Abstract
Maximizing rice yield potential has always been the focus of high-yield rice cultivation research. For high-yield rice cultivation and breeding, more research into the link between yield and yield components is essential. In this experiment, 38 rice varieties with different yield types and 185 rice varieties as materials were chosen. The relationships between yield and yield components were studied. The regulation effects of total nitrogen application rate (TNAR) on yield and yield components were observed. The results showed that (1) the grain yield of high-yield varieties was 189.3−195.6%, 76.1−77.7%, and 27.0−28.7% higher than that of super-low-yield, low-yield, and medium-yield varieties, respectively. Compared with rice varieties with other yield types, rice varieties with high-yield type have a higher total number of spikelets. (2) The spikelet number per panicle and total number of spikelets were significantly positively linked with grain yield, but significantly negatively correlated with filled grains and grain weight. (3) With an increase in TNAR (0−340 kg ha−1), the panicles, spikelet number per panicle, and total spikelets of rice varieties with different yield types increased gradually, and the filled grains and grain weight decreased gradually. The higher the TNAR, the more obvious the decrease in filled grains and grain weight. The grain yield of rice varieties with different yield types was the highest under the TNAR at 250 kg ha−1. The main factor contributing to its high yield was the substantial increase in total spikelets. The above results showed that increasing the spikelet number per panicle and total spikelets played a material role in improving rice yield.
1. Introduction
Previous studies on the relationship between rice yield and yield components have been controversial. According to Wei et al. [1], indica/japonica hybrid rice had a grain yield that was 13.2% greater than japonica rice, and a significant increase in total spikelets was a major cause for its yield increase. Further analysis showed that the higher utilization efficiency of temperature and light resources at the panicle differentiation stage of indica/japonica hybrid rice was beneficial to increase the total spikelets [2]. At the same time, under the condition of reducing planting density and nitrogen application rate (NAR), indica/japonica hybrid rice could still obtain a higher spikelet number per panicle and grain yield than conventional rice [3]. However, some studies suggested that the filled grains and grain weight were the pivotal factors affecting rice yield [4,5]. Huang et al. [6] observed that hybrid rice and super hybrid rice had higher filled grains, grain weight, and grain yield than conventional rice. Studies have shown that rice yield could be improved by coordinating the relationship among yield components [7]. The differences in the results of previous studies were mainly due to their relatively little number of varieties, small differences in yield and yield components, and short planting years. We selected varieties with large differences in yield and yield components, long planting years (4 years) and a large number of varieties (38 varieties, 185 varieties), which can accurately reflect the relationship between yield and yield components and avoid the deviation of experiment results caused by the above problems. This has rarely been reported before. The correlation between yield and its components is crucial for high-yield rice cultivation and breeding.
Nitrogen is one of the key nutrients limiting crop growth and grain yield potential [8,9]. Over the past 60 years, the world’s rice production has been increasing, in part due to the increase in NAR inputs [10,11]. Based on reports, the NAR was generally more than 180 kg ha−1 in paddy fields in China, which exceeded the global average by 75% [12]. The average NAR was up to over 300 kg ha−1 in some areas of Jiangsu Province [13]. An unreasonable NAR not only raises the production cost, but also causes a sharp decrease in the nitrogen utilization rate in paddy fields, a decrease in rice quality, an imbalance of soil nutrients, and a series of environmental issues [14]. In addition, excessive NAR would also increase the sensitivity of rice to lodging, pests, and diseases, ultimately leading to yield reduction [15,16]. Reasonable NAR might help decrease greenhouse gas emissions from paddy fields in addition to increasing grain production [17,18,19]. There were clear genotypic differences in the response of different rice varieties to NAR [20,21,22]. However, is the response of total nitrogen application rate (TNAR) to the yield of rice varieties with various yield types consistent? There have been few reports so far.
The objectives of this study were to (i) clarify the relationship between yield and yield components of rice varieties with different yield types, and (ii) observe the regulation effects of TNAR on yield and its components of rice varieties with low- and medium-yield types. Such a study could shine a light on the link between yield and yield components, offering a conceptual and actual framework for the breeding of high-yield rice varieties.
2. Materials and Methods
2.1. Plant Materials and Experimental Design
Experiment 1: yield and yield components of rice varieties with various yield types.
Experiment 1 was conductedmainly to observe the relationship between yield and yield components. It was carried out in 2019 and 2021. After the field experiment in 2018, 38 rice varieties with various grain yields were chosen for further analysis (Figure S1). There were significant differences in the yield and yield components of 38 rice varieties (Figure S1). Four categories were established based on the yield level: super low yield (yield < 5.0 t ha−1), low yield (5.0 t ha−1 ≤ yield < 7.5 t ha−1), medium yield (7.5 t ha−1 ≤ yield < 10 t ha−1), and high yield (yield ≥ 10 t ha−1). The panicles, spikelet number per panicle, filled grains, grain weight, and grain yield of rice varieties were quite different, and the selection of rice varieties could more accurately reflect the relationship between yield and yield components. Table S1 displays each rice variety’s variety, origin, and type. Every year, seedlings were raised in a seedbed, sown between 26 May and 28 May, and transplanted between 23 June and 25 June. Nitrogen as urea (250 kg ha−1) was supplied in 5: 1: 2: 2 portions during pre-transplanting, mid-tillering, panicle initiation, and the initiation of spikelet differentiation. The experiment used a randomized block design.
Experiment 2: yield and yield components of different rice varieties.
Experiment 2 was conducted to further clarify the relationship between yield and yield components. It was conducted in 2022. In total, 185 rice varieties were used as materials. The names of each variety are detailed in Table S2. They were sown on 6 June and transplanted on 1 July. The amount of nitrogen fertilizer and the time of application were the same as those in experiment 1.
Experiment 3: effects of TNAR on yield and yield components of rice varieties with various yield types.
Experiment 3 was conducted to clarify the regulation effect of TNAR on yield and yield components in rice, that is, to verify the conclusions of experiment 1 and experiment 2. It was carried out in 2022, with Huhan 106 (low yield) and Hyou 518 (medium yield) as materials. Seedlings were grown in a seedbed starting on May 25 and transplanted on June 20. In this experiment, a two-factor split-plot design was adopted. The major plot was the TNAR, while the subplot was rice variety. Four TNARs were set up during the whole growth period, including 0N (0 nitrogen, TNAR at 0 kg ha−1), LN (low nitrogen, TNAR at 160 kg ha−1), MN (medium nitrogen, TNAR at 250 kg ha−1), and HN (high nitrogen, TNAR at 340 kg ha−1). The application period of nitrogen fertilizer was the same as in experiment 1. To divide the major plots and limit water and fertilizer movement, 40 cm-wide ridges coated in plastic film and put in 30 cm of soil were utilized.
The above three experiments were conducted at the Zhuanghang Experimental Station, Shanghai Academy of Agricultural Sciences, Shanghai, China (30°88′89″ N, 121°38′51″ E) from 2018 to 2022 (except 2020). The preceding crop in the field was broad bean, and the soil was a sandy loam ([Typic Fluvaquents, Etisols (U.S. taxonomy)]). At a hill spacing of 0.20 × 0.20 m, rice was planted with one seedling per hill. Phosphorus (35 kg ha−1 as single superphosphate) and potassium (45 kg ha−1 as KCl) were administered to the plots before to transplantation. The plot size was 20 m2 and was replicated three times.
Except for drainage at mid-season, the field was continuously flooded with 2−3 cm of water remaining until one week before harvest. Throughout the growing phase, diseases, insects, and weeds were tightly managed. Table 1 displays the monthly totals of precipitation and sunlight hours, as well as monthly average temperatures, for the rice-growing seasons from 2018 to 2022 (excluding 2020).
Table 1.
Precipitation and sunshine hours (monthly totals) and temperatures (monthly averages) during the 2018, 2019, 2021, and 2022 rice-growing seasons in Shanghai, southeast China.
2.2. Sampling and Measurements
Grain Yield and Yield Components
To eliminate border effects, the plants in the two rows on either side of the plot were eliminated. Grain yield was calculated from 5 plants in each plot and corrected for moisture content of 14%. The number of panicles per square meter, spikelet number per panicle, percentage of filled grains, and grain weight were calculated from 5 plants (excluding the border ones) picked at random from each plot. The percentage of filled grains was calculated as the filled grains (specific gravity ≥ 1.06 g cm−3) divided by the total number of spikelets.
2.3. Statistical Analysis
SAS/STAT (version 6.12, SAS Institute, Cary, NC, USA), a statistical analysis package, was used for analysis of variance (version 6.12, SAS Institute, Cary, NC, USA). Graphs were created using SigmaPlot 11.0 (SPSS Inc., Point Richmond, CA, USA) and R 4.0.2 (R Core Team, Vienna, Austria, 2020). The correlation coefficient matrix and violin box of the data were carried out using the R packages ‘corrploof’ and ‘ggplot2′. Data from each sample date were reviewed individually in each experiment. To separate the means, the least significant difference was employed at p < 0.05 (LSD0.05).
3. Results
3.1. Grain Yield
The grain yield variation range of different super-low-yield and low-yield rice varieties were greater than that of high-yield rice varieties (Figure 1A,B). The grain yield of high-yield varieties was 189.3−195.6%, 76.1−77.7%, and 27.0−28.7% higher than that of super-low-yield, low-yield, and medium-yield varieties, respectively (Figure 1C,D).
Figure 1.
Grain yield of rice varieties with different yield types (A,B) and the average grain yield of each yield type (C,D) in 2019 (A,C) and 2021 (B,D). 99Z, C7, GLA4, LCZ1, LJXTHG, SAR, SCL, YZZD, ZC9, ZXN, AN, BEN, CPY, DC, HLD, IR, LH1, LSN, PAA64S, TAX, YL, BDM, DAE, GHH, HEU, HKLLQ, HLHM, HXJD, KOS, PDG, TSU, XQZA, ZYN, ASA, DAS, HE18, XQZB, and YUM represent 99Z−239, Chuang 7, Guangluai 4, Luchuangzao 1, Lijiangxintuanheiguo, Sariqueen, Sanlicun, Yuanzizhandao, Zhechang 9, Zixiangnuo, Ainuo, Beniroman, CPY 2199, Daochi, Hanlundao, IR 30, Lunhui 1, Lishuinuo, Peiai64S, Aitexuan, Yuli, Baimangdao, Daelip 1, Guihuahuang, Heuknambyeo, Hongkelaolaiqing, Heilongheimi, Huaxijiandao, Koshihikari, Pandiegu, Tsukushiakamochi, Xieqingzao A, Zhuyunnuo, Asamurasaki, Dasanbyeo, Hejiang 18, Xieqingzao B, and Yumetoiro, respectively.
3.2. Panicles
The variation range of panicles per m2 of varieties with different yield types was high (Figure 2A,B). In general, the panicles of super-low-yield varieties were lower than that of other types of rice varieties (Figure 2C,D).
Figure 2.
Panicles of rice varieties with different yield types (A,B) and the average panicles of each yield type (C,D) in 2019 (A,C) and 2021 (B,D). 99Z, C7, GLA4, LCZ1, LJXTHG, SAR, SCL, YZZD, ZC9, ZXN, AN, BEN, CPY, DC, HLD, IR, LH1, LSN, PAA64S, TAX, YL, BDM, DAE, GHH, HEU, HKLLQ, HLHM, HXJD, KOS, PDG, TSU, XQZA, ZYN, ASA, DAS, HE18, XQZB, and YUM represent 99Z−239, Chuang 7, Guangluai 4, Luchuangzao 1, Lijiangxintuanheiguo, Sariqueen, Sanlicun, Yuanzizhandao, Zhechang 9, Zixiangnuo, Ainuo, Beniroman, CPY 2199, Daochi, Hanlundao, IR 30, Lunhui 1, Lishuinuo, Peiai64S, Aitexuan, Yuli, Baimangdao, Daelip 1, Guihuahuang, Heuknambyeo, Hongkelaolaiqing, Heilongheimi, Huaxijiandao, Koshihikari, Pandiegu, Tsukushiakamochi, Xieqingzao A, Zhuyunnuo, Asamurasaki, Dasanbyeo, Hejiang 18, Xieqingzao B, and Yumetoiro, respectively.
3.3. Spikelet Number per Panicle
The variation range of spikelet number per panicle of low-yield and medium-yield rice varieties was more obvious than that of other yield types (Figure 3A,B). The spikelet number per panicle of high-yield rice varieties was 69.3−78.1%, 30.6−34.4%, and 27.3−30.5% higher than that of super-low-yield, low-yield, and medium-yield rice varieties, respectively (Figure 3C,D).
Figure 3.
Spikelet number per panicle of rice varieties with different yield types (A,B) and the average spikelet number per panicle of each yield type (C,D) in 2019 (A,C) and 2021 (B,D). 99Z, C7, GLA4, LCZ1, LJXTHG, SAR, SCL, YZZD, ZC9, ZXN, AN, BEN, CPY, DC, HLD, IR, LH1, LSN, PAA64S, TAX, YL, BDM, DAE, GHH, HEU, HKLLQ, HLHM, HXJD, KOS, PDG, TSU, XQZA, ZYN, ASA, DAS, HE18, XQZB, and YUM represent 99Z−239, Chuang 7, Guangluai 4, Luchuangzao 1, Lijiangxintuanheiguo, Sariqueen, Sanlicun, Yuanzizhandao, Zhechang 9, Zixiangnuo, Ainuo, Beniroman, CPY 2199, Daochi, Hanlundao, IR 30, Lunhui 1, Lishuinuo, Peiai64S, Aitexuan, Yuli, Baimangdao, Daelip 1, Guihuahuang, Heuknambyeo, Hongkelaolaiqing, Heilongheimi, Huaxijiandao, Koshihikari, Pandiegu, Tsukushiakamochi, Xieqingzao A, Zhuyunnuo, Asamurasaki, Dasanbyeo, Hejiang 18, Xieqingzao B, and Yumetoiro, respectively.
3.4. Total Spikelets
The change trend of total spikelets of rice varieties with different yield types was basically consistent with the change trend of grain yield (Figure 4).
Figure 4.
Total spikelets of rice varieties with different yield types (A,B) and the average total spikelets of each yield type (C,D) in 2019 (A,C) and 2021 (B,D). 99Z, C7, GLA4, LCZ1, LJXTHG, SAR, SCL, YZZD, ZC9, ZXN, AN, BEN, CPY, DC, HLD, IR, LH1, LSN, PAA64S, TAX, YL, BDM, DAE, GHH, HEU, HKLLQ, HLHM, HXJD, KOS, PDG, TSU, XQZA, ZYN, ASA, DAS, HE18, XQZB, and YUM represent 99Z−239, Chuang 7, Guangluai 4, Luchuangzao 1, Lijiangxintuanheiguo, Sariqueen, Sanlicun, Yuanzizhandao, Zhechang 9, Zixiangnuo, Ainuo, Beniroman, CPY 2199, Daochi, Hanlundao, IR 30, Lunhui 1, Lishuinuo, Peiai64S, Aitexuan, Yuli, Baimangdao, Daelip 1, Guihuahuang, Heuknambyeo, Hongkelaolaiqing, Heilongheimi, Huaxijiandao, Koshihikari, Pandiegu, Tsukushiakamochi, Xieqingzao A, Zhuyunnuo, Asamurasaki, Dasanbyeo, Hejiang 18, Xieqingzao B, and Yumetoiro, respectively.
3.5. Filled Grains
The filled grains of super low yield (Sariqueen) and low yield (CPY 2199, Daochi, and Hanlundao) were lower than those of other varieties (Figure 5A,B). The differences in filled grains among different yield types were relatively small (Figure 5C,D).
Figure 5.
Filled grains of rice varieties with different yield types (A,B) and the average filled grains of each yield type (C,D) in 2019 (A,C) and 2021 (B,D). 99Z, C7, GLA4, LCZ1, LJXTHG, SAR, SCL, YZZD, ZC9, ZXN, AN, BEN, CPY, DC, HLD, IR, LH1, LSN, PAA64S, TAX, YL, BDM, DAE, GHH, HEU, HKLLQ, HLHM, HXJD, KOS, PDG, TSU, XQZA, ZYN, ASA, DAS, HE18, XQZB, and YUM represent 99Z−239, Chuang 7, Guangluai 4, Luchuangzao 1, Lijiangxintuanheiguo, Sariqueen, Sanlicun, Yuanzizhandao, Zhechang 9, Zixiangnuo, Ainuo, Beniroman, CPY 2199, Daochi, Hanlundao, IR 30, Lunhui 1, Lishuinuo, Peiai64S, Aitexuan, Yuli, Baimangdao, Daelip 1, Guihuahuang, Heuknambyeo, Hongkelaolaiqing, Heilongheimi, Huaxijiandao, Koshihikari, Pandiegu, Tsukushiakamochi, Xieqingzao A, Zhuyunnuo, Asamurasaki, Dasanbyeo, Hejiang 18, Xieqingzao B, and Yumetoiro, respectively.
3.6. Grain Weight
The variation range of grain weight of super-low-yield rice varieties was larger than that of other types of varieties (Figure 6A,B). The grain weight increased with the increase in yield level (Figure 6C,D).
Figure 6.
Grain weight of rice varieties with different yield types (A,B) and the average grain weight of each yield type (C,D) in 2019 (A,C) and 2021 (B,D). 99Z, C7, GLA4, LCZ1, LJXTHG, SAR, SCL, YZZD, ZC9, ZXN, AN, BEN, CPY, DC, HLD, IR, LH1, LSN, PAA64S, TAX, YL, BDM, DAE, GHH, HEU, HKLLQ, HLHM, HXJD, KOS, PDG, TSU, XQZA, ZYN, ASA, DAS, HE18, XQZB, and YUM represent 99Z−239, Chuang 7, Guangluai 4, Luchuangzao 1, Lijiangxintuanheiguo, Sariqueen, Sanlicun, Yuanzizhandao, Zhechang 9, Zixiangnuo, Ainuo, Beniroman, CPY 2199, Daochi, Hanlundao, IR 30, Lunhui 1, Lishuinuo, Peiai64S, Aitexuan, Yuli, Baimangdao, Daelip 1, Guihuahuang, Heuknambyeo, Hongkelaolaiqing, Heilongheimi, Huaxijiandao, Koshihikari, Pandiegu, Tsukushiakamochi, Xieqingzao A, Zhuyunnuo, Asamurasaki, Dasanbyeo, Hejiang 18, Xieqingzao B, and Yumetoiro, respectively.
3.7. Correlation between Yield and Yield Components of 38 Rice Varieties with Various Yield Types in Experiment 1
There was a significant positive association between grain yield and spikelet number per panicle, total spikelets, and grain weight, and the correlation with total spikelets was the largest. The total number of spikelets was significantly positively linked with the panicles and the spikelet number per panicle (especially) (Figure 7).
Figure 7.
Correlation between yield and yield components of rice varieties with different yield types. GY, PP, SP, TS, FG, and GW represent, grain yield, panicles per m2, spikelet number per panicle, filled grains, and grain weight, respectively. *, **, and *** indicate significant correlations at p < 0.05, p < 0.01, and p < 0.001, respectively.
3.8. Correlation between Yield and Yield Components of 185 Rice Varieties in Experiment 2
There was a significant positive correlation between rice yield and panicles per m2, spikelet number per panicle, total spikelets, filled grains, and grain weight. And the correlation coefficients of grain yield with spikelet number per panicle and total spikelets were larger, reaching 0.393 and 0.671, respectively (Figure 8).
Figure 8.
Correlation between yield and yield components of different rice varieties. ** indicates significant correlations at p < 0.01.
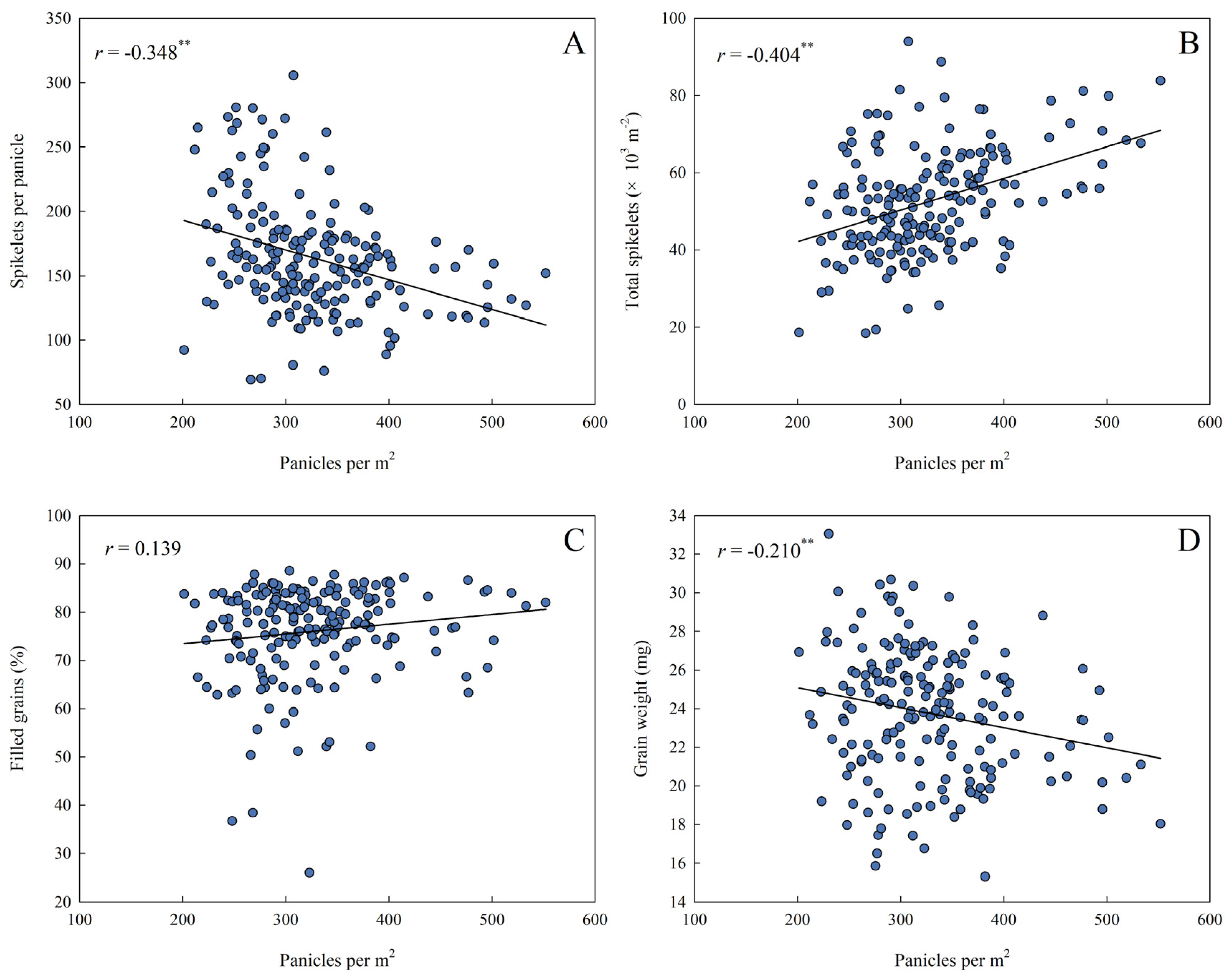
There was a significant negative correlation between panicles and spikelet number per panicle, total spikelets, and grain weight (Figure 9). The spikelet number per panicle was significantly positively correlated with the total spikelets, and it was significantly negatively correlated with the filled grains and grain weight (Figure 10A−C). There was a significant negative correlation among total spikelets, filled grains, and grain weight (Figure 10D−F).
Figure 9.
Correlation between panicles and spikelet number per panicle, total spikelets, filled grains, and grain weight of different rice varieties.** indicates significant correlations at p < 0.01.
Figure 10.
Correlation among spikelet number per panicle, total spikelets, filled grains, and grain weight of different rice varieties. * and ** indicate significant correlations at p < 0.05 and p < 0.01, respectively.
3.9. Effects of TNAR on Yield and Yield Components of Rice Varieties with Various Yield Type in Experiment 3
The panicles per m2, spikelet number per panicle, and total number of spikelets rose as TNAR increased; however, the filled grains and grain weight declined. The increase in the total number of spikelets was the main factor for the high yield under medium TNAR (Table 2).
Table 2.
Effects of total nitrogen application rate on yield and yield components of rice varieties with different yield types.
4. Discussion
Total spikelets per unit area (panicles per unit area × spikelet number per panicle), filled grains, and grain weight are the components of rice yield [23,24]. Previous studies have demonstrated that the large rise in spikelet number per panicle and total spikelets was the primary cause of grain yield throughout variety development [25,26]. Modern rice varieties often showed high total spikelets, but a low and unstable percentage of filled grains [27]. Rice yield may be increased by cultivating large panicle size types, increasing the spikelet number per panicle, and stabilizing the filled grains [28]. Previous studies have found that different rice varieties have various ways of obtaining a high yield. Some of them obtained a high yield with more panicles per unit area and a high number of filled grains under the condition of the same spikelet number per panicle and grain weight [29]. Some obtained a high yield with high grain weight and filled grains under the condition of the same total spikelets [30]. Others obtained a high yield with a high number of total spikelets under the condition of the same grain weight and filled grains [31]. According to the findings of this research, the grain yield of high-yield rice varieties was much greater than that of other kinds of rice varieties. The high yield was mostly due to the huge number of spikelets per panicle and total spikelets in rice.
Rice yield depends on the size of sink capacity and the degree of grain filling [32,33]. Large sink, strong source, and smooth flow are radical features of high-yield rice population [34,35]. This study also observed that the total spikelets were negatively correlated with filled grains and grain weight. Compared with other yield types, high yield varieties had more total spikelets, but lower filled grains and grain weight, which also limited further improvement of their yield levels in rice. Grain weight depends on grain husk size and endosperm filling degree. The grain husk size is mostly controlled by genetic factors, and the endosperm filling degree is related to the light and nutrient conditions at the filling stage [36]. Therefore, trying to improve the temperature and light resources and nutritional conditions of high-yield rice varieties would help to boost their filled grains and grain weight, and further increase yield [32,33].
Rational NAR is a material management measure to increase rice yield [37,38]. Previous studies have shown that applying nitrogen fertilizer correctly may enhance the main root morphological and physiological indexes and boost grain yield in rice [39]. At the same time, NAR under straw returning could improve soil properties, soil organic carbon storage, and thus improve grain yield and N use efficiency in rice [40]. In the rice–wheat rotation system, NAR combined with organic fertilizer could increase rice yield, reduce greenhouse gas emissions, and achieve sustainability of rice and wheat production [41]. Deep nitrogen fertilizer placement boosted rice yield and energy production efficiency in various mechanical rice production systems [42]. In this research, it was discovered that compared with no TNAR, the total number of spikelets and grain yield were increased under the appropriate TNAR (160 and 250 kg ha−1). However, too high a TNAR (340 kg ha−1) would significantly reduce filled grains and grain weight, thereby inhibiting rice yield. On the one hand, this may be due to the excessive ineffective growth of rice under high TNAR, and the deterioration of population structure, which was not conducive to yield formation [43,44]. On the other hand, excessive nitrogen metabolism levels will inhibit the activity of α-amylase in stems, which is harmful to the non-structural carbohydrate translocation from stems to grains, thus reducing rice yield [45]. Appropriate TNAR could coordinate the negative correlation between total spikelets and filled grains and grain weight, ultimately improving rice yield. As only two varieties were compared, this is, at best, a preliminary result in TNAR experimentation that requires further research using a greater number and better representation of a genetically diverse set of varieties in the future.
5. Conclusions
The grain yield of high-yield rice varieties was much greater than that of rice varieties with other yield types. The large spikelet number per panicle and total spikelets were the primary factors for a high yield in rice. An appropriate increase in TNAR (0−250 kg ha−1) could increase the total number of spikelets, thereby improving rice yield. Excessive TNAR (340 kg ha−1) would aggravate the contradiction between total spikelets and filled grains and grain weight, thereby reducing rice yield.
Supplementary Materials
The following supporting information can be downloaded at: https://www.mdpi.com/article/10.3390/agronomy14010152/s1, Figure S1: Grain yield of different rice varieties in 2018. 99Z, C7, GLA4, LCZ1, LJXTHG, SAR, SCL, YZZD, ZC9, ZXN, AN, BEN, CPY, DC, HLD, IR, LH1, LSN, PAA64S, TAX, YL, BDM, DAE, GHH, 2.HEU, HKLLQ, HLHM, HXJD, KOS, PDG, TSU, XQZA, ZYN, ASA, DAS, HE18, XQZB, and YUM represent 99Z−239, Chuang 7, Guangluai 4, Luchuangzao 1, Lijiangxintuanheiguo, Sariqueen, Sanlicun, Yuanzizhandao, Zhechang 9, Zixiangnuo, Ainuo, Beniroman, CPY 2199, Daochi, Hanlundao, IR 30, Lunhui 1, Lishuinuo, Peiai64S, Aitexuan, Yuli, Baimangdao, Daelip 1, Guihuahuang, Heuknambyeo, Hongkelaolaiqing, Heilongheimi, Huaxijiandao, Koshihikari, Pandiegu, Tsukushiakamochi, Xieqingzao A, Zhuyunnuo, Asamurasaki, Dasanbyeo, Hejiang 18, Xieqingzao B, and Yumetoiro, respectively; Table S1: Variety, origin, and type of different rice varieties.; Table S2: Variety of different rice varieties.
Author Contributions
Formal analysis, conceptualization, investigation, data curation, and writing—original draft, K.L.; methodology and supervision, K.Z., Y.Z. (Yu Zhang), J.C., Z.L. and J.H. (Jian Huang); investigation, S.L., J.Z. and S.D.; visualization and software, Y.Z. (Yiying Zhang); data curation and investigation, J.H. (Jingyan Huang) and L.R.; funding acquisition, methodology, resources, supervision, project administration, and writing—review and editing, Y.C., H.Z. and H.C. All authors have read and agreed to the published version of the manuscript.
Funding
This work was supported by the plant germplasm evaluation and preservation, zbcx 1-3, Agricultural Science and Technology Innovation Support Project of Shanghai Academy of Agricultural Sciences [Nongkeyingji 2023(09) and 2022(09)], and the General Program (Key Program) of Modern Agriculture of Jiangsu, China (BE2023346).
Data Availability Statement
The datasets supporting the conclusions of this article are included in the article and its Supplementary Files.
Conflicts of Interest
The authors declare no conflict of interest.
References
- Wei, H.; Zhang, H.; Blumwald, E.; Li, H.; Cheng, J.; Dai, Q.; Huo, Z.; Xu, K.; Guo, B. Different characteristics of high yield formation between inbred japonica super rice and inter-sub-specific hybrid super rice. Field Crops Res. 2016, 198, 179–187. [Google Scholar] [CrossRef]
- Meng, T.; Zhang, X.; Ge, J.; Chen, X.; Zhu, G.; Chen, Y.; Zhou, G.; Wei, H.; Dai, Q. Improvements in grain yield and nutrient utilization efficiency of japonica inbred rice released since the 1980s in eastern China. Field Crops Res. 2022, 277, 108427. [Google Scholar] [CrossRef]
- Wei, H.; Meng, T.; Ge, J.; Zhang, X.; Lu, Y.; Li, X.; Tao, Y.; Ding, E.; Chen, Y.; Dai, Q. Morpho-physiological traits contributing to better yield performance of japonica/indica hybrids over indica hybrids under input-reduced practices. J. Integr. Agric. 2020, 19, 2643–2655. [Google Scholar] [CrossRef]
- Huang, J.; Chen, Z.; Lin, J.; Guan, B.; Chen, J.; Zhang, Z.; Chen, F.; Jiang, L.; Zheng, J.; Wang, T.; et al. gw2.1, a new allele of GW2, improves grain weight and grain yield in rice. Plant Sci. 2022, 325, 111495. [Google Scholar] [CrossRef] [PubMed]
- Zhao, Y.; Zhang, X.; Cheng, Y.; Du, X.; Teotia, S.; Miao, C.; Sun, H.; Fan, G.; Tang, G.; Xue, H.; et al. The miR167-OsARF12 module regulates rice grain filling and grain size downstream of miR159. Plant Commun. 2023, 4, 100604. [Google Scholar] [CrossRef]
- Huang, L.; Sun, F.; Yuan, S.; Peng, S.; Wang, F. Different mechanisms underlying the yield advantage of ordinary hybrid and super hybrid rice over inbred rice under low and moderate N input conditions. Field Crops Res. 2018, 216, 150–157. [Google Scholar] [CrossRef]
- Zhou, Y.; Xu, L.; Zhang, J.; Li, W.; Jiang, Y.; Wang, S.; Ding, Y.; Liu, Z.; Li, G. Low N apparent surplus with higher rice yield under long-term fertilizer postponing in the rice-wheat cropping system. Crop J. 2022, 10, 1178–1186. [Google Scholar] [CrossRef]
- Chen, S.; Elrys, A.S.; Zhao, C.; Cai, Z.; Zhang, J.; Müller, C. Global patterns and controls of yield and nitrogen use efficiency in rice. Sci. Total Environ. 2023, 898, 165484. [Google Scholar] [CrossRef]
- Shen, Y.; Wang, K.; Zhao, Y.; Yang, L.; Liu, W.; Yin, T.; Wang, X.; Ran, X.; Guo, H.; Ma, Y.; et al. Nitrogen fertilizer alleviates rice yield loss without increasing global warming potential under elevated temperatures. Field Crops Res. 2023, 298, 108972. [Google Scholar] [CrossRef]
- Wang, Z.; Zhang, W.; Beebout, S.S.; Zhang, H.; Liu, L.; Yang, J.; Zhang, J. Grain yield, water and nitrogen use efficiencies of rice as influenced by irrigation regimes and their interaction with nitrogen rates. Field Crops Res. 2016, 193, 54–69. [Google Scholar] [CrossRef]
- Ju, C.; Zhu, Y.; Liu, T.; Sun, C. The effect of nitrogen reduction at different stages on grain yield and nitrogen use efficiency for nitrogen efficient rice varieties. Agronomy 2021, 11, 462. [Google Scholar] [CrossRef]
- Peng, S.; Buresh, R.J.; Huang, J.; Zhong, X.; Zou, Y.; Yang, J.; Wang, G.; Liu, Y.; Hu, R.; Tang, Q.; et al. Improving nitrogen fertilization in rice by site-specific N management. Agron. Sustain. Dev. 2011, 30, 649–656. [Google Scholar] [CrossRef]
- Wei, H.; Meng, T.; Ge, J.; Zhang, X.; Shi, T.; Ding, E.; Lu, Y.; Li, X.; Tao, Y.; Chen, Y.; et al. Reduced nitrogen application rate with dense planting improves rice grain yield and nitrogen use efficiency: A case study in east China. Crop J. 2021, 9, 954–961. [Google Scholar] [CrossRef]
- Zhou, C.; Huang, Y.; Jia, B.; Wang, S.; Dou, F.; Samonte, S.O.; Chen, K.; Wang, Y. Optimization of nitrogen rate and planting density for improving the grain yield of different rice genotypes in northeast China. Agronomy 2019, 9, 555. [Google Scholar] [CrossRef]
- Zhang, W.J.; Li, G.H.; Yang, Y.M.; Li, Q.; Zhang, J.; Liu, J.Y.; Wang, S.; Tang, S.; Ding, Y. Effect of nitrogen application rate and ratio on lodging resistance of super rice with different genotypes. J. Integr. Agric. 2013, 13, 63–72. [Google Scholar] [CrossRef]
- Xu, L.; Yuan, S.; Wang, X.; Yu, X.; Peng, S. High yields of hybrid rice do not require more nitrogen fertilizer than inbred rice: A meta-analysis. Food Energy Secur. 2021, 10, e276. [Google Scholar] [CrossRef]
- Wang, X.; Zhu, H.; Yan, B.; Chen, L.; Shutes, B.; Wang, M.; Lyu, J.; Zhang, F. Ammonia volatilization, greenhouse gas emissions and microbiological mechanisms following the application of nitrogen fertilizers in a saline-alkali paddy ecosystem. Geoderma 2023, 433, 116460. [Google Scholar] [CrossRef]
- Wang, Z.; Gu, D.; Beebout, S.S.; Zhang, H.; Liu, L.; Yang, J.; Zhang, J. Effect of irrigation regime on grain yield, water productivity, and methane emissions in dry direct-seeded rice grown in raised beds with wheat straw incorporation. Crop J. 2018, 6, 495–508. [Google Scholar] [CrossRef]
- Chen, Y.; Li, S.; Zhang, Y.; Li, T.; Ge, H.; Xia, S.; Gu, J.; Zhang, H.; Lü, B.; Wu, X.; et al. Rice root morphological and physiological traits interaction with rhizosphere soil and its effect on methane emissions in paddy fields. Soil Biol. Biochem. 2019, 129, 191–200. [Google Scholar] [CrossRef]
- Yi, J.; Gao, J.; Zhang, W.; Xin, W.; Zhao, Y.; Li, Z.; Zhao, C.; Zhao, Y. Uptake and utilization of different nitrogen forms in erect panicle japonica rice cultivar. J. Plant Interact. 2019, 14, 397–406. [Google Scholar] [CrossRef]
- Gao, Y.; Xu, Z.; Zhang, L.; Li, S.; Wang, S.; Yang, H.; Liu, X.; Zeng, D.; Liu, Q.; Qian, Q.; et al. MYB61 is regulated by GRF4 and promotes nitrogen utilization and biomass production in rice. Nat. Commun. 2020, 11, 1723–2041. [Google Scholar] [CrossRef] [PubMed]
- Zhang, S.; Zhu, L.; Shen, C.; Ji, Z.; Zhang, H.; Zhang, T.; Li, Y.; Yu, J.; Yang, N.; He, Y.; et al. Natural allelic variation in a modulator of auxin homeostasis improves grain yield and nitrogen use efficiency in rice. Plant Cell 2020, 33, 566–580. [Google Scholar] [CrossRef] [PubMed]
- He, L.; Ashraf, U.; Du, B.; Lai, R.; Luo, H.; Abrar, M.; Tang, X. Increased seedlings per hill compensates yield loss due to zero tillage in machine-trans planted fragrant rice. Crop Sci. 2020, 60, 2683–2694. [Google Scholar] [CrossRef]
- Yin, C.; Zhu, Y.; Li, X.; Lin, Y. Molecular and genetic aspects of grain number determination in rice (Oryza sativa L.). Int. J. Mol. Sci. 2021, 22, 728. [Google Scholar] [CrossRef] [PubMed]
- Zhang, H.; Chen, T.T.; Liu, L.J.; Wang, Z.Q.; Yang, J.C.; Zhang, J.H. Performance in grain yield and physiological traits of rice in the Yangtze River Basin of China during the last 60 yr. J. Integr. Agric. 2013, 12, 57–66. [Google Scholar] [CrossRef]
- Zhang, H.; Liu, H.; Hou, D.; Zhou, Y.; Liu, M.; Wang, Z.; Liu, L.; Gu, J.; Yang, J. The effect of integrative crop management on root growth and methane emission of paddy rice. Crop J. 2019, 7, 445–457. [Google Scholar] [CrossRef]
- Huang, M.; Zou, Y.; Jiang, P.; Md, I.; AO, H. Relationship between grain yield and yield components in super hybrid rice. Agric. Sci. China 2011, 10, 1537–1544. [Google Scholar] [CrossRef]
- Ke, J.; Sun, J.; Chen, T.; Tao, S.; Zhu, T.; Yin, C.; He, H.; You, C.; Wu, L.; Guo, S. Effects of mixed fertilizers formed by the compounding of two targeted controlled-release nitrogen fertilizers on yield, nitrogen use efficiency, and ammonia volatilization in double-cropping rice. Crop J. 2023, 11, 628–637. [Google Scholar] [CrossRef]
- Meng, T.Y.; Li, X.Y.; Li, C.; Wei, H.H.; Shi, T.Y.; Ma, R.R.; Wang, X.Y.; Yang, J.W.; Dai, Q.G.; Zhang, H.C. Plant-type characteristics of high-yielding lines of Yongyou japonica/indica hybrid rice with medium maturity. Chin. J. Rice Sci. 2016, 30, 170–180. [Google Scholar] [CrossRef]
- Guo, B.W.; Li, C.; Wei, H.H.; Wang, Z.J.; Xu, K.; Zhang, H.C.; Dai, Q.G.; Huo, Z.Y.; Wei, H.Y. Yield difference and its formation mechanism of indica-japonica hybrid rice of Yongyou series in different types of plant height. J. Nucl. Agric. Sci. 2017, 31, 135–144. [Google Scholar] [CrossRef]
- Xu, D.; Zhu, Y.; Zhou, L.; Han, C.; Zhen, L.M.; Zhang, H.C.; Wei, H.Y.; Wang, J.; Miao, A.H.; Cai, S.B. Differences in yield and grain quality among various types of indica/japonica hybrid rice and correlation between quality and climatic factors during grain filling period. Acta Agron. Sin. 2018, 44, 1548–1559. [Google Scholar] [CrossRef]
- Liu, K.; Chen, Y.; Huang, J.; Qiu, Y.; Li, S.; Zhuo, X.; Yu, F.; Gao, J.; Li, G.; Zhang, W.; et al. Spikelet differentiation and degeneration in rice varieties with different panicle sizes. Food Energy Secur. 2021, 11, e320. [Google Scholar] [CrossRef]
- Liu, K.; Li, T.; Chen, Y.; Huang, J.; Qiu, Y.; Li, S.; Wang, H.; Zhu, A.; Zhuo, X.; Yu, F.; et al. Effects of root morphology and physiology on the formation and regulation of large panicles in rice. Field Crops Res. 2020, 258, 107946. [Google Scholar] [CrossRef]
- Meng, T.; Wei, H.; Li, X.; Dai, Q.; Huo, Z. A better root morpho-physiology after heading contributing to yield superiority of japonica/indica hybrid rice. Field Crops Res. 2018, 228, 135–146. [Google Scholar] [CrossRef]
- Sun, T.; Liu, B.; Hasegawa, T.; Liao, Z.; Tang, L.; Liu, L.; Cao, W.; Zhu, Y. Sink-source unbalance leads to abnormal partitioning of biomass and nitrogen in rice under extreme heat stress: An experimental and modeling study. Eur. J. Agron. 2023, 142, 126678. [Google Scholar] [CrossRef]
- Xing, Z.; Wu, P.; Zhu, M.; Qian, H.; Hu, Y.; Guo, B.; Wei, H.; Xu, K.; Huo, Z.; Dai, Q.; et al. Temperature and solar radiation utilization of rice for yield formation with different mechanized planting methods in the lower reaches of the Yangtze River, China. J. Integr. Agric. 2017, 16, 1923–1935. [Google Scholar] [CrossRef]
- Hu, Q.; Liu, T.; Ding, H.; Guo, L.; Li, C.; Jiang, Y.; Cao, C. Application rates of nitrogen fertilizers change the pattern of soil organic carbon fractions in a rice-wheat rotation system in China. Agric. Ecosyst. Environ. 2022, 338, 108081. [Google Scholar] [CrossRef]
- Alhaj Hamoud, Y.; Shaghaleh, H.; Guo, X.; Zhang, K. pH-responsive/sustained release nitrogen fertilizer hydrogel improves yield, nitrogen metabolism, and nitrogen use efficiency of rice under alternative wetting and moderate drying irrigation. Environ. Exp. Bot. 2023, 211, 105376. [Google Scholar] [CrossRef]
- Xin, W.; Liu, H.; Zhao, H.; Wang, J.; Zheng, H.; Jia, Y.; Yang, L.; Wang, X.; Li, J.; Li, X.; et al. The response of grain yield and root morphological and physiological traits to nitrogen levels in paddy rice. Front. Plant Sci. 2021, 12, 713814. [Google Scholar] [CrossRef]
- Xie, J.; Evgenia, B.; Zhang, Y.; Wan, Y.; Hu, Q.; Zhang, C.; Wang, J.; Zhang, Y.; Shi, X. Substituting nitrogen and phosphorus fertilizer with optimal amount of crop straw improves rice grain yield, nutrient use efficiency and soil carbon sequestration. J. Integr. Agric. 2022, 21, 3345–3355. [Google Scholar] [CrossRef]
- Zhang, X.; Sun, H.; Wang, C.; Zhang, J.; Zhou, S. Optimizing Fertilizer Management mitigated net greenhouse gas emissions in a paddy rice-upland wheat rotation system: A ten-year in situ observation of the Yangtze River Delta, China. Agric. Ecosyst. Environ. 2023, 356, 108640. [Google Scholar] [CrossRef]
- Li, L.; Wang, Y.; Nie, L.; Ashraf, U.; Wang, Z.; Zhang, Z.; Wu, T.; Tian, H.; Hamoud, Y.A.; Tang, X.; et al. Deep placement of nitrogen fertilizer increases rice yield and energy production efficiency under different mechanical rice production systems. Field Crops Res. 2022, 276, 108359. [Google Scholar] [CrossRef]
- Huang, L.; Yang, D.; Li, X.; Peng, S.; Wang, F. Coordination of high grain yield and high nitrogen use efficiency through large sink size and high post-heading source capacity in rice. Field Crops Res. 2019, 233, 49–58. [Google Scholar] [CrossRef]
- Qiao, J.; Wang, J.; Zhao, D.; Zhou, W.; Schwenke, G.; Yan, T.; Liu, D.L. Optimizing N fertilizer rates sustained rice yields, improved N use efficiency, and decreased N losses via runoff from rice-wheat cropping systems. Agric. Ecosyst. Environ. 2022, 324, 107724. [Google Scholar] [CrossRef]
- Liu, K.; Zhou, S.; Li, S.; Wang, J.; Wang, W.; Zhang, W.; Zhang, H.; Gu, J.; Yang, J.; Liu, L. Differences and mechanisms of post-anthesis dry matter accumulation in rice varieties with different yield levels. Crop Environ. 2022, 1, 262–272. [Google Scholar] [CrossRef]
Disclaimer/Publisher’s Note: The statements, opinions and data contained in all publications are solely those of the individual author(s) and contributor(s) and not of MDPI and/or the editor(s). MDPI and/or the editor(s) disclaim responsibility for any injury to people or property resulting from any ideas, methods, instructions or products referred to in the content. |
© 2024 by the authors. Licensee MDPI, Basel, Switzerland. This article is an open access article distributed under the terms and conditions of the Creative Commons Attribution (CC BY) license (https://creativecommons.org/licenses/by/4.0/).









