Machine Learning and Conventional Methods for Reference Evapotranspiration Estimation Using Limited-Climatic-Data Scenarios
Abstract
:1. Introduction
2. Materials and Methods
2.1. Study Area and Data Sources
2.2. Penman–Monteith FAO Model
2.3. Model Development and Statistical Tests
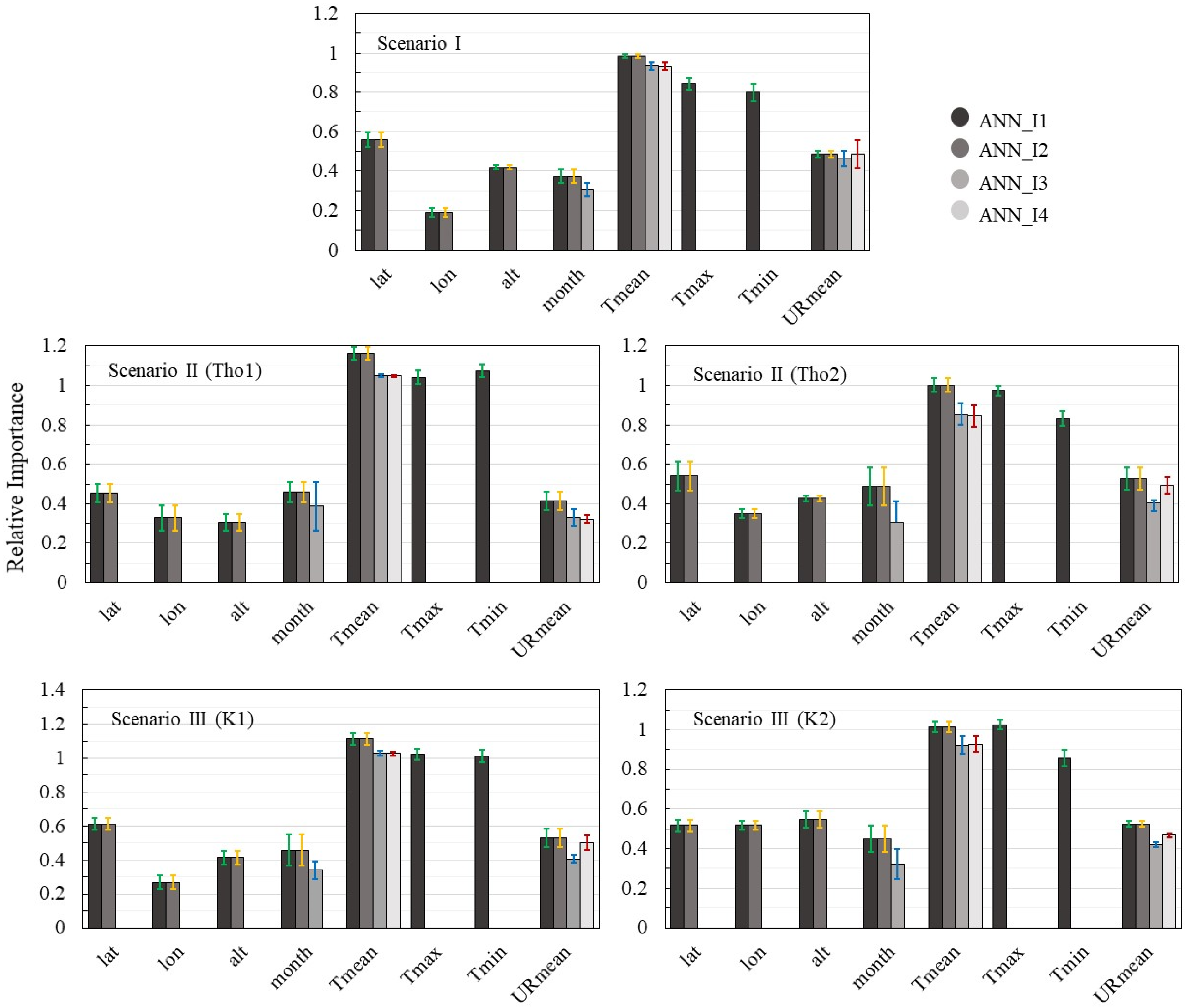
2.4. Artificial Neural Networks (ANN)
2.5. Support Vector Machine (SVM)
2.6. Random Forest (RF)
2.7. Multiple Linear Regression (MLR)
3. Results and Discussion
4. Conclusions
Author Contributions
Funding
Data Availability Statement
Conflicts of Interest
References
- Souza, L.S.B.; Silva, M.T.L.; Alba, E.; Moura, M.S.B.; Cruz Neto, J.F.; Souza, C.A.A.; Silva, T.G.F. New method for estimating reference evapotranspiration and comparison with alternative methods in a fruit-producing hub in the semi-arid region of Brazil. Theor. Appl. Climatol. 2022, 149, 593–602. [Google Scholar] [CrossRef]
- Wen, X.; Si, J.; He, Z.; Wu, J.; Shao, H.; Yu, H. Support-vector-machine-based models for modeling daily reference evapotranspiration with limited climatic data in extreme arid regions. Water Resour. Manag. 2015, 29, 3195–3209. [Google Scholar] [CrossRef]
- Yassin, M.A.; Alazba, A.A.; Mattar, M.A. Artificial neural networks versus gene expression programming for estimating reference evapotranspiration in arid climate. Agric. Water Manag. 2016, 163, 110–124. [Google Scholar] [CrossRef]
- Kumar, M.; Raghuwanshi, N.S.; Singh, R.; Wallender, W.W.; Pruitt, W.O. Estimating evapotranspiration using artificial neural network. J. Irrig. Drain. Eng. 2002, 128, 224–233. [Google Scholar] [CrossRef]
- Ning, M.; Jozsef, S.; Zhang, Y. Calibration-free complementary relationship estimates terrestrial evapotranspiration globally. Water Resour. Res. 2021, 57, e2021WR029691. [Google Scholar]
- Yu, L.; Qiu, G.Y.; Yan, C.; Zhao, W.; Zou, Z.; Ding, J.; Xiong, Y. A global terrestrial evapotranspiration product based on the three-temperature model with fewer input parameters and no calibration requirement. Earth Syst. Sci. Data 2022, 14, 3673–3693. [Google Scholar] [CrossRef]
- Almorox, J.; Quej, V.H.; Martí, P. Global performance ranking of temperature-based approaches for evapotranspiration estimation considering Köppen climate classes. J. Hydrol. 2015, 528, 514–522. [Google Scholar] [CrossRef]
- Yang, Q.; Ma, Z.; Zheng, Z.; Duan, Y. Sensitivity of potential evapotranspiration estimation to the Thornthwaite and Penman–Monteith methods in the study of global drylands. Adv. Atmos. Sci. 2017, 34, 1381–1394. [Google Scholar] [CrossRef]
- Ewaid, S.H.; Abed, S.A.; Al-Ansari, N. Crop water requirements and irrigation schedules for some major crops in Southern Iraq. Water 2019, 11, 756. [Google Scholar] [CrossRef]
- Xiang, K.; Li, Y.; Horton, R.; Feng, H. Similarity and difference of potential evapotranspiration and reference crop evapotranspiration—A review. Agric. Water Manag. 2020, 232, 106043. [Google Scholar] [CrossRef]
- Benali, L.; Notton, G.; Fouilloy, A.; Voyant, C.; Dizene, R. Solar radiation forecasting using artificial neural network and random forest methods: Application to normal beam, horizontal diffuse and global components. Renew. Energy 2019, 132, 871–884. [Google Scholar] [CrossRef]
- Ferreira, L.B.; Cunha, F.F.; Oliveira, R.A.; Fernandes Filho, E.I. Estimation of reference evapotranspiration in Brazil with limited meteorological data using ANN and SVM–A new approach. J. Hydrol. 2019, 572, 556–570. [Google Scholar] [CrossRef]
- Malik, A.; Kumar, A.; Ghorbani, M.A.; Kashani, M.H.; Kisi, O.; Kim, S. The viability of co-active fuzzy inference system model for monthly reference evapotranspiration estimation: Case study of Uttarakhand State. Hydrol. Res. 2019, 50, 1623–1644. [Google Scholar] [CrossRef]
- Sattari, M.T.; Apaydin, H.; Band, S.S.; Mosavi, A.; Prasad, R. Comparative analysis of kernel-based versus ANN and deep learning methods in monthly reference evapotranspiration estimation. Hydrol. Earth Syst. Sci. 2021, 25, 603–618. [Google Scholar] [CrossRef]
- Ferreira, L.B.; Da Cunha, F.F. New approach to estimate daily reference evapotranspiration based on hourly temperature and relative humidity using machine learning and deep learning. Agric. Water Manag. 2020, 234, 106–113. [Google Scholar] [CrossRef]
- Yin, Z.; Wen, X.; Feng, Q.; He, Z.; Zou, S.; Yang, L. Integrating genetic algorithm and support vector machine for modeling daily reference evapotranspiration in a semi-arid mountain area. Hydrol. Res. 2017, 48, 1177–1191. [Google Scholar] [CrossRef]
- Martí, P.; González-Altozano, P.; Gasque, M. Reference evapotranspiration estimation without local climatic data. Irrig. Sci. 2011, 29, 479–495. [Google Scholar] [CrossRef]
- Nourani, V.; Elkiran, G.; Abdullahi, J. Multi-station artificial intelligence based ensemble modeling of reference evapotranspiration using pan evaporation measurements. J. Hydrol. 2019, 577, 123958. [Google Scholar] [CrossRef]
- Feng, Y.; Cui, N.; Gong, D.; Zhang, Q.; Zhao, L. Evaluation of random forests and generalized regression neural networks for daily reference evapotranspiration modelling. Agric. Water Manag. 2017, 193, 163–173. [Google Scholar] [CrossRef]
- Wang, S.; Lian, J.; Peng, Y.; Hu, B.; Chen, H. Generalized reference evapotranspiration models with limited climatic data based on random forest and gene expression programming in Guangxi, China. Agric. Water Manag. 2019, 221, 220–230. [Google Scholar] [CrossRef]
- Zhou, X.; Zhu, X.; Dong, Z.; Guo, W. Estimation of biomass in wheat using random forest regression algorithm and remote sensing data. Crop. J. 2016, 4, 212–219. [Google Scholar]
- Vapnik, V. The Nature of Statistical Learning Theory; Springer: Berlin/Heidelberg, Germany, 2013; p. 188. [Google Scholar]
- Mohammadrezapour, O.; Piri, J.; Kisi, O. Comparison of SVM, ANFIS and GEP in modeling monthly potential evapotranspiration in an arid region (Case study: Sistan and Baluchestan Province, Iran). Water Supply 2019, 19, 392–403. [Google Scholar] [CrossRef]
- Shiri, J.; Nazemi, A.H.; Sadraddini, A.A.; Landeras, G.; Kisi, O.; Fard, A.F.; Marti, P. Comparison of heuristic and empirical approaches for estimating reference evapotranspiration from limited inputs in Iran. Comput. Electron. Agric. 2014, 108, 230–241. [Google Scholar] [CrossRef]
- Valipour, M.; Gholami Sefidkouhi, M.A.; Raeini−Sarjaz, M. Selecting the best model to estimate potential evapotranspiration with respect to climate change and magnitudes of extreme events. Agric. Water Manag. 2017, 180, 50–60. [Google Scholar] [CrossRef]
- Wang, Z.; Xie, P.; Lai, C.; Chen, X.; Wu, X.; Zeng, Z.; Li, J. Spatiotemporal variability of reference evapotranspiration and contributing climatic factors in China during 1961–2013. J. Hydrol. 2017, 544, 97–108. [Google Scholar] [CrossRef]
- Dou, X.; Yang, Y. Evapotranspiration estimation using four different ma-chine learning approaches in different terrestrial ecosystems. Comput. Electron. Agric. 2018, 148, 95–106. [Google Scholar] [CrossRef]
- Pozníková, G.; Fischer, M.; van Kesteren, B.; Orság, M.; Hlavinka, P.; Žalud, Z.; Trnka, M. Quantifying turbulent energy fluxes and evapotranspiration in agricultural field conditions: A comparison of micrometeorological methods. Agric. Water Manag. 2018, 209, 249–263. [Google Scholar] [CrossRef]
- Tang, D.; Feng, Y.; Gong, D.; Hao, W.; Cui, N. Evaluation of artificial intelligence models for actual crop evapotranspiration modeling in mulched and non-mulched maize croplands. Comput. Electron. Agric. 2018, 152, 375–384. [Google Scholar] [CrossRef]
- Zhang, Z.; Gong, Y.; Wang, Z. Accessible remote sensing data based reference evapotranspiration estimation modelling. Agric. Water Manag. 2018, 210, 59–69. [Google Scholar] [CrossRef]
- Granata, F. Evapotranspiration evaluation models based on machine learning algorithms—A comparative study. Agric. Water Manag. 2019, 217, 303–315. [Google Scholar] [CrossRef]
- Chen, Z.; Zhu, Z.; Jiang, H.; Sun, S. Estimating daily reference evapotran-spiration based on limited meteorological data using deep learning and classical machine learning methods. J. Hydrol. 2020, 591, 125286. [Google Scholar] [CrossRef]
- IBGE. Instituto Brasileiro de Geografia e Estatística. 2022. Available online: https://cidades.ibge.gov.br/brasil/mg (accessed on 28 April 2022).
- Allen, R.G.; Pereira, L.S.; Raes, D.; Smith, M. Crop Evapotranspiration—Guidelines for Computing Crop Water Requirements; FAO Irrigation and Drainage Paper 56; FAO: Rome, Italy, 1998; 297p. [Google Scholar]
- Thornthwaite, C.W. An approach toward a rational classification of climate. Geogr. Rev. 1948, 38, 55–94. [Google Scholar] [CrossRef]
- Alvares, C.A.; Stape, J.L.; Sentelhas, P.C.; Gonçalves, J.D.M.; Sparovek, G. Köppen’s climate classification map for Brazil. Meteorol. Z. 2013, 22, 711–728. [Google Scholar] [CrossRef] [PubMed]
- Martí, P.; González-Altozano, P.; López-Urrea, R.; Mancha, L.A.; Shiri, J. Modeling reference evapotranspiration with calculated targets. Assessment and implications. Agric. Water Manag. 2015, 149, 81–90. [Google Scholar] [CrossRef]
- Fausett, L. Fundamentals of Neural Networks: Architectures, Algorithms, and Applications; Pearson Education India Editora: Chennai, India, 1994; 461p. [Google Scholar]
- Berar, D. Cross-validation. In Encyclopedia of Bioinformatics and Computational Biology; Elsevier: Amsterdam, The Netherlands, 2019; pp. 542–545. [Google Scholar]
- Chang, C.C.; Lin, C.J. LIBSVM: A library for support vector machines. ACM Trans. Intell. Syst. Technol. 2011, 2, 1–27. [Google Scholar] [CrossRef]
- Xu, Y.; Knudby, A.; Ho, H.C. Estimating daily maximum air temperature from MODIS in British Columbia, Canada. Int. J. Remote Sens. 2014, 35, 8108–8121. [Google Scholar] [CrossRef]
- Wang, H.; Lei, M.; Chen, Y.; Li, M.; Zou, L. Intelligent identification of maceral components of coal based on image segmentation and classification. Appl. Sci. 2019, 9, 3245. [Google Scholar] [CrossRef]
- Schumacher, B.L.; Burchfield, E.K.; Bean, B.; Yost, M.A. Leveraging Important Covariate Groups for Corn Yield Prediction. Agriculture 2023, 13, 61. [Google Scholar] [CrossRef]
- Samadianfard, S.; Asadi, E.; Jarhan, S.; Kazemi, H.; Kheshtgar, S.; Kisi, O.; Manaf, A.A. Wavelet neural networks and gene expression programming models to predict short-term soil temperature at different depths. Soil Tillage Res. 2018, 175, 37–50. [Google Scholar] [CrossRef]
- Feng, Q.; Wen, X.; Li, J. Wavelet analysis-support vector machine coupled models for monthly rainfall forecasting in arid regions. Sustain. Water Resour. Manag. 2015, 29, 1049–1065. [Google Scholar] [CrossRef]
- Mehdizadeh, S.; Behmanesh, J.; Khalili, K. Using MARS, SVM, GEP and empirical equations for estimation of monthly mean reference evapotranspiration. Comput. Electron. Agric. 2017, 139, 103–114. [Google Scholar] [CrossRef]
- Bowden, G.J.; Dandy, G.C.; Maier, H.R. Input determination for neural network models in water resources applications. Part 1—Background and methodology. J. Hydrol. 2005, 301, 75–92. [Google Scholar]
- Maier, H.R.; Dandy, G.C. Neural networks for the prediction and forecasting of water resources variables: A review of modelling issues and applications. Environ. Model Softw. 2000, 15, 101–124. [Google Scholar] [CrossRef]
- Alvares, C.A.; Stape, J.L.; Sentelhas, P.C.; Moraes Gonçalves, J.L. Modeling monthly mean air temperature for Brazil. Theor. Appl. Climatol. 2013, 113, 407–427. [Google Scholar] [CrossRef]
- Ozgoren, M.; Bilgili, M.; Sahin, B. Estimation of global solar radiation using ANN over Turkey. Expert. Syst. Appl. 2012, 39, 5043–5051. [Google Scholar] [CrossRef]
- Yadav, A.K.; Malik, H.; Chandel, S.S. Selection of most relevant input parameters using WEKA for artificial neural network based solar radiation prediction models. Renew. Sust. Energ. Rev. 2014, 31, 509–519. [Google Scholar] [CrossRef]
- Brugnaro, R.; Bacha, C.J.C. Analysis of increased participation of agriculture in the Brazilian GDP from 1994 a 2004. In Proceedings of the Congress of the European Regional Science Association, Volos, Greece, 30 August–3 September 2006; Volume 46, p. 19. [Google Scholar]






| ID | Local | Lat/Lon/Alt (°/°/m) | K | Tho |
|---|---|---|---|---|
| 1 | Aimorés | −19.49/−41.07/79.93 | Aw | D |
| 2 | Araçuaí | −16.84/−42.06/317.67 | As | D |
| 3 | Araxá | −19.6/−46.94/1018.28 | Cwb | B2 |
| 4 | Arinos | −15.91/−46.1/523 | Aw | C1 |
| 5 | Bambuí | −20.03/−46/684.43 | Cwa | B2 |
| 6 | Barbacena | −21.23/−43.78/1128.8 | Cwb | B3 |
| 7 | Belo Horizonte | −19.93/−43.95/915.47 | Cwb | B2 |
| 8 | Bocaiúva | −17.1/−43.8/633 | Cwa | C1 |
| 9 | Bom Despacho | −19.72/−45.36/695 | Cwa | B1 |
| 10 | Caparaó | −20.52/−41.9/836.25 | Cwb | B2 |
| 11 | Capinópolis | −18.72/−49.56/608.98 | Aw | C2 |
| 12 | Caratinga | −19.73/−42.13/609.56 | Cwa | C2 |
| 13 | Conceição do Mato Dentro | −19.02/−43.43/663.02 | Cwa | B1 |
| 14 | Coronel Pacheco | −21.54/−43.26/411.03 | Cwa | B2 |
| 15 | Curvelo | −18.74/−44.45/668.26 | Cwa | C1 |
| 16 | Diamantina | −18.23/−43.61/1318.05 | Cwb | B2 |
| 17 | Divinópolis | −20.17/−44.87/787.42 | Cwa | B1 |
| 18 | Espinosa | −14.91/−42.8/565.52 | Cwb | D |
| 19 | Florestal | −19.88/−44.41/753.51 | Cwa | B2 |
| 20 | Formoso | −14.94/−46.23/854.6 | Aw | C2 |
| 21 | Frutal | −20.03/−48.93/547.09 | Aw | C2 |
| 22 | Governador Valadares | −18.84/−41.9/156.54 | Aw | C1 |
| 24 | Itamarandiba | −17.85/−42.85/919.37 | Cwb | C2 |
| 25 | Ituiutaba | −18.95/−49.52/540.09 | Aw | C2 |
| 26 | Jaíba | −15.08/−44.01/453.62 | As | D |
| 26 | Jaíba | −19.49/−42.54/298 | As | C2 |
| 27 | Janaúba | −15.8/−43.29/534.61 | As | D |
| 28 | Januária | −15.44/−44.36/480 | Aw | C1 |
| 29 | João Monlevade | −19.82/−43.14/859.84 | Cwb | B2 |
| 30 | João Pinheiro | −17.74/−46.17/759.62 | Aw | C2 |
| 31 | Juiz de Fora | −21.77/−43.36/936.9 | Cwb | B3 |
| 32 | Juramento | −16.77/−43.66/655.59 | Cwb | C1 |
| 33 | Lambari | −21.94/−45.31/884.56 | Cwb | B3 |
| 34 | Lavras | −21.22/−44.97/916.19 | Cwb | B2 |
| 35 | Machado | −21.68/−45.94/892.44 | Cfb | B2 |
| 36 | Maria da Fé | −22.31/−45.37/1281.36 | Cwb | A |
| 37 | Monte azul | −15.16/−42.86/623.22 | As | D |
| 38 | Montes Claros | −16.68/−43.84/645.87 | Cwa | C1 |
| 39 | Paracatu | −17.24/−46.88/711.41 | Aw | C2 |
| 40 | Patos de Minas | −18.52/−46.44/947.68 | Cwa | B1 |
| 41 | Pedra Azul | −16/−41.28/647.97 | As | C1 |
| 42 | Pirapora | −17.34/−44.92/509.52 | Aw | C1 |
| 43 | Poços de Caldas | −21.91/−46.38/1077.08 | Cwb | B3 |
| 44 | Pompéu | −19.22/−45/692.21 | Cwa | C2 |
| 45 | Salinas | −16.15/−42.28/476.07 | As | D |
| 46 | São João Del Rei | −21.3/−44.27/991 | Cwb | B3 |
| 47 | São Lourenço | −22.12/−45.04/930.65 | Cwb | B3 |
| 48 | São Sebastião do Paraíso | −20.9/−47.11/820 | Cwb | B3 |
| 49 | Serra Azul de Minas | −20.02/−44.35/765 | Cwa | B2 |
| 50 | Serra dos Aimorés | −17.79/−40.25/211.92 | Aw | C1 |
| 51 | Sete Lagoas | −19.48/−44.17/753.68 | Cwa | B1 |
| 52 | Teófilo Otoni | −17.86/−41.5/349.11 | Aw | C1 |
| 53 | Uberaba | −19.73/−47.95/753.41 | Cwa | B2 |
| 54 | Uberlândia | −18.91/−48.25/874.6 | Cwa | B2 |
| 55 | Unaí | −16.36/−46.88/595.59 | Aw | C1 |
| 56 | Viçosa | −20.76/−42.86/697.53 | Cwa | B1 |
| ANN | ||||
|---|---|---|---|---|
| I8 | I6 | I3 | I2 | |
| Learning rate | 0.3 | 0.3 | 0.3 | 0.3 |
| Momentum | 0.2 | 0.2 | 0.2 | 0.2 |
| Number of training epochs | 1000 | 1000 | 1000 | 1000 |
| Number of input data | 8 | 6 | 3 | 2 |
| Number of hidden layers | 2 | 2 | 1 | 1 |
| Number of neurons into the hidden layer | 7.7 | 7.7 | 7.7 | 7 |
| Number of folds in cross-validation | 18 | 18 | 8 | 8 |
| SI | ||||||||||||
|---|---|---|---|---|---|---|---|---|---|---|---|---|
| I8 | I6 | I3 | I2 | |||||||||
| r | MAE | RMSE | r | MAE | RMSE | r | MAE | RMSE | r | MAE | RMSE | |
| ANN | 0.966 | 0.167 | 0.215 | 0.963 | 0.178 | 0.224 | 0.943 | 0.210 | 0.278 | 0.860 | 0.332 | 0.429 |
| RF | 0.955 | 0.191 | 0.250 | 0.966 | 0.166 | 0.220 | 0.934 | 0.220 | 0.296 | 0.859 | 0.335 | 0.426 |
| SVM | 0.933 | 0.23 | 0.290 | 0.927 | 0.242 | 0.310 | 0.878 | 0.311 | 0.399 | 0.877 | 0.312 | 0.399 |
| MLR | 0.933 | 0.231 | 0.298 | 0.928 | 0.241 | 0.308 | 0.877 | 0.313 | 0.399 | 0.877 | 0.312 | 0.398 |
| SII | ||||||||||||
|---|---|---|---|---|---|---|---|---|---|---|---|---|
| Tho.1 (A, B4, B3, B2, and B1) | ||||||||||||
| I8 | I6 | I3 | I2 | |||||||||
| r | MAE | RMSE | r | MAE | RMSE | r | MAE | RMSE | r | MAE | RMSE | |
| ANN | 0.976 | 0.135 | 0.168 | 0.965 | 0.156 | 0.196 | 0.959 | 0.169 | 0.212 | 0.904 | 0.266 | 0.322 |
| RF | 0.964 | 0.164 | 0.198 | 0.973 | 0.143 | 0.174 | 0.963 | 0.16 | 0.198 | 0.920 | 0.234 | 0.291 |
| SVM | 0.955 | 0.181 | 0.219 | 0.948 | 0.191 | 0.235 | 0.925 | 0.232 | 0.281 | 0.924 | 0.235 | 0.284 |
| MLR | 0.957 | 0.178 | 0.216 | 0.949 | 0.190 | 0.233 | 0.927 | 0.23 | 0.278 | 0.925 | 0.233 | 0.282 |
| Tho.2 (C2, C1, and D) | ||||||||||||
| I8 | I6 | I3 | I2 | |||||||||
| r | MAE | RMSE | r | MAE | RMSE | r | MAE | RMSE | r | MAE | RMSE | |
| ANN | 0.940 | 0.211 | 0.269 | 0.944 | 0.210 | 0.260 | 0.895 | 0.269 | 0.353 | 0.818 | 0.377 | 0.462 |
| RF | 0.925 | 0.227 | 0.302 | 0.943 | 0.200 | 0.267 | 0.879 | 0.29 | 0.374 | 0.817 | 0.350 | 0.453 |
| SVM | 0.893 | 0.276 | 0.353 | 0.898 | 0.271 | 0.346 | 0.840 | 0.342 | 0.427 | 0.840 | 0.340 | 0.427 |
| MLR | 0.898 | 0.269 | 0.345 | 0.899 | 0.267 | 0.342 | 0.839 | 0.339 | 0.427 | 0.839 | 0.339 | 0.427 |
| SIII | ||||||||||||
|---|---|---|---|---|---|---|---|---|---|---|---|---|
| K1 (Cwa, Cwb, and Cfb) | ||||||||||||
| I8 | I6 | I3 | I2 | |||||||||
| r | MAE | RMSE | r | MAE | RMSE | r | MAE | RMSE | r | MAE | RMSE | |
| ANN | 0.966 | 0.170 | 0.209 | 0.968 | 0.163 | 0.204 | 0.961 | 0.180 | 0.225 | 0.912 | 0.270 | 0.334 |
| RF | 0.963 | 0.175 | 0.221 | 0.973 | 0.15 | 0.191 | 0.962 | 0.174 | 0.222 | 0.920 | 0.261 | 0.318 |
| SVM | 0.949 | 0.199 | 0.256 | 0.944 | 0.209 | 0.267 | 0.927 | 0.247 | 0.305 | 0.926 | 0.248 | 0.306 |
| MLR | 0.950 | 0.204 | 0.253 | 0.945 | 0.212 | 0.266 | 0.928 | 0.245 | 0.303 | 0.917 | 0.247 | 0.305 |
| K2 (Am and Aw) | ||||||||||||
| I8 | I6 | I3 | I2 | |||||||||
| r | MAE | RMSE | r | MAE | RMSE | r | MAE | RMSE | r | MAE | RMSE | |
| ANN | 0.964 | 0.16 | 0.201 | 0.889 | 0.269 | 0.350 | 0.895 | 0.263 | 0.340 | 0.817 | 0.360 | 0.447 |
| RF | 0.924 | 0.23 | 0.294 | 0.943 | 0.203 | 0.258 | 0.885 | 0.285 | 0.352 | 0.826 | 0.347 | 0.429 |
| SVM | 0.889 | 0.270 | 0.347 | 0.890 | 0.274 | 0.347 | 0.846 | 0.329 | 0.405 | 0.847 | 0.326 | 0.403 |
| MLR | 0.892 | 0.269 | 0.343 | 0.894 | 0.269 | 0.340 | 0.846 | 0.325 | 0.404 | 0.848 | 0.323 | 0.403 |
| MLR Method Coefficients | ||||||||||
|---|---|---|---|---|---|---|---|---|---|---|
| lat | lon | alt | month | Tmax | Tmean | Tmin | RH | |||
| β1 | β2 | β3 | β4 | β5 | β6 | β7 | β8 | β0 | ||
| SI | I8 | −0.0208 | 0.0579 | 0.0016 | 0.0091 | 0.0758 | 0.2966 | −0.0396 | −0.02 | −1.8209 |
| I6 | −0.0222 | 0.0402 | 0.0013 | 0.0065 | - | 0.2972 | - | −0.0264 | −0.4453 | |
| I3 | - | - | - | ø | - | 0.2262 | - | −0.0234 | 0.4921 | |
| I2 | - | - | - | - | - | 0.2262 | - | −0.0234 | 0.4921 | |
| Tho.1 (A, B4, B3, B2, and B1) | ||||||||||
| SII | I8 | −0.0343 | 0.06 | 0.0012 | 0.0172 | 0.0633 | 0.3096 | −0.0532 | −0.0229 | −1.2174 |
| I6 | −0.0523 | 0.0294 | 0.0008 | 0.0159 | - | 0.2807 | - | −0.0278 | −0.7404 | |
| I3 | - | - | - | 0.0159 | - | 0.2521 | - | −0.0234 | −0.0037 | |
| I2 | - | - | - | - | - | 0.2498 | - | −0.0251 | 0.2709 | |
| Tho.2 (C2, C1, and D) | ||||||||||
| I8 | ø | 0.0517 | 0.0017 | ø | ø | 0.3857 | −0.0447 | −0.0215 | −1.344 | |
| I6 | ø | 0.0511 | 0.0016 | ø | - | 0.331 | - | −0.0247 | −0.6378 | |
| I3 | - | - | - | ø | - | 0.2858 | - | −0.0297 | −0.6149 | |
| I2 | - | - | - | - | - | 0.2858 | - | −0.0297 | −0.6149 | |
| K1 (Cwa and Cwb) | ||||||||||
| SIII | I8 | ø | 0.0713 | 0.0013 | 0.0149 | 0.091 | 0.2515 | −0.0203 | −0.0231 | −0.1477 |
| I6 | −0.0166 | 0.0461 | 0.0009 | 0.0122 | - | 0.2861 | - | −0.029 | 0.6759 | |
| I3 | - | - | - | 0.0128 | - | 0.256 | - | −0.0243 | −0.0213 | |
| I2 | - | - | - | - | - | 0.254 | - | −0.0257 | 0.2013 | |
| K2 (Am and Aw) | ||||||||||
| I8 | −0.0428 | 0.0595 | 0.002 | ø | 0.066 | 0.3543 | −0.0588 | −0.0139 | −3.4505 | |
| I6 | ø | 0.0316 | 0.0014 | ø | - | 0.3329 | - | −0.0208 | −1.7699 | |
| I3 | - | - | - | ø | - | 0.3172 | - | −0.029 | −1.5306 | |
| I2 | - | - | - | - | - | 0.3172 | - | −0.029 | −1.5306 | |
Disclaimer/Publisher’s Note: The statements, opinions and data contained in all publications are solely those of the individual author(s) and contributor(s) and not of MDPI and/or the editor(s). MDPI and/or the editor(s) disclaim responsibility for any injury to people or property resulting from any ideas, methods, instructions or products referred to in the content. |
© 2023 by the authors. Licensee MDPI, Basel, Switzerland. This article is an open access article distributed under the terms and conditions of the Creative Commons Attribution (CC BY) license (https://creativecommons.org/licenses/by/4.0/).
Share and Cite
Santos, P.A.B.d.; Schwerz, F.; Carvalho, L.G.d.; Baptista, V.B.d.S.; Marin, D.B.; Ferraz, G.A.e.S.; Rossi, G.; Conti, L.; Bambi, G. Machine Learning and Conventional Methods for Reference Evapotranspiration Estimation Using Limited-Climatic-Data Scenarios. Agronomy 2023, 13, 2366. https://doi.org/10.3390/agronomy13092366
Santos PABd, Schwerz F, Carvalho LGd, Baptista VBdS, Marin DB, Ferraz GAeS, Rossi G, Conti L, Bambi G. Machine Learning and Conventional Methods for Reference Evapotranspiration Estimation Using Limited-Climatic-Data Scenarios. Agronomy. 2023; 13(9):2366. https://doi.org/10.3390/agronomy13092366
Chicago/Turabian StyleSantos, Pietros André Balbino dos, Felipe Schwerz, Luiz Gonsaga de Carvalho, Victor Buono da Silva Baptista, Diego Bedin Marin, Gabriel Araújo e Silva Ferraz, Giuseppe Rossi, Leonardo Conti, and Gianluca Bambi. 2023. "Machine Learning and Conventional Methods for Reference Evapotranspiration Estimation Using Limited-Climatic-Data Scenarios" Agronomy 13, no. 9: 2366. https://doi.org/10.3390/agronomy13092366
APA StyleSantos, P. A. B. d., Schwerz, F., Carvalho, L. G. d., Baptista, V. B. d. S., Marin, D. B., Ferraz, G. A. e. S., Rossi, G., Conti, L., & Bambi, G. (2023). Machine Learning and Conventional Methods for Reference Evapotranspiration Estimation Using Limited-Climatic-Data Scenarios. Agronomy, 13(9), 2366. https://doi.org/10.3390/agronomy13092366

