Planting Trees on Sandy Saline Soil Increases Soil Carbon and Nitrogen Content by Altering the Composition of the Microbial Community
Abstract
1. Introduction
2. Materials and Methods
2.1. Site Description and Experimental Design
2.2. Sample Collection and Processing
2.3. Methods
2.4. Statistical Analysis
3. Results
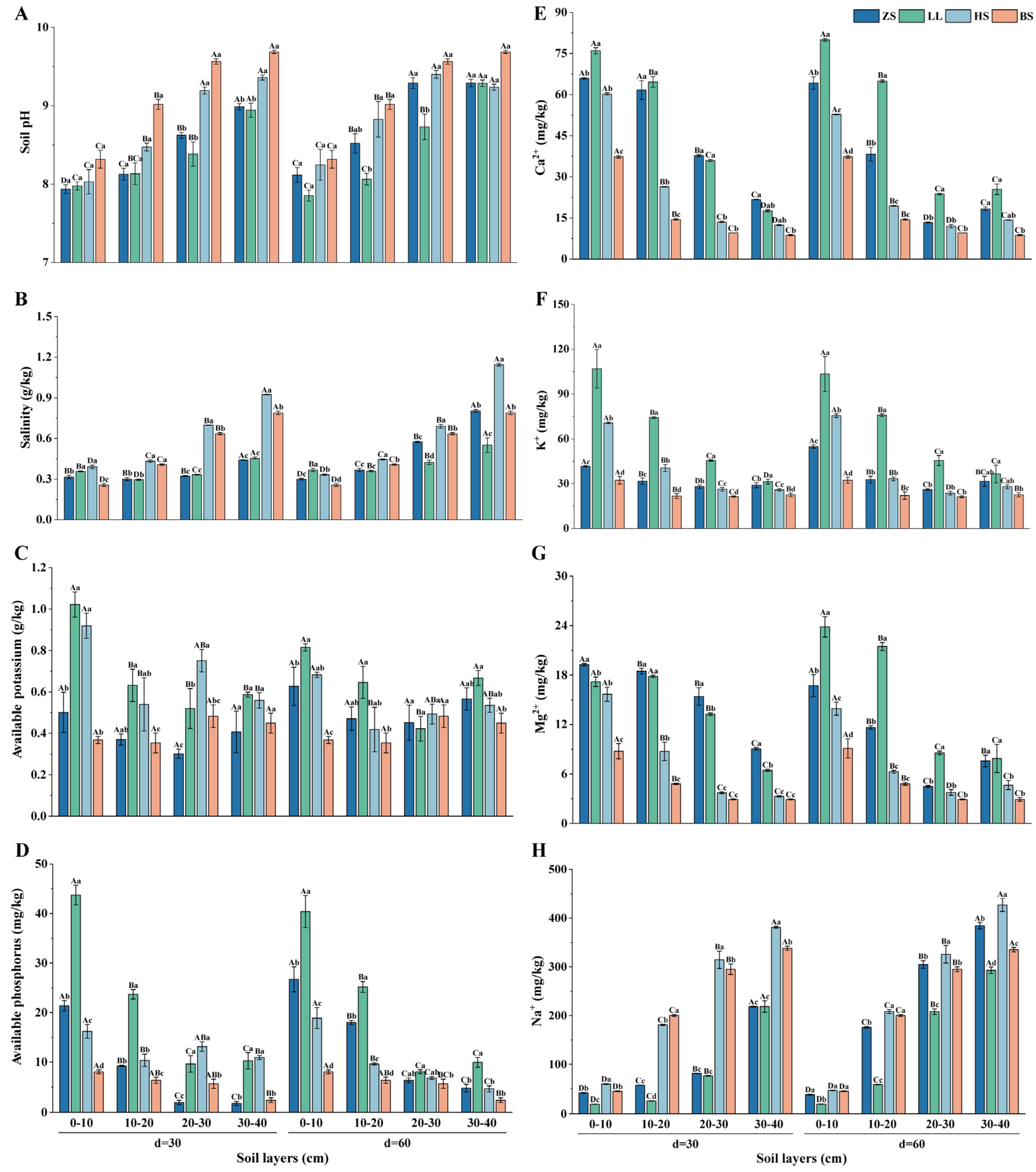
3.1. Soil Physical and Chemical Characteristics
3.2. Soil Carbon in Different Treatments
3.3. Nitrogen Content in Soils in Different Treatments
3.4. Soil Enzyme Activities and Rhizosphere Soil Metabolites
3.5. Soil Microorganisms
3.5.1. Soil Autotrophic Microorganism Diversity and Richness Analysis
3.5.2. Nitrogen-Fixing Bacteria Community Richness and Diversity in Different Treatments
3.6. Correlation and Redundancy Analysis
3.6.1. RDA
3.6.2. Correlation Analysis
4. Discussion
4.1. Analysis of Soil Physical and Chemical Characteristics
4.2. Analysis of Soil Enzyme Activity and Autotrophic and Nitrogen Fixation Microorganisms
4.3. Comparison Analysis of the Difference of the Effects of Three Species on Soil
5. Conclusions
Supplementary Materials
Author Contributions
Funding
Data Availability Statement
Conflicts of Interest
References
- Guo, S.; Ruan, B.; Chen, H.; Guan, X.; Wang, S.; Xu, N.; Li, Y. Characterizing the spatiotemporal evolution of soil salinization in Hetao Irrigation District (China) using a remote sensing approach. Int. J. Remote Sens. 2018, 39, 6805–6825. [Google Scholar] [CrossRef]
- Metternicht, G.I.; Zinck, J.A. Remote sensing of soil salinity: Potentials and constraints. Remote Sens. Environ. 2003, 85, 1–20. [Google Scholar] [CrossRef]
- Yang, J.S.; Yao, R.J.; Wang, X.P.; Xie, W.P.; Zhang, X.; Zhu, W.; Zhang, L.; Sun, R.J. Research on salt-affected soils in China: History, status quo and prospect. Acta Petrol. Sin. 2022, 59, 10–27. [Google Scholar] [CrossRef]
- Xia, J.; Ren, J.; Zhang, S.; Wang, Y.; Fang, Y. Forest and grass composite patterns improve the soil quality in the coastal saline-alkali land of the Yellow River Delta, China. Geoderma 2019, 349, 25–35. [Google Scholar] [CrossRef]
- Wong, V.N.L.; Greene, R.S.B.; Dalal, R.C.; Murphy, B.W. Soil carbon dynamics in saline and sodic soils: A review. Soil Use Manag. 2010, 26, 2–11. [Google Scholar] [CrossRef]
- Yan, N.; Marschner, P. Response of microbial activity and biomass to increasing salinity depends on the final salinity, not the original salinity. Soil Biol. Biochem. 2012, 53, 50–55. [Google Scholar] [CrossRef]
- Zhang, W.-W.; Wang, C.; Xue, R.; Wang, L.-J. Effects of salinity on the soil microbial community and soil fertility. J. Integr. Agric. 2019, 18, 1360–1368. [Google Scholar] [CrossRef]
- Yan, N.; Marschner, P.; Cao, W.; Zuo, C.; Qin, W. Influence of salinity and water content on soil microorganisms. Int. Soil Water Conserv. Res. 2015, 3, 316–323. [Google Scholar] [CrossRef]
- Zhang, B.; Wang, N. Study on the Harm of Saline Alkali Land and Its Improvement Technology in China. IOP Conf. Series: Earth Environ. Sci. 2021, 692, 042053. [Google Scholar] [CrossRef]
- Egamberdieva, D.; Wirth, S.; Bellingrath-Kimura, S.D.; Mishra, J.; Arora, N.K. Salt-Tolerant Plant Growth Promoting Rhizobacteria for Enhancing Crop Productivity of Saline Soils. Front. Microbiol. 2019, 10, 2791. [Google Scholar] [CrossRef]
- Chen, M.; Xu, Z.; Zhao, J.; Chen, Y.; Chen, S.; Gao, X.; Long, X.; Shao, H. Carbon assimilation and sequestration by industrial crop Jerusalem artichoke in coastal saline land. Acta Physiol. Plant. 2019, 41, 178. [Google Scholar] [CrossRef]
- Jesus, J.M.; Danko, A.S.; Fiúza, A.; Borges, M.-T. Phytoremediation of salt-affected soils: A review of processes, applicability, and the impact of climate change. Environ. Sci. Pollut. Res. 2015, 22, 6511–6525. [Google Scholar] [CrossRef] [PubMed]
- Zhu, J.F.; Cui, Z.R.; Wu, C.H.; Deng, C.; Chen, J.H.; Zhang, H. Research advances and prospect of saline and alkali land greening in China. World For. Res. 2018, 31, 70–75. [Google Scholar] [CrossRef]
- Cui, X.; Hu, J.; Wang, J.; Yang, J.; Lin, X. Reclamation negatively influences arbuscular mycorrhizal fungal community structure and diversity in coastal saline-alkaline land in Eastern China as revealed by Illumina sequencing. Appl. Soil Ecol. 2016, 98, 140–149. [Google Scholar] [CrossRef]
- Jing, C.; Xu, Z.; Zou, P.; Tang, Q.; Li, Y.; You, X.; Zhang, C. Coastal halophytes alter properties and microbial community structure of the saline soils in the Yellow River Delta, China. Appl. Soil Ecol. 2019, 134, 1–7. [Google Scholar] [CrossRef]
- Mao, P.; Mu, H.; Cao, B.; Qin, Y.; Shao, H.; Wang, S.; Tai, X. Dynamic characteristics of soil properties in a Robinia pseudoacacia vegetation and coastal eco-restoration. Ecol. Eng. 2016, 92, 132–137. [Google Scholar] [CrossRef]
- Li, N.; Shao, T.Y.; Zhu, T.S.; Long, X.H.; Gao, X.M.; Liu, Z.P.; Shao, H.B.; Rengel, Z. Vegetation succession influences soil carbon sequestration in coastal alkali-saline soils in southeast China. Sci. Rep. 2018, 8, 9728. [Google Scholar] [CrossRef]
- Pajares, S.; Gallardo, J.F.; Masciandaro, G.; Ceccanti, B.; Etchevers, J.D. Enzyme activity as an indicator of soil quality changes in degraded cultivated Acrisols in the Mexican Trans-volcanic Belt. Land Degrad. Dev. 2011, 22, 373–381. [Google Scholar] [CrossRef]
- Hasanuzzaman, M.; Nahar, K.; Alam, M.M.; Bhowmik, P.C.; Hossain, M.A.; Rahman, M.M.; Prasad, M.N.; Ozturk, M.; Fujita, M. Potential Use of Halophytes to Remediate Saline Soils. BioMed Res. Int. 2014, 12, 589341. [Google Scholar] [CrossRef]
- Li, F.; Liu, M.; Li, Z.; Jiang, C.; Han, F.; Che, Y. Changes in soil microbial biomass and functional diversity with a nitrogen gradient in soil columns. Appl. Soil Ecol. 2013, 64, 1–6. [Google Scholar] [CrossRef]
- Qu, Y.; Tang, J.; Liu, B.; Lyu, H.; Duan, Y.; Yang, Y.; Wang, S.; Li, Z. Rhizosphere enzyme activities and microorganisms drive the transformation of organic and inorganic carbon in saline–alkali soil region. Sci. Rep. 2022, 12, 1314. [Google Scholar] [CrossRef] [PubMed]
- Xu, X.; Thornton, P.E.; Post, W.M. Global soil microbial biomass C, N and P. Glob. Ecol. Biogeogr. 2013, 22, 737–749. [Google Scholar] [CrossRef]
- Selesi, D.; Schmid, M.; Hartmann, A. Diversity of Green-Like and Red-Like Ribulose-1,5-Bisphosphate Carboxylase/Oxygenase Large-Subunit Genes ( cbbL ) in Differently Managed Agricultural Soils. Appl. Environ. Microbiol. 2005, 71, 175–184. [Google Scholar] [CrossRef] [PubMed]
- Atomi, H. Microbial enzymes involved in carbon dioxide fixation. J. Biosci. Bioeng. 2002, 94, 497–505. [Google Scholar] [CrossRef] [PubMed]
- Kusian, B.; Bowien, B. Organization and regulation of cbb CO2 assimilation genes in autotrophic bacteria. FEMS Microbiol. Rev. 1997, 21, 135–155. [Google Scholar] [CrossRef]
- Levy-Booth, D.J.; Prescott, C.E.; Grayston, S.J. Microbial functional genes involved in nitrogen fixation, nitrification and denitrification in forest ecosytrunks. Soil Biol. Biochem. 2014, 75, 11–25. [Google Scholar] [CrossRef]
- Raymond, J.; Siefert, J.L.; Staples, C.R.; Blankenship, R.E. The Natural History of Nitrogen Fixation. Mol. Biol. Evol. 2004, 21, 541–554. [Google Scholar] [CrossRef]
- Tahon, G.; Tytgat, B.; Willems, A. Diversity of key genes for carbon and nitrogen fixation in soils from the Sør Rondane Mountains, East Antarctica. Polar Biol. 2018, 41, 2181–2198. [Google Scholar] [CrossRef]
- Kicklighter, D.W.; Melillo, J.M.; Monier, E.; Sokolov, A.P.; Zhuang, Q. Future nitrogen availability and its effect on carbon sequestration in Northern Eurasia. Nat. Commun. 2019, 10, 3024. [Google Scholar] [CrossRef]
- Tkacz, A.; Cheema, J.; Chandra, G.; Grant, A.; Poole, P.S. Stability and succession of the rhizosphere microbiota depends upon plant type and soil composition. ISME J. 2015, 9, 2349–2359. [Google Scholar] [CrossRef]
- Shao, T.; Long, X.; Liu, Y.; Gao, X.; Liu, M.; Rengel, Z. Effect of industrial crop Jerusalem artichoke on the micro-ecological rhizosphere environment in saline soil. Appl. Soil Ecol. 2021, 166, 104080. [Google Scholar] [CrossRef]
- Wang, X.; Han, Z.; Bai, Z.; Tang, J.; Ma, A.; He, J.; Zhuang, G. Archaeal community structure along a gradient of petroleum contamination in saline-alkali soil. J. Environ. Sci. 2011, 23, 1858–1864. [Google Scholar] [CrossRef] [PubMed]
- Yang, H.; Hu, J.; Long, X.; Liu, Z.; Rengel, Z. Salinity altered root distribution and increased diversity of bacterial communities in the rhizosphere soil of Jerusalem artichoke. Sci. Rep. 2016, 6, 20687. [Google Scholar] [CrossRef] [PubMed]
- Elliott, E.T. Aggregate Structure and Carbon, Nitrogen, and Phosphorus in Native and Cultivated Soils. Soil Sci. Soc. Am. J. 1986, 50, 627–633. [Google Scholar] [CrossRef]
- Li, N.; Shao, T.; Jia, B.; Yan, X.; Wang, X.; Tao, C.; Long, X.; Liu, M.; Zhou, Z.; Rengel, Z. Amelioration of saline-alkali land by cultivating Melia azedarach and characterization of underlying mechanisms via metabolome analysis. Land Degrad. Dev. 2023, 34, 5556–5565. [Google Scholar] [CrossRef]
- Lu, R.K. Methods for Soil Agrochemical Analysis. J. Agric. Sci. Technol. 2000, 107, 147–150. [Google Scholar]
- Liang, B.C.; MacKenzie, A.F.; Schnitzer, M.; Monreal, C.M.; Voroney, P.R.; Beyaert, R.P. Management-induced change in labile soil organic matter under continuous corn in eastern Canadian soils. Biol. Fertil. Soils 1997, 26, 88–94. [Google Scholar] [CrossRef]
- Lefroy, R.D.B.; Blair, G.J.; Strong, W.M. Changes in soil organic matter with cropping as measured by organic carbon fractions and 13C natural isotope abundance. Plant Soil 1993, 155, 399–402. [Google Scholar] [CrossRef]
- Roberts, T.L.; Ross, W.J.; Norman, R.J.; Slaton, N.A.; Wilson, C.E. Predicting Nitrogen Fertilizer Needs for Rice in Arkansas Using Alkaline Hydrolyzable-Nitrogen. Soil Sci. Soc. Am. J. 2011, 75, 1161–1171. [Google Scholar] [CrossRef]
- Vance, E.D.; Brookes, P.C.; Jenkinson, D.S. An extraction method for measuring soil microbial biomass C. Soil Biol. Biochem. 1987, 19, 703–707. [Google Scholar] [CrossRef]
- Johansson, L.H.; Borg, L.H. A spectrophotometric method for determination of catalase activity in small tissue samples. Anal. Biochem. 1988, 174, 331–336. [Google Scholar] [CrossRef] [PubMed]
- Guan, S.; Zhang, D.; Zhang, Z.J.A. Soil Enzyme and Its Research Methods; Agriculture Press: Beijing, China, 1986. [Google Scholar]
- Kandeler, E.; Gerber, H. Short-term assay of soil urease activity using colorimetric determination of ammonium. Biol. Fertil. Soils 1988, 6, 68–72. [Google Scholar] [CrossRef]
- Gao, M.; Song, W.; Zhou, Q.; Ma, X.; Chen, X. Interactive effect of oxytetracycline and lead on soil enzymatic activity and microbial biomass. Environ. Toxicol. Pharmacol. 2013, 36, 667–674. [Google Scholar] [CrossRef] [PubMed]
- Deng, S.; Tabatabai, M. Cellulase activity of soils. Soil Biol. Biochem. 1994, 26, 1347–1354. [Google Scholar] [CrossRef]
- Zhang, M.; Wang, W.; Wang, J.; Teng, Y.; Xu, Z. Dynamics of biochemical properties associated with soil nitrogen mineralization following nitrification inhibitor and fungicide applications. Environ. Sci. Pollut. Res. 2017, 24, 11340–11348. [Google Scholar] [CrossRef]
- Abdelmagid, H.; Tabatabai, M. Nitrate reductase activity of soils. Soil Biol. Biochem. 1987, 19, 421–427. [Google Scholar] [CrossRef]
- Fetene, E.M.; Amera, M.Y. The effects of land use types and soil depth on soil properties of Agedit watershed, Northwest Ethiopia. Ethiop. J. Sci. Technol. 2018, 11, 39–56. [Google Scholar] [CrossRef]
- Liu, D.; Huang, Y.; An, S.; Sun, H.; Bhople, P.; Chen, Z. Soil physicochemical and microbial characteristics of contrasting land-use types along soil depth gradients. Catena 2018, 162, 345–353. [Google Scholar] [CrossRef]
- Yüksek, T.; Yüksek, F. The effects of restoration on soil properties in degraded land in the semi-arid region of Turkey. Catena 2011, 84, 47–53. [Google Scholar] [CrossRef]
- Barros, H.S.; Fearnside, P.M. Soil carbon stock changes due to edge effects in central Amazon forest fragments. For. Ecol. Manag. 2016, 379, 30–36. [Google Scholar] [CrossRef]
- Saha, S.K.; Nair, P.K.R.; Nair, V.D.; Kumar, B.M. Soil carbon stock in relation to plant diversity of homegardens in Kerala, India. Agrofor. Syst. 2009, 76, 53–65. [Google Scholar] [CrossRef]
- Garten, C.T. A disconnect between O horizon and mineral soil carbon—Implications for soil C sequestration. Acta Oecologica 2009, 35, 218–226. [Google Scholar] [CrossRef]
- Datta, A.; Basak, N.; Chaudhari, S.; Sharma, D. Soil properties and organic carbon distribution under different land uses in reclaimed sodic soils of North-West India. Geoderma Reg. 2015, 4, 134–146. [Google Scholar] [CrossRef]
- Kumar, P.; Mishra, A.K.; Chaudhari, S.K.; Singh, R.; Pandey, C.B.; Yadav, R.K.; Sharma, D.K. Different Prosopis species influence sodic soil ecology by favouring carbon build-up and reclamation in North-West India. Trop. Ecol. 2021, 62, 71–81. [Google Scholar] [CrossRef]
- Yang, L.; Maron, J.L.; Callaway, R.M. Inhibitory effects of soil biota are ameliorated by high plant diversity. Oecologia 2015, 179, 519–525. [Google Scholar] [CrossRef] [PubMed]
- An, Y.; Gao, Y.; Tong, S.; Liu, B. Morphological and Physiological Traits Related to the Response and Adaption of Bolboschoenus planiculmis Seedlings Grown Under Salt-Alkaline Stress Conditions. Front. Plant Sci. 2021, 12, 567782. [Google Scholar] [CrossRef]
- Zhang, W.; Liu, K.; Wang, J.; Shao, X.; Xu, M.; Li, J.; Wang, X.; Murphy, D.V. Relative contribution of maize and external manure amendment to soil carbon sequestration in a long-term intensive maize cropping system. Sci. Rep. 2015, 5, 10791. [Google Scholar] [CrossRef]
- Gong, C.; Tan, Q.; Xu, M.; Liu, G. Mixed-species plantations can alleviate water stress on the Loess Plateau. For. Ecol. Manag. 2020, 458, 117767. [Google Scholar] [CrossRef]
- Marconi, L.; Armengot, L. Complex agroforestry systems against biotic homogenization: The case of plants in the herbaceous stratum of cocoa production systems. Agric. Ecosyst. Environ. 2020, 287, 106664. [Google Scholar] [CrossRef]
- Zhang, X.; Pei, G.; Sun, J.; Huang, Y.; Huang, Q.; Xie, H.; Mo, J.; Zhao, M.; Hu, B. Responses of soil nitrogen cycling to changes in aboveground plant litter inputs: A meta-analysis. Geoderma 2023, 439, 116678. [Google Scholar] [CrossRef]
- Wu, Y.; Wang, R.; Zhang, M.; He, P.; Tian, X.; Zhang, J. Spatial patterns and influencing factors of soil SOC, DOC, ROC at initial stage of vegetation restoration in a karst area. Front. Environ. Sci. 2023, 11, 1099942. [Google Scholar] [CrossRef]
- Geddes, N.; Dunkerley, D. The influence of organic litter on the erosive effects of raindrops and of gravity drops released from desert shrubs. Catena 1999, 36, 303–313. [Google Scholar] [CrossRef]
- Bronick, C.J.; Lal, R. Soil structure and management: A review. Geoderma 2005, 124, 3–22. [Google Scholar] [CrossRef]
- Puget, P.; Chenu, C.; Balesdent, J. Total and young organic matter distributions in aggregates of silty cultivated soils. Eur. J. Soil Sci. 1995, 46, 449–459. [Google Scholar] [CrossRef]
- Li, L.-L.; Li, S.-T. Nitrogen Mineralization from Animal Manures and Its Relation to Organic N Fractions. J. Integr. Agric. 2014, 13, 2040–2048. [Google Scholar] [CrossRef]
- Shahid, M.; Nayak, A.K.; Puree, C.; Tripathi, R.; Lal, B.; Gautam, P.; Bhattacharyya, P.; Mohanty, S.; Kumar, A.; Panda, B.B.; et al. Carbon and nitrogen fractions and stocks under 41 years of chemical and organic fertilization in a sub-humid tropical rice soil. Soil Tillage Res. 2017, 170, 136–146. [Google Scholar] [CrossRef]
- Wu, H.; Du, S.; Zhang, Y.; An, J.; Zou, H.; Zhang, Y.; Yu, N. Effects of irrigation and nitrogen fertilization on greenhouse soil organic nitrogen fractions and soil-soluble nitrogen pools. Agric. Water Manag. 2019, 216, 415–424. [Google Scholar] [CrossRef]
- Xiong, Y.; Xia, H.; Li, Z.; Cai, X.; Fu, S. Impacts of litter and understory removal on soil properties in a subtropical Acacia mangium plantation in China. Plant Soil 2008, 304, 179–188. [Google Scholar] [CrossRef]
- Li, S.X.; Wang, Z.H.; Stewart, B.A. Chapter five-responses of crop plants to ammonium and nitrate N. In Advances in Agronomy; Sparks, D.L., Ed.; Academic Press: Cambridge, MA, USA, 2013; pp. 205–397. [Google Scholar]
- Zhenghu, D.; Honglang, X. Effects of soil properties on ammonia volatilization. Soil Sci. Plant Nutr. 2000, 46, 845–852. [Google Scholar] [CrossRef]
- Williams, C.J.; Jochem, F.J. Ectoenzyme kinetics in Florida Bay: Implications for bacterial carbon source and nutrient status. Hydrobiologia 2006, 569, 113–127. [Google Scholar] [CrossRef]
- Ge, T.; Nie, S.; Wu, J.; Shen, J.; Xiao, H.; Tong, C.; Huang, D.; Hong, Y.; Iwasaki, K. Chemical properties, microbial biomass, and activity differ between soils of organic and conventional horticultural sytrunks under greenhouse and open field management: A case study. J. Soils Sediments 2011, 11, 25–36. [Google Scholar] [CrossRef]
- Baddam, R.; Reddy, G.B.; Raczkowski, C.; Cyrus, J.S. Activity of soil enzymes in constructed wetlands treated with swine wastewater. Ecol. Eng. 2016, 91, 24–30. [Google Scholar] [CrossRef]
- Nowak, J.; Kaklewski, K.; Ligocki, M. Influence of selenium on oxidoreductive enzymes activity in soil and in plants. Soil Biol. Biochem. 2004, 36, 1553–1558. [Google Scholar] [CrossRef]
- Burns, R.G.; DeForest, J.L.; Marxsen, J.; Sinsabaugh, R.L.; Stromberger, M.E.; Wallenstein, M.D.; Weintraub, M.N.; Zoppini, A. Soil enzymes in a changing environment: Current knowledge and future directions. Soil Biol. Biochem. 2013, 58, 216–234. [Google Scholar] [CrossRef]
- Zaman, T.; Iqbal, A.; Shaukat, A.; Nazir, R.; Pervez, A.; Bilal, M.; Faridullah, F.; Rizwan, M.; Ali, S.; Alkahtani, S.; et al. Assessing the N Cycling Ecosytrunk Function-Processes and the Involved Functional Guilds upon Plant Litter Amendment in Lower Himalaya. Pol. J. Environ. Stud. 2021, 30, 917–926. [Google Scholar] [CrossRef]
- Singh, D.K.; Kumar, S. Nitrate reductase, arginine deaminase, urease and dehydrogenase activities in natural soil (ridges with forest) and in cotton soil after acetamiprid treatments. Chemosphere 2008, 71, 412–418. [Google Scholar] [CrossRef]
- Chamizo-Ampudia, A.; Sanz-Luque, E.; Llamas, A.; Galvan, A.; Fernandez, E. Nitrate Reductase Regulates Plant Nitric Oxide Homeostasis. Trends Plant Sci. 2017, 22, 163–174. [Google Scholar] [CrossRef]
- Fujii, K.; Yamada, T.; Hayakawa, C.; Nakanishi, A.; Funakawa, S. Decoupling of protein depolymerization and ammonification in nitrogen mineralization of acidic forest soils. Appl. Soil Ecol. 2020, 153, 103572. [Google Scholar] [CrossRef]
- Tian, J.; Wei, K.; Sun, T.; Jiang, N.; Chen, Z.; Feng, J.; Cai, K.; Chen, L. Different forms of nitrogen deposition show variable effects on soil organic nitrogen turnover in a temperate forest. Appl. Soil Ecol. 2022, 169, 104212. [Google Scholar] [CrossRef]
- Panchal, P.; Preece, C.; Peñuelas, J.; Giri, J. Soil carbon sequestration by root exudates. Trends Plant Sci. 2022, 27, 749–757. [Google Scholar] [CrossRef]
- Fisk, L.; Barton, L.; Jones, D.; Glanville, H.; Murphy, D. Root exudate carbon mitigates nitrogen loss in a semi-arid soil. Soil Biol. Biochem. 2015, 88, 380–389. [Google Scholar] [CrossRef]
- Chaparro, J.M.; Sheflin, A.M.; Manter, D.K.; Vivanco, J.M. Manipulating the soil microbiome to increase soil health and plant fertility. Biol. Fertil. Soils 2012, 48, 489–499. [Google Scholar] [CrossRef]
- Che, R.; Deng, Y.; Wang, F.; Wang, W.; Xu, Z.; Hao, Y.; Xue, K.; Zhang, B.; Tang, L.; Zhou, H.; et al. Autotrophic and symbiotic diazotrophs dominate nitrogen-fixing communities in Tibetan grassland soils. Sci. Total Environ. 2018, 639, 997–1006. [Google Scholar] [CrossRef] [PubMed]
- Masuda, S.; Eda, S.; Sugawara, C.; Mitsui, H.; Minamisawa, K. The cbbL Gene is Required for Thiosulfate-Dependent Autotrophic Growth of Bradyrhizobium japonicum. Microbes Environ. 2010, 25, 220–223. [Google Scholar] [CrossRef]
- DA Silva, L.V.; DE Oliveira, S.B.R.; DE Azevedo, L.A.; Rodrigues, A.C.; Bonifacio, A. Coinoculation with Bradyrhizobium and Trichoderma alleviates the effects of salt stress in cowpea. Rev. Caatinga 2019, 32, 336–344. [Google Scholar] [CrossRef]
- Sun, B.; Gu, L.; Bao, L.; Zhang, S.; Wei, Y.; Bai, Z.; Zhuang, G.; Zhuang, X. Application of biofertilizer containing Bacillus subtilis reduced the nitrogen loss in agricultural soil. Soil Biol. Biochem. 2020, 148, 107911. [Google Scholar] [CrossRef]
- Pierra, M.; Carmona-Martínez, A.A.; Trably, E.; Godon, J.-J.; Bernet, N. Specific and efficient electrochemical selection of Geoalkalibacter subterraneus and Desulfuromonas acetoxidans in high current-producing biofilms. Bioelectrochemistry 2015, 106, 221–225. [Google Scholar] [CrossRef]
- Sung, Y.; Ritalahti, K.M.; Sanford, R.A.; Urbance, J.W.; Flynn, S.J.; Tiedje, J.M.; Löffler, F.E. Characterization of Two Tetrachloroethene-Reducing, Acetate-Oxidizing Anaerobic Bacteria and Their Description as Desulfuromonas michiganensis sp. nov. Appl. Environ. Microbiol. 2003, 69, 2964–2974. [Google Scholar] [CrossRef]
- Karhu, K.; Alaei, S.; Li, J.; Merilä, P.; Ostonen, I.; Bengtson, P. Microbial carbon use efficiency and priming of soil organic matter mineralization by glucose additions in boreal forest soils with different C:N ratios. Soil Biol. Biochem. 2022, 167, 108615. [Google Scholar] [CrossRef]
- Martins, M.d.R.; Angers, D.A. Different plant types for different soil ecosystem services. Geoderma 2015, 237, 266–269. [Google Scholar] [CrossRef]
- Turner, B.L. Variation in pH Optima of Hydrolytic Enzyme Activities in Tropical Rain Forest Soils. Appl. Environ. Microbiol. 2010, 76, 6485–6493. [Google Scholar] [CrossRef] [PubMed]
- Monteith, D.T.; Stoddard, J.L.; Evans, C.D.; de Wit, H.A.; Forsius, M.; Høgåsen, T.; Wilander, A.; Skjelkvåle, B.L.; Jeffries, D.S.; Vuorenmaa, J.; et al. Dissolved organic carbon trends resulting from changes in atmospheric deposition chemistry. Nature 2007, 450, 537–540. [Google Scholar] [CrossRef] [PubMed]
- Liu, J.; Wang, X.; Liu, L.; Wu, X.; Xia, Z.; Guo, Q. Rhizosphere soil bacterial communities and nitrogen cycling affected by deciduous and evergreen tree species. Ecol. Evol. 2022, 12, e9103. [Google Scholar] [CrossRef]
- Tang, H.; Xiao, X.; Li, C.; Tang, W.; Cheng, K.; Pan, X.; Wang, K.; Li, W. Effects of different soil tillage systems on soil carbon management index under double-cropping rice field in southern China. Agron. J. 2019, 111, 440–447. [Google Scholar] [CrossRef]
- Fang, J.; Dong, J.; Li, C.; Chen, H.; Wang, L.; Lyu, T.; He, H.; Liu, J. Response of microbial community composition and function to emergent plant rhizosphere of a constructed wetland in northern China. Appl. Soil Ecol. 2021, 168, 104141. [Google Scholar] [CrossRef]
- Gutiérrez-Girón, A.; Rubio, A.; Gavilán, R.G. Temporal variation in microbial and plant biomass during summer in a Mediterranean high-mountain dry grassland. Plant Soil 2014, 374, 803–813. [Google Scholar] [CrossRef]
- Jiang, L.; Zhu, X.; Luo, C.; Song, D.; Song, M. The synergistic toxicity effect of di(2-ethylhexyl)phthalate and plant growth disturbs the structure and function of soil microbes in the rhizosphere. Environ. Int. 2022, 170, 107629. [Google Scholar] [CrossRef]
- Wang, C.; Yao, X.; Li, X.; Wang, Q.; Wang, J.; Zhu, L.; Wang, J. Effects of dibutyl phthalate on microbial community and the carbon cycle in salinized soil. J. Clean. Prod. 2023, 404, 136928. [Google Scholar] [CrossRef]
- Wang, S.; Sun, L.; Ling, N.; Zhu, C.; Chi, F.; Li, W.; Hao, X.; Zhang, W.; Bian, J.; Chen, L.; et al. Exploring Soil Factors Determining Composition and Structure of the Bacterial Communities in Saline-Alkali Soils of Songnen Plain. Front. Microbiol. 2020, 10, 2902. [Google Scholar] [CrossRef]







Disclaimer/Publisher’s Note: The statements, opinions and data contained in all publications are solely those of the individual author(s) and contributor(s) and not of MDPI and/or the editor(s). MDPI and/or the editor(s) disclaim responsibility for any injury to people or property resulting from any ideas, methods, instructions or products referred to in the content. |
© 2024 by the authors. Licensee MDPI, Basel, Switzerland. This article is an open access article distributed under the terms and conditions of the Creative Commons Attribution (CC BY) license (https://creativecommons.org/licenses/by/4.0/).
Share and Cite
Shao, T.; Yan, X.; Ji, K.; Li, Z.; Long, X.; Zhang, Y.; Zhou, Z. Planting Trees on Sandy Saline Soil Increases Soil Carbon and Nitrogen Content by Altering the Composition of the Microbial Community. Agronomy 2024, 14, 2331. https://doi.org/10.3390/agronomy14102331
Shao T, Yan X, Ji K, Li Z, Long X, Zhang Y, Zhou Z. Planting Trees on Sandy Saline Soil Increases Soil Carbon and Nitrogen Content by Altering the Composition of the Microbial Community. Agronomy. 2024; 14(10):2331. https://doi.org/10.3390/agronomy14102331
Chicago/Turabian StyleShao, Tianyun, Xiao Yan, Kenan Ji, Zhuoting Li, Xiaohua Long, Yu Zhang, and Zhaosheng Zhou. 2024. "Planting Trees on Sandy Saline Soil Increases Soil Carbon and Nitrogen Content by Altering the Composition of the Microbial Community" Agronomy 14, no. 10: 2331. https://doi.org/10.3390/agronomy14102331
APA StyleShao, T., Yan, X., Ji, K., Li, Z., Long, X., Zhang, Y., & Zhou, Z. (2024). Planting Trees on Sandy Saline Soil Increases Soil Carbon and Nitrogen Content by Altering the Composition of the Microbial Community. Agronomy, 14(10), 2331. https://doi.org/10.3390/agronomy14102331
