Feasibility of Using Secondary Attributes in Sensory Analysis to Characterize Protected Designation of Origin of Olive Oil
Abstract
1. Introduction
2. Materials and Methods
2.1. Cultivars and Geographical Regions
2.2. Samples
2.3. Sensory Analysis
2.4. Chemical Analysis
2.5. Statistical Analysis
3. Results
3.1. Official and Primary Attributes
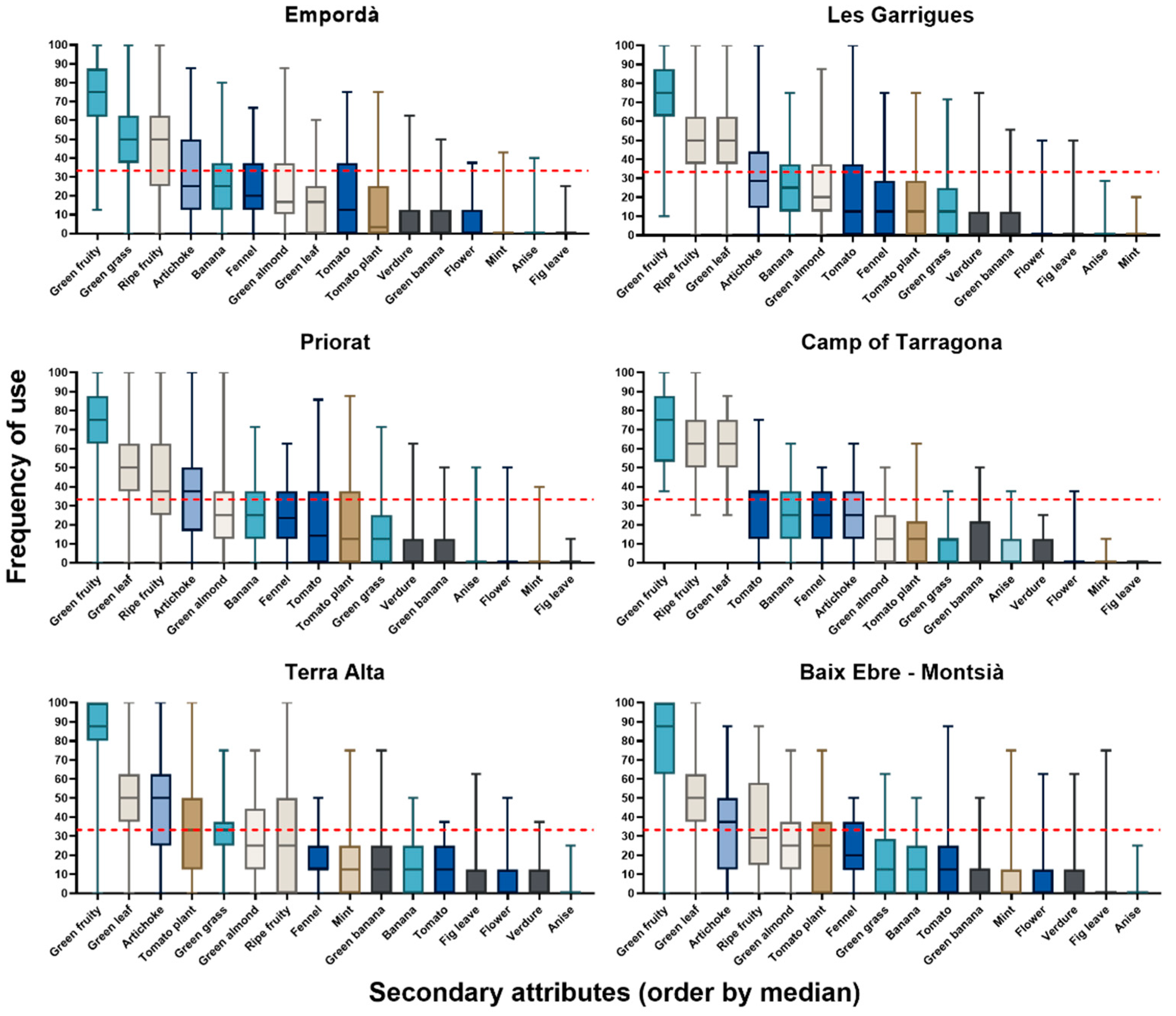
3.2. Secondary Attributes
4. Discussion
5. Conclusions
Supplementary Materials
Author Contributions
Funding
Data Availability Statement
Acknowledgments
Conflicts of Interest
References
- European Union. Commission Delegated Regulation (EU) 2022/2104 of 29 July; European Union: Brussels, Belgium, 2022; pp. 284/1–284/22. [Google Scholar]
- Aparicio, R.; Gutiérrez, F.; Rodriguez, J. A Chemometrics Study of Analytical Panels in Virgin Olive Oil. An Approach for Evaluating Panels in Training. Grasas Aceites 1991, 42, 202–210. [Google Scholar] [CrossRef]
- Vichi, S.; Tres, A.; Quintanilla-Casas, B.; Bustamante, J.; Guardiola, F.; Martí, E.; Hermoso, J.F.; Ninot, A.; Romero, A. Catalan Virgin Olive Oil Protected Designations of Origin: Physicochemical and Major Sensory Attributes. Eur. J. Lipid Sci. Technol. 2019, 121, 1800130. [Google Scholar] [CrossRef]
- Casadei, E.; Valli, E.; Bendini, A.; Barbieri, S.; Tucci, R.; Ferioli, F.; Gallina Toschi, T. Valorization of Monovarietal Nostrana Di Brisighella Extra Virgin Olive Oils: Focus on Bioactive Compounds. Front. Nutr. 2024, 11, 1353832. [Google Scholar] [CrossRef] [PubMed]
- Morales, M.T.; Aparicio, R.; Calvente, J.J. Influence of Olive Ripeness on the Concentration of Green Aroma Compounds in Virgin Olive Oil. Flavour Fragance J. 1996, 11, 171–178. [Google Scholar] [CrossRef]
- Aparicio, R. Handbook of Olive Oil; Springer: New York, NY, USA, 2013; ISBN 978-1-4614-7776-1. [Google Scholar]
- García-Moral, A.; Moral-Pajares, E.; Gallego-Valero, L. The Spanish Olive Oil with Quality Differentiated by a Protected Designation of Origin. Agriculture 2023, 13, 2169. [Google Scholar] [CrossRef]
- International Olive Council. Sensory Analysis of Olive Oil—Method for the Organoleptic Assessment of Virgin Olive Oil; International Olive Council (IOC): Madrid, Spain, 2018; Volume T.20, Doc. no 15. [Google Scholar]
- International Olive Council. Organoleptic Assessment of Extra Virgin Olive Oil Applying to Use a Designation of Origin; International Olive Council (IOC): Madrid, Spain, 2005; Volume T.20, Doc. no 22. [Google Scholar]
- Gomis-Bellmunt, A.; Claret, A.; Guerrero, L.; Pérez-Elortondo, F.J. Sensory Evaluation of Protected Designation of Origin Wines: Development of Olfactive Descriptive Profile and References. Food Res. Int. 2024, 176, 113828. [Google Scholar] [CrossRef]
- Romero, A.; Claret, A.; Guerrero, L. Olive Oils from Spain. In Olive Oil Sensory Science; Langstaff, S., Monteleone, E., Eds.; Wiley Blackwell: Chichester, UK, 2013; pp. 229–238. ISBN 978-1-118-33252-8. [Google Scholar]
- European Union. Commission Implementing Regulation (EU) 2015/385 of 3 March 2015 Entering a Name in the Register of Protected Designations of Origin and Protected Geographical Indications [Oli de l’Empordà/Aceite de L’Empordà (PDO)]. 2015. Available online: https://eur-lex.europa.eu/legal-content/EN/TXT/?uri=OJ:JOL_2015_065_R_0002 (accessed on 14 August 2024).
- Portal Jurídic de Catalunya. Ordre de 9 d’agost de 1993, per La Qual Es Canvia El Nom Denominació d’Origen Borges Blanques Pel de Denominació d’Origen Les Garrigues. 1993. Available online: https://portaljuridic.gencat.cat/ca/document-del-pjur/?documentId=92872 (accessed on 14 August 2024).
- España. Orden de 21 de Julio de 1977 Por La Que Se Reconoce La Denominación de Origen Siurana. BOE No 218 de 12 de Septiembre. 1977. Available online: https://www.boe.es/diario_boe/txt.php?id=BOE-A-1977-22452 (accessed on 14 August 2024).
- European Union. Commission Regulation (EC) No 205/2005 of 4 February 2005 Supplementing the Annex to Regulation (EC) No 2400/96 on the Entry of Certain Names in the Register of Protected Designations of Origin and Protected Geographical Indications, Aceite de Terra Alta or Oli de Terra Alta. 2005. Available online: https://www.legislation.gov.uk/eur/1996/2400/2006-03-31?view=extent (accessed on 14 August 2024).
- European Union. Commission Regulation (EC) No 112/2008 of 6 February 2008 Registering Certain Names in the Register of Protected Designations of Origin and Protected Geographical Indications (Nosovicke Kysane Zelí (PDO), Pardubicky Perník (PGI), Aceite Del Baix Ebre-Montsià or Oli Del Baix Ebre-Montsià (PDO)). 2008. Available online: https://eur-lex.europa.eu/legal-content/EN/ALL/?uri=CELEX%3A32008R0112 (accessed on 14 August 2024).
- Tècnic del DACC—Generalitat de Catalunya. Sector oli d’oliva Recull Estadístic 4 de Maig de 2022 Secretaria General Gabinet Tècnic Servei d’Estadística i Preus Agroalimentaris. 2022. Available online: https://ruralcat.gencat.cat/documents/20181/9774562/RECULL_OLI_TS.pdf/2f3ba228-c8ec-40c2-ba0b-2351e429ee6b (accessed on 14 August 2024).
- Hermoso, J.F.; Romero, A.; Martí, E.; Ninot, A.; Batlle, I. Programa IRTA de Mejora de La Calidad de Los Aceites de Oliva Vírgenes En Cataluña, Quince Años de Experiencia. Span. J. Rural Dev. 2015, 3–4, 65–76. [Google Scholar] [CrossRef]
- Ollivier, D.; Artaud, J.; Pinatel, C.; Durbec, J.; Guerere, M. Differentiation of French Virgin Olive Oil RDOs by Sensory Characteristics, Fatty Acid and Triacylglycerol Compositions and Chemometrics. Food Chem 2006, 97, 382–393. [Google Scholar] [CrossRef]
- Gencat Pliego de Condiciones de La Denominación de Origen Protegida Aceite de L’Empordà. Available online: https://agricultura.gencat.cat/web/.content/al_alimentacio/al02_qualitat_alimentaria/normativa-dop-igp/plecs-vigor/pliego_condiciones_oli_emporda_modificacion-2023-ES.pdf (accessed on 12 June 2024).
- Gencat Pliego de Condiciones de La Denominación de Origen Protegida Les Garrigues. Available online: https://agricultura.gencat.cat/web/.content/al_alimentacio/al02_qualitat_alimentaria/normativa-dop-igp/plecs-vigor/plec-condicions-dop-garrigues_inicial-ampliacio.pdf (accessed on 12 June 2024).
- Gencat Pliego de Condiciones de La Denominación de Origen Protegida Siurana. Available online: https://agricultura.gencat.cat/web/.content/al_alimentacio/al02_qualitat_alimentaria/normativa-dop-igp/plecs-vigor/pliego_condiciones_siurana_inicial.pdf (accessed on 12 June 2024).
- Gencat Pliego de Condiciones de La Denominación de Origen Protegida Aceite de Terra Alta. Available online: https://gencat.cat/alimentacio/pliego-aceite-terra-alta/pliego-condiciones-aceite-terra-alta-aprovado-UE2023.pdf (accessed on 12 June 2024).
- Gencat Pliego de Condiciones de La Denominación de Origen Protegida Aceite Del Baix Ebre-Montsià. Available online: https://agricultura.gencat.cat/web/.content/al_alimentacio/al02_qualitat_alimentaria/normativa-dop-igp/plecs-vigor/pliego_condiciones_UE_oli_BEM.pdf (accessed on 12 June 2024).
- Romero Aroca, A.J. Caracterización y Diferenciación de Los Aceites Vírgenes de Oliva de La Comarca Del Priorat (Tarragona), Dentro Del Mercado Global de Aceites de La Variedad “Arbequina”. 2011. Available online: http://hdl.handle.net/10803/77835 (accessed on 14 August 2024).
- Boudebouz, A.; Romero, A.; Hermoso, J.F.; Boqué, R.; Mestres, M. Effect of Hopper Loading on the Formation of Alkyl Alcohols in Olive Fruits and Its Relationship with Sensory Quality Losses of Virgin Olive Oil. Foods 2023, 12, 2633. [Google Scholar] [CrossRef] [PubMed]
- Gencat Laboratori Agroalimentari. Available online: https://agricultura.gencat.cat/ca/ambits/alimentacio/laboratori-agroalimentari (accessed on 12 June 2024).
- Gencat Oficina de l’oli DOP. Available online: https://ruralcat.gencat.cat/web/guest/oficina-de-l-oli/dop (accessed on 12 June 2024).
- Inarejos-García, A.M.; Santacatterina, M.; Salvador, M.D.; Fregapane, G.; Gómez-Alonso, S. PDO Virgin Olive Oil Quality—Minor Components and Organoleptic Evaluation. Food Res. Int. 2010, 43, 2138–2146. [Google Scholar] [CrossRef]
- Barranco Navero, D.; Caballero Reig, J.M.; Martín Muñoz, A.; Rallo Romero, L.; Del Rio Rincón, C.; Tous Martí, J.; Trujillo Navas, I. Variedades de Olivo En España; Mundiprensa: Sevilla, Spain, 2005; ISBN 9788484761921. [Google Scholar]
- Tous, J.; Romero, A.; Planas, J.; Guerrero, L.; Díaz, I.; Hermoso, J.F. Características Químico-Sensoriales de Los Aceites de Oliva «Arbequina» Obtenidos En Distintas Zonas de España. Grasas Aceites 1997, 48, 415–424. [Google Scholar] [CrossRef]
- García-González, D.L.; Romero, N.; Aparicio, R. Comparative Study of Virgin Olive Oil Quality from Single Varieties Cultivated in Chile and Spain. J. Agric. Food Chem. 2010, 58, 12899–12905. [Google Scholar] [CrossRef] [PubMed]
- Angerosa, F.; Di Giacinto, L.; D’Alessandro, N. Quantitation of Some Flavor Components Responsible for the “Green” Attributes in Virgin Olive Oils. HRC J. High Resolut. Chromatogr. 1997, 20, 507–510. [Google Scholar] [CrossRef]



| PDO | 2012 | 2013 | 2014 | 2015 | 2016 | 2017 | 2018 | 2019 | 2020 | Total |
|---|---|---|---|---|---|---|---|---|---|---|
| E | 32 | 22 | 9 | 16 | 15 | 16 | 23 | 12 | 15 | 160 |
| LG | 41 | 45 | 48 | 71 | 63 | 63 | 61 | 67 | 113 | 572 |
| S (P) | 46 | 35 | 40 | 64 | 51 | 38 | 30 | 26 | 25 | 355 |
| S (C) | — | — | — | — | — | — | 6 | 21 | 19 | 46 |
| TA | 2 | — | 2 | 8 | 7 | 5 | 5 | 23 | 18 | 70 |
| BEM | 2 | 6 | 13 | 15 | 19 | 15 | 10 | 22 | 25 | 127 |
| Explored PDOs | |||||||
|---|---|---|---|---|---|---|---|
| E | LG | S | TA | BEM | |||
| Sensory Attribute | P | C | |||||
| Fruity 1 | ** | 4.8 c | 4.7 d | 4.9 bc | 4.5 e | 5.5 a | 5.0 b |
| Bitter 1 | ** | 3.8 c | 3.7 c | 3.8 c | 3.5 d | 4.7 a | 4.1 b |
| Pungent 1 | * | 4.4 c | 4.4 c | 4.5 bc | 4.2 d | 5.0 a | 4.6 b |
| Green 1 | * | 2.9 b | 2.8 c | 2.9 bc | 2.6 d | 3.5 a | 3.0 b |
| Astringent 1 | ** | 2.0 b | 1.9 c | 2.0 bc | 1.5 d | 2.8 a | 2.1 b |
| Sweet 1 | NS | 4.3 | 4.4 | 4.4 | 4.4 | 4.0 | 4.2 |
| Almond 1 | ** | 1.0 e | 1.5 c | 1.1 e | 2.3 a | 1.7 b | 1.3 d |
| Walnut 1 | ** | 0.5 c | 0.4 c | 0.5 c | 0.5 c | 1.3 a | 0.8 b |
| Apple 1 | NS | 0.1 | 0.1 | 0.1 | 0.2 | 0.0 | 0.1 |
| Other ripe fruits 1 | NS | 0.4 | 0.3 | 0.3 | 0.5 | 0.2 | 0.3 |
| Complexity 2 | * | 3.2 b | 3.5 ab | 3.6 ab | 2.9 c | 3.8 a | 3.2 b |
| Global score 2 | NS | 6.9 | 6.9 | 6.9 | 6.7 | 7.1 | 6.9 |
| Secondary attributes 3 | NS | 2.5 | 2.4 | 2.5 | 2.2 | 2.8 | 2.5 |
| Studied Zones (Number of Oil Samples) | |||||||
|---|---|---|---|---|---|---|---|
| E (160) | LG (572) | S (401) | TA (70) | BEM (127) | |||
| P (355) | C (46) | ||||||
| Secondary Descriptors | % of Use | p | |||||
| Green grass | 83 | 83 | 78 | 96 | 86 | 85 | * |
| Green fruity | 69 | 67 | 72 | 46 | 91 | 71 | *** |
| Artichoke | 46 | 49 | 55 | 33 | 73 | 54 | *** |
| Green almond | 31 | 27 | 33 | 17 | 44 | 40 | ** |
| Tomato plant | 23 | 25 | 30 | 15 | 50 | 33 | *** |
| Fennel | 28 | 28 | 27 | 35 | 24 | 33 | NS |
| Tomato | 27 | 33 | 30 | 52 | 7 | 19 | *** |
| Banana | 29 | 34 | 37 | 41 | 10 | 10 | *** |
| Green leaf | 18 | 19 | 13 | 4 | 52 | 22 | *** |
| Ripe fruity | 22 | 21 | 16 | 44 | 4 | 19 | *** |
| Green to ripe fruity | 9 | 13 | 12 | 11 | 4 | 10 | NS |
| Mint | 4 | 0 | 2 | 0 | 17 | 10 | *** |
| Green banana | 3 | 3 | 5 | 4 | 13 | 5 | ** |
| Verdure | 4 | 3 | 3 | 0 | 4 | 7 | NS |
| Flower | 3 | 2 | 2 | 2 | 6 | 6 | * |
| Fig leaf | 0 | 0 | 0 | 0 | 4 | 4 | *** |
| Anise | 1 | 0 | 1 | 2 | 0 | 0 | NS |
Disclaimer/Publisher’s Note: The statements, opinions and data contained in all publications are solely those of the individual author(s) and contributor(s) and not of MDPI and/or the editor(s). MDPI and/or the editor(s) disclaim responsibility for any injury to people or property resulting from any ideas, methods, instructions or products referred to in the content. |
© 2024 by the authors. Licensee MDPI, Basel, Switzerland. This article is an open access article distributed under the terms and conditions of the Creative Commons Attribution (CC BY) license (https://creativecommons.org/licenses/by/4.0/).
Share and Cite
García-Pizarro, A.; Romero, A.; Martí, E.; Hermoso, J.F.; Ninot, A.; Aceña, L.; Mestres, M. Feasibility of Using Secondary Attributes in Sensory Analysis to Characterize Protected Designation of Origin of Olive Oil. Agronomy 2024, 14, 2218. https://doi.org/10.3390/agronomy14102218
García-Pizarro A, Romero A, Martí E, Hermoso JF, Ninot A, Aceña L, Mestres M. Feasibility of Using Secondary Attributes in Sensory Analysis to Characterize Protected Designation of Origin of Olive Oil. Agronomy. 2024; 14(10):2218. https://doi.org/10.3390/agronomy14102218
Chicago/Turabian StyleGarcía-Pizarro, Angel, Agustí Romero, Esteve Martí, Juan F. Hermoso, Antonia Ninot, Laura Aceña, and Montserrat Mestres. 2024. "Feasibility of Using Secondary Attributes in Sensory Analysis to Characterize Protected Designation of Origin of Olive Oil" Agronomy 14, no. 10: 2218. https://doi.org/10.3390/agronomy14102218
APA StyleGarcía-Pizarro, A., Romero, A., Martí, E., Hermoso, J. F., Ninot, A., Aceña, L., & Mestres, M. (2024). Feasibility of Using Secondary Attributes in Sensory Analysis to Characterize Protected Designation of Origin of Olive Oil. Agronomy, 14(10), 2218. https://doi.org/10.3390/agronomy14102218

