Next Article in Journal
The Effects of Different Organic Materials and Cover Thicknesses on the Early Growth and Antioxidant Response of Direct-Seeded Rice
Next Article in Special Issue
Enhancing Cowpea Tolerance to Elevated Temperature: Achievements, Challenges and Future Directions
Previous Article in Journal
Estimation of Spring Maize Planting Dates in China Using the Environmental Similarity Method
Previous Article in Special Issue
Imidacloprid Disturbs the Nitrogen Metabolism and Triggers an Overall Stress Response in Maize Seedlings
 
 
Font Type:
Arial Georgia Verdana
Font Size:
Aa Aa Aa
Line Spacing:
Column Width:
Background:
Article

Selection of Perennial Flax (Linum spp.) for Yield and Reproductive Traits for the Oilseed Ideotype

1
Department of Horticultural Science, University of Minnesota, 1970 Folwell Ave, St. Paul, MN 55108, USA
2
Department of Agronomy & Plant Genetics, University of Minnesota, 1991 Upper Buford Cir., St. Paul, MN 55108, USA
*
Author to whom correspondence should be addressed.
Agronomy 2024, 14(1), 99; https://doi.org/10.3390/agronomy14010099
Submission received: 17 November 2023 / Revised: 20 December 2023 / Accepted: 29 December 2023 / Published: 30 December 2023
(This article belongs to the Special Issue Breeding Innovations in Crop for Resilient Cropping Systems)

Abstract

:
Flaxseed has gained popularity as a health food. Wild, perennial Linum relatives of annual flax (L. usitatissimum) possess similar oil compositions, making them perennial oilseed (OS) alternatives. The objective of this study was to phenotype 25 OS and 17 cut flower (CF) breeding populations with 137 wild Linum species’ accessions in a common garden over three years (Y1–3) to quantify the impact of selection and identify top candidates. This study was intercepted by COVID-19, which prevented the same detailed phenotyping of Y1 from occurring in Y2–3. Traits measured from the perennial flax OS, in comparison with the CF ideotypes: weekly seed germination (Y1), yield per plant (Y1–3), seed weight (Y1–2), shattering (Y1–2), and seed capsule diameter (Y1). In Y1, OS selections had the highest yield per plant, followed by L. austriacum and then CF selections. The 1000 seed weights in Y1 were highest in annual flax, followed by L. grandiflorum and L. baicalense. Seed numbers/capsule were low in Y1–2, possibly due to shattering. Average yield per plant increased across Y1–3 indicating that, once plant establishment had occurred along with the potential for two harvests/year in Y2 onwards, significant OS yield can be realized. Harvest 1 yields were significantly higher than in harvest 2. In Y1–3, OS selections had the highest average seed yield. In Y1, OS and CF populations had smaller seeds, higher shattering, smaller capsule diameters, and lower germination than wild species. Significant breeding efforts are needed to increase perennial flax yield, using the multiple crop ideotypes.

1. Introduction

Sustainable agricultural growth requires that several significant and mounting environmental challenges be addressed, namely soil erosion, nutrient runoff, and pollinator decline [1,2,3,4]. Current production systems use intensive tillage practices and leave topsoil exposed throughout the winter months, facilitating increased rates of erosion and nutrient runoff [5]. These problems have gained widespread attention in Minnesota, where it is estimated that up to 45% of cropland is experiencing unsustainable levels of soil erosion and a majority of water nutrient pollution is linked to agricultural sources [6,7]. These problems contribute to algal blooms in surface waters, and contamination of public drinking water supplies as nutrients leach into the groundwater aquifers [3,5,8,9,10]. Pollinator populations have also declined significantly due to habitat loss and pesticide use associated with annual monoculture cropping systems, which are generally not capable of sustaining pollinator populations due to their limited flowering period [2,4,11,12,13].
One proposed solution to these problems is increasing the amount of year-round cover on agricultural land through cover crops or perennial cropping systems [14,15]. This challenge has been the focus of the University of Minnesota Forever Green Initiative (FGI) for over a decade [16]. The FGI brings together academic, industry, and legislative partners to advance the development of winter cover crops, as well as perennial or biennial species capable of overwintering in Minnesota [16]. The core philosophy of the FGI is that all crops should provide economic benefits to the farmer, as well as ecosystem services that relieve the environmental impacts of agriculture. Perennial grain crops bred by FGI researchers, such as intermediate wheatgrass (Thinopyrum intermedium (Host) Barkworth & D.R. Dewey subsp. intermedium), have demonstrated increased rates of nutrient capture over a two-year period, proving that this is an effective method of reducing levels of agricultural pollutants to Minnesota waterways [14,17,18,19].
Domesticated annual flax (L. usitatissimum L.), also known as common flax or linseed, is one of the oldest cultivated plants and was domesticated in the fertile crescent ~8000 B.C.E [20,21]. Throughout history, flax has been highly valued as a multi-use crop for fiber, feed, and industrial applications [20]. Wild relatives of annual flax are being evaluated for domestication as a new perennial crop. Although wild species of Linum L. have less total oil content, most share the unique oil profile of annual flax that is high in ω-3 fatty acids [22,23,24]. The health benefits associated with consuming ω-3 fatty acids are expected to drive increased demand for flaxseed [20,23,25]. Therefore, one of the primary objectives of FGI perennial flax breeding is to develop perennial OS flax with added ecosystem services, e.g., reduced soil erosion and water quality improvement. In a unique collaboration among agronomy and horticulture breeders, the FGI perennial flax breeding program is simultaneously pursuing both OS and ornamental breeding objectives [26,27]. Current breeding efforts are being facilitated using ideotype approaches [27].
The genus Linum contains ~180–200 species distributed throughout temperate and subtropical regions of the world [21,28,29]. The genus can generally be divided into two major clades—a blue-flowered and a yellow-flowered clade [21]. Most of the perennial flax species being evaluated by the FGI breeding program are from the section Adenolinum (commonly called the L. perenne group) within the blue-flowered clade. This section of the genus includes Eurasian species such as L. perenne L. and L. austriacum L., and North American L. lewisii Pursh [21,30]. The blue-flowered clade also contains section Linum, which encompasses notable species such as common flax (L. usitatissimum) and its progenitor L. bienne Mill. (=L. angustifolium Huds.) [21,29].
The reproductive structures of flax are all quinquepartite: five sepals, five petals, five pistils and stamens, and a five chambered seed pod, or capsule. Each chamber of the seed pod can have up to two seeds, for a maximum of ten, although the average for cultivated flax is ~6 seeds per capsule [31,32]. Unlike most crops, shattering or capsular dehiscence is not completely fixed in domesticated flax. More northern (Canadian) types typically dehisce slightly at the apex, although not enough for seed shatter, which helps the seeds to resist weathering and disease by allowing excess moisture to escape the capsule [33]. There is variation within the genus for all reproductive traits, including seed size and color, and degree of capsule opening [22].
Perennial crop development will require significant decades-long investments in breeding to improve agronomically relevant traits [34]. The FGI perennial flax program is evaluating natural variation in a diverse panel of Linum spp.; meanwhile, a parallel effort maintained by the United States Department of Agriculture (USDA) is pursuing domestication of the North American L. lewisii [24]. These efforts are enhanced by the recent genome assembly of L. lewisii developed in a joint effort between the USDA, University of Colorado—Boulder, and North Dakota State University, which will enable future developments in molecular breeding tools [35]. These efforts to improve germplasm will be critical for realizing the goal of large-scale perennial flax production systems, as early agronomic trials have demonstrated significant yield losses due to shattering and weed competition [36]. Thus, collaborations between agronomists, geneticists, breeders must be founded on quality perennial flax germplasm in order to achieve a viable perennial flax crop.
The primary objectives of this research were (1) to compare OS ideotype trait values among wild accessions and breeding populations which had undergone 1–5 yr. of selection in a common garden; (2) identify top candidate species for future breeding as well as significant phenotypes which might be introgressed into existing breeding populations; (3) evaluate changes in postharvest trait values during years 1–3 (Y1–3) of growth. Traits recorded, based on perennial flax OS ideotypes, included: yield per plant (Y1–3, 2019–2021), 1000 seed weight (Y1–2, 2019–2020), capsule diameter (Y1, 2019), number of seeds per capsule (Y1–2, 2019–2020), and percent germination (Y1, 2019). Trait data differed by year due to the COVID-19 pandemic, which severely limited the number of people allowed in the greenhouse and field trial sites at any given time. We hypothesize that the OS, as well as CF selection populations will possess mean trait values exceeding the species accessions for the OS traits under selection. It is expected that yield will be greater in Y2, but that no significant differences will be observed for 1000 seed weight and/or capsule traits.

2. Materials and Methods

2.1. Germplasm

We have published the species populations used to create the initial breeding lines and subsequent perennial flax selections during 2005–2008 by the breeding program [37]. In fall 2018, selections for OS and CF traits were made from a 2018 elite restart nursery and a nursery of open-pollinated L. austriacum, L. lewisii, and L. perenne. Additional accessions of wild perennial flax for this experiment were obtained from the Germplasm Resources Information Network (GRIN) of the USDA-ARS, Plant Gene Resources of Canada (GRIN-CA), the Kew Millennium Seed Bank, and additional commercial sources. In total, 137 accessions were studied of L. alatum Ledeb. ex Juz., L. altaicum Ledeb. ex Juz., L. aristatum Engelm., L. austriacum, L. baicalense Juz., L. bienne Mill., L. decumbens Desf., L. flavum L., L. grandiflorum Desf., L. hirsutum L., L. hudsonoides Planch., L. leonii F.W.Schultz, L. lewisii, L. narbonense L., L. pallescens Bunge, L. perenne, L. stelleroides Planch, L. strictum L., L. sulcatum Riddell, L. virgultorum Boiss. & Heldr. ex Planch, and L. viscosum L. (Supplemental Table S1). Eight accessions of domesticated annual flax, L. usitatissimum, were included as check lines in Y1 (Supplemental Table S1).
The ‘Selections—OS’ population consists of 25 genotypes selected in 2018 for OS traits, primarily yield and seed size (1000 seed wt.) (Supplemental Table S1). The population ‘Selections—CF’ contains of 17 selections made in 2018 for the CF ideotype [27], based on growth habit, stem length, and flower diameter. Within both populations, the top 9–10 parent genotypes were propagated as vegetative cuttings from field plants in fall 2018. Ten stem tip cuttings per genotype (>5 cm length) were harvested from the crown, labeled, sealed in bags [1.2 mL Get Reddi® Sandwich Bags, United States Plastic Corporation], and put into a cooler on ice for transport to MN Ag. Exp. Station Plant Growth Facility, University of Minnesota (44°59′17.8″ N, −93°10′51.6″ W) before rooting. Cuttings were trimmed to 5–7 cm length using a sterile razor [GEM Carbon Steel Extra Sharp Single Edge Blade, The Razor Blade Co., Van Nuys, CA, USA], the lower leaves removed, and the cut stem base dipped into 1000 ppm Indole-3-butyric Acid (IBA), after which cuttings were inserted into pre-moistened foam propagation strips [ROOTCUBES® PLUS WEDGE®, Oasis Grower Solutions, Kent, OH, USA]. Cuttings were rooted for 5 weeks in a glass mist house (21/21 °C, day/night, 16 h; 600–2200 h lighting with high pressure sodium high intensity discharge lamps or HIDs at a minimum set point of 150 μmol m−2 s−1 at plant level). An intermittent mist system, at a mist frequency of 10 min intervals (mist nozzles, reverse osmosis water) during 600–2200 h with a 7 s duration was used. After rooting, cuttings were transplanted into 10.12 cm square deep pots [SVD-355-DEEP-BK-40, T.O. Plastics, Clearwater, MN, USA] filled with a soilless medium [Promix Mycorrhizae, Premier Horticulture Inc., Quakertown, PA, USA] and grown in a glass greenhouse at 16.7/15.5 °C day/night daily integral and a 16 h photoperiod (600–2200 h; long days). Supplemental lighting was supplied during winter months and cloudy days by 400 w high pressure sodium high intensity discharge (HPS-HID) lamps, at a minimum of 150 μmol m−2 s−1 at plant level, with an 16 h photoperiod. These were grown as stock plants and then for cuttings in spring 2019. The open-pollinated (OP) seed from these clonal genotypes was also planted for evaluation in 2019 if ≥59 seeds were available, in addition to the other selections.

2.2. Establishment of Common Garden Nursery

In Y1 (spring 2019), all OS selections (25), CF selections (17), and species accessions (137) were grown in a common garden nursery in Rosemount, MN to compare phenotypic traits of interest within the same common garden environment (Figure 1A). Accessions were sown in 288 plug trays [Landmark Plastic, Akron, OH, USA] with soilless germination media [Berger BM2 Germination Mix, Berger, Saint-Modeste, QC, Canada] and covered with fine vermiculite [Palmetto Vermiculite Medium A-2, Palmetto Vermiculite, Woodruff, SC, USA] in weeks 14 and 15 (5 and 12 April 2019). Due to the limited quantity of seed, four accessions (59 seeds each) were planted by hand in each 288 plug tray, leaving an empty row between accessions to prevent contamination. For all breeding populations, n ≤ 288 seeds/genotype were sown using a vacuum seeder [E-Z Seeder, E-Z Seeder, Inc., WI, USA]. All plug trays were placed in a mist house for 4 h to moisten the soilless medium using an intermittent mist system (St. Paul MN Plant Growth Facility, University of Minnesota; 44°59′17.8″ N, −93°10′51.6″ W) at a mist frequency of 10 min intervals (mist nozzles, reverse osmosis water) during 600–2200 h with a 7 s duration (21/21 °C, day/night, 16 h; 600–2200 h) with lighting supplied by high pressure sodium high intensity discharge (HID) lamps at a minimum set point of 150 μmol m−2 s−1. Once watered in, the trays were covered with plastic dome lids [Super Sprouter Standard Vented Humidity Dome 7″, Hawthorne Gardening Company, Vancouver, WA, USA] and transferred to a walk-in cooler for 2 weeks at 4/4 °C day/night in darkness to break seed dormancy (cold stratification), which is recommended for most wild Linum species (K. Betts, personal communication, 2018; Barbara Atkins, STA laboratories, Longmont, CO, USA). Trays were uncovered and misted by hand, as needed, over this 2 week period to maintain adequate moisture levels in the soilless medium. After the 2 week stratification, the dome lids were removed, and the trays were returned to the mist house for an additional 3 weeks. During this 5 week (total) germination period, the number of seeds germinated per week was recorded using different colored toothpicks inserted into the media [38,39]. Plug trays were then moved onto capillary mats in a greenhouse at 16.7/15.5 °C day/night daily integral and a 16 h photoperiod (600–2200 h; long days) on weeks 19 and 20 (10 and 17 May 2019). Supplemental lighting was supplied during cloudy days by 400 w high pressure sodium high intensity discharge (HPS-HID) lamps, at a minimum of 150 μmol m−2 s−1 at plant level. Fertigation (Mondays-Fridays) provided nutrients at a constant liquid feed (CLF) rate of 125 ppm N from water soluble 20-10-20 fertilizer. Accessions remained in the greenhouse until transplanting in week 24 (Y1).
During week 15 and 16 (Y1), 100 vegetative cuttings from the top CF and OS selections (indicated by ‘clone’; Supplemental Table S1) were harvested to bulk up these genotypes for field trials. The propagation protocol was identical to the one outlined above, except that cuttings were sourced from greenhouse stock plants. In week 21 the rooted cuttings were moved to the identical greenhouse as the seedlings with the same fertigation regime; these also remained in the greenhouse until transplanting in week 24 (Y1).
The common garden nursery was located at the Rosemount Research and Outreach Center, Rosemount, MN (44°42′58.2″ N, −93°5′54.9″ W). Accessions and seed propagated selections were randomized. In total, 20 seedlings of each accession and/or ten rooted cuttings per genotype were transplanted, with selection for early germination among genotypes within accessions. Planting spacing was 45.7 cm on center (OC) within rows with 1.83 m row widths (Figure 1B). The field was irrigated post-planting with 2.54 cm water. Irrigation continued throughout the summer to maintain a minimum of 2.54 cm water per week when there was insufficient rainfall. Weed control consisted of weekly mechanical tillage between rows, pre-emergent herbicide applications [Fortress®, OHP Inc., Bluffton, SC, USA] at the recommended rates, and bi-weekly hand weeding within rows.

2.3. Postharvest Traits

Perennial flax requires an extended growing season to mature and set seed following establishment, so the Y1 plants with mature seed pods were harvested once on a per plant basis in weeks 43–45. In Y2–Y3, however, flax plants flower and set seed much earlier, and in many cases yield a second harvest which matures very late in the fall. Harvest 1 occurred in midsummer (~weeks 28–29), followed by harvest 2 in late fall (~weeks 44–46). Plants were clipped at the base using pruners, then placed into labeled harvest bags for transport to St. Paul, MN facilities, where they were dried for 5 d at 32.2 °C and moved into dry, room temperature (~21 °C, day/night) storage. During Y2–Y3 due to the COVID-19 pandemic, each accession was bulk harvested into a single bag, rather than on a per-plant basis. The number of plants in each bulk was recorded for yield estimates (g) on an averaged per plant basis, which also accounted for changes to the total number of plants per genotype due to winter or summer mortality.
Before each sample was cleaned, the capsule diameter (mm) and number of seeds per capsule were recorded for five randomly selected mature capsules/genotype. Samples were cleaned using a belt thresher [hand fabricated at the UMN; D. Vellekson, 2019, pers. comm.], followed by a fractionating aspirator [CFZ1 and CFZ2 Fractionating Aspirator Test Models, Carter Day International Inc., Minneapolis, MN]. If additional cleaning was required, sieves of various sizes were used before picking out the remaining chaff by hand. Once cleaned, the total weight of the sample was recorded to measure total seed yield (g) on a per-plant basis.
A seed counter [DATA Count S-JR, DATA Detection Technologies Ltd., Jerusalem, Israel] was used to subsample 1000 seeds and the 1000 seed wt. (g) was recorded. If a sample had <1000 seeds total, the total number was recorded and used to calculate an estimated 1000 seed weight with the equation:
1000   seed   wt .   estimate   g = Yield   g Total   #   seeds × 1000
The validity and rigor of this statistical estimate (methodology) was tested for 1000 seed wt. for populations and genotypes and their respective interactions.
Due to constraints of the COVID-19 pandemic, the recording of capsule diameter (mm) was dropped Y2–Y3 of the study. Additionally, in Y3, 1000 seed wt. (g) and average number of seeds per capsule (SPC) were dropped from the study.

2.4. Ornamental Traits

Each individual plant in the nursery was monitored weekly for flowering (≥1 open flower) [40]. Flowering data collection began in weeks 27 through 43, or 17 weeks total. The total number of weeks in flower was used to compare the flowering periods. Transplant survival was also recorded on a per-plant basis in week 43. Winter survival was recorded the following spring in week 19 (2020). Other plant measurements recorded during the growing seasons [27,40] included plant height (cm) measured from the soil surface to the highest point of the plant; plant width 1 (cm; measure at the widest point of the plant), plant width 2 (cm; measured at a 90° angle from width 1); height:width ratio was calculated as:
Height to width ratio = Height ÷ [(width 1 + width 2) ÷ 2]
the semi-ellipsoid volume (cm3) represents the most accurate plant shape metric and was determined using the formula:
Semi − ellipsoid volume (cm3) = (2 ÷ 3) × π × Height × ((1/2 × Width 1) × ((1/2 × Width 2)
the eccentricity of an ellipse (e) quantifies plant shape, being calculated as:
e = square root (1 − [width 12) ÷ (width 22])
circumference (cm) was determined using:
Circumference (cm) = π × ((Width 1 + Width 2) ÷ 2)
the base area of the ellipse (cm2) is based on the formula:
Base area (cm2) = π × Width 1 × Width 2
stem length (cm) was the distance from the plant crown to stem apex; stem diameter (mm) was measured 30 cm basipetally from the stem apex; flower diameter (mm).

2.4.1. Statistical Analysis (Y1 Data)

Initially, separate two-way analysis of variances (ANOVAs) were used to compare 1000 seed weight methodologies (actual vs. estimated) and whether there were population × methodology or genotype × methodology interactions. Once the validity of the 1000 seed weight estimate was confirmed, the effect of population and genotype factors on yield per plant, 1000 seed weight (estimate), number of seeds per capsule, and capsule diameter were analyzed using independent, one-way ANOVAs and mean separations (5% Tukey’s honestly significant difference, HSD) using the Statistical Package for Social Sciences (SPSS, v. 25 for Windows, SPSS, Inc., Chicago, IL, USA). For population comparison analysis, data were pooled by population. There was large variability in the sample size of each population due to constraints in seed availability, seed germination, stand establishment and/or rooting of OS and CF clonal selections. To maintain statistical power, any species accession or selection with n < 10 observations was dropped from the analysis. For analysis of genotypic differences, the chosen cutoff was n = 3 observations per genotype, which captured the majority of genotypes tested. Pearson correlations and descriptive statistics were calculated using SPSS to compare all traits analyzed by ANOVA. Correlations with the ornamental traits ([40]; see Section 2.4 above]) were also calculated using SPSS.

2.4.2. Statistical Analysis (Y1–Y3 Data)

Analysis of multi-year comparisons required a different approach due to the modifications to the harvest method in Y2–Y3, namely bulk harvesting of the accessions (all plants bagged together) as opposed to the per-plant harvest conducted in Y1. This eliminated the possibility of conducting genotypic comparisons for Y2–Y3 data, as variance could not be calculated within genotypes. Thus, multi-year comparisons are a separate set of analyses from those conducted in Y1. First, one-way ANOVA and mean separations (5% Tukey’s HSD) were used to evaluate trait differences based on the factors of Age (A; Y1–Y3), population (P), and their interaction. For all analyses, genotypes were dropped if the number of plants harvested was n < 3 individuals and populations were dropped if they contained n < 5 total genotypes. The average yield per plant (g) was evaluated for all years (Y1–Y3), and the first and second harvest entries were combined, when applicable, so that the average yield per plant (g) represented the total for that year. This was achieved using the formula [(Harvest 1 total yield (g) + Harvest 2 total yield (g)/(Harvest 1 number of plants)], such that plants which yielded a second harvest were not double counted, which would reductionally bias the final value. The traits 1000 seed wt. (g) and average number of seeds per capsule (SPC) were evaluated for Y1–Y2 only. ANOVAs and trait correlations were calculated using the Statistical Package for Social Sciences (SPSS, v. 25 for Windows, SPSS, Inc., Chicago, IL, USA). Additional correlations were calculated separately for each population using SPSS.
T-tests were calculated using Microsoft® Excel (Version 16.76, © 2023 Microsoft, Redmond, WA, USA) to compare the average per-plant yield (g) for harvests 1 and 2 in Y2–Y3. First, Y1 data was removed, as was any genotype with <3 plants harvested. Then, any genotype that did not have two harvests within a single growth year was removed. The resulting dataset contained 45 total ‘genotype × year’ entries. The Excel add-in ‘Analysis ToolPak’ was used to first conduct a two-sample F-test to check for equal variances. The result was highly significant; thus, a two-sample t-test assuming unequal variances was conducted. Following this, the data was divided by population and the analysis repeated. All F-tests were highly significant. Thus, two-sample t-tests assuming unequal variances were used for each comparison. The mean and standard error were also calculated for each ‘population × harvest number’ group using Excel. Lastly, separate correlations for harvests 1, 2, and pooled harvest data were calculated using the Statistical Package for Social Sciences (SPSS, v. 25 for Windows, SPSS, Inc., Chicago, IL, USA). For pooled harvest data, if multiple harvest entries were present for 1000 seed weight. and SPC in Y2, an average was taken to arrive at a single value for each genotype before running correlations.

3. Results and Discussion

3.1. Seed Germination

The highest seed germination rate of 78.8% was observed for L. altaicum, which also had the majority germinate in week 3 or G3 [38,39] but was unique among the perennial species in that limited germination was observed in G2 (Table 1). The fastest germinating species (G1) was, as might be expected, domesticated L. usitatissimum, which had nearly as many seeds germinating in G1 (24.2%) as in G3 (29.7%; Table 1). Such early germination in G1 onwards reinforces the lack of dormancy in L. usitatissimum 25–30 d after harvest [41,42]. One possible explanation for the germination rates of L. usitatissimum observed was that temperature, moisture, and light conditions were not optimal for the genotypes tested. These may be genotype-dependent, as conflicting reports exist for the optimal combination of these factors [43,44]. Additionally, it was surprising that the wild progenitor of domesticated flax, L. bienne, had a higher percent germination (73.9%) than L. usitatissimum (69.5%). Linum bienne also had the highest percent germination during G1–G2 of any wild species (Table 1).
Among the other annual species tested, L. grandiflorum had a low number of seeds germinating in G1–G2 (1.3–2.9%, respectively) and the majority germinating in G3 (47.4%; Table 1). Thus, this species has less seed dormancy than other Linum taxa. Among the other perennials tested, most seed germination occurred in G3 following cold-moist stratification, with germination decreasing during G4–G5. Linum baicalense had high percent germination relative to other perennial species, although this was more delayed than average, with nearly identical germination rates in G3 and G4 (Table 1). The wild perennial flax species L. lewisii (50.1%), L. pallescens (47.3%), and L. perenne (47.5%) had germination rates intermediate to the OS (50.7%) and CF (46.5%; Table 1) selections. Perennial L. altaicum (78.8%), L. austriacum (58.3%), L. baicalense (62.7%), and L. hirsutum (53.4%) germinated at higher rates than the OS and CF selections (Table 1).
Seed germination rates varied greatly among the OS and CF populations tested (Table 1). The lowest germination rate was observed for the CF selections (46.5%), of which most seeds germinated in G3 (week 3) as defined by Anderson [38,39]. On average for the OS selections, only 50.7% of seeds germinated (Table 1).

3.2. Y1 (2019)

3.2.1. Yield (g/Plant)

Traits relevant to OS yield potential include yield (g/plant), seed size (1000 seed weight; g), shattering (seeds per capsule), and capsule diameter (mm). The main effects are significant for all Y1 OS traits (Table 2) and mean separations show differences among the populations tested (Figure 2A). In Y1, OS selections exhibited the highest mean per plant yield of any population and were significantly greater than L. altaicum, L. baicalense, and L. bienne, although not differing significantly from any of the other populations (Figure 2A). Of the wild species tested, L. austriacum had the greatest yield. The CF selections population had the third highest yield, on average, even though this trait was not selected. This was most likely related to the improved vigor of the CF selections relative to the species populations. Annual domesticated flax, L. usitatissimum, had notably low yield, possibly due to the growth conditions of a space planted nursery when annual flax is directly sown. Linum usitatissimum has been adapted over millennia to thrive in densely seeded fields [45], so it is not surprising that low per plant yield was observed in a common garden environment. The OS components of the perennial flax breeding program will transition to plot-based evaluations over time, which will enable researchers to test the more informative comparison of yield per area for perennial vs. annual taxa.
Within each accession or selection population tested, the means and S.E. varied widely for yield, indicating that there is still high variability within these populations (Figure 2A). The high level of variability present across all genotypes is reflective of the fact that most species tested are obligate outcrossers [40]. Both OS and CF selection populations had considerable overlap in terms of mean genotypic yield values, driving the need for yield testing in these early stages of breeding.

3.2.2. 1000 Seed Weight (g)

There were no significant differences between the methodology of determining actual versus estimated 1000 seed weights in Y1, nor any interactions thereof for methodology × population and/or methodology × genotype (Table 3). This lack of significance indicates that the 1000 seed wt. estimate is accurate for samples with <1000 total seeds. Thus, the 1000 seed weight data includes estimated 1000 seed weight values (Figure 2B), which greatly increased the sample size since 71.2% (659/926) of the genotypes yielded < 1000 seeds total per plant in Y1. As would be expected, the main effects of population and genotype were very highly significant in Y1 for combined calculations (Table 2) and when testing for methodologies (p ≤ 0.001; Table 3) for all traits evaluated.
In contrast to yield, Y1 seed size (1000 seed weight) of the OS and CF selection populations was significantly less than L. baicalense, L. grandiflorum, L. lewisii, and L. usitatissimum (Figure 2B). Oilseed and CF selections had relatively small seeds and did not differ significantly from each other or the wild species, L. altaicum, L. austriacum, L. bienne, L. hirsutum, L. pallescens, and L. perenne. Perennial L. baicalense had significantly larger seeds than any of the aforementioned populations, comparable in size to the large-flowered annual L. grandiflorum, both of which had significantly smaller seed sizes compared to domesticated L. usitatissimum. The smallest seeds were observed for L. bienne, followed by L. hirsutum, both of which were significantly smaller than L. baicalense, L. grandiflorum, L. lewisii, L. pallescens, and L. usitatissimum (Figure 2B). Although L. usitatissimum had the largest seeds on both a population and genotype mean basis (Figure 2B), it was less than reported values for the species, which ranged from 4–13 g per 1000 seed wt. [46]. Regardless, OS perennial flax will need focused attention to increase seed size to match that of L. usitatissimum.

3.2.3. # Seeds per Capsule

All flax species possess a five-chambered capsule, which can produce, at maximum, two seeds per chamber (10 ovules maximum; Figure 1C), resulting in an upper limit of ten seeds per capsule at a 100% seed set success rate [46]. The number of seeds per capsule at harvest in Y1 estimates the degree of seed shattering (Figure 2C). There were significant differences for populations and genotypes in Y1 (Table 2). Previous reports for L. usitatissimum list an average of ~six seeds per capsule or a ~40% loss [31,47]. This is considerably higher than the number observed in this study for L. usitatissimum with an average of ~3.7 seeds per capsule or a ~63% loss (Figure 2C). As with yield, this may be related to the spaced plantings in the common garden nursery, which may have caused increased stress and lowered its reproductive capacity (reduced pollination and/or seed set or embryo abortion). Further tests would be required to determine the exact cause(s).
The wild species with the least amount of shattering was L. baicalense, which had a significantly greater number of seeds per capsule when compared with all populations except for L. usitatissimum. The next highest number of seeds per capsule was observed for the wild species L. pallescens, although this was not significantly different from any of the populations with lower values. Both the CF and OS selections had a proclivity for shattering, which was surprising given their observed seed yield (Figure 2A,C). Both OS and CF perennial flax had significantly lower number of seeds per capsule than both L. baicalense and L. usitatissimum. The only wild species with slightly more shattering than the CF and OS populations was L. bienne. Additional breeding/selection for increased number of seeds per capsule is paramount, coupled with 1000 seed wt. increases.
As with yield (g/plant) and 1000 seed weight, results on a genotype mean basis show a high amount of variability within each population for shattering and there are exceptions to the population-level generalizations. For example, genotype ‘PI 231886’ had the third greatest number of seeds per capsule observed, though it belonged to L. bienne, which had the lowest overall average. Additionally, in populations with a low number of replications, any generalizations based on population mean values would be strengthened by replicating the present study across years. A prime example of this is L. baicalense, which had a total of only n = 12 plants tested from across two genotypes, due to lack of available seed and poor summer survival. While the low level of shattering observed in L. baicalense makes it a promising candidate for interspecific crosses, the genotypes tested likely represent only a small fraction of total variation existing within these wild populations.

3.2.4. Capsule Diameter (mm)

There were significant differences for populations and genotypes in Y1 for capsule diameter (Table 2). Similar capsule diameters were observed for L. baicalense and L. grandiflorum and these were both significantly larger compared to all other populations (Figure 2D). Likewise, similar capsule diameters were observed for L. usitatissimum and L. pallescens, which both possessed significantly larger capsules compared to L. altaicum, L. bienne, L. hirsutum, as well as the OS and CF selections. The OS and CF selections’ mean capsule diameter was nearly identical and low relative to other populations, but exceeded only L. hirsutum, which had the smallest capsule diameters observed in the study (Figure 2D).

3.2.5. Yield (g/Plant), 1000 Seed Weight (g), Capsule Diameter (mm), # Seeds per Capsule Correlations

Yield (g/plant) showed highly significant, positive correlations with capsule diameter (r = 0.135) and number of seeds per capsule (r = 0.165), but not 1000 seed weight (Table 4). One thousand seed weights had higher significant positive correlations with capsule diameter (r = 0.383) and the number of seeds per capsule (r = 0.217; Table 4). Since a larger capsule would be needed to accommodate larger sized seeds, the highest correlation of these two traits would be expected. The correlations between number of seeds per capsule, capsule diameter, and 1000 seed weight can likely be explained by the fact that the species with the least shattering, L. usitatissimum and L. baicalense, also had some of the largest seeds and, therefore, larger than average capsule diameters. This trend is clearly illustrated by the OS and CF selection populations which, on average, were observed to have both small seeds and small capsule diameters. Correlation among capsule width and seed size has been previously reported for L. usitatissimum [46] and this trend is consistent across multiple Linum species.
Yield per plant also showed highly significant, positive correlations with the phenotypic data [40]: the number of weeks in flower, plant height, plant widths 1 and 2, semi-ellipsoid volume, circumference, and base area (Table 4). Of these, the highest correlation coefficient was for circumference (r = 0.229; Table 4). A possible explanation for the high correlations observed between size measurements, yield, and weeks in flower is that more vigorous plants enabled more resources to be devoted to flowering, thus creating greater chance of reproductive success, leading to higher seed yield. Previous trait correlations among ornamental traits for plant growth (height, width, height:width ratio, semi-ellipsoid volume, eccentricity, circumference, base area, stem length, stem diameter, flower diameter) also showed both positive and negative as well as significant correlations, although none of these involved yield [40].
One thousand seed weight showed highly significant positive correlations with height to width ratio, stem diameter, and weeks in flower [40]; a significant (p ≤ 0.01) positive correlation with eccentricity (Table 4). There were also several significant negative correlations with 1000 seed weight, for which width 2 was highly significant, circumference and base area were significant (p ≤ 0.01), and width 1 was significant (p ≤ 0.05; Table 4). This negative relationship between seed size and width may be related to the fact that both selection populations had relatively small seeds despite their large plant size.
There was a significant (p ≤ 0.01) negative correlation between number of seeds per capsule and number of weeks in flower (Table 4). Capsule diameter also displayed a significant (p ≤ 0.01) positive correlation with stem diameter (Table 4). The significant correlations between capsule diameter and stem diameter (Table 4) may suggest that stems must be thicker at the base to support larger reproductive structures, although this association is speculative and would require future testing to make any definite conclusion.

3.3. Yrs. 1–3 (2019–2021)

3.3.1. Yield (g/Plant)

Yield data over years at one location (Forage Hill, Rosemount, MN) for the main effects of age (A), population (P), and their interaction for mean yield per plant (g; Y1–3), 1000 seed weight (g; Y1–2), and seeds per capsule (Y1–2), showed significant differences (Table 5). The COVID-19 pandemic prevented data collection during Y3 for 1000 seed weight and seeds per capsule (as noted above). Both plant age (A) and population (P) were very highly significantly different for Y1–3 yield (Table 5) as the plant established and matured. The interaction of A and P was highly significant for Y1–2 1000 seed weights, although neither of the factors were independently significant (Table 5). Years 1–2 numbers of seeds per capsule were very highly significantly different for A, but neither P nor their interaction was significant.
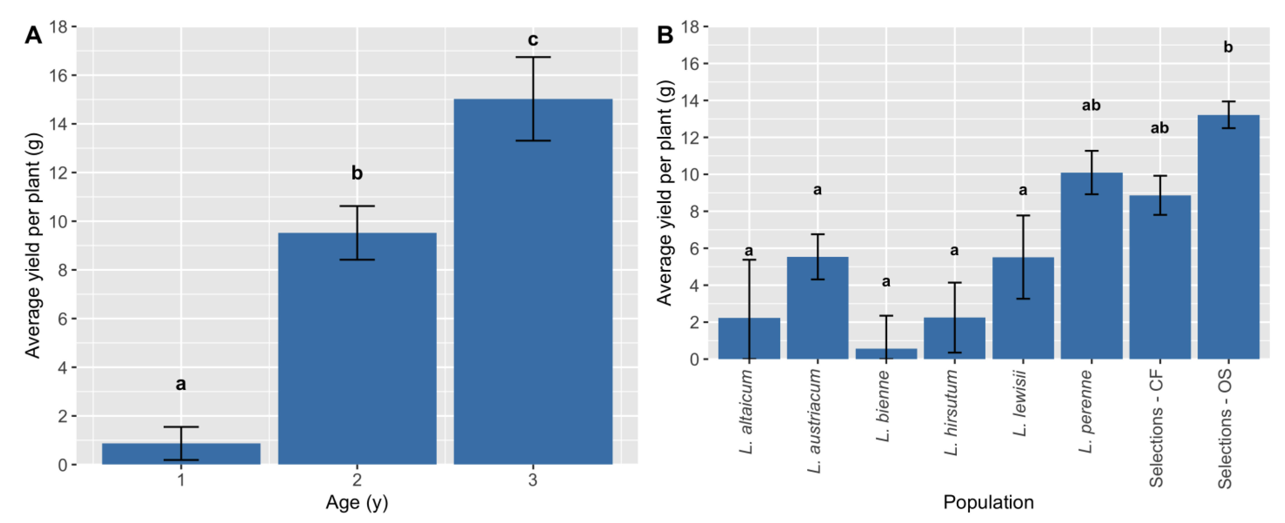
Pooled mean yield per plant (g) significantly increased in the three years (Y1–3), steadily rising with each subsequent growth year’s yield being significantly higher than any of the previous one(s) (Figure 3A). Thus, as the perennial flax plants establish their yield becomes correspondingly higher year-after-year, although it is not yet known for how many years this trend will continue. Oilseed selections had the highest mean pooled yield per plant of all germplasm tested although L. perenne and the CF selections overlapped with the OS selections (Figure 3B) and contained high-yielding genotypes (Figure 1B). The remainder of the species had significantly lower yield per plant compared to the OS selections. The per plant yields in the present study were substantially lower than the estimated seed yields (g/plant) previously reported for L. lewisii accessions, many of which ranged from 50–100+ g/plant [24]. However, this may be partially attributed to a difference in method, as the present study constitutes a direct measure of yield, while the estimates reported for L. lewisii were obtained by calculating the number of seeds per plant (number of seeds per capsule × capsules per stem × number of stems per plant) multiplied by the average seed mass [24].
ANOVAs for Y1–Y3 yield (g/plant) showed similar results with plant age having a significant effect (Table 4). Yield (g/plant) was significantly different for harvests 1 and 2 within Y2–3 for L. austriacum and L. perenne, as well as OS and CF selections (Table 6). Harvest 1 (late July) mean yields ranged from 9.20 g/plant (L. lewisii) to 16.30 g/plant (OS selections), while in harvest 2 (late October) the mean range was 2.07 g/plant (L. lewisii) to 4.19 g/plant (OS selections; Table 6). Harvest 2 yields were significantly lower than all harvest 1 yields, potentially due to a shorter growing season in harvest 2 coupled with shortening photoperiods and cooler late summer and fall night temperatures. Harvests 1 and 2 did not differ significantly for one species, L. lewisii, most likely due to low sample number and elevated variance in Y1 only (Table 6). The lowered harvest 2 yields across all germplasm tested warrants a future economic study to determine whether a second harvest is cost effective in perennial flax. This may also be improved when breeding focuses on reducing shattering.

3.3.2. 1000 Seed Weight (g)

The significant A × P interaction for Y1–2 1000 seed weights show the majority of populations exhibiting values between 1.0–1.4 g (Figure 4). Nearly all populations have similar 1000 seed weight values in years 1–2, usually with a difference of ≤0.1 g, and overlapping standard error bars. The most notable exception is L. lewisii, which had a Y1 1000 seed weight value of 1.740 g, the highest in the study. However, in Y2, L. lewisii had an average 1000 seed weight of 0.972 g, significantly lower than the grand mean of 1.263 g. Given that L. lewisii seeds are larger than the other species and OS, CF selections, except for some L. austriacum [48,49], such a low Y2 1000 seed weight value may suggest incomplete seed development due to biotic or abiotic stress, or the short Minnesota growing season. A slight difference in Y1 and Y2 1000 seed weight values was also observed for the OS selections, which had values of 1.271 g and 1.422 g, respectively, with non-overlapping standard errors. Finally, 1000 seed weight values were absent for L. bienne in Y2 due to complete winter mortality. It’s flowering in Y1 and lack of overwintering, preventing the normal flowering/seed set in the second year for a true biennial species, calls into question whether these L. bienne are truly biennial in nature. Future research would be necessary to determine this. All other populations showed stability for 1000 seed weights among Y1–Y2. Previous research evaluated wild flax species for phenotypic traits [22], including agronomic traits evaluated in this study, i.e., 1000 seed weight and capsule diameter. The 1000 seed weights reported herein were lower than those previously reported [22], with the exception of L. hirsutum (Figure 2B and Figure 4).

3.3.3. # Seeds per Capsule

Average seeds per capsule showed a significant increase in Y2 over Y1 pooled across all populations (Figure 5). Both years are still considerably lower than the average of six seeds per capsule reported for L. usitatissimum [31,47]. In a previous study of capsule diameter [22], the relative order of the species was generally the same as the present study (Figure 2D) although there are slight differences. Additionally, there were no differences in the number of seeds per capsule among any of the wild flax populations in the Y1–Y2 comparison (Table 5), illustrating that shattering is pervasive, and that little natural variation exists among populations for deriving selective improvement of perennial flax (Figure 1C). Thus, the differences observed between Y1–Y2 may simply be due to a more optimal harvest timing in Y2. Future study is required to work out the optimal harvest timing for perennial flax, which is made difficult by asynchronous maturity of the capsules in an indeterminate inflorescence, which begins at the bottom of the shoot and moves upwards over the course of several weeks (Figure 1B).

3.3.4. Correlations among Yield Component Traits

Yield traits correlation coefficients on a genotype mean basis for harvests 1, 2, and pooled datasets for Y1–2 showed the following. For midsummer harvest 1, total yield (g) showed a very highly significant positive correlation with yield per plant (g) or r = 0.906, as well as number of seeds per capsule with r = 0.340 (Table 7). One thousand seed weight (g) had a slightly significant (p = 0.045) positive correlation with yield per plant (r = 0.156), but an insignificant positive correlation with total yield (r = 0.096). The number of seeds per capsule showed highly significant positive correlations with all other traits, with the highest correlation coefficients for yield per plant (r = 0.380), followed by total yield (r = 0.340) and 1000 seed weight (r = 0.277). Thus, while total yield and yield per plant were related to the number of seeds per capsule in harvest 1, the same did not hold for 1000 seed weight. However, the positive correlation between seeds per capsule and 1000 seed weight does suggest that larger seeds may tend to be retained in the capsule more than smaller seeds.
For Y1–2 harvest 2, total yield (g) and yield per plant (g) were again highly significantly correlated, r = 0.710 (Table 7). Since these findings were also found for harvest 1, total yield across harvests remains highly interrelated with yield per plant. However, all other harvest 2 correlations amongst total yield and yield per plant, 1000 seed weight, and seeds per capsule had extremely low correlations and were not significant; these findings contrast with harvest 1’s significant correlations of seeds per capsule with total yield, yield per plant, as well as 1000 seed weight (Table 7). It is unclear whether this is due to a reduced total yield overall between harvests 2 (lowest) and 1 (highest; Table 6).
For the pooled harvests 1 and 2 for Y1–2, total yield and yield per plant remained highly positively and significantly correlated, r = 0.904 (Table 7). As with harvest 1, significant positive correlations were found between seeds per capsule and yield per plant (r = 0.345), total yield (r = 0.322), and 1000 seed weight (r = 0.177) for the pooled data, albeit with slightly lower correlation coefficients compared to harvest 1. No other pooled correlations were significant (Table 7).
To determine the Linum spp. populations and OS/CF selections correlation components for yield traits, each were run separately using the pooled datasets for Y1–2 (2019–202). In the case of four species, total yield and yield per plant were the only positively significant correlations, i.e., L. altaicum (r = 1.0), L. austriacum (r = 0.946), L. hirsutum (r = 0.989), and L. lewisii (r = 0.986; Table 8). In the other species (L. bienne, r = 0.591; L. perenne, r = 0.943) and selections (OS selections: r = 0.870; CF selections: r = 0.902), total yield and yield per plant were positive and significant, along with significant correlations occurring between: total yield and seeds per capsule (L. perenne, r = 0.527); yield per plant and seeds per capsule (L. perenne, r = 0.484; OS selections, r = 0.335); 1000 seed weight and seeds per capsule (L. bienne, r = 0.589, Table 8). All other correlations were not statistically significant among trait combinations. Clearly, the most consistent correlation is between total yield and yield per plant whereas other correlations are species- or selection-specific. Thus, targeted use of germplasm can be used to enhance particular yield components in future breeding efforts.
Oil content of the seeds is an important yield data component [22], but not recorded in the present study. Previous results for the species tested herein are presented ranked by highest percent oil content: L. narbonense (34.9%), L. bienne (33.1%), L. austriacum (32.0%), L. perenne (26.9%), L. grandiflorum (26.5%), and L. hirsutum (24.6%) [22]. We have begun preliminary proximal analyses of OS components for commercial L. perenne ‘Appar’ and L. lewisii ‘Maple Grove’ cultivars, which had significantly higher levels of crude protein, crude fiber, linoleic and alpha-linoleic acid, and omega 3s than comparative annual species, L. usitatissimum ‘York’ and ‘Blue Flax’ [48,49]. In the future, we anticipate studying oil content, seed proteins and other important compounds produced by our perennial OS flax accessions.

4. Implications for Breeding: Oilseed Potential of Wild Species

One of the primary objectives of this study was to determine the most promising wild species for future breeding efforts. Among the wild species tested, L. austriacum first appeared to be an ideal candidate for OS selection overall, as it has high mean Y1 yield per plant (g; Figure 2A) and is reported to have high oil content [23]. However, Y1–3 data demonstrated that L. perenne has higher yield potential in Y2–3 compared to L. austriacum (Figure 3B), and is reported to have a comparable oil content [22]. Linum lewisii, however, had the highest 1000 seed weights overall, despite the fact that it expressed low stability for this trait (Figure 4). For the purposes of trait introgression, L. baicalense appeared very promising in Y1, as it had high seed weight and low shattering compared to the other species (Figure 2B,C). However, the small size and short flowering period of L. baicalense [40] suggests that the germplasm would have little value otherwise once traits are introgressed into progeny, if that proves to be possible. Similarly, but to a lesser extent, the same is true for L. pallescens, which has relatively large seeds and low shattering (Figure 2B,C). Unlike L. baicalense, L. pallescens grew to moderate size and had the longest stems of any population tested [40]. Arguably, there is more value to be gained by attempting wide crosses between OS breeding lines and L. pallescens. Finally, although L. baicalense had a higher seed germination rate compared to L. pallescens, the latter species had higher summer and winter survival [40], suggesting that it is better suited to growing conditions in Minnesota. Altogether, future evaluations of wild flax species for OS potential should focus efforts on L. austriacum, L. perenne, and L. lewisii while attempting wide interspecific crosses with L. pallescens and/or L. baicalense to introgress shattering resistance.

5. Conclusions

In the generations of domestication of OS and CF perennial flax to date, simultaneous selection for multiple crop ideotypes has been achieved [40]. The most important outcome of the early stage domestication is increased vigor through adaptation to the local environment. Tork et al. [40] conducted an ornamental phenotypic trait analysis in the same common garden using the herbaceous perennial flax crop ideotype for the identical germplasm (OS and CF selections, wild Linum species) tested herein. Selection for OS and CF traits within the same population produced differential outcomes, depending on the trait. Of the phenotypic traits studied for the CF ideotype, i.e., flower diameter, flowering period, stem length and diameter, plant width and height, summer and winter survival, several illustrate the need for directive selection of germplasm depending on the desired crop ideotype. For example, both OS and CF selections had longer flowering periods, larger plant size, and more uniform growth than wild species [40]. While longer flowering periods are highly desirable in the herbaceous perennial and cut flower flax crop ideotypes [27,40] it would be undesirable for the OS ideotype since this would delay seed set and maturation, as well as harvest 1 which could eliminate the possibility of harvest 2 in northern latitudes due to the onset of winter. Larger flower diameters would be irrelevant for the OS ideotype creating an unnecessary carbohydrate sink, provided smaller flower diameters continue to attract pollinators. Additionally, plant vigor in OS types would be limited to achieving upright, strong-stemmed selections without side branching at the crown to facilitate ease of mechanical harvesting [27].
Selection for higher yield in OS types has already had an initial effect. The mean yield per plant increase observed for the OS selections, relative to the CF selections and wild species [40], meant that only the OS selections outperformed all wild species for Y1 yield. Thus, while the efficiency of breeding for multiple traits in perennial flax simultaneously has been successful [26,40], directive selection within each crop ideotype needs increased focus in subsequent breeding and selection efforts.
In general, there is still considerable similarity among OS and CF selection populations, suggesting that simultaneous selection for differing crop ideotypes should continue for at least several more generations (Figure 1B). In these early stages of selection, multiple ideotypes can be selected out of the same diverse pool of germplasm, which will conserve time, resources, and prevent genetic bottlenecks from occurring early in the domestication program [26]. The majority of this study focused on the opportunity to improve Y1 phenotypes. This was partly due to the interruptions caused by COVID-19, which prevented the same detailed phenotyping of Y1 from occurring in Y2–Y3. However, it was also noted at the start of the project that plants generally performed well in Y2, and that Y1 vigor was the area most in need of improvement [50]. Therefore, the greatest challenge is to achieve acceptable stand establishment and yield in Y1. Since these tested species and selections were transplanted in spring, possible direct seed sowing in the previous fall season may enhance earlier growth rates in Y1 and increase Y1 yield [36]. This is especially true of the OS selections, which will need to be capable of establishing from direct sowing in the fall or the spring. The quantity of seed generated between calendar Y1–Y3 might prove sufficient to begin answering some of the associated agronomic questions, such as determining the optimal row spacing, planting time, and planting density. For future breeders of perennial flax, the greatest opportunities and questions involve examining trait changes across Y1–Y3 of growth, determining the genetic basis for traits of interest, and finding effective ways of working around the high level of genetic diversity inherent in obligate outcrossing taxa. The vast and varied opportunities for utilizing perennial flax make this a prime target for continued crop domestication efforts [26].

Supplementary Materials

The following supporting information can be downloaded at: https://www.mdpi.com/article/10.3390/agronomy14010099/s1, Table S1: Linum species and populations (oilseed or OS; cut flower or CF selections), accession code, seed source, location and/or collection site of source seeds grown for the analysis.

Author Contributions

Conceptualization, N.O.A., D.L.W. and D.G.T.; methodology, D.G.T. and K.J.B.; software, D.G.T.; validation, D.G.T., K.J.B. and N.O.A.; formal analysis, D.G.T.; investigation, D.G.T., N.O.A. and K.J.B.; resources, N.O.A. and D.L.W.; data curation, D.G.T.; writing—original draft preparation, D.G.T.; writing—review and editing, N.O.A.; visualization, D.G.T.; supervision, N.O.A. and D.L.W.; project administration, N.O.A.; funding acquisition, N.O.A. and D.L.W. All authors have read and agreed to the published version of the manuscript.

Funding

This research was funded by the Minnesota Agricultural Experiment Station, project number MAES-21-100; the Forever Green Initiative, grant numbers 00071139, CON000000084498; the USDA-ARS Crop Germplasm Committee grant number CON000000085489.

Data Availability Statement

Data are contained within the article and Supplementary Materials.

Acknowledgments

We thank Michele Schermann, Hannah Hall, Sarah Gardner, Cora Rost, and Rajmund Eperjesi, all of whom assisted in the research for this paper.

Conflicts of Interest

The authors declare no conflicts of interest.

References

  1. Bauer, D.M.; Wing, I.S. Economic Consequences of Pollinator Declines: A Synthesis. Agric. Resour. Econ. Rev. 2010, 39, 368–383. [Google Scholar] [CrossRef]
  2. Potts, S.G.; Biesmeijer, J.C.; Kremen, C.; Neumann, P.; Schweiger, O.; Kunin, W.E. Global pollinator declines: Trends, impacts and drivers. Trends Ecol. Evol. 2010, 25, 345–353. [Google Scholar] [CrossRef]
  3. Wu, H.; Wang, S.; Gao, L.; Zhang, L.; Yuan, Z.; Fan, T.; Wei, K.; Huang, L. Nutrient-derived environmental impacts in Chinese agriculture during 1978–2015. J. Environ. Manag. 2018, 217, 762–774. [Google Scholar] [CrossRef] [PubMed]
  4. Boecking, O.; Veromann, E. Bee Pollination of Crops: A Natural and Cost-Free Ecological Service. In Entomovectoring for Precision Biocontrol and Enhanced Pollination of Crops; Smagghe, G., Boecking, O., Maccagnani, B., Mänd, M., Kevan, P.G., Eds.; Springer International Publishing: New York, NY, USA, 2020; pp. 53–62. [Google Scholar]
  5. Liu, Y.; Villalba, G.; Ayres, R.U.; Schroder, H. Global Phosphorus Flows and Environmental Impacts from a Consumption Perspective. J. Ind. Ecol. 2008, 12, 229–247. [Google Scholar] [CrossRef]
  6. Minnesota Board of Water & Soil Resources. 2002. Soil Erosion Fact Sheet. Available online: https://www.maswcd.org/Youth_Education/StudyGuides/soil_erosion_BWSR.pdf (accessed on 3 May 2022).
  7. The Water Resources Center. “Moving the Needle”: Improving Water Quality in Minnesota While Developing Our Agricultural Economy; The Water Resources Center: St. Paul, MN, USA, 2017. [Google Scholar]
  8. Conley, D.J.; Paerl, H.W.; Howarth, R.W.; Boesch, D.F.; Seitzinger, S.P.; Havens, K.E.; Lancelot, C.; Likens, G.E. Controlling Eutrophication: Nitrogen and Phosphorus. Science 2009, 123, 1014–1015. [Google Scholar] [CrossRef] [PubMed]
  9. Sutton, M.A.; Bleeker, A.; Howard, C.M.; Erisman, J.W.; Abrol, Y.P.; Bekunda, M.; Zhang, F.S. Our Nutrient World. The Challenge to Produce More Food & Energy with Less Pollution; Centre for Ecology & Hydrology: Edinburgh, Scotland, 2013. [Google Scholar]
  10. Minnesota Department of Health. Minnesota Drinking Water 2017 Annual Report for 2016. 2017. Available online: https://www.health.state.mn.us/communities/environment/water/dwar.html (accessed on 3 May 2022).
  11. Vaughan, M.; Black, S.H. Agroforestry Notes|Improving Forage for Native Bee Crop Pollinators. 2006. Available online: https://www.fs.usda.gov/nac/assets/documents/agroforestrynotes/an33g07.pdf (accessed on 3 May 2022).
  12. Minnesota Department of Agriculture. Promote Pollinators in Agricultural Landscapes. 2014. Available online: https://www.mda.state.mn.us/sites/default/files/inline-files/pollinatorsagland.pdf (accessed on 3 May 2022).
  13. Maccagnani, B.; Veromann, E.; Ferrari, R.; Boriani, L.; Boecking, O. Agroecosystem Design Supports the Activity of Pollinator Networks. In Entomovectoring for Precision Biocontrol and Enhanced Pollination of Crops; Smagghe, G., Boecking, O., Maccagnani, B., Mänd, M., Kevan, P.G., Eds.; Springer International Publishing: New York, NY, USA, 2020; pp. 1–17. [Google Scholar]
  14. Crews, T.E.; Blesh, J.; Culman, S.W.; Hayes, R.C.; Jensen, E.S.; Mack, M.C.; Peoples, M.B.; Schipanski, M.E. Going where no grains have gone before: From early to mid-succession. Agric. Ecosyst. Environ. 2016, 223, 223–238. [Google Scholar] [CrossRef]
  15. United Nations; Food and Agriculture Organization (FAO); FAOSTAT [WWW Document]. Food and Agriculture Organization of the United Nations: Statistics Division. 2019. Available online: http://www.fao.org/faostat/en/#home (accessed on 3 May 2022).
  16. Forever Green Initiative. Forever Green. 2019. Available online: https://www.forevergreen.umn.edu/ (accessed on 3 May 2022).
  17. Culman, S.W.; Snapp, S.S.; Ollenburger, M.; Basso, B.; DeHaan, L.R. Soil and Water Quality Rapidly Responds to the Perennial Grain Kernza Wheatgrass. Agron. J. 2013, 105, 735–744. [Google Scholar] [CrossRef]
  18. Jungers, J.M.; DeHaan, L.H.; Mulla, D.J.; Sheaffer, C.C.; Wyse, D.L. Reduced nitrate leaching in a perennial grain crop compared to maize in the Upper Midwest, USA. Agric. Ecosyst. Environ. 2018, 272, 63–73. [Google Scholar] [CrossRef]
  19. Bajgain, P.; Zhang, X.; Jungers, J.M.; DeHaan, L.R.; Heim, B.; Sheaffer, C.C.; Wyse, D.L.; Anderson, J.A. ‘MN-Clearwater’, the first food-grade intermediate wheatgrass (Kernza perennial grain) cultivar. J. Plant Regist. 2020, 14, 288–297. [Google Scholar] [CrossRef]
  20. Vaisey-Genser, M.; Morris, D.H. Introduction: History of the cultivation and uses of flaxseed. In Flax: The Genus Linum; CRC Press: Boca Raton, FL, USA, 2003; pp. 1–21. [Google Scholar]
  21. McDill, J.; Repplinger, M.; Simpson, B.B.; Kadereit, J.W. The Phylogeny of Linum and Linaceae Subfamily Linoideae, with Implications for Their Systematics, Biogeography, and Evolution of Heterostyly. Syst. Bot. 2009, 34, 386–405. [Google Scholar] [CrossRef]
  22. Poliakova, I.; Lyakh, V. Comparative characteristics of vegetative and generative spheres in plants of wild flax species. Int. J. Agric. Environ. Res. 2017, 3, 3743–3754. [Google Scholar]
  23. Dean, J.R. Current market trends and economic importance of oilseed flax. In Flax: The Genus Linum; Muir, A.D., Westcott, N.D., Eds.; CRC Press: Boca Raton, FL, USA, 2003; pp. 275–291. [Google Scholar]
  24. Innes, P.; Gossweiler, A.; Jensen, S.; Tilley, D.; John, L.S.; Jones, T.; Kitchen, S.; Hulke, B.S. Assessment of Biogeographic Variation in Traits of Lewis Flax (Linum Lewisii) for Use in Restoration and Agriculture. AoB PLANTS 2022, 14, plac005. [Google Scholar] [CrossRef] [PubMed]
  25. Goyal, A.; Sharma, V.; Upadhyay, N.; Gill, S.; Sihag, M. Flax and flaxseed oil: An ancient medicine & modern functional food. J. Food Sci. Technol. 2014, 51, 1633–1653. [Google Scholar] [CrossRef] [PubMed]
  26. Anderson, N.; Tork, D.; Hall, H.; Wyse, D.; Betts, K. Breeding perennial flax for ornamental and agronomic traits simultaneously during crop domestication increases the efficiency of selection. Acta Hortic. 2023, 1368, 221–228. [Google Scholar] [CrossRef]
  27. Tork, D.G.; Anderson, N.O.; Wyse, D.L.; Betts, K.J. Domestication of Perennial Flax Using an Ideotype Approach for Oilseed, Cut Flower, and Garden Performance. Agronomy 2019, 9, 707. [Google Scholar] [CrossRef]
  28. Bolsheva, N.L.; Melnikova, N.V.; Kirov, I.V.; Speranskaya, A.S.; Krinitsina, A.A.; Dmitriev, A.A.; Belenikin, M.S.; Krasnov, G.S.; Lakunina, V.A.; Snezhkina, A.V.; et al. Evolution of blue-flowered species of genus Linum based on high-throughput sequencing of ribosomal RNA genes. BMC Evol. Biol. 2017, 17, 23–36. [Google Scholar] [CrossRef] [PubMed]
  29. Maguilla, E.; Escudero, M.; Ruíz-Martín, J.; Arroyo, J. Origin and Diversification of Flax and Their Relationship with Heterostyly across the Range. J. Biogeogr. 2021, 48, 1994–2007. [Google Scholar] [CrossRef]
  30. Rogers, C.M. Relationships of the North American Species of Linum (flax). Bull. Torrey Bot. Club 1969, 96, 176. [Google Scholar] [CrossRef]
  31. Oplinger, E.S.; Oelke, E.A.; Doll, J.D.; Bundy, L.G.; Schuler, R.T. Flax, Alternative Field Crops Manual. 1997. Available online: https://www.hort.purdue.edu/newcrop/afcm/flax.html (accessed on 3 May 2022).
  32. You, F.M.; Cloutier, S.; Rashid, K.Y.; Duguid, S.D. Flax (Linum usitatissimum L.) Genomics and Breeding. In Advances in Plant Breeding Strategies: Industrial and Food Crops; Al-Khayri, J.M., Jain, S.M., Johnson, D.V., Eds.; Springer International Publishing: Cham, Switzerland, 2019; Volume 6, pp. 277–317. [Google Scholar]
  33. Dribnenki, J.P. (Ed.) Growing Flax, Chapter 4: Growth and Development. 2019, pp. 15–18. Available online: https://www.saskflax.com/quadrant/media/Pdfs/Growing%20Flax/150101_FCOC-growers-guide-v11.pdf (accessed on 3 May 2022).
  34. Glover, J.D.; Reganold, J.P.; Bell, L.W.; Borevitz, J.; Brummer, E.C.; Buckler, E.S.; Cox, C.M.; Cox, T.S.; Crews, T.E.; Culman, S.W.; et al. Increased Food and Ecosystem Security via Perennial Grains. Science 2010, 328, 1638–1639. [Google Scholar] [CrossRef]
  35. Innes, P.A.; Smart, B.C.; Barham, J.A.M.; Hulke, B.S.; Kane, N.C. Chromosome-Scale Genome Assembly of Lewis Flax (Linum Lewisii Pursh.); Preprint; United States Department of Agriculture—Agricultural Research Service: Fargo, ND, USA, 2023. [CrossRef]
  36. Pull, Z.A.; Gramig, G.; Hulke, B.S.; Gossweiler, A.; Johnson, B. First Steps toward Developing Lewis Flax (Linum Lewisii Pursh) as an Agronomic Crop. Renew. Agric. Food Syst. 2023, 38, e38. [Google Scholar] [CrossRef]
  37. Tork, D.G.; Anderson, N.O.; Wyse, D.L.; Betts, K.J. Controlled Freezing Studies as a Corollary Selection Method for Winterhardiness in Perennial Flax. Crop Sci. 2022, 62, 1734–1757. [Google Scholar] [CrossRef]
  38. Anderson, N.O. Selection tools for reducing generation time of geophytic herbaceous perennials. Acta Hortic. 2019, 1237, 53–66. [Google Scholar] [CrossRef]
  39. Anderson, N.O.; Suranyi, R.A.; Gullickson, S.M. Rapid generation cycling transforms pyrethrum (Chrysanthemum cinerariifolium) into an annualized perennial. Crop Sci. 2021, 61, 1207–1227. [Google Scholar] [CrossRef]
  40. Tork, D.G.; Anderson, N.O.; Wyse, D.L.; Betts, K.J. Ideotype Selection of Perennial Flax (Linum spp.) for Herbaceous Plant Habit Traits. Agronomy 2022, 12, 3127. [Google Scholar] [CrossRef]
  41. Dexter, J.E.; Jhala, A.J.; Yang, R.-C.; Hills, M.J.; Weselake, R.J.; Hall, L.M. Harvest Loss and Seed Bank Longevity of Flax (Linum usitatissimum) Implications for Seed-Mediated Gene Flow. Weed Sci. 2011, 59, 61–67. [Google Scholar] [CrossRef]
  42. Dandoti, K.; Shakuntala, M.; Macha, S.; Vasudevan, S.N.; Kisan. Methods to Overcome Seed Dormancy in Linseed Genotypes. Int. J. Pure Appl. Biosci. 2017, 5, 139–144. [Google Scholar] [CrossRef]
  43. Kurt, O.; Bozkurt, D. Effect of Temperature and Photoperiod on Seedling Emergence of Flax (Linum usitatissimum L.). J. Agron. 2006, 5, 541–545. [Google Scholar] [CrossRef]
  44. Kurt, O. Effects of chilling on germination in flax (L. usitatissimum L.). Turk. J. Field Crops 2010, 15, 159–163. [Google Scholar]
  45. Fu, Y.; Diederichsen, A.; Allaby, R.G. Locus-specific view of flax domestication history. Ecol. Evol. 2011, 2, 139–152. [Google Scholar] [CrossRef]
  46. Diederichsen, A.; Richards, K. Cultivated flax and the genus Linum L.: Taxonomy and germplasm conservation. In Flax: The Genus Linum; Muir, A.D., Westcott, N.D., Eds.; CRC Press: Boca Raton, FL, USA, 2003; pp. 22–54. [Google Scholar]
  47. You, F.M.; Jia, G.; Xiao, J.; Duguid, S.D.; Rashid, K.Y.; Booker, H.M.; Cloutier, S. Genetic Variability of 27 Traits in a Core Collection of Flax (Linum usitatissimum L.). Front. Plant Sci. 2017, 8, 1636. [Google Scholar] [CrossRef]
  48. Anderson, N.O.; Hall, H.; Natania, A.; Stutelberg, M.; Betts, K.J.; Tork, D.; Wyse, D.L. Perennial Flax Seed Characteristics Impacting Development as a Future Oilseed & Protein Crop. Plant Protein Innovation Center, 4th Annual Research Spotlight Meeting, St. Paul, MN, USA, 29–30 March 2023. Abstract. 2023. Available online: https://ppic.cfans.umn.edu/events/annual-research-spotlight-meeting/4th-annual-research-spotlight-meeting (accessed on 1 December 2023).
  49. Anderson, N.O.; Tork, D.G.; Hall, H.; Stutelberg, M.; Betts, K.J.; Wyse, D.L. Characterization of Perennial Flax Seed Traits for Development as a Future Oilseed & Protein Crop. In Proceedings of the 2023 ASA, CSSA, SSSA International Annual Meeting Open Science Inspires, St. Louis, MI, USA, 29 October–1 November 2023; p. 153402. Available online: https://scisoc.confex.com/scisoc/2023am/meetingapp.cgi/Paper/153402 (accessed on 1 December 2023).
  50. Betts, K. Personal communication via email to author, David Tork, on perennial flax plant performance and yield data. n.p. 2018. [Google Scholar]
Figure 1. Field evaluations of perennial flax demonstrating: (A) vigorous year 2 growth and approximate peak flowering on 29 May 2020, (B) Year 3 plants of genotype S-293-4-DT at harvest maturity on 16 July 2021: originally selected as a cut flower, this genotype exemplified the OS ideotype in year 2–3 exhibiting high yield, upright habit, lodging resistance, and 2× harvests per year, (C) dehiscing seed capsules each retaining varying numbers of seeds: note the five primary divisions of the capsule, corresponding to the five pistils of the flower, each with up to two seeds (10 ovules total).
Figure 1. Field evaluations of perennial flax demonstrating: (A) vigorous year 2 growth and approximate peak flowering on 29 May 2020, (B) Year 3 plants of genotype S-293-4-DT at harvest maturity on 16 July 2021: originally selected as a cut flower, this genotype exemplified the OS ideotype in year 2–3 exhibiting high yield, upright habit, lodging resistance, and 2× harvests per year, (C) dehiscing seed capsules each retaining varying numbers of seeds: note the five primary divisions of the capsule, corresponding to the five pistils of the flower, each with up to two seeds (10 ovules total).
Agronomy 14 00099 g001
Figure 2. Comparison of wild flax (Linum species) with oilseed (OS) and cut flower (CF) selections for mean ± S.E. year one (Y1) trait values related to the oilseed ideotype: (A) yield (g/plant), (B) 1000 seed weight (g), (C) no. (#) seeds per capsule, and (D) capsule diameter (mm). Mean separations (5% HSD) are displayed as letters above the columns denoting significance.
Figure 2. Comparison of wild flax (Linum species) with oilseed (OS) and cut flower (CF) selections for mean ± S.E. year one (Y1) trait values related to the oilseed ideotype: (A) yield (g/plant), (B) 1000 seed weight (g), (C) no. (#) seeds per capsule, and (D) capsule diameter (mm). Mean separations (5% HSD) are displayed as letters above the columns denoting significance.
Agronomy 14 00099 g002
Figure 3. Flax species and cut flower (CF), oilseed (OS) selections tested by (A) age (years, y) of plants and (B) population for average yield per plant (g). Mean separations (5% HSD) are displayed as letters above the columns denoting significance.
Figure 3. Flax species and cut flower (CF), oilseed (OS) selections tested by (A) age (years, y) of plants and (B) population for average yield per plant (g). Mean separations (5% HSD) are displayed as letters above the columns denoting significance.
Agronomy 14 00099 g003
Figure 4. Flax species and cut flower (CF), oilseed (OS) populations tested for mean ± S.E. 1000 seed weights (wt.; g).
Figure 4. Flax species and cut flower (CF), oilseed (OS) populations tested for mean ± S.E. 1000 seed weights (wt.; g).
Agronomy 14 00099 g004
Figure 5. Year 1 (Y1) versus Y2 average ± S.E. number of seeds per capsule of tested perennial flax wild species and cut flower, oilseed populations (pooled). Mean separations (5% HSD) are displayed as letters above the columns denoting significance.
Figure 5. Year 1 (Y1) versus Y2 average ± S.E. number of seeds per capsule of tested perennial flax wild species and cut flower, oilseed populations (pooled). Mean separations (5% HSD) are displayed as letters above the columns denoting significance.
Agronomy 14 00099 g005
Table 1. Percent seed germination by week number after sowing (weeks G1–G5) in Y1 (2019) and total % germination for Linum species, oilseed (OS) and cut flower (CF) selections investigated for domestication potential.
Table 1. Percent seed germination by week number after sowing (weeks G1–G5) in Y1 (2019) and total % germination for Linum species, oilseed (OS) and cut flower (CF) selections investigated for domestication potential.
Population% Germination by WeekTotal % Germination
G1 *G2 *G3G4G5
L. altaicum0.07.852.911.46.778.8
L. austriacum0.00.038.916.72.858.3
L. baicalense0.00.030.228.14.462.7
L. bienne0.115.552.55.10.773.9
L. grandiflorum1.32.947.42.61.655.8
L. hirsutum0.00.033.918.51.053.4
L. lewisii0.00.038.09.92.150.1
L. pallescens0.00.042.71.82.747.3
L. perenne0.00.030.813.53.347.5
L. usitatissimum24.211.229.74.00.469.5
Selections—CF0.00.039.75.11.846.5
Selections—OS0.00.043.64.52.650.7
* Seedlings were held in the dark at 4 °C during Weeks 1–2 (G1–G2) for a cold moist stratification treatment, after which they were germinated in a mist house (see Section 2.2).
Table 2. Analysis of variance (ANOVA; degrees of freedom, df; F ratio, Prob > F) for the main effects of populations (Linum species, selections) and genotypes on yield (g/plant), 1000 seed weight (g; including estimated values), average # seeds per capsule, and capsule diameter (mm) in Y1 (2019).
Table 2. Analysis of variance (ANOVA; degrees of freedom, df; F ratio, Prob > F) for the main effects of populations (Linum species, selections) and genotypes on yield (g/plant), 1000 seed weight (g; including estimated values), average # seeds per capsule, and capsule diameter (mm) in Y1 (2019).
Population Genotype
TraitdfF RatioProb > FdfF RatioProb > F
Yield (g/plant)118.634≤0.001 ***1143.652≤0.001 ***
1000 seed wt. (g)1151.710≤0.001 ***1148.940≤0.001 ***
# seeds per capsule116.497≤0.001 ***1143.930≤0.001 ***
Capsule diameter (mm)1122.924≤0.001 ***1149.456≤0.001 ***
p < 0.001, ***; # denotes “number”.
Table 3. Analysis of variance (ANOVA; degrees of freedom, df; F ratio; prob > F) used to confirm validity of 1000 seed weight methodology estimates in Y1 (2019) for wild species and selected flax (Linum) populations and genotypes. When the total # seeds < 1000, the total yield was divided by the number of seeds and multiplied by 1000 to obtain an estimated 1000 seed wt. (see text).
Table 3. Analysis of variance (ANOVA; degrees of freedom, df; F ratio; prob > F) used to confirm validity of 1000 seed weight methodology estimates in Y1 (2019) for wild species and selected flax (Linum) populations and genotypes. When the total # seeds < 1000, the total yield was divided by the number of seeds and multiplied by 1000 to obtain an estimated 1000 seed wt. (see text).
EffectdfF RatioProb > F
Population1157.710≤0.001 ***
Methodology10.2530.615
Population × methodology80.9940.439
Genotype1148.940≤0.001 ***
Methodology10.4750.491
Genotype × methodology620.5410.541
p < 0.001, ***.
Table 4. Pearson correlations (r) in Yr. 1 (2019) for yield (g/plant), 1000 seed weight (g; including estimated values), capsule diameter (mm), average # seeds per capsule, weeks in flower, height (cm), width 1 (cm), width 2 (cm), height:width ratio, semi-ellipsoid volume (cm3), eccentricity, circumference (cm), base area (cm2), stem length (cm), stem diameter (mm), flower diameter (mm) for flax populations of L. altaicum, L. austriacum, L. baicalense, L. bienne, L. grandiflorum, L. hirsutum, L. lewisii, L. pallescens, L. perenne, L. usitatissimum, oilseed (OS) and cut flower (CF) selections. Note: The correlation matrix for some traits is truncated to specific traits relevant to the present experiment, since the other correlation values were already published [40].
Table 4. Pearson correlations (r) in Yr. 1 (2019) for yield (g/plant), 1000 seed weight (g; including estimated values), capsule diameter (mm), average # seeds per capsule, weeks in flower, height (cm), width 1 (cm), width 2 (cm), height:width ratio, semi-ellipsoid volume (cm3), eccentricity, circumference (cm), base area (cm2), stem length (cm), stem diameter (mm), flower diameter (mm) for flax populations of L. altaicum, L. austriacum, L. baicalense, L. bienne, L. grandiflorum, L. hirsutum, L. lewisii, L. pallescens, L. perenne, L. usitatissimum, oilseed (OS) and cut flower (CF) selections. Note: The correlation matrix for some traits is truncated to specific traits relevant to the present experiment, since the other correlation values were already published [40].
TraitYield (g/Plant)1000 Seed wt. (g)Capsule Diameter (mm) a# Seeds per Capsule a
Yield (g/plant)1.0
1000 seed wt. (g)0.0241.0
Capsule diameter (mm) a0.135 ***0.383 ***1.0
# seeds per capsule a0.165 ***0.217 ***0.210 ***1.0
Weeks in flower0.273 ***−0.227 ***−0.017−0.089 **
Height (cm)0.215 ***0.045−0.018−0.024
Width 1 (cm)0.217 ***−0.116 *0.037−0.002
Width 2 (cm)0.225 ***−0.162 ***−0.007−0.007
Height:width ratio−0.0260.253 ***0.0070.023
Semi-ellipsoid volume (cm3)0.214 ***−0.0870.006−0.004
Eccentricity−0.0810.125 **0.0300.029
Circumference (cm)0.229 ***−0.144 **0.016−0.005
Base area (cm2)0.205 ***−0.126 **0.0200.009
Stem length (cm) b0.0710.029−0.027−0.075
Stem diameter (mm) b0.0760.205 ***0.124 **0.074
Flower diameter (mm) b0.0790.009−0.014−0.062
# denotes “number”; ***. Correlation is significant at the 0.001 level (2-tailed). **. Correlation is significant at the 0.01 level (2-tailed). *. Correlation is significant at the 0.05 level (2-tailed). a Pearson correlations were calculated on a genotype mean basis for the average of five capsules. b Pearson correlations were calculated on a genotype mean basis for the average of three stems/flowers.
Table 5. Analysis of variance for the effects of plant age (A) and population (P) and their interaction on average yield per plant (g; 2019–2021), average 1000 seed weight (g; 2019–2020), and average # seeds per capsule (2019–2020) measured at the Forage Hill location, Rosemount, MN.
Table 5. Analysis of variance for the effects of plant age (A) and population (P) and their interaction on average yield per plant (g; 2019–2021), average 1000 seed weight (g; 2019–2020), and average # seeds per capsule (2019–2020) measured at the Forage Hill location, Rosemount, MN.
EffectdfYield per Plant (g)df1000 Seed wt. (g)# Seeds per Capsule
F RatioProb > F F RatioProb > FF RatioProb > F
Age (A)233.766≤0.001 ***11.8010.18116.447≤0.001 ***
Population (P)74.272≤0.001 ***72.0040.0570.9180.494
A × P91.9790.048 *64.2450.001 **0.5610.761
p < 0.001, ***; p < 0.01, **; p < 0.05, *.
Table 6. Comparison of harvest 1 and 2 yield per plant (g) measurements from 2020–2021 for each population using a t-test assuming unequal variances (two-tailed). The degrees of freedom and t-statistic are given, and significance is denoted by asterisks. Summary statistics are also presented including the number of genotypes tested (n), the mean yield per plant, and standard error.
Table 6. Comparison of harvest 1 and 2 yield per plant (g) measurements from 2020–2021 for each population using a t-test assuming unequal variances (two-tailed). The degrees of freedom and t-statistic are given, and significance is denoted by asterisks. Summary statistics are also presented including the number of genotypes tested (n), the mean yield per plant, and standard error.
Harvest 1 Yield (g/Plant)Harvest 2 Yield (g/Plant)Two-Sample t-Test
PopulationnMeanSEMeanSEdft
L. austriacum510.461.422.580.4455.29 **
L. lewisii39.205.372.070.9621.31
L. perenne1012.001.432.690.56126.06 ***
CF Selections712.892.922.120.8873.53 **
OS Selections2016.301.794.190.87276.10 ***
All populations4513.691.073.220.44599.07 ***
p < 0.001, ***; p < 0.01, **.
Table 7. Pearson correlation coefficients of the evaluated variables calculated on a genotype mean basis separately for harvest 1, harvest 2, and pooled datasets (2019–2020) of tested perennial flax populations: total yield (g), yield per plant (g; YPP), 100 seed wt. (g), and average # seeds per capsule (SPC).
Table 7. Pearson correlation coefficients of the evaluated variables calculated on a genotype mean basis separately for harvest 1, harvest 2, and pooled datasets (2019–2020) of tested perennial flax populations: total yield (g), yield per plant (g; YPP), 100 seed wt. (g), and average # seeds per capsule (SPC).
Harvest 1Harvest 2Pooled
Total Yield (g)YPP (g)1000 wt. (g)SPCTotal Yield (g)YPP (g)1000 wt. (g)SPCTotal Yield (g)YPP (g)1000 wt. (g)SPC
Total Yield (g)1 1 1
YPP (g)0.906 ***1 0.710 ***1 0.904 ***1
1000 wt. (g)0.0960.156 *1 0.108−0.1781 0.0440.0901
SPC0.340 ***0.38 ***0.277 ***10.1370.1570.20610.322 ***0.345 ***0.177 *1
p < 0.001, ***; p < 0.05, *.
Table 8. Pearson correlation coefficients of the evaluated variables (total yield, g; yield per plant or YPP, g; 1000 wt., g, average # seeds per capsule, SPC) calculated on a genotype mean basis separately for L. altaicum, L. austriacum, L. bienne, L. hirsutum, L. lewisii, L. perenne, and the cut flower (CF) and oilseed (OS) selection populations.
Table 8. Pearson correlation coefficients of the evaluated variables (total yield, g; yield per plant or YPP, g; 1000 wt., g, average # seeds per capsule, SPC) calculated on a genotype mean basis separately for L. altaicum, L. austriacum, L. bienne, L. hirsutum, L. lewisii, L. perenne, and the cut flower (CF) and oilseed (OS) selection populations.
L. altaicumL. austriacumL. bienne
Total Yield (g)YPP (g)1000 wt. (g)SPCTotal Yield (g)YPP (g)1000 wt. (g)SPCTotal Yield (g)YPP (g)1000 wt. (g)SPC
Total Yield (g)1 1 1
YPP (g)1 ***1 0.946 ***1 0.591 *1
1000 wt. (g)0.3440.3321 −0.199−0.1861 −0.1060.4641
SPC0.2570.2610.44910.1980.2980.1231−0.194−0.0830.589 *1
L. hirsutumL. lewisiiL. perenne
Total Yield (g)1 1 1
YPP (g)0.989 ***1 0.986 ***1 0.943 ***1
1000 wt. (g)0.0960.0321 −0.399−0.4171 −0.117−0.1571
SPC0.2930.388−0.09210.4050.4590.05410.527 **0.484 **−0.0781
CF SelectionsOS Selections
Total Yield (g)1 1
YPP (g)0.902 ***1 0.870 ***1
1000 wt. (g)0.2400.2161 0.1500.2571
SPC0.2810.3720.26210.2860.335 *0.2841
p < 0.001, ***; p < 0.01, **; p < 0.05, *.
Disclaimer/Publisher’s Note: The statements, opinions and data contained in all publications are solely those of the individual author(s) and contributor(s) and not of MDPI and/or the editor(s). MDPI and/or the editor(s) disclaim responsibility for any injury to people or property resulting from any ideas, methods, instructions or products referred to in the content.

Share and Cite

MDPI and ACS Style

Tork, D.G.; Anderson, N.O.; Wyse, D.L.; Betts, K.J. Selection of Perennial Flax (Linum spp.) for Yield and Reproductive Traits for the Oilseed Ideotype. Agronomy 2024, 14, 99. https://doi.org/10.3390/agronomy14010099

AMA Style

Tork DG, Anderson NO, Wyse DL, Betts KJ. Selection of Perennial Flax (Linum spp.) for Yield and Reproductive Traits for the Oilseed Ideotype. Agronomy. 2024; 14(1):99. https://doi.org/10.3390/agronomy14010099

Chicago/Turabian Style

Tork, David G., Neil O. Anderson, Donald L. Wyse, and Kevin J. Betts. 2024. "Selection of Perennial Flax (Linum spp.) for Yield and Reproductive Traits for the Oilseed Ideotype" Agronomy 14, no. 1: 99. https://doi.org/10.3390/agronomy14010099

APA Style

Tork, D. G., Anderson, N. O., Wyse, D. L., & Betts, K. J. (2024). Selection of Perennial Flax (Linum spp.) for Yield and Reproductive Traits for the Oilseed Ideotype. Agronomy, 14(1), 99. https://doi.org/10.3390/agronomy14010099

Note that from the first issue of 2016, this journal uses article numbers instead of page numbers. See further details here.

Article Metrics

Back to TopTop