Integrated Analysis of Solar-Induced Chlorophyll Fluorescence, Normalized Difference Vegetation Index, and Column-Average CO2 Concentration in South-Central Brazilian Sugarcane Regions
Abstract
1. Introduction
2. Materials and Methods
2.1. Description of Study Area
2.2. Satellite Data Products: Acquisition and Processing
2.3. Statistical Analysis
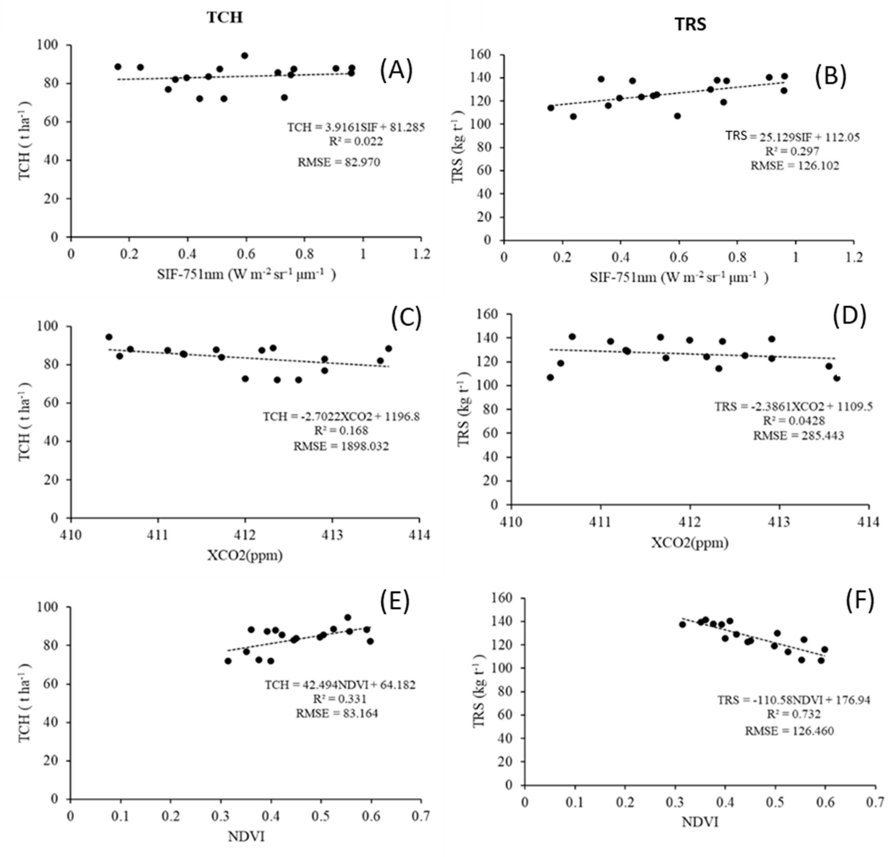
3. Results
4. Discussion
4.1. Air Temperature and Precipitation
4.2. Hydric Balance
4.3. Sugarcane Yield and Quality
4.4. Principal Component Analysis
4.5. SIF, xCO2, and NDVI
4.6. Response Surface
4.7. Practical Implications and Future Research Directions
5. Conclusions
Author Contributions
Funding
Data Availability Statement
Conflicts of Interest
References
- La Scala Junior, N.; De Figueiredo, E.; Panosso, A. A review on soil carbon accumulation due to the management change of major Brazilian agricultural activities. Braz. J. Biol. 2012, 72, 775–785. [Google Scholar] [CrossRef] [PubMed]
- Bordonal, R.O.; Tenelli, S.; Oliveira, D.M.S.; Chagas, M.F.; Cherubin, M.R.; Weiler, D.A.; Campbell, E.; Gonzaga, L.C.; Barbosa, L.C.; Cerri, C.E.P.; et al. Carbon savings from sugarcane straw-derived bioenergy: Insights from a life cycle perspective incluing soil carbono changes. Sci. Total Environ. 2024, 947, 174670. [Google Scholar] [CrossRef] [PubMed]
- Wang, Y.; Yuan, Q.; Li, T.; Yang, Y.; Zhou, S.; Zhang, L. Seamless mapping of long-term (2010–2020) daily global XCO2 and XCH4 from the Greenhouse Gases Observing Satellite (GOSAT), Orbiting Carbon Observatory 2 (OCO-2), and CAMS global greenhouse gas reanalysis (CAMS-EGG4) with a spatiotemporally self-supervised fusion method. Earth Syst. Sci. Data 2023, 15, 3597–3622. [Google Scholar] [CrossRef]
- Santos, G.A.A.; Silva, F.F.; Águas, T.A.; Meneses, K.C.; Costa, L.M.; Silva Junior, C.A.; Rolim, G.S.; La Scala, N., Jr. Temporal and Spatial Patterns of XCO2 and SIF as observed by OCO-2: A case study in the Midwest region of Brazil. J. Indian Soc. Remote Sens. 2024. [Google Scholar] [CrossRef]
- Aparecido, L.E.O.; Torsoni, G.B.; Lorençone, J.A.; Lorençone, P.A.; Lima, R.F.; Rolim, G.S.; Saqui, D.; Oliveira Junior, G.G. Future climate suitability of Hemileia vastatrix in arabica coffee under CMIP6 scenarios. J. Sci. Food Agric. 2024. [Google Scholar] [CrossRef]
- Silva, L.L.D.; Costa, R.F.D.; Campos, J.H.D.C.; Dantas, R.T. Influence of precipitations on agricultural productivity in Paraíba State. Rev. Bras. De Eng. Agrícola E Ambient. 2009, 13, 454–461. [Google Scholar] [CrossRef][Green Version]
- Jensen, R.; Herbst, M.; Friborg, T. Direct and indirect controls of the interannual variability in atmospheric CO2 exchange of three contrasting ecosystems in Denmark. Agric. For. Meteorol. 2017, 233, 12–31. [Google Scholar] [CrossRef]
- Yu, D.; Zha, Y.; Shi, L.; Jin, X.; Hu, S.; Yang, Q.; Huang, K.; Zeng, W. Improvement of sugarcane yield estimation by assimilating UAV-derived plant height observations. Eur. J. Agron. 2020, 121, 126159. [Google Scholar] [CrossRef]
- Rahman, M.M.; Robson, A.J. A novel approach for sugarcane yield prediction using landsat time series imagery: A case study on Bundaberg region. Adv. Remote Sens. 2016, 5, 93–102. [Google Scholar] [CrossRef]
- Rahman, M.M.; Robson, A. Integrating landsat-8 and sentinel-2 time series data for yield prediction of sugarcane crops at the block level. Remote Sens. 2020, 12, 1313. [Google Scholar] [CrossRef]
- Fernandes, J.L.; Ebecken, N.F.F.; Esquerdo, J.C.D.M. Sugarcane yield prediction in Brazil using NDVI time series and neural networks ensemble. Int. J. Remote Sens. 2017, 38, 4631–4644. [Google Scholar] [CrossRef]
- Krause, G.H.; Weis, E. Chlorophyll Fluorescence and Photosynthesis: The Basics. Annu. Rev. Plant Physiol. Plant Mol. Biol. 1991, 42, 313–349. [Google Scholar] [CrossRef]
- De Araújo Santos, G.A.; Morais Filho, L.F.F.; de Meneses, K.C.; da Silva Junior, C.A.; de Souza Rolim, G.; La Scala, N., Jr. Hot spots and anomalies of CO2 over eastern Amazonia, Brazil: A time series from 2015 to 2018. Environ. Res. 2022, 215, 114379. [Google Scholar] [CrossRef] [PubMed]
- Da Costa, L.M.; de Araújo Santos, G.A.; Panosso, A.R.; de Souza Rolim, G.; La Scala, N. An empirical model for estimating daily atmospheric column-averaged CO2 concentration above São Paulo state, Brazil. Carbon Balance Manag. 2022, 17, 9. [Google Scholar] [CrossRef] [PubMed]
- Guan, K.; Wu, J.; Kimball, J.S.; Anderson, M.C.; Frolking, S.; Li, B.; Hain, C.R.; Lobell, D.B. The shared and unique values of optical, fluorescence, thermal and microwave satellite data for estimating large-scale crop yields. Remote Sens. Environ. 2017, 199, 333–349. [Google Scholar] [CrossRef]
- Verma, M.; Schimel, D.; Evans, B.; Frankenberg, C.; Beringer, J.; Drewry, D.T.; Magney, T.; Marang, I.; Hutley, L.; Moore, C.; et al. Effect of environmental conditions on the relationship between solar-induced fluorescence and gross primary productivity at an OzFlux grassland site. J. Geophys. Res. Biogeosci. 2017, 122, 716–733. [Google Scholar] [CrossRef]
- Frankenberg, C.; Berry, J.; Guanter, L.; Joiner, J. Remote sensing of terrestrial chlorophyll fluorescence from space. SPIE Newsroom 2013, 19, 4725. [Google Scholar] [CrossRef]
- Doughty, R.; Kurosu, T.P.; Parazoo, N.; Köhler, P.; Wang, Y.; Sun, Y.; Frankenberg, C. Global GOSAT, OCO-2, and OCO-3 solar-induced chlorophyll fluorescence datasets. Earth Syst. Sci. Data 2022, 14, 1513–1529. [Google Scholar] [CrossRef]
- Meroni, M.; Rossini, M.; Guanter, L.; Alonso, L.; Rascher, U.; Colombo, R.; Moreno, J. Remote sensing of solar-induced chlorophyll fluorescence: Review of methods and applications. Remote Sens. Environ. 2009, 113, 2037–2051. [Google Scholar] [CrossRef]
- Zarco-Tejada, P.J.; Gonzalez-Dugo, V.; Williams, L.E.; Suárez, L.; Berni, J.A.J.; Goldhamer, D.; Fereres, E. A PRI-based water stress index combining structural and chlorophyll effects: Assessment using diurnal narrow-band airborne imagery and the CWSI thermal index. Remote Sens. Environ. 2013, 138, 38–50. [Google Scholar] [CrossRef]
- Li, X.; Xiao, J.; He, B.; Arain, M.A.; Beringer, J.; Desai, A.R.; Emmel, C.; Hollinger, D.Y.; Krasnova, A.; Mammarella, I.; et al. Solar-induced chlorophyll fluorescence is strongly correlated with terrestrial photosynthesis for a wide variety of biomes: First global analysis based on OCO-2 and flux tower observations. Glob. Chang. Biol. 2018, 24, 3990–4008. [Google Scholar] [CrossRef] [PubMed]
- Wang, S.; Zhang, L.; Huang, C.; Qiao, N. An NDVI-based vegetation phenology is improved to be more consistent with photosynthesis dynamics through applying a light use efficiency model over boreal high-latitude forests. Remote Sens. 2017, 9, 695. [Google Scholar] [CrossRef]
- Singh, P.; Kikon, N.; Verma, P. Impact of land use change and urbanization on urban heat island in Lucknow city, Central India. A remote sensing based estimate. Sustain. Cities Soc. 2017, 32, 100–114. [Google Scholar] [CrossRef]
- Clerici, N.; Weissteiner, C.J.; Gerard, F. Exploring the use of MODIS NDVI-based phenology indicators for classifying forest general habitat categories. Remote Sens. 2012, 4, 1781–1803. [Google Scholar] [CrossRef]
- Rao, P.V.K.; Rao, V.V.; Venkataratnam, L. Remote sensing: A technology for assessment of sugarcane crop acreage and yield. Sugar Tech 2002, 4, 97–101. [Google Scholar] [CrossRef]
- Somkuti, P.; Bösch, H.; Feng, L.; Palmer, P.I.; Parker, R.J.; Quaife, T. A new space-borne perspective of crop productivity variations over the US Corn Belt. Agric. For. Meteorol. 2020, 281, 107826. [Google Scholar] [CrossRef]
- Merrick, T.; Pau, S.; Jorge, M.L.S.; Silva, T.S.F.; Bennartz, R. Spatiotemporal patterns and phenology of tropical vegetation solar-induced chlorophyll fluorescence across Brazilian biomes using satellite observations. Remote Sens. 2019, 11, 1746. [Google Scholar] [CrossRef]
- Shekhar, A.; Chen, J.; Paetzold, J.C.; Dietrich, F.; Zhao, X.; Bhattacharjee, S.; Ruisinger, V.; Wofsy, S.C. Anthropogenic CO2 emissions assessment of Nile Delta using XCO2 and SIF data from OCO-2 satellite. Environ. Res. Lett. 2020, 15, 095010. [Google Scholar] [CrossRef]
- Dass, A.; Mishra, A.K.; Santos, G.A.A.; Ranjan, R.K. Spatio-temporal variation of atmospheric CO2 and its association with anthropogenic, vegetation, and climate indices over the state of Bihar, India. Environ. Adv. 2024, 16, 100513. [Google Scholar] [CrossRef]
- Qiu, R.; Han, G.; Ma, X.; Sha, Z.; Shi, T.; Xu, H.; Zhang, M. CO2 concentration, a critical factor influencing the relationship between solar-induced chlorophyll fluorescence and gross primary productivity. Remote Sens. 2020, 12, 1377. [Google Scholar] [CrossRef]
- Oliveira, A.D.; Ramalho, J. Plano Nacional de Agroenergia 2006–2011; Ministério da Agricultura, Pecuária e Abastecimento. Embrapa Informação Tecnológica: Brasilia, Brasil, 2006; 114p. [Google Scholar]
- Thornthwaite, C.W. An approach toward a rational classification of climate. Geogr. Rev. 1948, 38, 55–94. [Google Scholar] [CrossRef]
- World Reference Base for Soil Resources. Update 2015: International Soil Classification System for Naming Soils and Creating Legends for Soil Maps; International Union of Soil Sciences (IUSS): Rome, Italy, 2014. [Google Scholar]
- Stackhouse, P.W.; Westberg, D.; Chandler, W.S.; Zhang, T.; Hoell, J.M. Prediction of Worldwide Energy Resource (POWER)—Agroclimatology Methodology—(1.0 Latitude by 1.0 O Longitude Spatial Resolution). 2017. Available online: https://power.larc.nasa.gov/docs/ (accessed on 11 November 2019).
- NASA Giovanni. Available online: https://giovanni.gsfc.nasa.gov/giovanni/ (accessed on 16 September 2024).
- Rouse, J.W.; Haas, R.H.; Schell, J.A.; Deering, D.W. Monitoring vegetation systems in the Great Plains with ERTS. NASA Spec. Publ 1974, 351, 309. [Google Scholar]
- Embrapa. “Sistema de Análise Temporal da VegetaçãoSATVeg”. Campinas. 2018. Available online: www.satveg.cnptia.embrapa.br/satveg/login.html (accessed on 11 November 2019).
- Crisp, D.; Fisher, B.M.; O’Dell, C.; Frankenberg, C.; Basilio, R.; Bösch, H.; Brown, L.R.; Castano, R.; Connor, B.; Deutscher, N.M.; et al. The ACOS CO2 retrieval algorithm—Part II: Global XCO2 data characterization. Atmos. Meas. Tech. 2012, 5, 687–707. [Google Scholar] [CrossRef]
- Allen, R.G.; Pereira, L.S.; Raes, D.; Smith, M.; Ab, W. Allen; FAO: Rome, Italy, 1998; pp. 1–15. [Google Scholar]
- Marcari, M.A.; de Souza Rolim, G.; de Oliveira Aparecido, L.E. Agrometeorological models for forecasting yield and quality of sugarcane. Aust. J. Crop Sci. 2015, 9, 1049–1056. [Google Scholar]
- Gujarati, D.N.; Porter, D.C. Econometria Básica, 5th ed.; Amgh Editora: Belo Horizonte, Brazil, 2011. [Google Scholar]
- Landell, M.D.A.; Silva, M.D.A. As estratégias de seleção da cana em desenvolvimento no Brasil. Visão Agrícola 2004, 1, 18–23. [Google Scholar]
- Marques, T.A.; Neves, L.C.G.; Rampazo, E.M.; Junior, E.L.D.; Souza, F.C.; Marques, P.A.A. TRS value of sugarcane according to bioenergy and sugar levels. Acta Sci. Agron. 2015, 37, 347–353. [Google Scholar] [CrossRef]
- Hair, J.F.; Black, W.C.; Babin, B.J.; Anderson, R.E.; Tatham, R.L. Análise Multivariada de Dados; Bookman Editora: Porto Alegre, Brazil, 2009. [Google Scholar]
- StatSoft Inc. Statistica (Data Analysis Software System), version 7; StatSoft Inc.: Tulsa, OK, USA, 2004. [Google Scholar]
- Gunst, R.F. Response Surface Methodology: Process and Product Optimization Using Designed Experiments; John Wiley & Sons: Hoboken, NJ, USA, 1996. [Google Scholar]
- Teodoro, P.E.; da Silva Junior, C.A.; Delgado, R.C.; Lima, M.; Teodoro, L.P.R.; Baio, F.H.R.; de Azevedo, G.B.; Azevedo, G.T.d.O.S.; Pantaleão, A.d.A.; Capristo-Silva, G.F.; et al. Twenty-year impact of fire foci and its relationship with climate variables in Brazilian regions. Environ. Monit. Assess. 2022, 194, 90. [Google Scholar] [CrossRef]
- Da Silva, V.D.P.; da Silva, B.B.; Albuquerque, W.G.; Borges, C.J.; de Sousa, I.F.; Neto, J.D. Crop coefficient, water requirements, yield and water use efficiency of sugarcane growth in Brazil. Agric. Water Manag. 2013, 128, 102–109. [Google Scholar] [CrossRef]
- Almeida, A.C.D.S.; Souza, J.L.; Teodoro, I.; Barbosa, G.V.S.; Filho, G.M.; Júnior, R.A.F. Vegetative development and production of sugarcane varieties as a function of water availability and thermic units. Ciênc. E Agrotecnol. 2008, 32, 1441–1448. [Google Scholar] [CrossRef]
- Araújo, L.G.; De Figueiredo, C.C.; De Sousa, D.M.G.; Nunes, R.D.S.; Rein, T.A. Influence of gypsum application on sugarcane yield and soil chemical properties in the brazilian Cerrado. Aust. J. Crop Sci. 2016, 10, 1557–1563. [Google Scholar] [CrossRef]
- Jain, R.; Chandra, A.; Venugopalan, V.K.; Solomon, S. Physiological changes and expression of SOD and P5CS genes in response to water deficit in sugarcane. Sugar Tech 2015, 17, 276–282. [Google Scholar] [CrossRef]
- Silva, V.D.P.; Oliveira, S.D.D.; Dos Santos, C.A.; Silva, M.T. Risco climático da cana-de-açúcar cultivada na região Nordeste do Brasil. Rev. Bras. De Eng. Agrícola E Ambient. 2013, 17, 180–189. [Google Scholar] [CrossRef][Green Version]
- Zhao, D.; Comstock, J.C.; Glaz, B.; Edmé, S.J.; Davidson, R.W.; Gilbert, R.A.; Glynn, N.C.; Sood, S.; Sandhu, H.S.; McCorkle, K.; et al. Registration of ‘CP 05-1526’ Sugarcane. J. Plant Regist. 2013, 7, 305–311. [Google Scholar] [CrossRef]
- Thompson, M.; Gamage, D.; Hirotsu, N.; Martin, A.; Seneweera, S. Effects of elevated carbon dioxide on photosynthesis and carbon partitioning: A perspective on root sugar sensing and hormonal crosstalk. Front. Physiol. 2017, 8, 578. [Google Scholar] [CrossRef] [PubMed]
- van Heerden, P.D.R.; Donaldson, R.A.; Watt, D.A.; Singels, A. Biomass accumulation in sugarcane: Unravelling the factors underpinning reduced growth phenomena. J. Exp. Bot. 2010, 61, 2877–2887. [Google Scholar] [CrossRef]
- Marin, F.; Nassif, D.S. Climate change and the sugarcane in Brazilian: Physiology, conjuncture and future scenario. Rev. Bras. De Eng. Agrícola E Ambient. 2013, 17, 232–239. [Google Scholar] [CrossRef]
- Tang, W.; Yan, Z.-Y.; Zhu, T.-S.; Xu, X.-J.; Li, X.-D.; Tian, Y.-P. The complete genomic sequence of Sugarcane mosaic virus from Canna spp. in China. Virol. J. 2018, 15, 147. [Google Scholar] [CrossRef]
- Mulianga, B.; Bégué, A.; Simoes, M.; Todoroff, P. Forecasting regional sugarcane yield based on time integral and spatial aggregation of MODIS NDVI. Remote Sens. 2013, 5, 2184–2199. [Google Scholar] [CrossRef]
- Lisboa, I.P.; Melo Damian, J.; Roberto Cherubin, M.; Silva Barros, P.P.; Ricardo Fiorio, P.; Cerri, C.C.; Eduardo Pellegrino Cerri, C. Prediction of sugarcane yield based on NDVI and concentration of leaf-tissue nutrients in fields managed with straw removal. Agronomy 2018, 8, 196. [Google Scholar] [CrossRef]
- Wei, J.; Tang, X.; Gu, Q.; Wang, M.; Ma, M.; Han, X. Using solar-induced chlorophyll fluorescence observed by OCO-2 to predict autumn crop production in China. Remote Sens. 2019, 11, 1715. [Google Scholar] [CrossRef]
- Peng, B.; Guan, K.; Zhou, W.; Jiang, C.; Frankenberg, C.; Sun, Y.; He, L.; Köhler, P. Assessing the benefit of satellite-based Solar-Induced Chlorophyll Fluorescence in crop yield prediction. Int. J. Appl. Earth Obs. Geoinf. 2020, 90, 102126. [Google Scholar] [CrossRef]
- Moreto, V.B.; Rolim, G.D.S. Agrometeorological models for groundnut crop yield forecasting in the Jaboticabal, São Paulo State region, Brazil. Acta Sci. Agron. 2015, 37, 403. [Google Scholar] [CrossRef][Green Version]
- Aparecido, L.E.O.; da Silva Cabral de Moraes, J.R.; de Meneses, K.C.; Lorençone, P.A.; Lorençone, J.A.; de Olanda Souza, G.H.; Torsoni, G.B. Agricultural zoning as tool for expansion of cassava in climate change scenarios. Theor. Appl. Clim. 2020, 142, 1085–1095. [Google Scholar] [CrossRef]











| Variable | Source | Temporal Resolution | Spatial Grid Resolution | Measurement Period |
|---|---|---|---|---|
| Average air temperature at 2 m (°C) | GEOS-5 FP-IT NASA/POWER [34] | Daily | 1° | 1 January 2013–31 December 2016 |
| Global solar radiation (MJ m−2 d−1) | FLASHFlux Version 3 (A, B, C) NASA/POWER [34] | Daily | 1° | 1 January 2013–present |
| Precipitation (mm) | TRMM_3B42_Daily v7- NASA Giovanni [35] | Daily | 0.25° | 1 January 1998–present |
| NDVI [36] | (MOD13C2 v5) MODIS—Terra [37] | 16-day | 0.25° | 1 February 2000–present |
| SIF 757 nm (W m−2 sr−1 µm−1) | OCO-2 [38] | 16-day | 1 km × 2 km | 2 July 2014–present |
| xCO2 (ppm) | OCO-2 [38] | 16-day | 1 km × 2 km | 2 July 2014–present |
| Wind speed at 10 m (m s−1) | GEOS-5 FP-IT NASA/POWER [34] | Daily | 1° | 1 January 2013– 31 December 2016 |
| Relative humidity at 2 m (%) | GEOS-5 FP-IT NASA/POWER [34] | Daily | 1° | 1 January 2013– 31 December 2016 |
| Classification | SIF (W m−2 sr−1 µm−1) | xCO2 (ppm) | NDVI |
|---|---|---|---|
| High | x > 0.7 | x > 412.5 | x > 0.5 |
| Medium | 0.4 ≤ x ≤ 0.7 | 411.5 ≤ x ≤ 412.5 | 0.4 ≤ x ≤ 0.5 |
| Low | x < 0.4 | x < 411.5 | x < 0.4 |
| Condition | |||||
|---|---|---|---|---|---|
| I | II | III | IV | V | |
| Beginning Development | Middle Development | Beginning Maturation | Middle Maturation | End of harvest | |
| SIF | High | Medium | Low | Low | Medium |
| xCO2 | Low | Low | Medium | High | Medium |
| NDVI | Low | High | High | Medium | Low |
Disclaimer/Publisher’s Note: The statements, opinions and data contained in all publications are solely those of the individual author(s) and contributor(s) and not of MDPI and/or the editor(s). MDPI and/or the editor(s) disclaim responsibility for any injury to people or property resulting from any ideas, methods, instructions or products referred to in the content. |
© 2024 by the authors. Licensee MDPI, Basel, Switzerland. This article is an open access article distributed under the terms and conditions of the Creative Commons Attribution (CC BY) license (https://creativecommons.org/licenses/by/4.0/).
Share and Cite
de Meneses, K.C.; de Souza Rolim, G.; de Araújo Santos, G.A.; La Scala Junior, N. Integrated Analysis of Solar-Induced Chlorophyll Fluorescence, Normalized Difference Vegetation Index, and Column-Average CO2 Concentration in South-Central Brazilian Sugarcane Regions. Agronomy 2024, 14, 2345. https://doi.org/10.3390/agronomy14102345
de Meneses KC, de Souza Rolim G, de Araújo Santos GA, La Scala Junior N. Integrated Analysis of Solar-Induced Chlorophyll Fluorescence, Normalized Difference Vegetation Index, and Column-Average CO2 Concentration in South-Central Brazilian Sugarcane Regions. Agronomy. 2024; 14(10):2345. https://doi.org/10.3390/agronomy14102345
Chicago/Turabian Stylede Meneses, Kamila Cunha, Glauco de Souza Rolim, Gustavo André de Araújo Santos, and Newton La Scala Junior. 2024. "Integrated Analysis of Solar-Induced Chlorophyll Fluorescence, Normalized Difference Vegetation Index, and Column-Average CO2 Concentration in South-Central Brazilian Sugarcane Regions" Agronomy 14, no. 10: 2345. https://doi.org/10.3390/agronomy14102345
APA Stylede Meneses, K. C., de Souza Rolim, G., de Araújo Santos, G. A., & La Scala Junior, N. (2024). Integrated Analysis of Solar-Induced Chlorophyll Fluorescence, Normalized Difference Vegetation Index, and Column-Average CO2 Concentration in South-Central Brazilian Sugarcane Regions. Agronomy, 14(10), 2345. https://doi.org/10.3390/agronomy14102345
