Optimization of N Fertilizer Type and Ridge–Furrow Ratio to Improve Resource Use Efficiency and Grain Yield of Rain-Fed Winter Wheat in Loess Plateau, China
Abstract
1. Introduction
2. Materials and Methods
2.1. Site and Description
2.2. Experimental Design
2.3. Sampling and Measurements
2.3.1. Phenology
2.3.2. Soil Temperature and Soil Water Content (SWC)
2.3.3. Leaf Area Index (LAI) and Accumulation of Dry Matter (DM)
2.3.4. Grain Yield
2.4. Data Calculation
2.4.1. Soil Thermal Time (TTsoil) and Thermal Time Use Efficiency (TUE)
2.4.2. Intercepted Photosynthetically Active Radiation (PARi) and Radiation Use
Efficiency (RUE)
2.4.3. Soil Water Storage (SWS), Evapotranspiration (ET), and Water Productivity (WP)
2.4.4. Partial Factor Productivity of N (PFPN)
2.5. Statistical Analysis
3. Results
3.1. Dry Matter (DM) Accumulation Dynamics
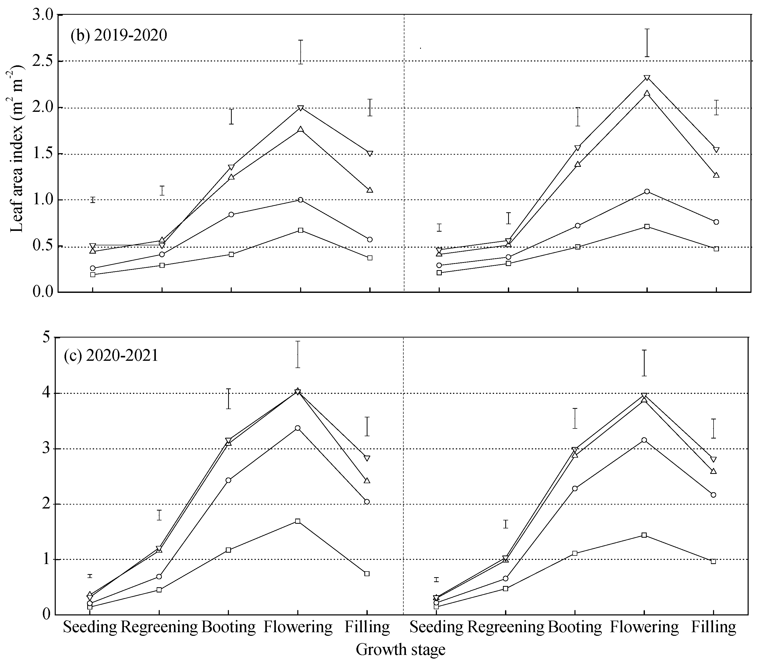
3.2. Leaf Area Index (LAI) Dynamics
3.3. Crop Phenology
3.4. Grain Yield (GY)
3.5. Resource Use Efficiency
3.5.1. Thermal Time and Radiation Use Efficiency
3.5.2. Water Productivity and Partial Factor Productivity of N
3.6. Distribution of Soil Thermal Time (TTsoil), Evapotranspiration (ET), and Intercepted Photosynthetic Active Radiation (PAR) during the Winter Wheat Growing Season
3.6.1. Soil Thermal Time (TTsoil)
3.6.2. Evapotranspiration (ET)
3.6.3. Photosynthetically Active Radiation (PAR)
3.7. Soil Water Depletion
4. Discussion
4.1. Crop Growth and Phenology
4.2. Crop Resource Allocation and Resource Use Efficiency
4.3. Crop Yield
4.4. Soil Water Depletion
5. Conclusions
Author Contributions
Funding
Data Availability Statement
Conflicts of Interest
References
- Ashraf, M.; Harris, P.J.C. Photosynthesis under stressful environments: An overview. Photosynthetica 2013, 51, 163–190. [Google Scholar] [CrossRef]
- Zhang, X.D.; Kamran, M.H.; Xue, X.K.; Zhao, J.; Cai, T.; Jia, Z.K.; Zhang, P.; Han, Q.F. Ridge furrow mulching system drives the efficient utilization of key production resources and the improvement of maize productivity in the Loess Plateau of China. Soil Tillage Res. 2019, 190, 10–21. [Google Scholar] [CrossRef]
- Sun, M.; Ren, A.X.; Gao, Z.Q.; Wang, P.R.; Mo, F.; Xue, L.Z.; Lei, M.M. Long-term evaluation of tillage methods in fallow season for soil water storage, wheat yield and water use efficiency in semiarid southeast of the Loess Plateau. Field Crops Res. 2018, 218, 24–32. [Google Scholar] [CrossRef]
- Sun, M.Y.; Chen, W.; Lapen, D.R.; Lu, P.N.; Liu, J.H. Effects of ridge-furrow with plastic film mulching combining with various urea types on water productivity and yield of potato in a dryland farming system. Agric. Water Manag. 2023, 283, 108318. [Google Scholar] [CrossRef]
- Gan, Y.T.; Siddique, K.H.M.; Turner, N.C.; Li, X.G.; Niu, J.Y.; Yang, C.; Liu, L.P.; Chai, Q. Ridge-furrow mulching systems-an innovative technique for boosting crop productivity in semiarid rain-fed environments. Adv. Agron. 2013, 118, 429–476. [Google Scholar] [CrossRef]
- Qiang, S.C.; Zhang, Y.; Fan, J.L.; Zhang, F.C.; Sun, M.; Gao, Z.Q. Combined effects of ridge-furrow ratio and urea type on grain yield and water productivity of rainfed winter wheat on the Loess Plateau of China. Agric. Water Manag. 2022, 261, 107340. [Google Scholar] [CrossRef]
- Li, C.J.; Wang, C.J.; Wen, X.X.; Qin, X.L.; Liu, Y.; Han, J.; Li, Y.; Liao, Y.C.; Wu, W. Ridge–furrow with plastic film mulching practice improves maize productivity and resource use efficiency under the wheat–maize double–cropping system in dry semi–humid areas. Field Crops Res. 2017, 203, 201–211. [Google Scholar] [CrossRef]
- Liu, X.L.; Wang, Y.D.; Yan, X.Q.; Hou, H.Z.; Liu, P.; Cai, T.; Zhang, P.; Jia, Z.K.; Ren, X.L.; Chen, X.L. Appropriate ridge-furrow ratio can enhance crop production and resource use efficiency by improving soil moisture and thermal condition in a semiarid region. Agric. Water Manag. 2020, 240, 106289. [Google Scholar] [CrossRef]
- Ali, S.; Xu, Y.Y.; Ahmad, I.; Jia, Q.M.; Ma, X.C.; Sohail, A.; Arif, M.; Ren, X.L.; Cai, T.; Zhang, J.H.; et al. The ridge-furrow system combined with supplemental irrigation strategies to improves radiation use efficiency and winter wheat productivity in semiarid regions of China. Agric. Water Manag. 2019, 213, 76–86. [Google Scholar] [CrossRef]
- Liu, T.N.; Chen, J.Z.; Wang, Z.Y.; Wu, X.R.; Wu, X.C.; Ding, R.X.; Han, Q.F.; Cai, T.; Jia, Z.K. Ridge and furrow planting pattern optimizes canopy structure of summer maize and obtains higher grain yield. Field Crops Res. 2018, 219, 242–249. [Google Scholar] [CrossRef]
- Ren, X.; Cai, T.; Chen, X.; Zhang, P.; Jia, Z. Effect of rainfall concentration with different ridge widths on winter wheat production under semiarid climate. Eur. J. Agron. 2016, 77, 20–27. [Google Scholar] [CrossRef]
- Mo, F.; Wang, J.Y.; Zhou, H.; Luo, C.L.; Zhang, X.F.; Li, X.Y.; Li, F.M.; Xiong, L.B.; Kavagi, L.; Nguluu, S.N.; et al. Ridge-furrow plastic-mulching with balanced fertilization in rainfed maize (Zea mays L.): An adaptive management in east African Plateau. Agric. For. Meteorol. 2017, 236, 100–112. [Google Scholar] [CrossRef]
- Li, W.W.; Wen, X.X.; Han, J.; Liu, Y.; Wu, W.; Liao, Y.C. Optimum ridge-to-furrow ratio in ridge-furrow mulching systems for improving water conservation in maize (Zea may L.) production. Environ. Sci. Pollut. Res. 2017, 24, 23168–23179. [Google Scholar] [CrossRef] [PubMed]
- Yan, S.C.; Wu, Y.; Fan, J.L.; Zhang, F.C.; Guo, J.J.; Zheng, J.; Wu, L.F.; Lu, J.S. Quantifying nutrient stoichiometry and radiation use efficiency of two maize cultivars under various water and fertilizer management practices in northwest China. Agric. Water Manag. 2022, 271, 107772. [Google Scholar] [CrossRef]
- Qiang, S.C.; Zhang, Y.; Zhao, H.; Fan, J.L.; Zhang, F.C.; Sun, M.; Gao, Z.Q. Combined effects of urea type and placement depth on grain yield, water productivity and nitrogen use efficiency of rain-fed spring maize in northern China. Agric. Water Manag. 2022, 262, 107442. [Google Scholar] [CrossRef]
- Elgharably, A.; Benes, S. Alfalfa biomass yield and nitrogen fixation in response to applied mineral nitrogen under saline soil conditions. J. Soil Sci. Plant Nutr. 2021, 21, 744–755. [Google Scholar] [CrossRef]
- Zhang, H.; Jing, W.J.; Zhao, B.H.; Wang, W.L.; Xu, Y.J.; Zhang, W.Y.; Gu, J.F.; Liu, L.J.; Wang, Z.Q.; Yang, J.C. Alternative fertilizer and irrigation practices improve rice yield and resource use efficiency by regulating source-sink relationships. Field Crops Res. 2021, 265, 108124. [Google Scholar] [CrossRef]
- Liu, Q.F.; Chen, Y.; Liu, Y.; Wen, X.X.; Liao, Y.C. Coupling effects of plastic film mulching and urea types on water use efficiency and grain yield of maize in the Loess Plateau, China. Soil Tillage Res. 2016, 157, 1–10. [Google Scholar] [CrossRef]
- Ke, J.; He, R.C.; Hou, P.F.; Ding, C.; Ding, Y.F.; Wang, S.H.; Liu, Z.H.; Tang, S.; Ding, C.Q.; Chen, L.; et al. Combined controlled-released nitrogen fertilizers and deep placement effects of N leaching, rice yield and N recovery in machine-transplanted rice. Agric. Ecosyst. Environ. 2018, 265, 402–412. [Google Scholar] [CrossRef]
- Kamran, M.; Yan, Z.G.; Jia, Q.M.; Chang, S.H.; Ahmad, I.; Ghani, M.U.; Hou, F.J. Irrigation and nitrogen fertilization influence on alfalfa yield, nutritive value, and resource use efficiency in an arid environment. Field Crops Res. 2022, 284, 108587. [Google Scholar] [CrossRef]
- Zadoks, J.C.; Chang, T.T.; Konzak, C.F. A decimal code for the growth stages of cereals. Weed Res. 1974, 14, 415–421. [Google Scholar] [CrossRef]
- Birch, C.J.; Vos, J.; Van Der Putten, P.E.L. Plant development and leaf area production in contrasting cultivars of maize grown in a cool temperate environment in the field. Eur. J. Agron. 2003, 19, 173–188. [Google Scholar] [CrossRef]
- McMaster, G.S.; Wilhem, W.W. Growing degree days: One equation, two interpretations. Agric. For. Meteorol. 1997, 87, 291–300. [Google Scholar] [CrossRef]
- Subrahmaniyan, K.; Veeramani, P.; Harisudan, C. Heat accumulation and soil properties as affected by transparent plastic mulch in Blackgram (Vigna mungo) doubled cropped with groundnut (Arachis hypogaea) in sequence under rainfed conditions in Tamil Nadu, India. Field Crops Res. 2018, 219, 43–54. [Google Scholar] [CrossRef]
- Kiniry, J.R.; Sanderson, M.A.; Williams, J.R. Simulating Alamo switchgrass with the ALMANAC model. Agron J. 1996, 88, 602–606. [Google Scholar] [CrossRef]
- Stone, P.J.; Wilson, D.R.; Reid, J.B.; Gillespie, R.N.; Stone, P.J.; Wilson, D.R. Water deficit effects on sweet corn, water use, radiation use efficiency, growth, and yield. Crop Pasture Sci. 2000, 52, 103–113. [Google Scholar] [CrossRef]
- Mwale, S.S.; Azam-Ali, S.N.; Massawe, F.J. Growth and development of bambara groundnut (Vigna subterranea) in response to soil moisture. 2. Resource capture and conversion. Eur. J. Agron. 2007, 26, 354–362. [Google Scholar] [CrossRef]
- Hou, F.Y.; Zhang, L.M.; Xie, B.T.; Dong, S.X.; Zhang, H.Y.; Li, A.X.; Wang, Q.M. Effect of plastic mulching on the photosynthetic capacity, endogenous hormones and root yield of summer-sown sweet potato (Ipomoea batatas (L). Lam.) in Northern China. Acta Physiol. Plant. 2015, 37, 1–10. [Google Scholar] [CrossRef]
- Liu, Y.; Yang, S.J.; Li, S.Q.; Chen, X.P.; Chen, F. Growth and development of maize (Zea mays L.) in response to different field water management practices: Resource capture and use efficiency. Agric. For. Meteorol. 2010, 150, 606–613. [Google Scholar] [CrossRef]
- Mu, H.D.; Jiang, B.; Wollenweber, B.; Dai, T.; Jing, Q.; Cao, W. Long-term low radiation decreases leaf photosynthesis, photochemical efficiency and grain yield in winter wheat. J. Agron. Crop Sci. 2010, 196, 38–47. [Google Scholar] [CrossRef]
- Jia, Q.M.; Yang, L.Y.; An, H.Y.; Dong, S.; Chang, S.H.; Zhang, C.; Liu, Y.J.; Hou, F.J. Nitrogen fertilization and planting models regulate maize productivity, nitrate and root distributions in semi-arid regions. Soil Tillage Res. 2020, 200, 104636. [Google Scholar] [CrossRef]
- Li, Y.Z.; Yang, J.B.; Shi, Z.; Pan, W.H.; Liao, Y.C.; Li, T.; Qin, X.L. Response of root traits to plastic film mulch and its effects on yield. Soil Tillage Res. 2021, 209, 104930. [Google Scholar] [CrossRef]
- Bu, L.D.; Liu, J.L.; Zhu, L.; Luo, S.S.; Chen, X.P.; Li, S.Q.; Lee Hill, R.; Zhao, Y. The effects of mulching on maize growth, yield and water use in a semi-arid region. Agric. Water Manag. 2013, 123, 71–78. [Google Scholar] [CrossRef]
- O’Connell, M.; O’Leary, G.; Whitfield, D.; Connor, D. Interception of photosynthetically active radiation and radiation-use efficiency of wheat, field pea and mustard in a semi-arid environment. Field Crops Res. 2004, 85, 111–124. [Google Scholar] [CrossRef]
- Negin, B.; Moshelion, M. The evolution of the role of ABA in the regulation of water use efficiency: From biochemical mechanisms to stomatal conductance. Plant Sci. 2016, 251, 82–89. [Google Scholar] [CrossRef]
- Jia, Q.M.; Chen, K.Y.; Chen, Y.Y.; Ali, S.; Manzoor Sohail, A.; Fahad, S. Mulch covered ridges affect grain yield of maize through regulating root growth and root bleeding sap under simulated rainfall conditions. Soil Tillage Res. 2018, 175, 101–111. [Google Scholar] [CrossRef]
- Yu, S.B.; Khan, S.; Mo, F.; Ren, A.X.; Lin, W.; Feng, Y.; Dong, S.F.; Ren, J.; Wang, W.X.; Noor, H.; et al. Determining optimal nitrogen input rate on the base of fallow season precipitation to achieve higher crop water productivity and yield. Agric. Water Manag. 2021, 246, 106689. [Google Scholar] [CrossRef]
- Yang, W.J.; Li, Y.L.; Liu, W.J.; Wang, S.W.; Yin, L.N.; Deng, X.P. Sustainable high yields can be achieved in drylands on the Loess Plateau by changing water use patterns through integrated agronomic management. Agric. For. Meteorol. 2021, 296, 108210. [Google Scholar] [CrossRef]









| NT | P | TUE [kg ha−1 (°C d)−1] | RUE (g MJ−1) | ||||
|---|---|---|---|---|---|---|---|
| 2018–2019 | 2019–2020 | 2020–2021 | 2018–2019 | 2019–2020 | 2020–2021 | ||
| TU | F | 0.48 e | 0.81 f | 1.67 d | 0.70 de | 0.74 e | 1.12 e |
| R2F4 | 0.76 d | 1.19 e | 2.23 c | 0.80 cd | 0.87 cd | 1.20 de | |
| R4F4 | 1.14 bc | 1.51 cd | 2.83 b | 0.96 ab | 0.94 bc | 1.33 dc | |
| R6F4 | 1.07 c | 1.59 bc | 2.85 b | 0.89 bc | 0.96 abc | 1.35 b | |
| CRU | F | 0.42 e | 0.92 f | 1.66 d | 0.61 e | 0.81 de | 1.11 e |
| R2F4 | 0.83 d | 1.41 d | 2.38 c | 0.82 cd | 1.00 ab | 1.25 cd | |
| R4F4 | 1.23 ab | 1.73 ab | 3.24 a | 1.02 a | 1.05 a | 1.54 a | |
| R6F4 | 1.30 a | 1.77 a | 3.29 a | 1.04 a | 1.05 a | 1.57 a | |
| NT | P | WP (kg ha−1 mm−1) | PFPN (kg kg−1) | ||||
|---|---|---|---|---|---|---|---|
| 2018–2019 | 2019–2020 | 2020–2021 | 2018–2019 | 2019–2020 | 2020–2021 | ||
| TU | F | 6.4 d | 8.4 d | 18.1 d | 6.5 d | 9.7 e | 20.1 d |
| R2F4 | 9.6 c | 11.7 c | 21.8 c | 10.5 c | 14.6 d | 27.1 c | |
| R4F4 | 12.7 b | 14.8 ab | 27.1 b | 16.3 b | 19.0 bc | 35.3 b | |
| R6F4 | 13.2 ab | 15.5 a | 26.0 b | 15.3 b | 20.2 b | 36.2 b | |
| CRU | F | 5.6 d | 9.2 d | 16.9 d | 5.7 d | 11.0 e | 19.9 d |
| R2F4 | 9.9 c | 13.3 bc | 22.9 c | 11.5 c | 17.6 c | 29.2 c | |
| R4F4 | 13.9 ab | 16.1 a | 29.9 a | 18.1 a | 22.1 a | 42.1 a | |
| R6F4 | 14.2 a | 16.5 a | 31.4 a | 19.0 a | 22.9 a | 43.4 a | |
| Treatment | TTsoil Capture at Various Growth Stages | TTsoil Capture during Growth Period | |||
|---|---|---|---|---|---|
| So–Se | Se–Re | Re–Fi | Fi–Ma | ||
| NT | |||||
| TU | 442.7 a | 538.1 a | 596.3 a | 745.6 b | 2322.8 b |
| CRU | 444.2 a | 536.8 a | 597.6 a | 784.9 a | 2363.6 a |
| P | |||||
| F | 431.7 c | 498.4 d | 632.0 a | 700.3 c | 2262.4 c |
| R2F4 | 440.9 b | 529.1 c | 595.2 b | 738.1 b | 2303.4 b |
| R4F4 | 447.5 a | 550.5 b | 584.3 b | 810.2 a | 2392.5 a |
| R6F4 | 453.8 a | 572.0 a | 576.4 c | 812.3 a | 2414.5 a |
| Y | |||||
| 2018–2019 | 470.1 a | 513.3 b | 672.6 a | 885.0 a | 2541.0 a |
| 2019–2020 | 427.7 b | 519.9 b | 581.2 b | 713.9 b | 2242.7 b |
| 2020–2021 | 432.6 b | 579.3 a | 537.1 c | 696.8 c | 2245.8 b |
| ANOVA | |||||
| NT | ns | ns | ns | ** | ** |
| P | ** | ** | ** | ** | ** |
| Y | ** | ** | ** | ** | ** |
| NT × P | ns | ns | ns | ** | ** |
| NT × Y | ns | ns | ns | ** | ns |
| P × Y | ns | ns | ** | ** | ** |
| NT × P × Y | ns | ns | ns | ** | * |
| Treatment | ET at Various Growth Stages | ET during Growth Period | |||
|---|---|---|---|---|---|
| So–Se | Se–Re | Re–Fi | Fi–Ma | ||
| NT | |||||
| TU | 28.9 a | 44.3 a | 83.7 a | 61.9 b | 218.8 b |
| CRU | 28.7 a | 45.6 a | 87.8 a | 67.8 a | 229.8 a |
| P | |||||
| F | 34.1 a | 29.3 c | 76.3 c | 60.2 c | 199.8 c |
| R2F4 | 28.8 b | 43.9 b | 83.9 b | 63.6 b | 220.2 b |
| R4F4 | 25.7 c | 53.2 a | 90.4 a | 67.5 a | 236.9 a |
| R6F4 | 26.4 c | 53.4 a | 92.4 a | 68.1 a | 240.4 a |
| Y | |||||
| 2018–2019 | 42.1 a | 42.1 b | 54.7 c | 71.7 a | 210.6 b |
| 2019–2020 | 29.2 b | 35.2 c | 108.3 a | 58.1 c | 230.8 a |
| 2020–2021 | 15.0 c | 57.6 a | 94.3 b | 64.7 b | 231.6 a |
| ANOVA | |||||
| NT | ns | ns | ns | * | ** |
| P | ** | ** | ** | ** | ** |
| Y | ** | ** | ** | ** | ** |
| NT × P | ns | ns | ns | ns | ns |
| NT × Y | ns | * | ** | ** | ns |
| P × Y | ** | * | ** | ** | ns |
| NT × P × Y | * | * | ns | ns | ns |
| Treatment | PAR Interception at Various Growth Stages | PAR Interception during Growth Period | |||
|---|---|---|---|---|---|
| So–Se | Se–Re | Re–Fi | Fi–Ma | ||
| NT | |||||
| TU | 6.7 a | 180.0 a | 94.0 a | 52.1 b | 332.7 b |
| CRU | 6.9 a | 180.6 a | 95.8 a | 61.0 a | 344.3 a |
| P | |||||
| F | 3.7 c | 144.4 c | 63.2 c | 31.8 c | 243.1 c |
| R2F4 | 5.6 b | 169.3 b | 94.5 b | 53.3 b | 322.7 b |
| R4F4 | 8.7 a | 201.1 a | 110.5 a | 69.8 a | 390.1 a |
| R6F4 | 9.1 a | 206.4 a | 111.4 a | 71.3 a | 398.1 a |
| Y | |||||
| 2018–2019 | 6.6 b | 131.0 c | 75.4 c | 48.1 b | 261.1 c |
| 2019–2020 | 8.1 a | 170.6 b | 99.2 b | 48.6 b | 326.5 b |
| 2020–2021 | 5.6 b | 239.3 a | 110.1 a | 72.9 a | 427.9 a |
| ANOVA | |||||
| NT | ns | ns | ns | ** | ** |
| P | ** | ** | ** | ** | ** |
| Y | ** | ** | ** | ** | ** |
| NT × P | ns | ns | ns | * | ns |
| NT × Y | ns | ns | ns | ns | ns |
| P × Y | * | ** | ns | ** | ns |
| NT × P × Y | ns | ns | ns | ns | ns |
Disclaimer/Publisher’s Note: The statements, opinions and data contained in all publications are solely those of the individual author(s) and contributor(s) and not of MDPI and/or the editor(s). MDPI and/or the editor(s) disclaim responsibility for any injury to people or property resulting from any ideas, methods, instructions or products referred to in the content. |
© 2024 by the authors. Licensee MDPI, Basel, Switzerland. This article is an open access article distributed under the terms and conditions of the Creative Commons Attribution (CC BY) license (https://creativecommons.org/licenses/by/4.0/).
Share and Cite
Qiang, S.; Zhang, Y.; Fan, J.; Zhang, F.; Lin, W.; Sun, M.; Gao, Z.; Tang, X. Optimization of N Fertilizer Type and Ridge–Furrow Ratio to Improve Resource Use Efficiency and Grain Yield of Rain-Fed Winter Wheat in Loess Plateau, China. Agronomy 2024, 14, 172. https://doi.org/10.3390/agronomy14010172
Qiang S, Zhang Y, Fan J, Zhang F, Lin W, Sun M, Gao Z, Tang X. Optimization of N Fertilizer Type and Ridge–Furrow Ratio to Improve Resource Use Efficiency and Grain Yield of Rain-Fed Winter Wheat in Loess Plateau, China. Agronomy. 2024; 14(1):172. https://doi.org/10.3390/agronomy14010172
Chicago/Turabian StyleQiang, Shengcai, Yan Zhang, Junliang Fan, Fucang Zhang, Wen Lin, Min Sun, Zhiqiang Gao, and Xiwang Tang. 2024. "Optimization of N Fertilizer Type and Ridge–Furrow Ratio to Improve Resource Use Efficiency and Grain Yield of Rain-Fed Winter Wheat in Loess Plateau, China" Agronomy 14, no. 1: 172. https://doi.org/10.3390/agronomy14010172
APA StyleQiang, S., Zhang, Y., Fan, J., Zhang, F., Lin, W., Sun, M., Gao, Z., & Tang, X. (2024). Optimization of N Fertilizer Type and Ridge–Furrow Ratio to Improve Resource Use Efficiency and Grain Yield of Rain-Fed Winter Wheat in Loess Plateau, China. Agronomy, 14(1), 172. https://doi.org/10.3390/agronomy14010172

