carbohydrate Metabolism Disorders. Int. J. Mol. Sci. 2020, 21, 1890. [Google Scholar]
- Riyaphan, P.; Pham, T.H.; Phong, T.N.; Ngoc, T.K.T.; Anh, D.H.; Quan, T.H.; Van Do, T. α-Amylase Inhibitors from Natural Sources: A Comprehensive Review on Their Mechanisms of Action and Potential Applications. Int. J. Mol. Sci. 2021, 22, 142. [Google Scholar]
- Schalkwijk, C.G.; Stehouwer, C.D.A. Methylglyoxal, a highly reactive dicarbonyl compound, in diabetes, its vascular complications, and other age-related diseases. Physiol. Rev. 2020, 100, 407–461. [Google Scholar] [CrossRef]
- Subedi, L.; Lee, J.H.; Gaire, B.P.; Kim, S.Y. Sulforaphane inhibits MGO-AGE-mediated neuroinflammation by suppressing NF-κB, MAPK, and AGE–RAGE signaling pathways in microglial cells. Antioxidants 2020, 9, 792. [Google Scholar] [CrossRef]
- Peng, X.; Ma, J.; Chao, J.; Sun, Z.; Chang, R.C.C.; Tse, I.; Wang, M. Beneficial effects of cinnamon proanthocyanidins on the formation of specific advanced glycation endproducts and methylglyoxal-induced impairment on glucose consumption. J. Agric. Food Chem. 2010, 58, 6692–6696. [Google Scholar] [CrossRef] [PubMed]
- Cho, M.S.; Park, J.W.; Kim, J.; Ko, S.J. The influence of herbal medicine on serum motilin and its effect on human and animal model: A systematic review. Front. Pharmacol. 2023, 14, 1286333. [Google Scholar] [CrossRef] [PubMed]
- Noh, H.J.; Park, D.Y.; Park, H.S.; Kim, S.J. A Systematic Review of Herbal Medicine for Colles Fractures in the Last 5 Years: Focused on China National Knowledge Infrastructure, PubMed. J. Korean Med. Rehabil. 2024, 34, 97–108. [Google Scholar] [CrossRef]
- Pujimulyani, D.; Yulianto, W.A.; Setyowati, A.; Arumwardana, S.; Sari Widya Kusuma, H.; Adhani Sholihah, I.; Maruf, A. Hypoglycemic activity of Curcuma mangga Val. extract via modulation of GLUT4 and PPAR-γ mRNA expression in 3T3-L1 adipocytes. J. Exp. Pharmacol. 2020, 12, 363–369. [Google Scholar] [CrossRef] [PubMed]
- Park, J.E.; Park, J.Y.; Seo, Y.; Han, J.S. A new chromanone isolated from Portulaca oleracea L. increases glucose uptake by stimulating GLUT4 translocation to the plasma membrane in 3T3-L1 adipocytes. Int. J. Biol. Macromol. 2019, 123, 26–34. [Google Scholar] [CrossRef]
- Gao, H.; Wang, X.; Zhang, Z.; Yang, Y.; Yang, J.; Li, X.; Ning, G. GLP-1 amplifies insulin signaling by up-regulation of IRβ, IRS-1 and Glut4 in 3T3-L1 adipocytes. Endocrine 2007, 32, 90–95. [Google Scholar] [CrossRef]
- Sung, T.J.; Wang, Y.Y.; Liu, K.L.; Chou, C.H.; Lai, P.S.; Hsieh, C.W. Pholiota nameko polysaccharides promotes cell proliferation and migration and reduces ROS content in H2O2-induced L929 cells. Antioxidants 2020, 9, 65. [Google Scholar] [CrossRef]
- Huynh, K.; Bernardo, B.C.; McMullen, J.R.; Ritchie, R.H. Diabetic cardiomyopathy: Mechanisms and new treatment strategies targeting antioxidant signaling pathways. Pharmacol. Ther. 2014, 142, 375–415. [Google Scholar]
- Tan, X.C.; Chua, K.H.; Ram, M.R.; Kuppusamy, U.R. Monoterpenes: Novel insights into their biological effects and roles on glucose uptake and lipid metabolism in 3T3-L1 adipocytes. Food Chem. 2016, 196, 242–250. [Google Scholar] [CrossRef]
- Dao, N.T.; Jang, Y.; Kim, M.; Nguyen, H.H.; Pham, D.Q.; Le Dang, Q.; Hoang, V.D. Chemical Constituents and Anti-influenza Viral Activity of the Leaves of Vietnamese Plant Elaeocarpus tonkinensis. Rec. Nat. Prod. 2019, 13, 71–80. [Google Scholar] [CrossRef]
- Cai, Y.; Zhao, D.; Pan, Y.; Chen, B.; Cao, Y.; Han, S.; Yan, X. Gallic Acid Attenuates Sepsis-Induced Liver Injury through C/EBPβ-Dependent MAPK Signaling Pathway. Mol. Nutr. Food Res. 2024, 68, 2400123. [Google Scholar] [CrossRef] [PubMed]
- Pratima, H.; Shiraguppi, A.; Joojagar, P.; Shah, K.; Cheeraladinni, S.S.; Singh, P.S.; Chauhan, N.S. Phytochemical profile and hepatoprotective potentiality of Phyllanthus genus: A review. J. Pharm. Pharmacol. 2024, rgae040. [Google Scholar] [CrossRef] [PubMed]
- Li, Y.; Yao, K.; Li, M.; Sun, L.; Zhang, H. Trihydroxybenzoic acid derivatives: Synthesis, α-glucosidase inhibitory activity and molecular docking study. Molecules 2016, 21, 1659. [Google Scholar]
- Chen, Y.; Luo, H.; Zhang, J.; Chen, J.; Li, H. Trihydroxybenzoic acid derivatives as potential α-glucosidase inhibitors: Design, synthesis, and biological evaluation. Molecules 2018, 23, 3072. [Google Scholar]







| Extraction |
DPPH Radical Scavenging Activity IC50 (μg/mL) |
ABTS Radical Scavenging Activity IC50 (μg/mL) |
Total Phenolic Content (mg GAE/g) |
|---|---|---|---|
| MeOH | 81.81 ± 9.17 b(1) | 59.38 ± 1.78 b | 21.51 ± 0.46 b |
| Hexane | 179.84 ± 0.38 d | 81.60 ± 0.03 c | 39.93 ± 0.19 d |
| EtOAc | 11.09 ± 0.12 a | 8.64 ± 3.76 a | 229.43 ± 1.07 a |
| n-BuOH | 129.12 ± 1.56 c | 78.02 ± 2.93 c | 27.78 ± 0.17 c |
| Water | 419.43 ± 1.11 e | 338.37 ± 3.97 d | 5.16 ± 0.30 e |
| BHT | 20.88 ± 1.46 | 22.65 ± 0.78 | ND |
| L-ascorbic acid | 3.51 ± 0.12 | 4.16 ± 0.30 | ND |
Disclaimer/Publisher’s Note: The statements, opinions and data contained in all publications are solely those of the individual author(s) and contributor(s) and not of MDPI and/or the editor(s). MDPI and/or the editor(s) disclaim responsibility for any injury to people or property resulting from any ideas, methods, instructions or products referred to in the content. |
© 2024 by the authors. Licensee MDPI, Basel, Switzerland. This article is an open access article distributed under the terms and conditions of the Creative Commons Attribution (CC BY) license (https://creativecommons.org/licenses/by/4.0/).
Share and Cite
Yang, J.; Seo, H.-J.; Wang, Y.; Gao, D.; Yoo, N.-H.; Park, J.-H.; Seong, E.-S.; Kwon, Y.-S.; Kim, S.-J.; Kim, M.-J. Antioxidant Potential and In Vitro Antidiabetic Activity of Paeonia japonica (Makino) Miyabe & Takeda Extract and Its Isolated Compounds. Agronomy 2024, 14, 2705. https://doi.org/10.3390/agronomy14112705
Yang J, Seo H-J, Wang Y, Gao D, Yoo N-H, Park J-H, Seong E-S, Kwon Y-S, Kim S-J, Kim M-J. Antioxidant Potential and In Vitro Antidiabetic Activity of Paeonia japonica (Makino) Miyabe & Takeda Extract and Its Isolated Compounds. Agronomy. 2024; 14(11):2705. https://doi.org/10.3390/agronomy14112705
Chicago/Turabian StyleYang, Jinfeng, Hyun-Jung Seo, Yanjie Wang, Dan Gao, Nam-Ho Yoo, Ju-Hee Park, Eun-Soo Seong, Yong-Soo Kwon, Seung-Joong Kim, and Myong-Jo Kim. 2024. "Antioxidant Potential and In Vitro Antidiabetic Activity of Paeonia japonica (Makino) Miyabe & Takeda Extract and Its Isolated Compounds" Agronomy 14, no. 11: 2705. https://doi.org/10.3390/agronomy14112705
APA StyleYang, J., Seo, H.-J., Wang, Y., Gao, D., Yoo, N.-H., Park, J.-H., Seong, E.-S., Kwon, Y.-S., Kim, S.-J., & Kim, M.-J. (2024). Antioxidant Potential and In Vitro Antidiabetic Activity of Paeonia japonica (Makino) Miyabe & Takeda Extract and Its Isolated Compounds. Agronomy, 14(11), 2705. https://doi.org/10.3390/agronomy14112705

