Next Article in Journal
Analysis of Growth Variation in Maize Leaf Area Index Based on Time-Series Multispectral Images and Random Forest Models
Previous Article in Journal
Straw Mulching and Weather Conditions Affecting the Trade-Off Between Grain Yield and Agronomic Traits of Maize
 
 
Font Type:
Arial Georgia Verdana
Font Size:
Aa Aa Aa
Line Spacing:
Column Width:
Background:
Article

Grain-Filling Characteristics and Yield Formation of Rice at Saline Field

1
Jiangsu Key Laboratory of Crop Cultivation and Physiology, Jiangsu Key Laboratory of Crop Genetics and Physiology, Jiangsu Co-Innovation Center for Modern Production Technology of Grain Crops, Key Laboratory of Saline-Alkali Soil Reclamation and Utilization in Coastal Areas, East China Branch of National Center of Technology Innovation for Saline-Alkali Tolerant Rice, Research Institute of Rice Industrial Engineering Technology, Yangzhou University, Yangzhou 225009, China
2
Institutes of Agricultural Science and Technology Development (Joint International Research Laboratory of Agriculture and Agri-Product Safety of the Ministry of Education of China), Yangzhou University, Yangzhou 225009, China
*
Author to whom correspondence should be addressed.
Agronomy 2024, 14(11), 2687; https://doi.org/10.3390/agronomy14112687
Submission received: 1 October 2024 / Revised: 8 November 2024 / Accepted: 13 November 2024 / Published: 14 November 2024
(This article belongs to the Section Soil and Plant Nutrition)

Abstract

It is of great interest to utilize saline fields to promote rice production in China. It has still not been established how salinity stress affects grain-filling characteristics and the relationships with yield formation of rice in a saline field. This experiment was conducted with Ningjing 7 (salinity-tolerant rice variety) and Wuyunjing 30 (salinity-susceptible rice variety) in a non-saline field and a high-saline field in 2021 and 2022. The grain yields of Ningjing 7 and Wuyunjing 30 in a high-saline field were 37.7% and 49.8% lower (p < 0.05) than in a non-saline field across two years. Ningjing 7 exhibited a higher (p < 0.05) grain yield than Wuyunjing 30 in a high-saline field. The reductions in filled-grain percentage and grain weight in inferior grains were greater than in superior grains of Ningjing 7 and Wuyunjing 30. For Ningjing 7 and Wuyunjing 30, the total starch contents in superior and inferior grains at 15, 30, and 45 days after heading were reduced (p < 0.05) in a high-saline field compared to a non-saline field. The ADP–glucose pyrophosphorylase, granule-bound starch synthase, and starch synthase activities after heading in superior and inferior grains in a high-saline field were lower (p < 0.05) than those in a non-saline field, and the reductions were more pronounced for Wuyunjing 30. The maximum grain-filling rate and mean grain-filling rate were decreased, while the time to achieve the maximum grain-filling rate was increased in a high-saline field compared to a non-saline field, especially for Wuyunjing 30. The mean grain-filling rate and grain-filling amount in superior and inferior grains during the early, middle, and late stages were lower in a high-saline field than in a non-saline field. For Ningjing 7 and Wuyunjing 30, the reductions in the grain-filling amount in the inferior grains during the early, middle, and late stages in a high-saline field were greater than those in superior grains. Our results suggest that salinity stress inhibited the grain-filling rate, reduced the total starch content and affected key enzyme activities, which led to the poor sink-filling efficiency and yield performance of rice in a saline field, especially for the salinity-susceptible variety.

1. Introduction

Rice, one of the most important staple cereal crops, plays a pivotal role in ensuring food security worldwide [1]. Globally, achieving food security is increasingly challenged by rapid population growth, rises in food demand, and continuous reductions in arable land area [2]. Therefore, it is of great interest to utilize reserve land resources including saline lands to boost crop production, especially in China [3,4]. Although considered a salinity-sensitive crop, rice can adapt and grow well in a saline field under flood irrigation, which can lower soil salinity and increase the contents of soil carbon and nutrients of saline soils [5,6,7].
Rice grain-filling is a key physiological process determining sink-filling efficiency (filled-grain percentage and grain weight), thus influencing grain yield [8]. The sink-filling efficiency in rice greatly depends on the positions of spikelets on the panicle. Generally, spikelets located at different positions in a panicle present unsynchronized grain-filling dynamics and quality characteristics. Superior grains (SG) are usually located in the upper part of the panicle with characteristics of early flowering, fast grain-filling rate, and high grain weight, while inferior grains (IG) have the opposite characteristics [9,10]. The Richards equation is widely used to analyze rice grain-filling characteristics, which can provide a deeper understanding of the growth patterns of rice grains during the grain-filling process and the relationships with rice yield formation under abiotic stress [11,12,13]. For example, Kimbembe et al. [12] concluded that soil drying decreased the rice grain-filling rate, which resulted in a lower grain weight and grain yield of rice. The rice grain yield and the related morpho-physiological traits under salinity stress have been widely reported [14,15,16,17]. Salinity stress can easily damage the leaf chloroplast structure, and reduce chlorophyll content and net photosynthetic rate, thereby inhibiting plant photosynthesis and accumulation of assimilates [17,18]. Generally, the above studies on responses of rice yield formation to salinity were mostly conducted with pots under controlled conditions, with a relatively stable salinity concentration in the soils. The existing literature reported that the results observed in saline pots with controlled conditions may not correspond to those observed under saline field conditions, in which the soil salinity level varies greatly due to dynamics changes in soil water and salt content [4,19,20,21]. Thus, it is more practical to explore how salinity stress affects rice grain-filling characteristics and the relationships with yield formation of rice under saline conditions.
Starch is the major storage carbohydrate and constitutes approximately 90% of rice grains; therefore, the development of rice grains mainly depends on the starch biosynthesis of grains [22]. Previous studies reported that the starch content varied with the grains being located at different positions in a panicle, and SG would always present a faster starch accumulation rate than IG [23,24]. Starch accumulation in rice grains is a complex process that requires the coordinated participation of key enzymes including ADP–glucose pyrophosphorylase (AGPase), granule-bound starch synthase (GBSS), starch synthase (SSS), and starch branching enzyme (SBE) [25]. To date, few studies have analyzed the effects of salinity on enzyme activities involved in starch accumulation in grains [26,27]. For example, Chen et al. [26] reported that salinity stress significantly inhibited the activities of AGPase, SSS, and SBE, and resulted in a great decrease in the accumulation of amylose and amylopectin in grains after heading. To date, information on the starch content and its related enzyme activities of rice grains under salinity stress is still limited.
The main objectives of the study were to (1) investigate the effects of salinity stress on the grain-filling process and starch formation of rice, and (2) determine the relationships between the grain-filling characteristics and grain yield formation of rice when subjected to salinity stress at a field scale.

2. Materials and Methods

2.1. Experimental Site, Soil Properties, and Meteorological Information

The field experiment was conducted at Linhai Farm (120.38° E, 33.94° N) and Jinhaidao (120.44° E, 33.81° N), Yancheng, Jiangsu, China in 2021 and 2022. The Linhai Farm and Jinhaidao are approximately 41 km and 7 km from the Yellow Sea and share similar climatic conditions (Supplementary Materials: Figure S1). Linhai Farm has been engaged in rice-based rotation for nearly 60 years, which has helped to greatly decrease the soil salinity level. The experimental field at Jinhaidao is a relatively new reclaimed mudflat with a 2-year rice-planting history before our study. The soil’s physicochemical properties, such as soil organic carbon (SOC) and the electrical conductivity of soil-saturated paste extract (ECe), were determined following the method of Tejada et al. [28]. Soil was collected from a 0–20 cm depth and analyzed before the rice season across two study years. The two experimental sites differed mainly in their soil salinity concentration (the ECe of the experimental field at Linhai Farm ranged from 0.6 to 0.8 ds m−1, and the ECe of the experimental field at Jinhaidao ranged from 8.1 to 8.6 ds m−1), and other soil characteristics were relatively similar in the two fields across two years (Supplementary Materials: Table S1). Therefore, the experimental fields at Linhai Farm and Jinhaidao were regarded as a non-saline field (NSF) and a high-saline field (HSF), respectively, according to the saline soil classification by the USDA [29].

2.2. Rice Cultivar, Experimental Design, and Field Management

Two rice cultivars currently planted in local production, Ningjing 7 (NJ 7, salinity-tolerant rice) and Wuyunjing 30 (WYJ 30, salinity-susceptible rice), were grown in the paddy fields. Ningjing 7 produces higher (p < 0.01) grain yield and lower (p < 0.01) yield loss than Wuyunjing 30 under salinity stress [30,31]. The two cultivars are both japonica inbred rice, and similar in terms of the growth period from sowing to heading and from heading to maturity, as well as their total growth durations (Supplementary Materials: Table S2). Seeds of the two cultivars were kindly provided by Kingearth Seed Company (Yangzhou, Jiangsu, China).
The field experiments adopted a randomized block design with three replications for two years. Each plot covered 32 m2 (8 m × 4 m) in 2021 and 36 m2 (9 m × 4 m) in 2022. Seeds of the rice cultivars were sown on 20 May and transplanted on 9 June at a hill spacing of 0.3 m × 0.12 m with four seedlings per hill. The fertilizer management was the same in the two fields for the two study years. The total nitrogen (N) application rate was 270 kg ha−1, with a ratio of 3:3:2:2 at 1 day (d) before transplanting, 7 d after transplanting, panicle initiation, and penultimate-leaf-appearance stage, respectively. In addition, 150 kg ha−1 of phosphorus fertilizer and 180 kg ha−1 of potassium fertilizer were applied at 1 d before transplanting. Irrigation methods during the rice-growing periods followed local recommendations; a water layer (1–2 cm) on the soil surface was maintained from rice transplanting to heading, and alternate wetting and drying irrigation was applied from heading to maturity. Weed and pest management were consistent across the experimental plots and followed local recommendations.

2.3. Sampling and Measurement

We used the same sampling and measurement methods at NSF and HSF for two years. The plants of 5 hills in each plot were collected and divided into leaves and stems at jointing, and panicles, leaves, and stems at heading and maturity; consecutively, the dry weights of the rice parts were determined after oven-drying (Memmert UF 260, Memmert GmbH, Büchenbach, Germany) at 75 °C for 80 h.
The leaf photosynthetic rate and relative chlorophyll content of the flag leaf were determined at 20 and 40 days after heading (DAH). The flag leaf photosynthetic rate was measured using two portable photosynthetic instruments (LI-6400, Li-Cor, Lincoln, NE, USA) with three replications. The photosynthetic instrument was calibrated following the instructions of the manufacturer, and measurements were conducted between 9:30 and 11:30 in the field. The relative chlorophyll content of the flag leaf was measured with the SPAD chlorophyll meter (SPAD-502, Konica Minolta, Osaka, Japan), and such measurements were performed between 15:00 and 16:30, with six replications in the field.
Plants heading and flowering on the same date were labeled as single stems with similar growing conditions, and 600 single stems were selected in each plot. The single plants were collected from heading to maturity, and 15 samples were collected at 4 d intervals to determine the grain-filling dynamics of SG and IG. The total sampling times of two rice cultivars planted at NSF and HSF were consistently 14, based on the grain-filling period (Supplementary Materials: Table S2). The SGs were grains flowering on the first 2 d, and the IGs were those flowering on the last 2 d. At each sampling, SG and IG were harvested and dried in an oven at 105 °C for 30 min, and then at 75 °C until constant weight.
Furthermore, labeled plants were collected at 15, 30, and 45 DAH to determine the total starch content and key enzyme activities involved in the starch synthesis of SG and IG. The total starch content was determined using a commercial kit (BC0700, Beijing Solarbio Science & Technology, Beijing, China). The key enzymes involved in the starch synthesis of rice included AGPase, GBSS, SSS, and SBE. The four enzymes’ activities were determined using commercial assay kits (BC0430, BC3295, BC1850, BC1865, Beijing Solarbio Science & Technology, Beijing, China). The detailed procedure of determining total starch content and the key enzyme activities followed the instructions of the manufacturer.
Rice plants from 200 hills were hand-harvested at maturity for grain yield measurement with a moisture content of 14% in each plot. Rice plants from 100 hills were collected to determine panicles per m2, and 20 hills were collected for measuring spikelets per panicle, filled-grain percentage, and grain weight in each plot. In addition, rice plants from 10 hills were collected to determine the filled-grain percentage and grain weight of SG and IG in each plot.

2.4. Model Analysis of Grain Filling

In this study, Richards’s equation with a better-fit coefficient was adopted to simulate rice grain-filling dynamics. Richards’s equation was expressed as:
W = A ( 1 + B e k t ) 1 N
where W represents the grain weight, A represents the final grain weight, and t represents the days after heading. The parameters B, K, and N were computed by the regression equation. The deviation of Equation (1) is the grain-filling rate Equation (2).
G = A K B e K t N ( 1 + B e K t ) ( N + 1 ) N
After the parameters of Richards’s equation were estimated, the maximum grain-filling rate (Gmax), mean grain-filling rate (Gmean), the time to achieve the maximum grain-filling rate (Tmax), and effective grain-filling period (EP) were calculated as follows:
G max = A K ( 1 + N ) N + 1 N ,   G mean = A K 2 ( N + 2 ) ,   T max = I n B I n N K   ,   EP = I n 100 99 N 1 B K
The rice grain-filling process can be divided into early (0–t1), middle (t1–t2), and late stages (t2–t3). The t1, t2, t3, and Gmean during such three stages were calculated as follows:
t 1 = I n N 2 + 3 N + N ( N 2 + 6 N + 5 ) 1 / 2 2 B K ,   t 2 = I n N 2 + 3 N N ( N 2 + 6 N + 5 ) 1 / 2 2 B K ,   t 3 = I n 100 99 N 1 B K
G mean   during   early   stage = W 1 t 1 ,   G mean   during   middle   stage = W 2 W 1 t 2 t 1 ,   G mean   during   late   stage = W 3 W 2 t 3 t 2

2.5. Statistical Analysis

The data were processed using analysis of variance (ANOVA) with the least significant difference (LSD) in SPSS 17.0 Software (SPSS Inc., Chicago, IL, USA). The figures were drawn with Sigmaplot 11 (Systat Software, Inc., Richmond, CA, USA).

3. Results

3.1. Grain Yield and Yield Components

When averaged across two years, the grain yields of NJ 7 and WYJ 30 at HSF were 37.7% and 49.8% lower (p < 0.05) than those at NSF. For NJ 7 and WYJ 30, the yield reductions at HSF were both attributable to the decreased (p < 0.05) panicles per m2, spikelets per panicle, filled-grain percentage, and grain weight. NJ 7 and WYJ 30 shared a similar grain yield at NSF, while NJ 7 exhibited a 24.8% higher (p < 0.05) grain yield than WYJ 30 at HSF. NJ 7 had consistently higher (p < 0.05) spikelets per m2 due to the presence of more spikelets per panicle, a greater filled-grain percentage, and greater grain weight than WYJ 30 at HSF (Table 1).
For NJ 7 and WYJ 30, the numbers of SG and IG on the panicle were both lower (p < 0.05) at HSF than those at NSF across two years. The filled-grain percentage and grain weight in SG and IG of NJ 7 and WYJ 30 were decreased (p < 0.05) at HSF, compared with those at NSF. The reductions in filled-grain percentage and grain weight in IG were more extensive than those in SG of NJ 7 and WYJ 30 at HSF. For example, the grain weights in SG and IG of WYJ 30 at HSF were 10.4% and 20.9% lower than those at NSF when averaged across two years. Compared with WYJ 30, NJ 7 had a consistently higher (p < 0.05) number of SGs and IGs on the panicle, and a higher filled-grain percentage and grain weight in SG and IG, especially at HSF (Table 2).

3.2. Dry Matter Weight, Leaf Photosynthetic Rate, and SPAD Values

The dry matter weight at jointing, heading, and maturity, as well as dry matter accumulation from jointing to heading and from heading to maturity, of NJ 7 and WYJ 30 were reduced (p < 0.05) at HSF, compared with those at NSF. For example, the values of dry matter accumulation from heading to maturity of NJ 7 and WYJ 30 at HSF were 73.7% and 130.8% lower than those at NSF across the two study years, respectively. For NJ 7 and WYJ 30, the harvest index was higher (p < 0.05) at HSF than that at NSF. Compared with WYJ 30, NJ 7 had a consistently higher (p < 0.05) dry matter weight at jointing, heading, and maturity, and greater dry matter accumulation from heading to maturity at HSF. There was no significant difference in the harvest index between NJ 7 and WYJ 30 at NSF, while NJ 7 exhibited a higher (p < 0.05) harvest index than WYJ 30 at HSF (Table 3).
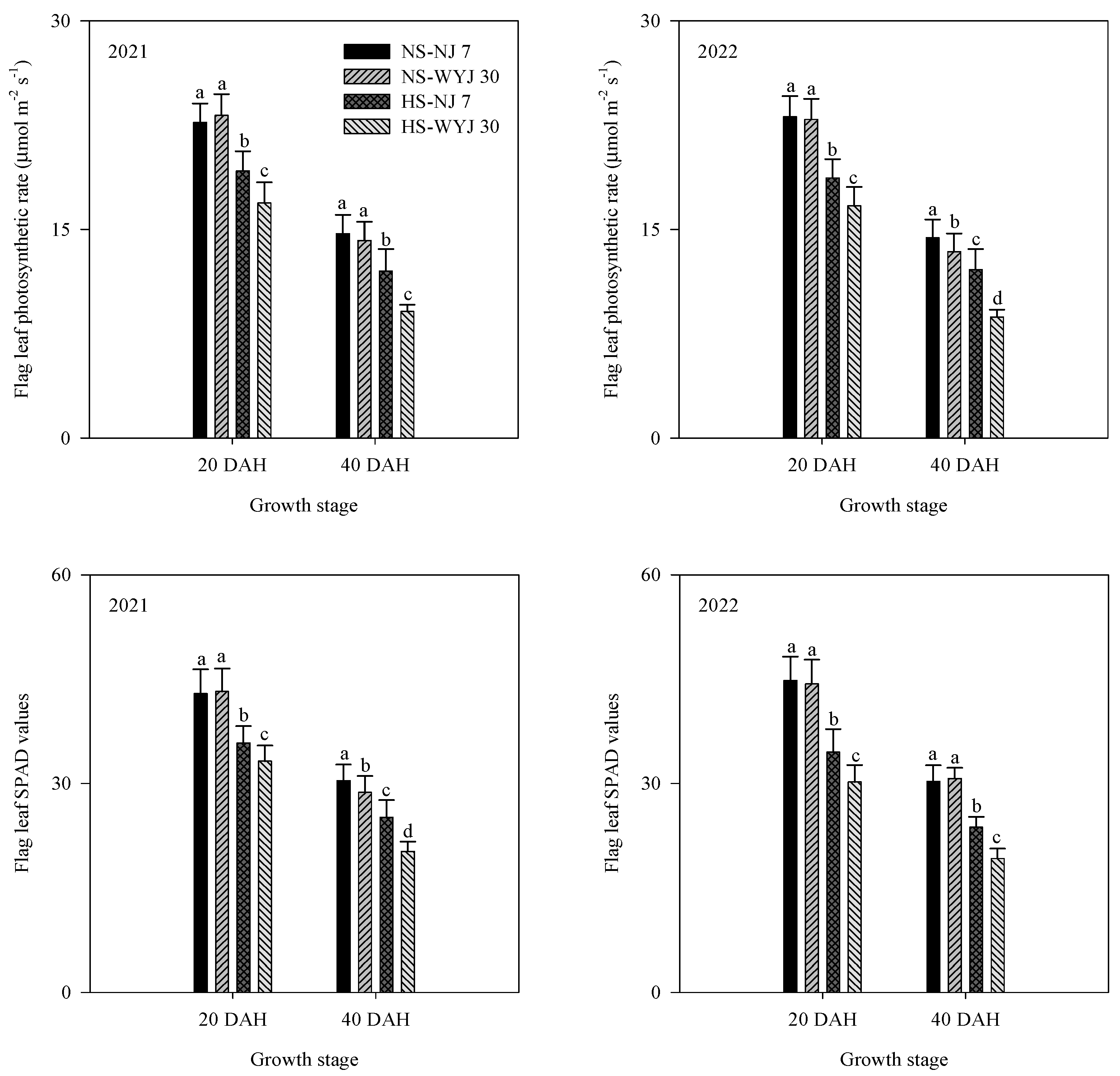
For NJ 7 and WYJ 30, the flag leaf photosynthetic rate and SPAD values at 20 and 40 DAH at HSF were lower (p < 0.05) than those at NSF across the two years. For example, the flag leaf photosynthetic rate and SPAD values of NJ 7 at 20 DAH at HSF were 20.8% and 24.8% lower than those at NSF across two years. Compared with WYJ 30, NJ 7 had a 12.8% higher (p < 0.05) flag leaf photosynthetic rate at 20 DAH and a 35.4% higher rate at 40 DAH at HSF across two years. Similarly, NJ 7 had higher (p < 0.05) flag leaf SPAD values at 20 and 40 DAH than WYJ 30 at HSF (Figure 1).

3.3. Total Starch Content and Related Enzyme Activities

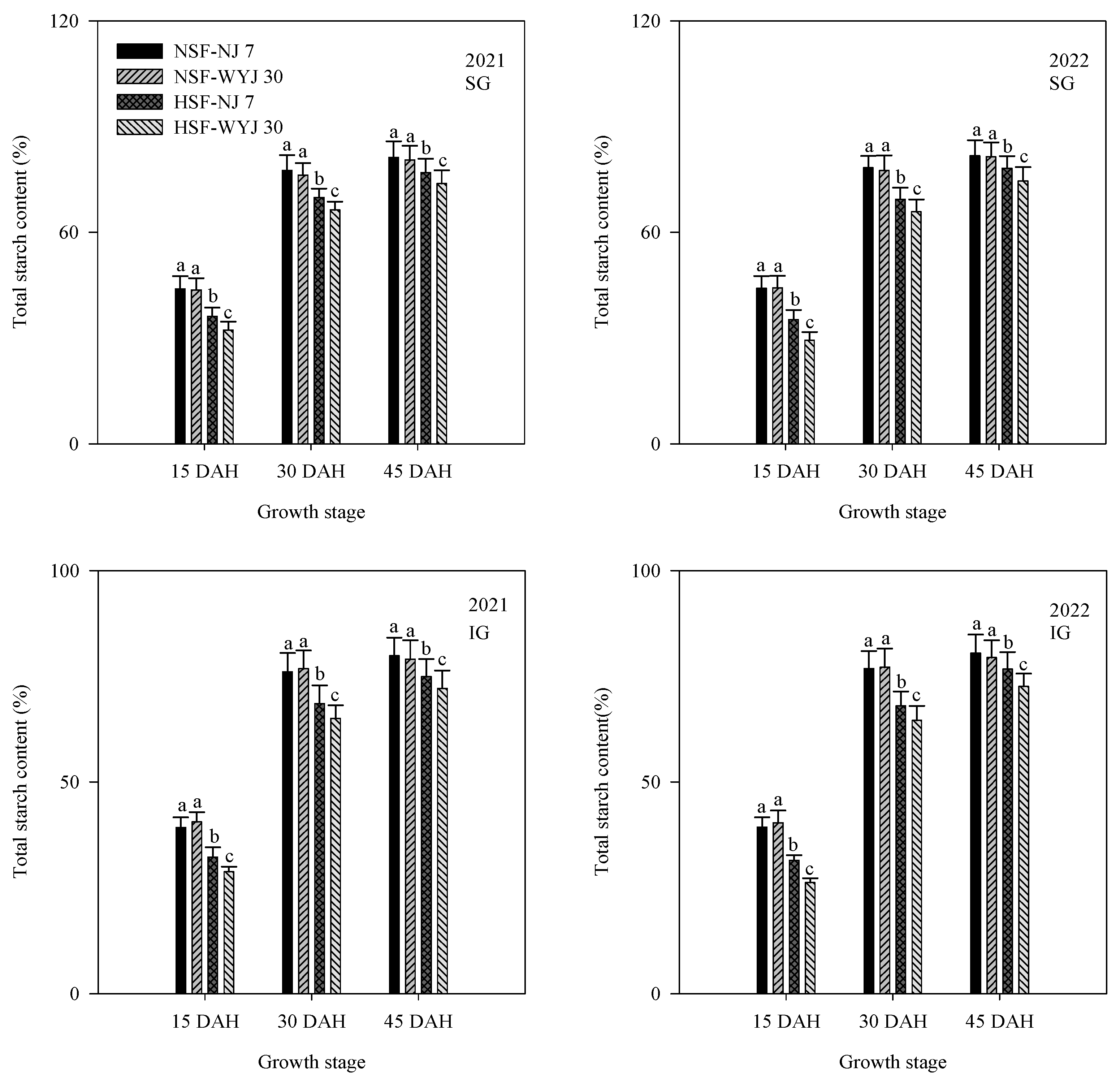
Total starch content in SG and IG of NJ 7 and WYJ 30 at 15, 30, and 45 DAH were reduced (p < 0.05) at HSF, compared with those at NSF. For example, the total starch content in SG at 15, 30, and 45 DAH of WYJ 30 at HSF was decreased by 42.6%, 16.3%, and 9.1% across the two years, compared with the values at NSF, respectively. There were no significant differences in total starch content in SG and IG between NJ 7 and WYJ 30 at NSF. The total starch content in SG at 15, 30, and 45 DAH was higher (p < 0.05) for NJ 7 than for WYJ 30 at HSF. Similar results were observed for total starch content in IG between NJ 7 and WYJ 30 at HSF (Figure 2).
The AGPase, GBSS, and SSS activities after heading in SG and IG of NJ 7 and WYJ 30 at HSF were all lower (p < 0.05) than those at NSF, while such a trend was not detected for the SBE activity. The reductions in AGPase, GBSS, and SSS activities after heading in SG and IG of WYJ 30 at HSF were more pronounced than those of NJ 7. For example, the AGPase activity in SG at 15 30, and 45 DAH of NJ 7 was decreased by 53.4%, 42.7%, and 78.5% at HSF, while the AGPase activity in IG at 15, 30, and 45 DAH of NJ 7 was decreased by 98.4%, 56.8%, and 105.4% at HSF, respectively. Generally, NJ 7 had higher (p < 0.05) AGPase, GBSS, and SSS activities after heading than WYJ 30 at NSF and HSF (Table 4 and Table 5).

3.4. Grain-Filling Dynamics and Characteristics

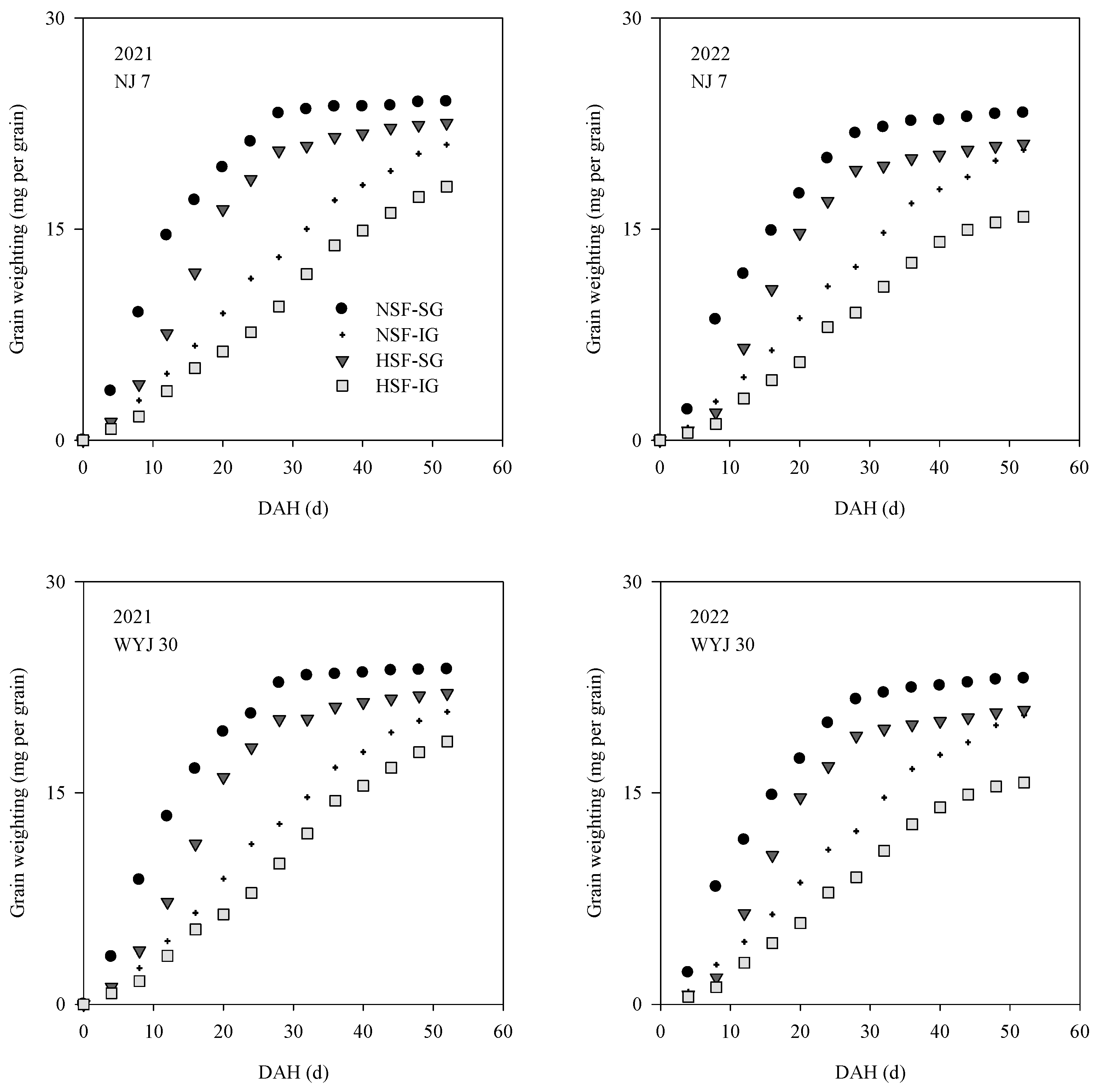
For NJ 7 and WYJ 30, the grain weight in SG increased first and then stabilized, while the grain weight in IG increased throughout the measurement period (Figure 3).
Generally, the differences in grain weight between SG and IG of NJ 7 and WYJ 30 were widened at HSF, compared with those at NSF. The grain-filling dynamics in SG and IG of NJ 7 and WYJ 30 at NSF and HSF were well fitted by the Richards equation (R2 ≥ 0.960, Table 6).
The Gmax and Gmean in SG and IG were both lower at HSF than those at NSF, especially for WYJ 30. For example, the Gmax and Gmean values in IG of NJ 7 were 11.3% and 10.3%, respectively, while for WYJ 30 they were 18.3% and 17.4% lower at HSF than those at NSF across two years. The Tmax of NJ 7 was increased by 21.6% in SG and 8.2% in IG, while it was 14.0% in SG and 3.7% in IG for WYJ 30 across two years at HSF, compared with those at NSF. Generally, the EP values in SG of NJ 7 and WYJ 30 were increased at HSF; however, such a trend was not detected for EP in IG. NJ 7 had consistently higher Gmax and Gmean in SG and IG, but lower Tmax and EP than WYJ 30 at NSF and HSF (Table 7).
The duration values (days) in SG during the early, middle, and late stages of NJ 7 and WYJ 30 were higher at HSF than at NSF, while these values were not consistent with those in IG during the early, middle, and late stages. The Gmean and GFA in SG and IG during the early, middle, and late stages of NJ 7 and WYJ 30 were lower at HSF than those at NSF. For NJ 7 and WYJ 30, the reductions in GFA in IG during the early, middle, and late stages at HSF were greater than those in SG. When averaged across two years and two cultivars, the GFA values in SG during the early, middle, and late stages at HSF were decreased by 57.0%, 28.4%, and 14.6%, respectively, while they were decreased by 66.0%, 51.9%, and 44.3% for IG. NJ 7 exhibited higher GFA values due to Gmean in SG and IG during the early, middle, and late stages than WYJ 30 at NSF and HSF (Table 8).

3.5. Correlation Analysis

Total starch contents in SG and IG at 15, 30, and 45 DAH were positively (p < 0.05, p < 0.01) correlated with actual grain yield and dry matter weight at maturity. Gmax and Gmean in SG and IG were positively (p < 0.05, p < 0.01), while Tmax was negatively (p < 0.05, p < 0.01), correlated with actual grain yield and dry matter weight at maturity. Gmean and GFA during the early, middle, and late stages in SG and IG were positively (p < 0.05, p < 0.01) correlated with actual grain yield and dry matter weight at maturity (Table 9).

4. Discussion

4.1. Grain Yield Formation of Rice at Saline Field

Salinity stress is one of the major abiotic stresses causing yield loss in rice [14,15,16]. The present study was conducted in a saline field, with great differences especially in soil salinity level between NSF and HSF; besides this, soil organic carbon, total nitrogen, and available phosphorus at NSF were consistently higher than those at HSF (Supplementary Materials: Table S1), which indicates the poor soil nutrient availability of saline lands [32,33]. Here, our results clearly show that salinity stress affected (p < 0.01) rice grain yield and yield components, with a rice yield reduction of 36.1–50.1% for two varieties grown in saline soil compared to non-saline soil (Table 1). Previous studies reported that the yield loss of rice under salinity was attributable to decreased spikelets per panicle and grain weight [34], spikelets per panicle and filled-grain percentage [35], panicles per m2, spikelets per panicle, filled-grain percentage, and grain weight [4,36]. In this study, panicles per m2, spikelets per panicle, filled-grain percentage, and grain weight of rice cultivars were all decreased, and this resulted in a yield penalty of rice at HSF (Table 1), consistent with the studies of Meng et al. [4] and Zhu et al. [36].
Rice yield loss was closely associated with poor leaf photosynthetic characteristics under salinity stress [17]. It was reported that salinity stress undermined leaf protective enzyme systems, and resulted in poor leaf photosynthetic functions and premature leaf senescence in plants [37,38]. In this study, the flag leaf photosynthetic rate and SPAD values at 20 and 40 DAH of rice were decreased (p < 0.05) under salinity (Figure 1), which might lead to poor leaf assimilation capacity and lower biomass accumulation (Table 3). For cereals, grain yield is a function of total shoot biomass and harvest index. Previous studies have reported that salinity lowered the shoot biomass weight of rice, yet the effect on the harvest index remained controversial [4,34,39]. For example, Zeng and Shannon [34] reported that total shoot biomass and harvest index were both reduced under salinity stress; Meng et al. [4] concluded that salinity stress decreased total shoot biomass while increasing harvest index. Here, our results demonstrate that dry matter weight at maturity was reduced, while the harvest index was increased, for NJ 7 and WYJ 30 under saline field conditions. This result indicates that the yield loss of rice under salinity stress can mainly be attributed to the lower shoot biomass weight rather than the harvest index. The increased harvest index under salinity stress was closely associated with the plant senescence of rice. As mentioned above, leaf photosynthetic rate and SPAD values after heading were decreased under salinity stress (Figure 1), and it has been shown that the accelerated plant senescence of rice could enhance non-structural carbohydrates’ (NSCs’) remobilization and increase the harvest index [40,41,42]. Besides this, the dry matter weight and harvest index were affected (p < 0.01, p < 0.05) by rice cultivar; NJ 7 (salinity-tolerant rice) produced a higher (p < 0.05) dry matter weight at maturity and a higher harvest index than WYJ 30 (salinity-susceptible rice) at HSF (Table 3), indicating that the improved assimilate accumulation and assimilate transportation efficiency both contributed to the higher grain yield of NJ 7 under saline field conditions.

4.2. Effects of Salinity Stress on Grain-Filling Characteristics of Rice at Saline Field

For rice, the different responses of filled-grain percentage and grain weight between SG and IG to abiotic stresses (such as elevated temperature and drought) have been reported previously [11,12,13,43]. For example, Dou et al. [11] concluded that elevated temperature decreased the grain weight of SG while increasing the grain weight of IG. Our results demonstrate that the number of SGs and IGs, filled-grain percentage and grain weight in SG and IG were decreased under soil salinity. However, the decreases in filled-grain percentage and grain weight in IG were more pronounced than those in SG when subjected to salinity stress (Table 2). This result is not fully consistent with the report of Dou et al. [11]. The disagreement might be due to the different abiotic stresses and their duration. In comparison, salinity stress applied in this study is a long-term stress, while the elevated temperature in the study of Dou et al. [11] is a relatively short-term stress; therefore, salinity stress inhibited both filled-grain percentage and grain weight in rice grains, especially for IG.
Rice grain-filling is a process of starch biosynthesis and accumulation [22]. In this study, salinity stress greatly affected starch accumulation and lowered total starch content in SG and IG (Figure 2). The synthesis and accumulation of starch in rice grains are regulated by changes in AGPase, GBSS, SSS, and SBE activities [25]. Our results indicate that salinity stress affected (p < 0.01) the AGPase, GBSS, SSS, and SBE activities in SG and IG; the AGPase, GBSS, and SSS activities after heading in the SGs and IGs of two rice cultivars were all reduced (p < 0.05) with the increase in soil salinity level, while such a trend was not detected for the SBE activity (Table 4 and Table 5). AGPase is proven to be an important enzyme promoting the production of the crucial precursor substance ADP–glucose (ADPG) for starch synthesis in grains, and the decrease in the activity of AGPase implies that less sucrose is converted into ADPG, lowering the rate of starch synthesis [25]. GBSS, SSS, and SBE are key enzymes involved in both amylose and amylopectin synthesis [22]. The effects of salinity stress on rice grain starch content, amylose content and amylopectin content, as well as the related enzyme activities, were not fully consistent, which might be attributed to the differences in salinity level and rice variety sensitivity to salinity [44,45,46]. For example, Chen et al. [44] reported that salinity stress significantly decreased the GBSS activity, while not for AGPase, SBE, and SSS activities in rice; the salinity-induced repression of GBSS activity was the most significant factor reducing the starch accumulation of rice. Sangwongchai et al. [46] reported that the GBSS and SBE activities of salinity-tolerant rice cultivars were increased significantly under salinity stress, leading to the increase in starch. The present study suggests that the activities of key enzymes involved in starch synthesis of SG and IG were inhibited under salinity stress and led to lower total starch contents in rice grains. Our results also show that the activities of key enzymes involved in starch synthesis were affected (p < 0.01, p < 0.05) by rice cultivar; NJ 7 (salinity-tolerant rice) had higher (p < 0.05) AGPase, GBSS, and SSS activities after heading (Table 4 and Table 5), which contributed to higher total starch content in SG and IG than in WYJ 30 (salinity-susceptible rice) (Figure 2). These findings indicate that higher activities of key enzymes involved in starch synthesis are beneficial for starch accumulation in grains. Starch accumulation in turn might be an important characteristic underlying the salinity tolerance of NJ 7 (Table 9).
Previous studies adopted the Richards equation to simulate the grain-filling of rice under the stresses of higher and lower temperatures and drought [11,12,13]. In this study, the grain-filling dynamics in SG and IG of two rice cultivars at NSF and HSF were well fitted by the Richards equation (R2 ≥ 0.960, Table 6). This result suggests that the Richards equation was well fitted to simulate grain-filling dynamics of rice under abiotic stresses. The present study has shown that NJ 7 and WYJ 30 were rice cultivars of synchronous grain-filling type under both NSF and HSF, based on the time difference between the points at which the SG and IG reached their Gmax (Table 7). This result indicates that salinity stress did not change rice grain-filling patterns. Similar to the other abiotic stresses [11,12], salinity stress reduced the Gmax and Gmean while increasing the Tmax in SG and IG; salinity stress also decreased the Gmean and GFA in SG and IG during the early, middle, and late stages of rice (Table 7 and Table 8). Such results indicate that salinity stress lowered the grain-filling rate and resulted in the significant deterioration of sink-filling efficiency and grain yield (Table 1 and Table 9). Besides this, our results show that the reductions in GFA in IG during the early, middle, and late stages at HSF were greater than those in SG, suggesting that the inhibitory effects of salinity stress on the grain-filling rate and amount of IG were stronger than those of SG (Table 8). It was reported that IG in the panicle generally has a poor physiological structure, which might limit its ability to compete for assimilates [47,48]; meanwhile, the key enzyme activities involved in the starch synthesis of IG were inhibited under salinity stress (Table 4 and Table 5). Therefore, salinity stress greatly influenced rice starch synthesis and accumulation (Figure 2, Table 4 and Table 5).

5. Conclusions

Salinity stress negatively affected rice the grain-filling characteristics, especially for the salinity-susceptible variety. Across the two varieties, rice yield was decreased by 36.1–50.1% in a saline field compared to non-saline field conditions. Salinity stress inhibited the leaf photosynthetic characteristics and reduced the biomass accumulation while increasing the harvest index. Salinity stress decreased total starch content, as well as the AGPase, GBSS, and SSS activities after heading in SG and IG. Salinity stress greatly lowered the grain-filling rate and resulted in the significant deterioration of grain-filling efficiency and grain yield. Salinity stress had a greater inhibitory effect on the grain-filling characteristics of IG than the effect it had on those of SG. Further studies may focus on investigating the sink–source relationship, grain nutrients’ dynamic transport processes, and the hormonal action and biochemical processes of salinity-affected rice, which can provide guidance for developing salinity-tolerant varieties and management strategies for rice under saline conditions.

Supplementary Materials

The following supporting information can be downloaded at: https://www.mdpi.com/article/10.3390/agronomy14112687/s1, Figure S1: Mean temperature, sunshine hours, and rainfall per month during rice growing seasons at the two sites in 2021 and 2022; Table S1: The main soil physical and chemical properties of two experimental fields at 2021 and 2022; Table S2: Growth period and total growth duration of rice in two fields across two years.

Author Contributions

Conceptualization, H.W., Y.C. and Q.D.; methodology, X.Z., X.G., Y.C. and T.M.; software, H.W., J.Z., W.M. and T.M.; investigation, B.Z. and J.Z.; data curation, H.W., B.Z., J.Z., W.M., X.Z. and L.W; formal analysis, H.W., B.Z., J.Z., W.M., X.Z., L.W. and X.G., resources, W.M., writing—original draft preparation, H.W. and T.M.; visualization, B.Z., L.W., X.G. and Y.C.; supervision, Q.D.; funding acquisition, H.W., T.M. and Q.D. All authors have read and agreed to the published version of the manuscript.

Funding

This research was funded by National Natural Science Foundation of China (32472222, 32001466), Key Research and Development Program of Jiangsu Province (BE2023355), National Key Research and Development Program (2022YFE0113400), Natural Science Foundation of the Jiangsu Higher Education Institutions of China (23KJA210004), and Priority Academic Program Development of Jiangsu Higher Education Institutions (PAPD).

Data Availability Statement

The datasets used and/or analyzed in the present study are available from the corresponding author upon reasonable request.

Conflicts of Interest

The authors declare that they have no conflicts of interest, financial or otherwise.

References

  1. Rezvi, H.U.; Tahjib-Ul-Arif, M.; Azim, M.A.; Tumpa, T.A.; Tio, M.M.H.; Najnine, F.; Dawood, M.F.A.; Skalicky, M.; Brestic, M. Rice and food security: Climate change implications and the future prospects for nutritional security. Food Energy Secur. 2023, 12, 1. [Google Scholar] [CrossRef]
  2. Clapp, J.; Moseley, W.G.; Burlingame, B.; Termine, P. Viewpoint: The case for a six-dimensional food security framework. Food Policy 2022, 106, 102164. [Google Scholar] [CrossRef]
  3. Liu, B.S.; Liu, Y.; Huang, G.Z.; Jiang, X.T.; Liang, Y.P.; Yang, C.; Huang, L.H. Comparison of yield prediction models and estimation of the relative importance of main agronomic traits affecting rice yield formation in saline-sodic paddy fields. Eur. J. Agron. 2023, 148, 126870. [Google Scholar] [CrossRef]
  4. Meng, T.Y.; Zhang, X.B.; Ge, J.L.; Chen, X.; Yang, Y.L.; Zhu, G.L.; Chen, Y.L.; Zhou, G.S.; Wei, H.H.; Dai, Q.G. Agronomic and physiological traits facilitating better yield performance of japonica/indica hybrids in saline fields. Field Crops Res. 2021, 271, 108255. [Google Scholar] [CrossRef]
  5. Ferichani, M.; Prasetya, D.A. System of rice intensification increases rice productivity on saline soil. Paddy Water Environ. 2017, 15, 649–657. [Google Scholar] [CrossRef]
  6. Numan, M.; Bashir, S.; Khan, Y.; Mumtaz, R.; Shinwari, Z.K.; Khan, A.L.; Khan, A.; Al-Harrasi, A. Plant growth promoting bacteria as an alternative strategy for salt tolerance in plants: A review. Microbiol. Res. 2018, 209, 21–32. [Google Scholar] [CrossRef] [PubMed]
  7. Xu, Z.K.; Shao, T.Y.; Lv, Z.X.; Yue, Y.; Liu, A.H.; Long, X.H.; Zhou, Z.S.; Gao, X.M.; Rengel, Z. The mechanisms of improving coastal saline soils by planting rice. Sci. Total Environ. 2020, 703, 135529. [Google Scholar] [CrossRef] [PubMed]
  8. Liu, E.B.; Zeng, S.Y.; Zhu, S.S.; Liu, Y.; Wu, G.C.; Zhao, K.M.; Liu, X.L.; Liu, Q.M.; Dong, Z.Y.; Dong, X.J.; et al. Favorable alleles of grain-filling rate1 increase the grain-filling rate and yield of rice. Plant Physiol. 2019, 181, 1207–1222. [Google Scholar] [CrossRef]
  9. Teng, Z.N.; Chen, Y.K.; Yuan, Y.Q.; Peng, Y.Q.; Yi, Y.K.; Yu, H.H.; Yi, Z.X.; Yang, J.C.; Peng, Y.; Duan, M.J. Identification of microRNAs regulating grain filling of rice inferior spikelets in response to moderate soil drying post-anthesis. Crop J. 2022, 10, 962–971. [Google Scholar] [CrossRef]
  10. Zhang, Z.X.; Zhao, H.; Huang, F.L.; Long, J.F.; Song, G.; Lin, W.X. The 14-3-3 protein GF14f negatively affects grain filling of inferior spikelets of rice (Oryza sativa L.). Plant J. 2019, 99, 344–358. [Google Scholar] [CrossRef] [PubMed]
  11. Dou, Z.; Zhang, H.X.; Chen, W.Z.; Li, G.H.; Liu, Z.H.; Ding, C.Q.; Chen, L.; Wang, S.H.; Ding, Y.F.; Tang, S. Grain-filling of superior spikelets and inferior spikelets for japonica rice under low-amplitude warming regime in lower reaches of Yangtze River Basin. J. Agr. Sci. 2021, 159, 59–68. [Google Scholar] [CrossRef]
  12. Kimbembe, R.E.R.; Li, G.Y.; Fu, G.F.; Feng, B.H.; Fu, W.M.; Tao, L.X.; Chen, T.T. Proteomic analysis of salicylic acid regulation of grain filling of two near-isogenic rice (Oryza sativa L.) varieties under soil drying condition. Plant Physiol. Bioch. 2020, 151, 659–672. [Google Scholar] [CrossRef] [PubMed]
  13. Sun, Y.J.; Yan, F.J.; Sun, Y.Y.; Xu, H.; Guo, X.; Yang, Z.Y.; Yin, Y.Z.; Guo, C.C.; Ma, J. Effects of different water regimes and nitrogen application strategies on grain filling characteristics and grain yield in hybrid rice. Arch. Agron. Soil Sci. 2018, 64, 1152–1171. [Google Scholar] [CrossRef]
  14. Korres, N.E.; Loka, D.A.; Gitsopoulos, T.K.; Varanasi, V.K.; Chachalis, D.; Price, A.; Slaton, N.A. Salinity effects on rice, rice weeds, and strategies to secure crop productivity and effective weed control. A review. Agron. Sustain. Dev. 2022, 42, 58. [Google Scholar] [CrossRef]
  15. Zhang, R.; Wang, Y.; Hussain, S.; Yang, S.; Li, R.K.; Liu, S.L.; Chen, Y.L.; Wei, H.H.; Dai, Q.G.; Hou, H.Y. Study on the effect of salt stress on yield and grain quality among different rice varieties. Front. Plant Sci. 2022, 13, 918460. [Google Scholar] [CrossRef]
  16. Zheng, C.; Liu, C.T.; Liu, L.; Tan, Y.N.; Sheng, X.B.; Yu, D.; Sun, Z.Z.; Sun, X.W.; Chen, J.; Yuan, D.Y.; et al. Effect of salinity stress on rice yield and grain quality: A meta-analysis. Eur. J. Agron. 2023, 144, 126765. [Google Scholar] [CrossRef]
  17. Faseela, P.; Sinisha, A.K.; Brestic, M.; Puthur, J.T. Chlorophyll a fluorescence parameters as indicators of a particular abiotic stress in rice. Photosynthetica 2020, 58, 293–300. [Google Scholar] [CrossRef]
  18. Tisarum, R.; Theerawitaya, C.; Samphumphuang, T.; Polispitak, K.; Thongpoem, P.; Singh, H.P.; Cha-um, S. Alleviation of salt stress in upland rice (Oryza sativa L. ssp. indica cv. Leum Pua) using arbuscular mycorrhizal fungi inoculation. Front. Plant Sci. 2020, 11, 348. [Google Scholar] [CrossRef]
  19. Abulaiti, A.; She, D.L.; Liu, Z.P.; Sun, X.Q.; Wang, H.D. Application of biochar and polyacrylamide to revitalize coastal saline soil quality to improve rice growth. Environ. Sci. Pollut. R. 2023, 30, 18731–18747. [Google Scholar] [CrossRef]
  20. El-Hendawy, S.E.; Ruan, Y.; Hu, Y.; Schmidhalter, U. A comparison of screening criteria for salt tolerance in wheat under field and controlled environmental conditions. J. Agron. Crop Sci. 2009, 195, 353–367. [Google Scholar] [CrossRef]
  21. Upadhyay, S.K.; Singh, D.P. Effect of salt-tolerant plant growth-promoting rhizobacteria on wheat plants and soil health in a saline environment. Plant Biol. 2015, 17, 288–293. [Google Scholar] [CrossRef] [PubMed]
  22. Fujita, N.; Miura, S.; Crofts, N. Effects of various allelic combinations of starch biosynthetic genes on the properties of endosperm starch in rice. Rice 2022, 15, 24. [Google Scholar] [CrossRef] [PubMed]
  23. Chen, Y.L.; Fang, W.C.; Chen, S.M.; Zhang, Y.; Ansah, E.O.; An, G.H.; Xiong, F.; Wu, Y.F. Effects of endogenous cytokinin on physicochemical properties of superior and inferior grain starch in rice. Starch Starke 2023, 75, 2200151. [Google Scholar] [CrossRef]
  24. Jiang, Q.; Du, Y.L.; Tian, X.Y.; Wang, Q.S.; Xiong, R.H.; Xu, G.C.; Yan, C.; Ding, Y.F. Effect of panicle nitrogen on grain filling characteristics of high-yielding rice cultivars. Eur. J. Agron. 2016, 74, 185–192. [Google Scholar] [CrossRef]
  25. Prathap, V.; Ali, K.; Singh, A.; Vishwakarma, C.; Krishnan, V.; Chinnusamy, V.; Tyagi, A. Starch accumulation in rice grains subjected to drought during grain filling stage. Plant Physiol. Biochem. 2019, 142, 440–451. [Google Scholar]
  26. Chen, Y.; Wang, M.; Ouwerkerk, P.B.F. Molecular and environmental factors determining grain quality in rice. Food Energy Secur. 2012, 1, 111–132. [Google Scholar] [CrossRef]
  27. Panda, B.B.; Badoghar, A.K.; Sekhar, S.; Kariali, E.; Mohapatra, P.K.; Shaw, B.P. Biochemical and molecular characterisation of salt-induced poor grain filling in a rice cultivar. Funct. Plant Biol. 2016, 43, 266–277. [Google Scholar] [CrossRef]
  28. Tejada, M.; Garcia, C.; Gonzalez, J.L.; Hernandez, M.T. Use of organic amendment as a strategy for saline soil remediation: Influence on the physical, chemical and biological properties of soil. Soil Biol. Biochem. 2006, 38, 1413–1421. [Google Scholar] [CrossRef]
  29. United States Salinity Laboratory. Diagnoses and Improvement of Saline and Alkali Soils. In Agriculture Handbook No 60; USDA: Washington, DC, USA, 1954; p. 160. [Google Scholar]
  30. Wei, H.H.; Zhang, X.B.; Ge, J.L.; Chen, X.; Meng, T.Y.; Yang, Y.; Xiong, F.; Chen, Y.L.; Dai, Q.G. Effects of salinity stress on spikelets formation and grains filling in rice (Oryza sativa L.). Acta Agron. Sin. 2021, 47, 2471–2480. [Google Scholar]
  31. Zhang, R.; Hussain, S.; Wang, Y.; Liu, Y.H.; Li, Q.; Chen, Y.L.; Wei, H.H.; Gao, P.L.; Dai, Q.G. Comprehensive evaluation of salt tolerance in rice (Oryza sativa L.) germplasm at the germination stage. Agronomy 2021, 11, 1569. [Google Scholar] [CrossRef]
  32. Singh, K. Microbial and enzyme activities of saline and sodic soils. Land Degrad. Dev. 2016, 27, 706–718. [Google Scholar] [CrossRef]
  33. Syed, A.; Sarwar, G.; Shah, S.H.; Muhammad, S. Soil salinity research in 21st century in Pakistan: Its impact on availability of plant nutrients, growth and yield of crops. Commun. Soil Sci. Plan. 2021, 52, 183–200. [Google Scholar] [CrossRef]
  34. Zeng, L.H.; Shannon, M.C. Effects of salinity on grain yield and yield components of rice at different seeding densities. Agron. J. 2000, 92, 418–423. [Google Scholar] [CrossRef]
  35. Zheng, C.K.; Zhou, G.H.; Zhang, Z.Z.; Li, W.; Peng, Y.B.; Xie, X.Z. Moderate salinity stress reduces rice grain yield by influencing expression of grain number- and grain filling-associated genes. J. Plant Growth Regul. 2021, 40, 1111–1120. [Google Scholar] [CrossRef]
  36. Zhu, G.L.; Li, H.T.; Shi, X.X.; Wang, Y.; Zhi, W.F.; Chen, X.B.; Liu, J.W.; Ren, Z.; Shi, Y.; Ji, Z.Y.; et al. Nitrogen management enhanced plant growth, antioxidant ability, and grain yield of rice under salinity stress. Agron. J. 2020, 112, 550–563. [Google Scholar] [CrossRef]
  37. Formentin, E.; Sudiro, C.; Perin, G.; Riccadonna, S.; Barizza, E.; Baldoni, E.; Lavezzo, E.; Stevanato, P.; Sacchi, G.A.; Fontana, P.; et al. Transcriptome and cell physiological analyses in different rice cultivars provide new insights into adaptive and salinity stress responses. Front. Plant Sci. 2018, 9, 204. [Google Scholar] [CrossRef]
  38. Park, D.Y.; Shim, Y.; Gi, E.; Lee, B.O.; An, G.; Kang, K.; Paek, N.C. The MYB-related transcription factor RADIALIS-LIKE3 (OsRL3) functions in ABA-induced leaf senescence and salt sensitivity in rice. Environ. Exp. Bot. 2018, 156, 86–95. [Google Scholar] [CrossRef]
  39. Villa, J.E.; Henry, A.; Xie, F.M.; Serraj, R. Hybrid rice performance in environments of increasing drought severity. Field Crops Res. 2012, 125, 14–24. [Google Scholar] [CrossRef]
  40. Xu, J.M.; Misra, G.; Sreenivasulu, N.; Henry, A. What happens at night? Physiological mechanisms related to maintaining grain yield under high night temperature in rice. Plant Cell Environ. 2021, 44, 2245–2261. [Google Scholar] [CrossRef]
  41. Yang, J.C.; Zhang, J.H. Grain filling of cereals under soil drying. New Phytol. 2006, 169, 223–236. [Google Scholar] [CrossRef]
  42. Zakari, S.A.; Asad, M.A.U.; Han, Z.Y.; Guan, X.Y.; Zaidi, S.H.R.; Gang, P.; Cheng, F.M. Senescence-related translocation of nonstructural carbohydrate in rice leaf sheaths under different nitrogen supply. Agron. J. 2020, 112, 1601–1616. [Google Scholar] [CrossRef]
  43. Tong, H.; Duan, H.; Wang, S.J.; Su, J.P.; Sun, Y.; Liu, Y.Q.; Tang, L.; Liu, X.J.; Chen, W.F. Moderate drought alleviates the damage to grain quality at high temperatures by improving the starch synthesis of inferior grains in japonica rice. J. Integr. Agric. 2022, 21, 3094–3101. [Google Scholar] [CrossRef]
  44. Chen, H.J.; Chen, J.Y.; Wang, S.J. Molecular regulation of starch accumulation in rice seedling leaves in response to salt stress. Acta Physiol. Plant. 2008, 30, 135–142. [Google Scholar] [CrossRef]
  45. Razzaq, A.; Ali, A.; Safdar, L.B.; Zafar, M.M.; Rui, Y.; Shakeel, A.; Shaukat, A.; Ashraf, M.; Gong, W.; Yuan, Y. Salt stress induces physiochemical alterations in rice grain composition and quality. J. Food Sci. 2020, 85, 14–20. [Google Scholar] [CrossRef] [PubMed]
  46. Sangwongchai, W.; Krusong, K.; Thitisaksakul, M. Salt tolerance at vegetative stage is partially associated with changes in grain quality and starch physicochemical properties of rice exposed to salinity stress at reproductive stage. J. Sci. Food Agric. 2022, 102, 370–382. [Google Scholar] [CrossRef] [PubMed]
  47. You, C.C.; Zhu, H.L.; Xu, B.B.; Huang, W.X.; Wang, S.H.; Ding, Y.F.; Liu, Z.H.; Li, G.H.; Chen, L.; Ding, C.Q.; et al. Effect of removing superior spikelets on grain filling of inferior spikelets in rice. Front. Plant Sci. 2016, 7, 1161. [Google Scholar] [CrossRef]
  48. Tsukaguchi, T.; Murakami, K.; Michimoto, T. A quantitative measure for assimilate partitioning efficiency in rice (Oryza sativa L.). Field Crops Res. 2016, 198, 122–130. [Google Scholar] [CrossRef]
Figure 1. Flag leaf photosynthetic rate and SPAD values at 20 and 40 DAH of rice in two fields across two years. NSF, non-saline field; HSF, high-saline field. NJ 7, Ningjing 7; WYJ 30, Wuyunjing 30. DAH, days after heading. Vertical bars represent ± standard deviation of the mean (n = 3). Different letters above the column indicate statistical significance at the 0.05 probability level.
Figure 1. Flag leaf photosynthetic rate and SPAD values at 20 and 40 DAH of rice in two fields across two years. NSF, non-saline field; HSF, high-saline field. NJ 7, Ningjing 7; WYJ 30, Wuyunjing 30. DAH, days after heading. Vertical bars represent ± standard deviation of the mean (n = 3). Different letters above the column indicate statistical significance at the 0.05 probability level.
Agronomy 14 02687 g001
Figure 2. Total starch content in SG and IG at 15, 30, and 45 DAH of rice at two fields across two years. NSF, non-saline field; HSF, high-saline field. SG, superior grains; IG, inferior grains. NJ 7, Ningjing 7; WYJ 30, Wuyunjing 30. DAH, days after heading. Vertical bars represent ± standard deviation of the mean (n = 3). Different letters above the column indicate statistical significance at the 0.05 probability level.
Figure 2. Total starch content in SG and IG at 15, 30, and 45 DAH of rice at two fields across two years. NSF, non-saline field; HSF, high-saline field. SG, superior grains; IG, inferior grains. NJ 7, Ningjing 7; WYJ 30, Wuyunjing 30. DAH, days after heading. Vertical bars represent ± standard deviation of the mean (n = 3). Different letters above the column indicate statistical significance at the 0.05 probability level.
Agronomy 14 02687 g002
Figure 3. Grain weighting after heading in SG and IG of rice at two fields across two years. NSF, non-saline field; HSF, high-saline field. SG, superior grains; IG, inferior grains. NJ 7, Ningjing 7; WYJ 30, Wuyunjing 30. DAH, days after heading.
Figure 3. Grain weighting after heading in SG and IG of rice at two fields across two years. NSF, non-saline field; HSF, high-saline field. SG, superior grains; IG, inferior grains. NJ 7, Ningjing 7; WYJ 30, Wuyunjing 30. DAH, days after heading.
Agronomy 14 02687 g003
Table 1. Grain yield and yield components of rice at two fields across two years.
Table 1. Grain yield and yield components of rice at two fields across two years.
YearField TypeCultivarPanicles
per m2
Spikelets
per Panicle
Spikelets
per m2 (×103)
Filled-Grain
Percentage (%)
Grain
Weight (mg)
Actual
Grain Yield
(t ha−1)
2021NSFNJ 7313 a148 a46.3 a87.5 b26.2 a10.0 a
WYJ 30320 a143 b45.8 a88.4 a25.4 b9.9 a
HSFNJ 7274 b121 c33.2 b80.8 c24.6 bc6.4 b
WYJ 30278 b112 d31.1 c74.3 d23.1 c5.0 c
2022NSFNJ 7324 a145 a47.0 a86.9 a25.9 a10.2 a
WYJ 30332 a140 b46.5 a87.2 a25.1 b10.2 a
HSFNJ 7293 b115 c33.7 b80.5 b24.1 c6.2 b
WYJ 30286 b109 d31.2 c74.1 c22.9 d5.1 c
Analysis of variance (ANOVA)
Yearnsnsnsnsnsns
Field type************
Cultivarns*ns******
Year × Field typensnsnsnsnsns
Year × Cultivarnsnsnsnsnsns
Field type × Cultivarnsnsns**ns**
Year × Field type × Cultivarnsnsnsnsnsns
NSF, non-saline field; HSF, high-saline field. NJ 7, Ningjing 7; WYJ 30, Wuyunjing 30. Values followed by different letters indicate statistical significance at the 0.05 probability level within the same year and the same column. In the ANOVA, ns is not significant at the 0.05 probability level, * is significant at the 0.05 probability level, and ** is significant at the 0.01 probability level, according to the LSD test.
Table 2. Number of SGs and IGs on the panicle, and filled-grain percentage and grain weight in SG and IG of rice at two fields across two years.
Table 2. Number of SGs and IGs on the panicle, and filled-grain percentage and grain weight in SG and IG of rice at two fields across two years.
YearField
Type
CultivarNumber of SGs
on the Panicle
Number of IGs
on the Panicle
SGIG
Filled-Grain
Percentage (%)
Grain Weight
(mg)
Filled-Grain
Percentage (%)
Grain Weight
(mg)
2021NSFNJ 717.2 a33.0 a91.7 b28.1 a82.7 b25.5 a
WYJ 3016.1 b30.7 b92.6 a27.2 b83.8 a25.0 b
HSFNJ 714.3 c26.5 c84.8 c26.4 c75.5 c22.5 c
WYJ 3012.4 d22.8 d77.7 d24.6 d68.9 d20.4 d
2022NSFNJ 716.9 a32.4 a90.9 a27.8 a84.4 a25.2 a
WYJ 3015.8 b29.8 b90.5 a26.9 b84.8 a24.7 b
HSFNJ 713.6 c25.2 c85.4 b25.8 c75.9 b22.6 c
WYJ 3012.1 d22.2 d78.5 c24.4 d67.3 c20.7 d
Analysis of variance (ANOVA)
Yearnsnsnsnsnsns
Field type************
Cultivar***********
Year × Field typensns**ns*ns
Year × Cultivarnsnsnsnsnsns
Field type × Cultivarnsns**ns****
Year × Field type × Cultivarnsnsnsnsnsns
NSF, non-saline field; HSF, high-saline field. SG, superior grains; IG, inferior grains. NJ 7, Ningjing 7; WYJ 30, Wuyunjing 30. Values followed by different letters indicate statistical significance at the 0.05 probability level within the same year and the same column. In the ANOVA, ns is not significant at the 0.05 probability level, * is significant at the 0.05 probability level, and ** is significant at the 0.01 probability level, according to the LSD test.
Table 3. Dry matter weight and accumulation, and harvest index of rice at two fields across two years.
Table 3. Dry matter weight and accumulation, and harvest index of rice at two fields across two years.
YearField TypeCultivarDry Matter Weight (t ha−1)Dry Matter Accumulation (t ha−1)Harvest Index
JointingHeadingMaturityJointing-HeadingHeading-Maturity
2021NSFNJ 74.1 a10.6 a17.2 a6.5 a6.6 a0.497 c
WYJ 304.0 a10.7 a 16.9 b6.7 a6.2 b0.501 c
HSFNJ 72.4 b6.4 b10.3 c4.0 b3.9 c0.531 a
WYJ 302.0 c5.6 c8.2 d3.6 c2.6 d0.521 b
2022NSFNJ 73.8 a10.8 a 17.4 a7.0 a6.6 a0.501 c
WYJ 303.9 a10.8 a17.6 a6.9 a6.8 a0.498 c
HSFNJ 72.2 b6.3 b10.0 b4.1 b3.7 b0.531 a
WYJ 301.7 c5.8 c8.4 c4.1 b2.6 c0.520 b
Analysis of variance (ANOVA)
Yearnsnsnsnsnsns
Field type************
Cultivar****ns***
Year × Field typensnsnsnsnsns
Year × Cultivarnsnsnsnsnsns
Field type × Cultivar****ns****
Year × Field type × Cultivarnsnsnsnsnsns
NSF, non-saline field; HSF, high-saline field. NJ 7, Ningjing 7; WYJ 30, Wuyunjing 30. Values followed by different letters indicate statistical significance at the 0.05 probability level within the same year and the same column. In the ANOVA, ns is not significant at the 0.05 probability level, * is significant at the 0.05 probability level, and ** is significant at the 0.01 probability level, according to the LSD test.
Table 4. AGPase, GBSS, SSS, and SBE activities after heading in SG of rice at two fields across two years.
Table 4. AGPase, GBSS, SSS, and SBE activities after heading in SG of rice at two fields across two years.
YearField TypeCultivarAGPase Activity in SG
(mol min−1 mg−1)
GBSS Activity in SG
(mol min−1 mg−1)
SSS Activity in SG
(mol min−1 mg−1)
SBE Activity in SG
(U g−1)
15 DAH30 DAH45 DAH15 DAH30 DAH45 DAH15 DAH30 DAH45 DAH15 DAH30 DAH45 DAH
2021NSFNJ 715.8 a43.8 a14.1 a6.4 a16.8 a 4.5 a3.4 a5.3 a1.8 a3.8 a6.5 a2.3 a
WYJ 3012.5 b35.6 b11.5 b5.1 b13.6 b3.7 b2.9 b4.3 b1.7 a3.0 b5.3 b1.9 a
HSFNJ 710.3 c30.7 c7.9 c4.2 c11.8 c2.5 c2.3 c4.1 b1.1 b2.5 b4.3 c1.3 b
WYJ 306.3 d22.7 d5.6 d2.5 d8.9 d1.8 d1.3 d3.1 c0.8 b2.5 b3.5 d1.9 a
2022NSFNJ 715.7 a42.7 a13.5 a6.3 a16.3 a4.3 a3.9 a5.4 a1.9 a3.8 a6.3 a2.2 a
WYJ 3011.3 b32.9 b10.5 b4.6 b12.6 b3.4 b2.9 b4.3 b1.5 b3.7 a5.9 a2.3 a
HSFNJ 710.7 b30.8 c7.3 c4.3 b11.9 b2.3 c2.5 b3.5 c1.3 b2.6 b5.4 a1.2 b
WYJ 305.6 c21.9 d5.4 d2.3 c8.8 c1.7 d1.4 c2.5 d0.7 c1.3 c3.4 b0.9 b
Analysis of variance (ANOVA)
Yearnsnsnsnsnsnsnsnsnsnsnsns
Field type************************
Cultivar********************ns
Year × Field typensnsnsnsnsnsnsnsnsnsnsns
Year × Cultivarnsnsnsnsnsnsnsnsnsnsnsns
Field type × Cultivarns**nsns*nsnsnsnsnsnsns
Year × Field type × Cultivarnsnsnsnsnsnsnsnsns*nsns
AGPase, ADP–glucose pyrophosphorylase; GBSS, granule-bound starch synthase; SSS, starch synthase; SBE, starch branching enzyme. NSF, non-saline field; HSF, high-saline field. SG, superior grains. NJ 7, Ningjing 7; WYJ 30, Wuyunjing 30. DAH, days after heading. Values followed by different letters indicate statistical significance at the 0.05 probability level within the same year and the same column. In the ANOVA, ns is not significant at the 0.05 probability level, * is significant at the 0.05 probability level, and ** is significant at the 0.01 probability level, according to the LSD test.
Table 5. AGPase, GBSS, SSS, and SBE activities after heading in IG of rice in two fields across two years.
Table 5. AGPase, GBSS, SSS, and SBE activities after heading in IG of rice in two fields across two years.
YearField TypeCultivarAGPase Activity in IG
(mol min−1 mg−1)
GBSS Activity in IG
(mol min−1 mg−1)
SSS Activity in IG
(mol min−1 mg−1)
SBE Activity in IG
(U g−1)
15 DAH30 DAH45 DAH15 DAH30 DAH45 DAH15 DAH30 DAH45 DAH15 DAH30 DAH45 DAH
2021NSFNJ 711.8 a37.4 a7.6 a5.6 a14.8 a3.3 a3.1 a4.9 a1.4 a3.2 a4.8 a1.7 a
WYJ 308.7 b30.4 b6.2 b4.1 b12.1 b2.7 b2.5 b4.0 b1.1 b3.3 a4.9 a1.4 a
HSFNJ 77.7 b25.4 c4.3 c3.6 b10.2 c1.8 c2.2 b3.7 c0.8 c2.1 b3.1 b1.0 a
WYJ 304.3 c19.7 d3.0 d2.0 c7.8 d1.3 d1.2 c2.6 c0.6 d1.2 c3.6 b0.7 a
2022NSFNJ 712.8 a36.5 a7.3 a6.1 a14.5 a3.1 a3.8 a4.8 a1.3 a3.5 a4.7 a2.1 a
WYJ 308.4 b28.1 b5.7 b4.0 b11.1 b2.4 b2.2 b3.7 b0.9 b2.3 b3.6 b1.3 b
HSFNJ 78.0 b26.2 b3.9 c3.8 b10.9 b1.7 c2.4 b3.3 c0.9 b2.2 b3.3 b1.3 b
WYJ 304.3 c19.1 c2.9 d2.0 c7.5 c1.1 d1.0 c2.2 d0.4 c2.2 b3.5 b1.7 ab
Analysis of variance (ANOVA)
Yearnsnsnsnsnsnsnsnsnsnsns**
Field type************************
Cultivar******************nsns
Year × Field typensnsnsnsnsnsnsnsns*nsns
Year × Cultivarnsnsnsnsnsnsnsnsnsnsnsns
Field type × Cultivarns*nsnsnsnsnsnsnsnsns*
Year × Field type × Cultivarnsnsnsnsnsnsnsnsns*ns*
AGPase, ADP–glucose pyrophosphorylase; GBSS, granule-bound starch synthase; SSS, starch synthase; SBE, starch branching enzyme. NSF, non-saline field; HSF, high-saline field. IG, inferior grains. NJ 7, Ningjing 7; WYJ 30, Wuyunjing 30. DAH, days after heading. Values followed by different letters indicate statistical significance at the 0.05 probability level within the same year and the same column. In the ANOVA, ns is not significant at the 0.05 probability level, * is significant at the 0.05 probability level, and ** is significant at the 0.01 probability level, according to the LSD test.
Table 6. Parameters of the Richards equation in SG and IG of rice at two fields across two years.
Table 6. Parameters of the Richards equation in SG and IG of rice at two fields across two years.
YearField TypeCultivarSGIG
ABNKR2ABNKR2
2021NSFNJ 723.2017222.2244.3000.5070.96419.74112,351.5104.0000.2850.978
WYJ 3022.4107586.7114.0000.4600.96519.3899851.4843.7270.2790.981
HSFNJ 721.6324867.7883.1000.4090.99017.12811,967.8103.4550.2660.985
WYJ 3020.2124417.2283.1280.3880.98615.27412,351.4803.3460.2800.985
2022NSFNJ 723.0067222.2304.2350.4930.96919.59110,031.5403.7270.2810.978
WYJ 3022.1227951.2024.0000.4630.96919.2049669.7433.7820.2770.980
HSFNJ 721.1904677.1063.1280.4040.99017.6429467.8133.2370.2640.985
WYJ 3020.0494417.2293.1280.3880.98615.20212,351.4803.4000.2800.986
NSF, non-saline field; HSF, high-saline field. SG, superior grains; IG, inferior grains. NJ 7, Ningjing 7; WYJ 30, Wuyunjing 30.
Table 7. Grain-filling parameters in SG and IG of rice at two fields across two years.
Table 7. Grain-filling parameters in SG and IG of rice at two fields across two years.
YearField TypeCultivarSGIG
Gmax
(mg grain−1 d−1)
Gmean
(mg grain−1 d−1)
Tmax (d)EP (d)Gmax
(mg grain−1 d−1)
Gmean
(mg grain−1 d−1)
Tmax (d)EP (d)
2021NSFNJ 71.510.93414.623.70.7520.46928.244.3
WYJ 301.380.86016.426.30.7550.47328.244.6
HSFNJ 71.370.86818.029.20.6630.41730.747.9
WYJ 301.210.76418.730.50.6350.40129.345.6
2022NSFNJ 71.470.91015.124.40.7680.48128.144.4
WYJ 301.370.85316.426.30.7360.46028.344.8
HSFNJ 71.320.83418.129.50.7040.44530.247.6
WYJ 301.200.75818.730.50.6250.39429.345.7
NSF, non-saline field; HSF, high-saline field. SG, superior grains; IG, inferior grains. NJ 7, Ningjing 7; WYJ 30, Wuyunjing 30. Gmax, maximum grain-filling rate; Gmean, mean grain-filling rate; Tmax, the time to achieve the maximum grain-filling rate; EP, effective grain-filling period.
Table 8. Grain-filling characteristics of early, middle and late stages in SG and IG of rice in two fields across two years.
Table 8. Grain-filling characteristics of early, middle and late stages in SG and IG of rice in two fields across two years.
YearField TypeCultivarEarly StageMiddle StageLate Stage
Duration Days (d)Gmean
(mg grain−1 d−1)
GFA (mg)Duration Days (d)Gmean
(mg grain−1 d−1)
GFA (mg)Duration Days (d)Gmean
(mg grain−1 d−1)
GFA (mg)
SG
2021NSFNJ 710.8 0.965 179 7.8 1.342 179 5.1 0.42237.4
WYJ 3012.2 0.795 156 8.4 1.228 1655.8 0.38335.6
HSFNJ 713.6 0.610 119 8.7 1.216 1516.8 0.36936.1
WYJ 3014.1 0.553 97 9.2 1.071 1227.2 0.32529.1
2022NSFNJ 711.1 0.919 1727.9 1.306 175 5.3 0.41036.7
WYJ 3012.3 0.782 151 8.3 1.219 160 5.7 0.38034.5
HSFNJ 713.7 0.597 1118.8 1.169 1416.9 0.35533.5
WYJ 3014.1 0.549 93.4 9.2 1.062 118 7.2 0.32328.1
IG
2021NSFNJ 721.5 0.399 28213.5 0.669 2999.3 0.20964.3
WYJ 3021.5 0.379 250 13.5 0.672 278 9.7 0.20861.6
HSFNJ 723.7 0.292 184 13.8 0.589 21610.3 0.18149.4
WYJ 3022.8 0.267 13913.0 0.564 1679.8 0.17338.7
2022NSFNJ 721.4 0.384 266 13.4 0.683 296 9.6 0.21165.6
WYJ 3021.5 0.377 242 13.7 0.655 2669.7 0.20358.6
HSFNJ 723.4 0.296 174 13.7 0.625 215 10.5 0.19050.5
WYJ 3022.7 0.268 13613.1 0.556 1619.8 0.17037.1
NSF, non-saline field; HSF, high-saline field. SG, superior grains; IG, inferior grains. NJ 7, Ningjing 7; WYJ 30, Wuyunjing 30. Gmean, mean grain-filling rate; GFA, grain-filling amount.
Table 9. Correlation analysis between actual grain yield and dry matter weight at maturity and grain-filling characteristics of rice in a saline field.
Table 9. Correlation analysis between actual grain yield and dry matter weight at maturity and grain-filling characteristics of rice in a saline field.
ParameterActual Grain YieldDry Matter Weight at Maturity
SGTotal starch content at 15 DAH0.83 *0.82 *
Total starch content at 30 DAH0.90 **0.89 **
Total starch content at 45 DAH0.81 *0.80 *
IGTotal starch content at 15 DAH0.84 **0.83*
Total starch content at 30 DAH0.90 **0.89 **
Total starch content at 45 DAH0.80 *0.79 *
SGGmax 0.84 **0.83 *
Gmean 0.80 *0.79 *
Tmax−0.92 **−0.92 **
EP−0.94 **−0.94 **
IGGmax 0.94 **0.93 **
Gmean 0.93 **0.92 **
Tmax−0.78 *−0.80 *
EP−0.69−0.71 *
SGEarly stageDuration days−0.92 **−0.92 **
Gmean 0.93 **0.93 **
GFA0.96 **0.96 **
Middle stageDuration days−0.92 **−0.91 **
Gmean 0.85 **0.84 **
GFA0.92 **0.91 **
Late stageDuration days−0.96 **−0.96 **
Gmean 0.89 **0.88 **
GFA0.78 *0.76 *
IGEarly stageDuration days−0.86 **−0.87 **
Gmean 0.99 **0.99 **
GFA 0.97 **0.96 **
Middle stageDuration days0.410.38
Gmean 0.94 **0.94 **
GFA0.96 **0.95 **
Late stageDuration days−0.59−0.62
Gmean 0.96 **0.95 **
GFA0.95 **0.94 **
SG, superior grains; IG, inferior grains. DAH, days after heading. Gmax, maximum grain-filling rate; Gmean, mean grain-filling rate; Tmax, the time to achieve the maximum grain-filling rate; EP, effective grain-filling period. GFA, grain-filling amount. *, p < 0.05; **, p < 0.01.
Disclaimer/Publisher’s Note: The statements, opinions and data contained in all publications are solely those of the individual author(s) and contributor(s) and not of MDPI and/or the editor(s). MDPI and/or the editor(s) disclaim responsibility for any injury to people or property resulting from any ideas, methods, instructions or products referred to in the content.

Share and Cite

MDPI and ACS Style

Wei, H.; Zuo, B.; Zhu, J.; Ma, W.; Zhang, X.; Wang, L.; Geng, X.; Chen, Y.; Meng, T.; Dai, Q. Grain-Filling Characteristics and Yield Formation of Rice at Saline Field. Agronomy 2024, 14, 2687. https://doi.org/10.3390/agronomy14112687

AMA Style

Wei H, Zuo B, Zhu J, Ma W, Zhang X, Wang L, Geng X, Chen Y, Meng T, Dai Q. Grain-Filling Characteristics and Yield Formation of Rice at Saline Field. Agronomy. 2024; 14(11):2687. https://doi.org/10.3390/agronomy14112687

Chicago/Turabian Style

Wei, Huanhe, Boyuan Zuo, Jizou Zhu, Weiyi Ma, Xiang Zhang, Lulu Wang, Xiaoyu Geng, Yinglong Chen, Tianyao Meng, and Qigen Dai. 2024. "Grain-Filling Characteristics and Yield Formation of Rice at Saline Field" Agronomy 14, no. 11: 2687. https://doi.org/10.3390/agronomy14112687

APA Style

Wei, H., Zuo, B., Zhu, J., Ma, W., Zhang, X., Wang, L., Geng, X., Chen, Y., Meng, T., & Dai, Q. (2024). Grain-Filling Characteristics and Yield Formation of Rice at Saline Field. Agronomy, 14(11), 2687. https://doi.org/10.3390/agronomy14112687

Note that from the first issue of 2016, this journal uses article numbers instead of page numbers. See further details here.

Article Metrics

Back to TopTop