Evaluation of Giant Knotweed Extract, Regalia, and Antibiotics in Control of Shoot Blight and Fire Blight Canker Phases on Apple
Abstract
1. Introduction
2. Materials and Methods
2.1. Bacterial Strain and Inoculum Prepartation
2.2. Plant Material and Shoot Inoculations
2.3. Experimental Design, Treatments, and Application Timing
2.4. Measurement of Shoot Blight Severity, Canker Incidence, and Canker Severity
2.5. Statistical Analysis
2.5.1. Data Transformation
2.5.2. Treatment Comparisons
3. Results
3.1. Reduction in Shoot Blight Severity
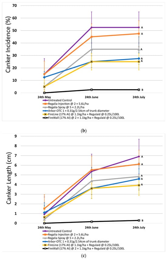
3.2. Reduction in Canker Incidence on Perennial Wood
3.3. Reduction in Canker Length
3.4. Comparison of Trunk Injection and Spray Applications
4. Discussion
Author Contributions
Funding
Data Availability Statement
Acknowledgments
Conflicts of Interest
References
- Van Der Zwet, T.; Keil, H.L.; Keil, H.L. Fire Blight: A Bacterial Disease of Rosaceous Plants; US Department of Agriculture, Beltsville Agricultural Research Center: Beltsville, MD, USA, 1979.
- Winslow, C.-E.; Broadhurst, J.; Buchanan, R.; Krumwiede, C., Jr.; Rogers, L.; Smith, G. The Families and Genera of the Bacteria Final Report of the Committee of the Society of American Bacteriologists on Characterization and Classification of Bacterial Types. J. Bacteriol. 1920, 5, 191–229. [Google Scholar] [CrossRef] [PubMed]
- Billing, E.; Baker, L.A.E.; Crosse, J.E.; Garrett, C.M.E. Characeristics of English Isolates of Erwinia amylovora (Burrill) Winslow et al. J. Appl. Bacteriol. 1961, 24, 195–211. [Google Scholar] [CrossRef]
- Santander, R.D.; Biosca, E.G. Erwinia amylovora Psychrotrophic Adaptations: Evidence of Pathogenic Potential and Survival at Temperate and Low Environmental Temperatures. PeerJ 2017, 5, e3931. [Google Scholar] [CrossRef] [PubMed]
- Aćimović, S.; Balaž, J.; Aćimović, D.; Reeb, P. High Magnitude of Fire Blight Symptom Development and Canker Formation from July Onwards on Two Apple Cultivars under Severe Natural Infections. J. Plant Pathol. 2014, 96, 159–168. [Google Scholar]
- Santander, R.D.; Català-Senent, J.F.; Marco-Noales, E.; Biosca, E.G. In Planta Recovery of Erwinia amylovora Viable but Nonculturable Cells. Trees 2012, 26, 75–82. [Google Scholar] [CrossRef]
- Santander, R.D.; Khodadadi, F.; Meredith, C.L.; Rađenović, Ž.; Clements, J.; Aćimović, S.G. Fire Blight Resistance, Irrigation and Conducive Wet Weather Improve Erwinia amylovora Winter Survival in Cankers. Front. Microbiol. 2022, 13, 1009364. [Google Scholar] [CrossRef]
- Dhar, B.C.; Delgado Santander, R.; Aćimović, S.G. Improved Canker Processing and Viability Droplet Digital PCR Allow Detection of Erwinia Amylovora Viable Nonculturable Cells in Apple Bark. Microorganisms 2024, 12, 376. [Google Scholar] [CrossRef]
- Cellini, A.; Giacomuzzi, V.; Donati, I.; Farneti, B.; Rodriguez-Estrada, M.T.; Savioli, S.; Angeli, S.; Spinelli, F. Pathogen-Induced Changes in Floral Scent May Increase Honeybee-Mediated Dispersal of Erwinia amylovora. ISME J. 2019, 13, 847–859. [Google Scholar] [CrossRef]
- Slack, S.M.; Zeng, Q.; Outwater, C.A.; Sundin, G.W. Microbiological Examination of Erwinia amylovora Exopolysaccharide Ooze. Phytopathology 2017, 107, 403–411. [Google Scholar] [CrossRef]
- Norelli, J.L.; Jones, A.L.; Aldwinckle, H.S. Fire Blight Management in the Twenty-First Century: Using New Technologies That Enhance Host Resistance in Apple. Plant Dis. 2003, 87, 756–765. [Google Scholar] [CrossRef]
- Longstroth, M. The 2000 Fire Blight Epidemic in Southwest Michigan Apple Orchards. Compact Fruit Tree 2001, 34, 16–19. [Google Scholar]
- Stockwell, V.; Johnson, K.; Loper, J. Biological Control of Fire Blight: Understanding Interactions among Introduced and Indigenous Microbial Communities. In Phyllosphere Microbiol; American Phytopathological Society: St. Paul, MI, USA, 2002; pp. 225–239. [Google Scholar]
- Doukkali, L.; Radouane, N.; Ezrari, S.; Tahiri, A.; Tazi, B.; Guenoun, F.; Amiri, S.; Lahlali, R. Lessons Learnt from the Fire Blight Epidemics: A Mini Review. Indian Phytopathol. 2022, 75, 611–625. [Google Scholar] [CrossRef]
- Rodoni, B.; Merriman, P.; McKirdy, S.; Wittwer, G. Costs Associated with Fire Blight Incursion Management and Predicted Costs of Future Incursions. Acta Hortic. 2006, 704, 55. [Google Scholar] [CrossRef]
- Zhao, Y.; Tian, Y.; Wang, L.; Geng, G.; Zhao, W.; Hu, B.; Zhao, Y. Fire Blight Disease, a Fast-Approaching Threat to Apple and Pear Production in China. J. Integr. Agric. 2019, 18, 815–820. [Google Scholar] [CrossRef]
- IPCC. 2023: Summary for Policymakers. In Climate Change 2023: Synthesis Report. Contribution of Working Groups I, II and III to the Sixth Assessment Report of the Intergovernmental Panel on Climate Change; IPCC: Geneva, Switzerland, 2023. [Google Scholar]
- Ault, T.R.; Schwartz, M.D.; Zurita-Milla, R.; Weltzin, J.F.; Betancourt, J.L. Trends and Natural Variability of Spring Onset in the Coterminous United States as Evaluated by a New Gridded Dataset of Spring Indices. J. Clim. 2015, 28, 8363–8378. [Google Scholar] [CrossRef]
- Keenan, T.F.; Gray, J.; Friedl, M.A.; Toomey, M.; Bohrer, G.; Hollinger, D.Y.; Munger, J.W.; O’Keefe, J.; Schmid, H.P.; Wing, I.S. Net Carbon Uptake Has Increased through Warming-Induced Changes in Temperate Forest Phenology. Nat. Clim. Chang. 2014, 4, 598–604. [Google Scholar] [CrossRef]
- Menzel, A.; Sparks, T.H.; Estrella, N.; Koch, E.; Aasa, A.; Ahas, R.; Alm-Kübler, K.; Bissolli, P.; Braslavská, O.; Briede, A. European Phenological Response to Climate Change Matches the Warming Pattern. Glob. Chang. Biol. 2006, 12, 1969–1976. [Google Scholar] [CrossRef]
- Pautasso, M.; Döring, T.F.; Garbelotto, M.; Pellis, L.; Jeger, M.J. Impacts of Climate Change on Plant Diseases—Opinions and Trends. Eur. J. Plant Pathol. 2012, 133, 295–313. [Google Scholar] [CrossRef]
- Gusberti, M.; Klemm, U.; Meier, M.S.; Maurhofer, M.; Hunger-Glaser, I. Fire Blight Control: The Struggle Goes On. A Comparison of Different Fire Blight Control Methods in Switzerland with Respect to Biosafety, Efficacy and Durability. Int. J. Environ. Res. Public Health 2015, 12, 11422–11447. [Google Scholar] [CrossRef]
- Aćimović, S.G.; Meredith, C.L.; Santander, R.D.; Khodadadi, F. Proof of Concept for Shoot Blight and Fire Blight Canker Management with Postinfection Spray Applications of Prohexadione-Calcium and Acibenzolar-s-Methyl in Apple. Plant Dis. 2021, 105, 4095–4105. [Google Scholar] [CrossRef]
- Borba, M.C.; Meredith, C.L.; Dhar, B.C.; Aćimović, S.G. Proof of Concept for Management of Shoot Blight and Fire Blight Cankers on Pear with Preventive Spray Applications of Giant Knotweed Extract. Front. Hortic. 2023, 1, 1082284. [Google Scholar] [CrossRef]
- Rezzonico, F.; Emeriewen, O.F.; Zeng, Q.; Peil, A.; Smits, T.H.M.; Sundin, G.W. Burning Questions for Fire Blight Research: I. Genomics and Evolution of Erwinia amylovora and Analyses of Host-Pathogen Interactions. J. Plant Pathol. 2024, 106, 797–810. [Google Scholar] [CrossRef]
- Aćimović, S.G.; McGhee, G.C.; Sundin, G.W.; Wise, J.C. Evaluation of Trunk-Injected Bactericides and Prohexadione-Calcium for Environmentally Friendly Control of Fire Blight (Erwinia Amylovora) in Apples; Plant Protection Society of Serbia (PPSS): Zlatibor, Serbia, 2015; ISBN 978-86-83017-27-0. [Google Scholar]
- McGhee, G.C.; Sundin, G.W. Evaluation of Kasugamycin for Fire Blight Management, Effect on Nontarget Bacteria, and Assessment of Kasugamycin Resistance Potential in Erwinia amylovora. Phytopathology 2011, 101, 192–204. [Google Scholar] [CrossRef]
- DuPont, S.T.; Munir, M.; Cox, K.; Johnson, K.; Peter, K.; Baro, A. Evaluation of Pruning Therapies in Apple Trees with Fire Blight. J. Plant Pathol. 2023, 105, 1695–1709. [Google Scholar] [CrossRef]
- Koczan, J.M.; McGrath, M.J.; Zhao, Y.; Sundin, G.W. Contribution of Erwinia amylovora Exopolysaccharides Amylovoran and Levan to Biofilm Formation: Implications in Pathogenicity. Phytopathology 2009, 99, 1237–1244. [Google Scholar] [CrossRef]
- Gao, H.; Guo, M.; Song, J.; Ma, Y.; Xu, Z. Signals in Systemic Acquired Resistance of Plants against Microbial Pathogens. Mol. Biol. Rep. 2021, 48, 3747–3759. [Google Scholar] [CrossRef]
- Vlot, A.C.; Dempsey, D.A.; Klessig, D.F. Salicylic Acid, a Multifaceted Hormone to Combat Disease. Annu. Rev. Phytopathol. 2009, 47, 177–206. [Google Scholar] [CrossRef] [PubMed]
- Aćimović, S.G.; Zeng, Q.; McGhee, G.C.; Sundin, G.W.; Wise, J.C. Control of Fire Blight (Erwinia amylovora) on Apple Trees with Trunk-Injected Plant Resistance Inducers and Antibiotics and Assessment of Induction of Pathogenesis-Related Protein Genes. Front. Plant Sci. 2015, 6, 16. [Google Scholar] [CrossRef]
- Daayf, F.; Schmitt, A.; Bélanger, R. The Effects of Plant Extracts of Reynoutria sachalinensis on Powdery Mildew Development and Leaf Physiology of Long English Cucumber. Plant Dis. 1995, 79, 577–580. [Google Scholar] [CrossRef]
- Zhang, X.; Thuong, P.T.; Jin, W.; Su, N.D.; Sok, D.E.; Bae, K.; Kang, S.S. Antioxidant Activity of Anthraquinones and Flavonoids from Flower of Reynoutria sachalinensis. Arch. Pharmacal Res. 2005, 28, 22–27. [Google Scholar] [CrossRef]
- Su, H. Regalia® Bioprotectant in Plant Disease Management. Outlooks Pest Manag. 2012, 23, 30–34. [Google Scholar] [CrossRef]
- Liu, M.; Peng, W.; Qin, R.; Yan, Z.; Cen, Y.; Zheng, X.; Pan, X.; Jiang, W.; Li, B.; Li, X. The Direct Anti-MRSA Effect of Emodin via Damaging Cell Membrane. Appl. Microbiol. Biotechnol. 2015, 99, 7699–7709. [Google Scholar] [CrossRef] [PubMed]
- Srinivas, G.; Babykutty, S.; Sathiadevan, P.P.; Srinivas, P. Molecular Mechanism of Emodin Action: Transition from Laxative Ingredient to an Antitumor Agent. Med. Res. Rev. 2007, 27, 591–608. [Google Scholar] [CrossRef]
- Malmir, M.; Serrano, R.; Silva, O. Anthraquinones as Potential Antimicrobial Agents-A Review. In Antimicrobial Research: Novel Bioknowledge and Educational Programs; Mendez-Vilas, A., Ed.; Formatex Research Center S.L.: Badajoz, Spain, 2017; pp. 55–61. [Google Scholar]
- Aćimović, S.G.; Meredith, C.L. Evaluation of Newer Biologicals and the SAR-Activator Candidate Regalia in Fire Blight Control Applied by Spraying or Trunk Injection. Fruit Q. 2017, 25, 25–29. [Google Scholar]
- Yuan, X.; Gdanetz, K.; Outwater, C.A.; Slack, S.M.; Sundin, G.W. Evaluation of Plant Defense Inducers and Plant Growth Regulators for Fire Blight Management Using Transcriptome Studies and Field Assessments. Phytopathology 2023, 113, 2152–2164. [Google Scholar] [CrossRef]
- Bertani, G. Studies on Lysogenesis I. J. Bacteriol. 1951, 62, 293–300. [Google Scholar] [CrossRef] [PubMed]
- Johnson, K.B.; Temple, T.N. Comparison of Methods of Acibenzolar-S-Methyl Application for Post-Infection Fire Blight Suppression in Pear and Apple. Plant Dis. 2016, 100, 1125–1131. [Google Scholar] [CrossRef]
- Aćimović, S.G.; VanWoerkom, A.H.; Reeb, P.D.; Vandervoort, C.; Garavaglia, T.; Cregg, B.M.; Wise, J.C. Spatial and Temporal Distribution of Trunk-Injected Imidacloprid in Apple Tree Canopies. Pest Manag. Sci. 2014, 70, 1751–1760. [Google Scholar] [CrossRef]
- de León Door, A.P.; Romo Chacón, A.; Acosta Muñiz, C. Detection of Streptomycin Resistance in Erwinia amylovora Strains Isolated from Apple Orchards in Chihuahua, Mexico. Eur. J. Plant Pathol. 2013, 137, 223–229. [Google Scholar] [CrossRef]
- Kim, Y.J.; Choi, H.S.; Park, D.H. Persistence and Viable but Non-Culturable State Induced by Streptomycin in Erwinia amylovora. Front. Microbiol. 2024, 15, 1346300. [Google Scholar] [CrossRef]
- Slack, S.M.; Walters, K.J.; Outwater, C.A.; Sundin, G.W. Effect of Kasugamycin, Oxytetracycline, and Streptomycin on in-Orchard Population Dynamics of Erwinia amylovora on Apple Flower Stigmas. Plant Dis. 2021, 105, 1843–1850. [Google Scholar] [CrossRef] [PubMed]
- Christiano, R.; Reilly, C.; Miller, W.; Scherm, H. Oxytetracycline Dynamics on Peach Leaves in Relation to Temperature, Sunlight, and Simulated Rain. Plant Dis. 2010, 94, 1213–1218. [Google Scholar] [CrossRef] [PubMed]
- McManus, P.; Jones, A. Epidemiology and Genetic Analysis of Streptomycin-Resistant Erwinia amylovora from Michigan and Evaluation of Oxytetracycline for Control. Phytopathology 1994, 84, 627–633. [Google Scholar] [CrossRef]
- McManus, P.S.; Stockwell, V.O.; Sundin, G.W.; Jones, A.L. Antibiotic Use in Plant Agriculture. Annu. Rev. Phytopathol. 2002, 40, 443–465. [Google Scholar] [CrossRef] [PubMed]
- Stockwell, V.; Duffy, B. Use of Antibiotics in Plant Agriculture. Rev. Sci. Tech.-Off. Int. Epizoot. 2012, 31, 199–210. [Google Scholar] [CrossRef]
- Sundin, G.W.; Peng, J.; Brown, L.E.; Zeng, Q.; Förster, H.; Adaskaveg, J.E. A Novel IncX Plasmid Mediates High-Level Oxytetracycline and Streptomycin Resistance in Erwinia amylovora from Commercial Pear Orchards in California. Phytopathology 2023, 113, 2165–2173. [Google Scholar] [CrossRef]
- Aćimović, S.G.; Santander, R.D.; Meredith, C.L.; Pavlović, Ž.M. Fire Blight Rootstock Infections Causing Apple Tree Death: A Case Study in High-Density Apple Orchards with Erwinia amylovora Strain Characterization. Front. Hortic. 2023, 2, 1082204. [Google Scholar] [CrossRef]




| # | Spray Materials, Active Ingredient Percent, and Application Type | Number of Applications and Rate | Growth Stage of Application in 2022 1 | Growth Stage of Application in 2023 2 |
|---|---|---|---|---|
| 1 | Regalia 5%—Trunk Injection | 2 × 5.6 L/ha (50% water solution) | Green tip | Green tip |
| 2 | Regalia 5%—Spray Application | 5 × 2.2 L/ha | Green tip, tight cluster, pink bud, petal fall, first cover | Green tip, tight cluster, pink bud, petal fall, first cover |
| 3 | Arbor-OTC 36.7%—Trunk Injection | 1 × 0.31 g/2.54 cm of trunk diameter (10% water solution) | Green tip | Green Tip |
| 4 | FireLine 17% + Regulaid—Spray Application | 2 × 1.1 kg/ha + 0.25 L/100 L | Bloom, 24 h before inoculation | Bloom, 24 h before inoculation |
| 5 | FireWall 17% + Regulaid—Spray Application | 2 × 1.1 kg/ha + 0.25 L/100 L | Bloom, 24 h before inoculation | Bloom, 24 h before inoculation |
| 6 | Untreated Control | - | - | - |
Disclaimer/Publisher’s Note: The statements, opinions and data contained in all publications are solely those of the individual author(s) and contributor(s) and not of MDPI and/or the editor(s). MDPI and/or the editor(s) disclaim responsibility for any injury to people or property resulting from any ideas, methods, instructions or products referred to in the content. |
© 2024 by the authors. Licensee MDPI, Basel, Switzerland. This article is an open access article distributed under the terms and conditions of the Creative Commons Attribution (CC BY) license (https://creativecommons.org/licenses/by/4.0/).
Share and Cite
Boeckman, N.; Borba, M.C.; Aćimović, S.G. Evaluation of Giant Knotweed Extract, Regalia, and Antibiotics in Control of Shoot Blight and Fire Blight Canker Phases on Apple. Agronomy 2024, 14, 2216. https://doi.org/10.3390/agronomy14102216
Boeckman N, Borba MC, Aćimović SG. Evaluation of Giant Knotweed Extract, Regalia, and Antibiotics in Control of Shoot Blight and Fire Blight Canker Phases on Apple. Agronomy. 2024; 14(10):2216. https://doi.org/10.3390/agronomy14102216
Chicago/Turabian StyleBoeckman, Nathanial, Matheus Correa Borba, and Srđan G. Aćimović. 2024. "Evaluation of Giant Knotweed Extract, Regalia, and Antibiotics in Control of Shoot Blight and Fire Blight Canker Phases on Apple" Agronomy 14, no. 10: 2216. https://doi.org/10.3390/agronomy14102216
APA StyleBoeckman, N., Borba, M. C., & Aćimović, S. G. (2024). Evaluation of Giant Knotweed Extract, Regalia, and Antibiotics in Control of Shoot Blight and Fire Blight Canker Phases on Apple. Agronomy, 14(10), 2216. https://doi.org/10.3390/agronomy14102216

