Impact of Rice–Wheat Straw Incorporation and Varying Nitrogen Fertilizer Rates on Soil Physicochemical Properties and Wheat Grain Yield
Abstract
:1. Introduction
2. Materials and Methods
2.1. Experimental Site Description and Planting Material
2.2. Experimental Design and Treatments
2.3. Data Collection
2.3.1. Soil Sampling and Physiochemical Analyses
2.3.2. Grain Weight per Spike, 1000-Grain Weight and Grain Yield
2.4. Statistical Analyses
3. Results
3.1. Changes in Soil Physiochemical Properties Due to Straw Return and N Fertilizer
3.1.1. Nitrogen Content in the Soil before Seeding, and at Both Jointing and Maturation Stages of Wheat
3.1.2. Soil Nitrate Level before Seeding, and at Both Jointing and Maturation Stages of Winter Wheat under N Fertilization and Straw Return
3.1.3. Content of Soil Ammonium in Rice–Wheat Rotation Fields with Different N Fertilization and Straw Return
3.1.4. Variation in Soil Phosphorus in Wheat Fields before Seeding and at Both Jointing and Maturation Stages as Affected by Rice Straw Return and N Fertilization
3.1.5. Changes in K Content in Winter Wheat Fields before Seeding and at Both Jointing and Maturation Stages as Influenced by Rice–Wheat Straw Return and N Fertilization
3.1.6. Impact of Combined Use of Rice–Wheat Straw Return and N Fertilization on Soil pH and Moisture Content in Winter Wheat-Growing Seasons
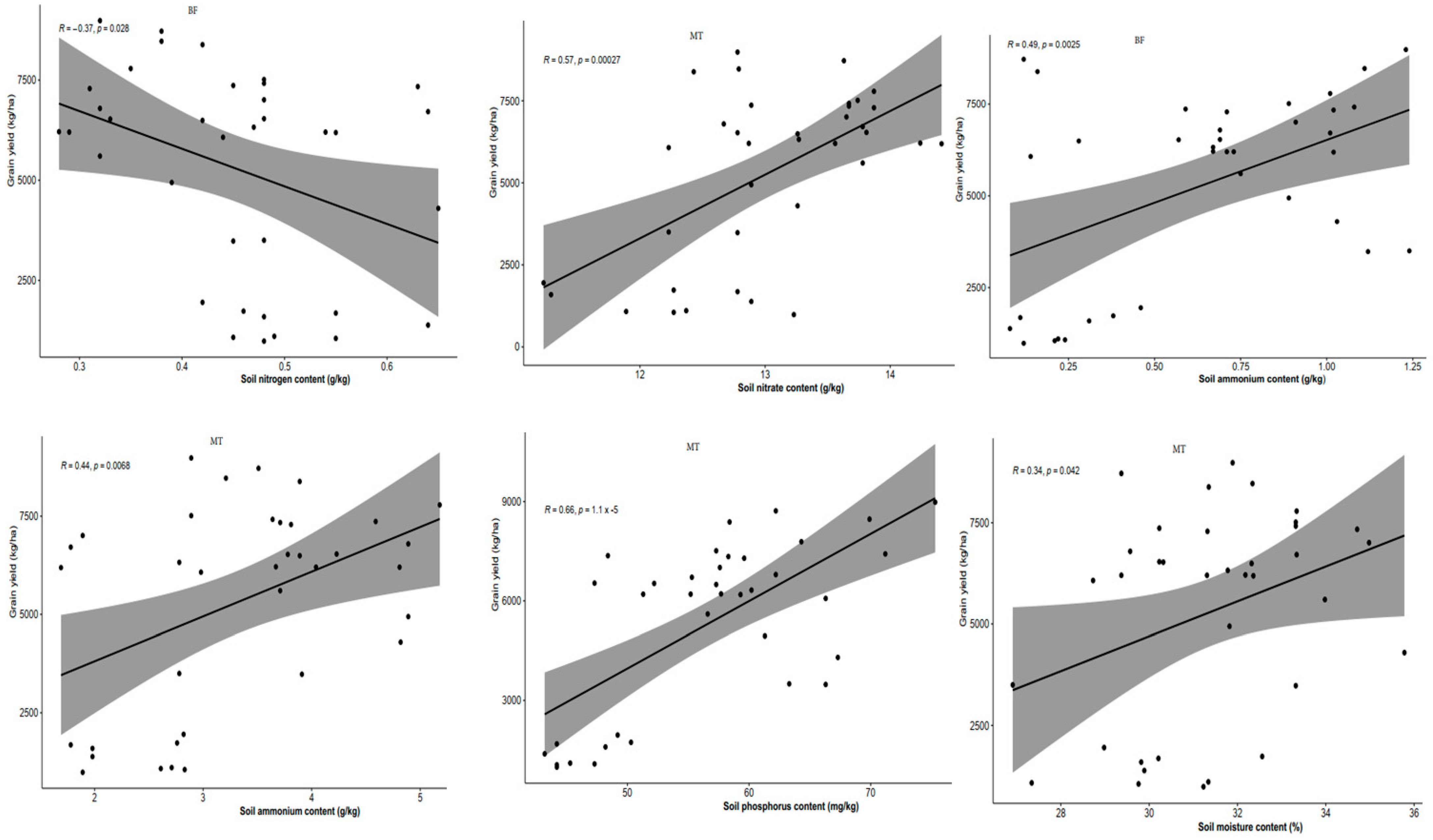
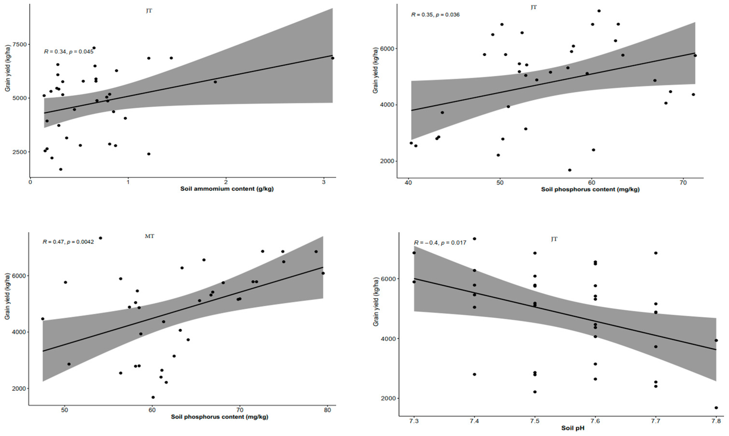
3.2. Effect of Combined Use of Rice Straw and N Fertilization on Wheat Grain Yield
4. Discussion
4.1. Effect of Rice Straw and N Fertilization on Soil Physicochemical Properties
4.2. Effect of Rice Straw and N Fertilization with Topdressing on Wheat Grain Yield
5. Conclusions
Author Contributions
Funding
Data Availability Statement
Acknowledgments
Conflicts of Interest
References
- FAO. FAO Publications Catalogue 2020; FAO: Rome, Italy, 2019. [Google Scholar]
- Lu, C.; Fan, L. Winter Wheat Yield Potentials and Yield Gaps in the North China Plain. Field Crops Res. 2013, 143, 98–105. [Google Scholar] [CrossRef]
- Wu, W.; Li, C.; Ma, B.; Shah, F.; Liu, Y.; Liao, Y. Genetic Progress in Wheat Yield and Associated Traits in China since 1945 and Future Prospects. Euphytica 2014, 196, 155–168. [Google Scholar] [CrossRef]
- Jaćimović, G.; Aćin, V.; Mirosavljević, M.; Brbaklić, L.; Vujić, S.; Dunđerski, D.; Šeremešić, S. Effects of Combined Long-Term Straw Return and Nitrogen Fertilization on Wheat Productivity and Soil Properties in the Wheat-Maize-Soybean Rotation System in the Pannonian Plain. Agronomy 2023, 13, 1529. [Google Scholar] [CrossRef]
- Irfan Ullah, M.; Mahpara, S.; Bibi, R.; Ullah Shah, R.; Ullah, R.; Abbas, S.; Ihsan Ullah, M.; Hassan, A.M.; El-Shehawi, A.M.; Brestic, M.; et al. Grain Yield and Correlated Traits of Bread Wheat Lines: Implications for Yield Improvement. Saudi J. Biol. Sci. 2021, 28, 5714–5719. [Google Scholar] [CrossRef]
- Saleem Kubar, M.; Feng, M.; Sayed, S.; Hussain Shar, A.; Ali Rind, N.; Ullah, H.; Ali Kalhoro, S.; Xie, Y.; Yang, C.; Yang, W.; et al. Agronomical Traits Associated with Yield and Yield Components of Winter Wheat as Affected by Nitrogen Managements. Saudi J. Biol. Sci. 2021, 28, 4852–4858. [Google Scholar] [CrossRef]
- Chen, Y.; Xin, L.; Liu, J.; Yuan, M.; Liu, S.; Jiang, W.; Chen, J. Changes in Bacterial Community of Soil Induced by Long-Term Straw Returning. Sci. Agric. 2017, 74, 349–356. [Google Scholar] [CrossRef]
- Gummert, M.; Van Hung, N.; Chivenge, P.; Douthwaite, B. (Eds.) Sustainable Rice Straw Management, 1st ed.; Springer: Cham, Switzerland, 2020. [Google Scholar]
- Karlsson, H.; Ahlgren, S.; Sandgren, M.; Passoth, V.; Wallberg, O.; Hansson, P.A. Greenhouse Gas Performance of Biochemical Biodiesel Production from Straw: Soil Organic Carbon Changes and Time-Dependent Climate Impact. Biotechnol. Biofuels 2017, 10, 217. [Google Scholar] [CrossRef]
- Bellamy, P.H.; Loveland, P.J.; Bradley, R.I.; Lark, R.M.; Kirk, G.J.D. Carbon Losses from All Soils across England and Wales 1978–2003. Nature 2005, 437, 245–248. [Google Scholar] [CrossRef]
- Lal, R. Carbon Sequestration in Dryland Ecosystems of West Asia and North Africa. Land Degrad. Dev. 2002, 13, 45–59. [Google Scholar] [CrossRef]
- Suriyagoda, L.; De Costa, W.A.J.M.; Lambers, H. Growth and Phosphorus Nutrition of Rice When Inorganic Fertiliser Application is Partly Replaced by Straw under Varying Moisture Availability in Sandy and Clay Soils. Plant Soil 2014, 384, 53–68. [Google Scholar] [CrossRef]
- Cusack, D.F.; Silver, W.L.; Torn, M.S.; Burton, S.D.; Firestone, M.K. Changes in Microbial Community Characteristics and Soil Organic Matter with Nitrogen Additions in Two Tropical Forests. Ecology 2011, 92, 621–632. [Google Scholar] [CrossRef] [PubMed]
- Miura, T.; Owada, K.; Nishina, K.; Utomo, M.; Niswati, A.; Kaneko, N.; Fujie, K. The Effects of Nitrogen Fertilizer on Soil Microbial Communities under Conventional and Conservation Agricultural Managements in a Tropical Clay-Rich Ultisol. Soil Sci. 2016, 181, 68–74. [Google Scholar] [CrossRef]
- Yang, H.; Feng, J.; Zhai, S.; Dai, Y.; Xu, M.; Wu, J.; Shen, M.; Bian, X.; Koide, R.T.; Liu, J. Long-Term Ditch-Buried Straw Return Alters Soil Water Potential, Temperature, and Microbial Communities in a Rice-Wheat Rotation System. Soil Tillage Res. 2016, 163, 21–31. [Google Scholar] [CrossRef]
- Zhao, X.; Yuan, G.; Wang, H.; Lu, D.; Chen, X.; Zhou, J. Effects of Full Straw Incorporation on Soil Fertility and Crop Yield in Rice-Wheat Rotation for Silty Clay Loamy Cropland. Agronomy 2019, 9, 133. [Google Scholar] [CrossRef]
- Zhang, P.; Wei, T.; Jia, Z.; Han, Q.; Ren, X. Soil Aggregate and Crop Yield Changes with Different Rates of Straw Incorporation in Semiarid Areas of Northwest China. Geoderma 2014, 230–231, 41–49. [Google Scholar] [CrossRef]
- Liu, N.; Li, Y.; Cong, P.; Wang, J.; Guo, W.; Pang, H.; Zhang, L. Depth of Straw Incorporation Significantly Alters Crop Yield, Soil Organic Carbon and Total Nitrogen in the North China Plain. Soil Tillage Res. 2021, 205, 104772. [Google Scholar] [CrossRef]
- Xie, J.; Evgenia, B.; Zhang, Y.; Wan, Y.; Hu, Q.-J.; Zhang, C.-M.; Wang, J.; Zhang, Y.-Q.; Shi, X.-J. Substituting Nitrogen and Phosphorus Fertilizer with Optimal Amount of Crop Straw Improves Rice Grain Yield, Nutrient Use Efficiency and Soil Carbon Sequestration. J. Integr. Agric. 2022, 21, 3345–3355. [Google Scholar] [CrossRef]
- Ji, B.; Hu, H.; Zhao, Y.; Mu, X.; Liu, K.; Li, C. Effects of Deep Tillage and Straw Returning on Soil Microorganism and Enzyme Activities. Sci. World J. 2014, 2014, 451493. [Google Scholar] [CrossRef]
- Yang, C.; Yang, L.; Yang, Y.; Ouyang, Z. Rice Root Growth and Nutrient Uptake as Influenced by Organic Manure in Continuously and Alternately Flooded Paddy Soils. Agric. Water Manag. 2004, 70, 67–81. [Google Scholar] [CrossRef]
- Jin, Z.; Shah, T.; Zhang, L.; Liu, H.; Peng, S.; Nie, L. Effect of Straw Returning on Soil Organic Carbon in Rice–Wheat Rotation System: A Review. Food Energy Secur. 2020, 9, e200. [Google Scholar] [CrossRef]
- Štursová, M.; Baldrian, P. Effects of Soil Properties and Management on the Activity of Soil Organic Matter Transforming Enzymes and the Quantification of Soil-Bound and Free Activity. Plant Soil 2011, 338, 99–110. [Google Scholar] [CrossRef]
- Wei, Q.; Xu, J.; Sun, L.; Wang, H.; Lv, Y.; Li, Y.; Hameed, F. Effects of Straw Returning on Rice Growth and Yield under Water-Saving Irrigation. Chil. J. Agric. Res. 2019, 79, 66–74. [Google Scholar] [CrossRef]
- Wang, J.; Hussain, S.; Sun, X.; Zhang, P.; Javed, T.; Dessoky, E.S.; Ren, X.; Chen, X. Effects of Nitrogen Application Rate Under Straw Incorporation on Photosynthesis, Productivity and Nitrogen Use Efficiency in Winter Wheat. Front. Plant Sci. 2022, 13, 862088. [Google Scholar] [CrossRef] [PubMed]
- Sui, P.; Tian, P.; Lian, H.; Wang, Z.; Ma, Z.; Qi, H.; Mei, N.; Sun, Y.; Wang, Y.; Su, Y.; et al. Straw Incorporation Management Affects Maize Grain Yield through Regulating Nitrogen Uptake, Water Use Efficiency, and Root Distribution. Agronomy 2020, 10, 324. [Google Scholar] [CrossRef]
- Wang, J.; Qiu, Y.; Zhang, X.; Zhou, Z.; Han, X.; Zhou, Y.; Qin, L.; Liu, K.; Li, S.; Wang, W.; et al. Increasing Basal Nitrogen Fertilizer Rate Improves Grain Yield, Quality and 2-Acetyl-1-Pyrroline in Rice under Wheat Straw Returning. Front. Plant Sci. 2023, 13, 1099751. [Google Scholar] [CrossRef]
- Zhou, Y.; Zhang, Y.; Tian, D.; Mu, Y. The Influence of Straw Returning on N2O Emissions from a Maize-Wheat Field in the North China Plain. Sci. Total Environ. 2017, 584–585, 935–941. [Google Scholar] [CrossRef]
- Zhou, L.-Y.; Zhu, Y.-H.; Kan, Z.-R.; Li, F.-M.; Zhang, F. The Impact of Crop Residue Return on the Food–Carbon–Water–Energy Nexus in a Rice–Wheat Rotation System under Climate Warming. Sci. Total Environ. 2023, 894, 164675. [Google Scholar] [CrossRef]
- Liu, P.; Zhao, H.-J.; Wang, L.-L.; Liu, Z.-H.; Wei, J.-L.; Wang, Y.-Q.; Jiang, L.-H.; Dong, L.; Zhang, Y.-F. Analysis of Heavy Metal Sources for Vegetable Soils from Shandong Province, China. Agric. Sci. China 2011, 10, 109–119. [Google Scholar] [CrossRef]
- Marschner, P.; Umar, S.; Baumann, K. The Microbial Community Composition Changes Rapidly in the Early Stages of Decomposition of Wheat Residue. Soil Biol. Biochem. 2011, 43, 445–451. [Google Scholar] [CrossRef]
- Li, H.; Wang, L.; Peng, Y.; Zhang, S.; Lv, S.; Li, J.; Abdo, A.I.; Zhou, C.; Wang, L. Film Mulching, Residue Retention and N Fertilization Affect Ammonia Volatilization through Soil Labile N and C Pools. Agric. Ecosyst. Environ. 2021, 308, 107272. [Google Scholar] [CrossRef]
- Yuan, L.; Gao, Y.; Mei, Y.; Liu, J.; Kalkhajeh, Y.K.; Hu, H.; Huang, J. Effects of Continuous Straw Returning on Bacterial Community Structure and Enzyme Activities in Rape-Rice Soil Aggregates. Sci. Rep. 2023, 13, 2357. [Google Scholar] [CrossRef] [PubMed]
- Raina, A.; Khan, S. Field Assessment of Yield and Its Contributing Traits in Cowpea Treated with Lower, Intermediate, and Higher Doses of Gamma Rays and Sodium Azide. Front. Plant Sci. 2023, 14, 1188077. [Google Scholar] [CrossRef] [PubMed]
- Shan, A.; Pan, J.; Kang, K.J.; Pan, M.; Wang, G.; Wang, M.; He, Z.; Yang, X. Effects of Straw Return with N Fertilizer Reduction on Crop Yield, Plant Diseases and Pests and Potential Heavy Metal Risk in a Chinese Rice Paddy: A Field Study of 2 Consecutive Wheat-Rice Cycles. Environ. Pollut. 2021, 288, 117741. [Google Scholar] [CrossRef]
- Jin, S.; Huang, Y.; Dong, C.; Bai, Y.; Pan, H.; Hu, Z. Effects of Different Straw Returning Amounts and Fertilizer Conditions on Bacteria of Rice’s Different Part in Rare Earth Mining Area. Sci. Rep. 2023, 13, 412. [Google Scholar] [CrossRef]
- Xin, X.; Qin, S.; Zhang, J.; Zhu, A.; Yang, W.; Zhang, X. Yield, Phosphorus Use Efficiency and Balance Response to Substituting Long-Term Chemical Fertilizer Use with Organic Manure in a Wheat-Maize System. Field Crops Res. 2017, 208, 27–33. [Google Scholar] [CrossRef]
- Lemanski, K.; Scheu, S. Incorporation of 13C Labelled Glucose into Soil Microorganisms of Grassland: Effects of Fertilizer Addition and Plant Functional Group Composition. Soil Biol. Biochem. 2014, 69, 38–45. [Google Scholar] [CrossRef]
- Fan, W.; Yuan, J.; Wu, J.; Cai, H. Effects of Straw Maize on the Bacterial Community and Carbon Stability at Different Soil Depths. Agriculture 2023, 13, 1307. [Google Scholar] [CrossRef]
- Yang, R.; Liu, K.; Geng, S.; Zhang, C.; Yin, L.; Wang, X. Comparison of Early Season Crop Types for Wheat Production and Nitrogen Use Efficiency in the Jianghan Plain in China. PeerJ 2021, 9, e11189. [Google Scholar] [CrossRef]
- Yang, R.; Wang, Z.; Fahad, S.; Geng, S.; Zhang, C.; Harrison, M.T.; Adnan, M.; Saud, S.; Zhou, M.; Liu, K.; et al. Rice Paddies Reduce Subsequent Yields of Wheat Due to Physical and Chemical Soil Constraints. Front. Plant Sci. 2022, 13, 959784. [Google Scholar] [CrossRef]
- Qi, D.; Pan, C. Responses of Shoot Biomass Accumulation, Distribution, and Nitrogen Use Efficiency of Maize to Nitrogen Application Rates under Waterlogging. Agric. Water Manag. 2022, 261, 107352. [Google Scholar] [CrossRef]
- Dai, Y.; Shi, J.; Li, J.; Gao, Y.; Ma, H.; Wang, Y.; Wang, B.; Chen, J.; Cheng, P.; Ma, H. Transfer of the Resistance to Multiple Diseases from a Triticum-Secale-Thinopyrum Trigeneric Hybrid to Ningmai 13 and Yangmai 23 Wheat Using Specific Molecular Markers and GISH. Genes 2022, 13, 2345. [Google Scholar] [CrossRef] [PubMed]
- Gao, R.; Ai, N.; Liu, G.; Liu, C.; Zhang, Z. Soil C:N:P Stoichiometric Characteristics and Soil Quality Evaluation under Different Restoration Modes in the Loess Region of Northern Shaanxi Province. Forests 2022, 13, 913. [Google Scholar] [CrossRef]
- Zhao, X.; Wang, H.; Lu, D.; Chen, X.; Zhou, J. The Effects of Straw Return on Potassium Fertilization Rate and Time in the Rice–Wheat Rotation. Soil Sci. Plant Nutr. 2019, 65, 176–182. [Google Scholar] [CrossRef]
- de Mendiburu, F.; Yaseen, M. Agricolae: Statistical Procedures for Agricultural Research; R Foundation for Statistical Computing: Vienna, Austria, 2000; pp. 3–19. [Google Scholar]
- R Core Team. R: A Language and Environment for Statistical Computing; R Foundation for Statistical Computing: Vienna, Austria, 2020; Available online: https://www.R-project.org/ (accessed on 25 August 2023).
- Kolde, R. Pheatmap: Pretty Heatmaps; R Foundation for Statistical Computing: Vienna, Austria, 2012. [Google Scholar]
- Zhang, W.-Z.; Chen, X.-Q.; Wang, H.-Y.; Wei, W.-X.; Zhou, J.-M. Long-Term Straw Return Influenced Ammonium Ion Retention at the Soil Aggregate Scale in an Anthrosol with Rice-Wheat Rotations in China. J. Integr. Agric. 2022, 21, 521–531. [Google Scholar] [CrossRef]
- Zhang, Z.; Liu, D.; Wu, M.; Xia, Y.; Zhang, F.; Fan, X. Long-Term Straw Returning Improve Soil K Balance and Potassium Supplying Ability under Rice and Wheat Cultivation. Sci. Rep. 2021, 11, 22260. [Google Scholar] [CrossRef] [PubMed]
- Robertson, G.P.; Vitousek, P.M. Nitrogen in Agriculture: Balancing the Cost of an Essential Resource. Annu. Rev. Environ. Resour. 2009, 34, 97–125. [Google Scholar] [CrossRef]
- Song, D.; Xi, X.; Zheng, Q.; Liang, G.; Zhou, W.; Wang, X. Soil Nutrient and Microbial Activity Responses to Two Years after Maize Straw Biochar Application in a Calcareous Soil. Ecotoxicol. Environ. Saf. 2019, 180, 348–356. [Google Scholar] [CrossRef]









| N Rates (%) | Stage and N Amount Applied (kg N/ha) | Rice Straw Return Rate (%) | ||||
|---|---|---|---|---|---|---|
| Sowing | Wintering | Jointing | 0 | 50 | 100 | |
| 0.00 | 0 | 0 | 0 | T1 | T2 | T3 |
| 33.30 | 60 | 60 | 60 | T4 | T5 | T6 |
| 70.00 | 126 | 54 | 0 | T7 | T8 | T9 |
| 100.00 | 180 | 0 | 0 | T10 | T11 | T12 |
| Treatments | 2021–2022 | 2022–2023 | ||||
|---|---|---|---|---|---|---|
| BF | JT | MT | BF | JT | MT | |
| T1 | 0.45 ± 0.00 a–c | 0.56 ± 0.02 a | 0.45 ± 0.03 c–e | 0.34 ± 0.09 b–d | 0.41 ± 0.14 cd | 0.35 ± 0.09 b |
| T2 | 0.56 ± 0.11 a | 0.48 ± 0.05 a | 0.43 ± 0.06 c–e | 0.44 ± 0.01 a–d | 0.48 ± 0.08 cd | 0.59 ± 0.15 a |
| T3 | 0.50 ± 0.05 ab | 0.59 ± 0.06 a | 0.45 ± 0.05 c–e | 0.41 ± 0.03 a–d | 0.42 ± 0.13 cd | 0.44 ± 0.00 ab |
| T4 | 0.53 ± 0.08 a | 0.50 ± 0.04 a | 0.41 ± 0.03 d–f | 0.61 ± 0.18 a | 0.72 ± 0.17 b | 0.42 ± 0.03 ab |
| T5 | 0.35 ± 0.10 bc | 0.49 ± 0.04 a | 0.72 ± 0.11 b | 0.38 ± 0.05 a–d | 0.51 ± 0.05 cd | 0.49 ± 0.04 ab |
| T6 | 0.53 ± 0.08 a | 0.49 ± 0.05 a | 0.31 ± 0.07 f | 0.51 ± 0.07 a–c | 0.35 ± 0.02 de | 0.44 ± 0.01 ab |
| T7 | 0.41 ± 0.04 a–c | 0.49 ± 0.04 a | 0.52 ± 0.07 c | 0.30 ± 0.13 cd | 0.97 ± 0.41 a | 0.51 ± 0.07 ab |
| T8 | 0.30 ± 0.05 c | 0.68 ± 0.14 a | 0.87 ± 0.03 a | 0.41 ± 0.02 a–d | 0.69 ± 0.13 b | 0.45 ± 0.01 ab |
| T9 | 0.56 ± 0.11 a | 0.50 ± 0.03 a | 0.42 ± 0.02 c–e | 0.56 ± 0.13 ab | 0.25 ± 0.03 e | 0.35 ± 0.09 b |
| T10 | 0.39 ± 0.06 a–c | 0.60 ± 0.07 a | 0.36 ± 0.05 ef | 0.24 ± 0.19 d | 0.96 ± 0.04 a | 0.37 ± 0.07 ab |
| T11 | 0.35 ± 0.10 bc | 0.53 ± 0.00 a | 0.86 ± 0.06 a | 0.38 ± 0.06 a–d | 0.51 ± 0.04 c | 0.54 ± 0.10 ab |
| T12 | 0.49 ± 0.04 ab | 0.51 ± 0.03 a | 0.49 ± 0.09 cd | 0.60 ± 0.17 a | 0.38 ± 0.02 c–e | 0.37 ± 0.07 ab |
| Treatments | 2021–2022 | 2022–2023 | ||||
|---|---|---|---|---|---|---|
| BF | JT | MT | BF | JT | MT | |
| T1 | 61.83 ± 4.39 ab | 60.50 ± 0.02 bc | 49.23 ± 7.37 ef | 47.43 ± 7.40 bc | 43.36 ± 12.00 d | 57.70 ± 5.60 cd |
| T2 | 44.93 ± 12.51 d | 58.63 ± 2.59 bc | 72.13 ± 15.53 a | 61.71 ± 1.70 a | 56.048 ± 0.70 bc | 59.72 ± 3.60 a–d |
| T3 | 60.20 ± 2.76 bc | 60.40 ± 0.82 bc | 54.90 ± 1.70 de | 56.50 ± 6.50 ab | 43.62 ± 11.70 d | 59.71 ± 3.60 a–d |
| T4 | 57.57 ± 0.12 bc | 60.93 ± 0.29 bc | 49.00 ± 7.60 ef | 52.65 ± 2.60 abc | 51.92 ± 3.40 bcd | 63.73 ± 0.50 a–d |
| T5 | 56.67 ± 0.78 bc | 70.50 ± 9.28 a | 43.87 ± 12.74 f | 52.22 ± 2.20 abc | 70.17 ± 14.90 a | 64.18 ± 0.90 a–d |
| T6 | 56.93 ± 0.51 bc | 55.97 ± 5.25 c | 45.60 ± 11.00 f | 56.89 ± 6.90 ab | 54.84 ± 0.50 bcd | 57.31 ± 6.00 cd |
| T7 | 59.50 ± 2.06 bc | 65.53 ± 4.3 ab | 58.60 ± 2.00 cd | 48.79 ± 8.80 abc | 55.45 ± 0.11 bcd | 72.05 ± 8.80 ab |
| T8 | 49.57 ± 7.88 cd | 64.53 ± 4.3 ab | 62.60 ± 6.00 bc | 62.49 ± 2.50 a | 60.97 ± 5.70 abc | 67.58 ± 4.30 abc |
| T9 | 71.70 ± 14.26 a | 58.77 ± 2.45 bc | 65.63 ± 9.03 b | 53.42 ± 3.40 abc | 49.36 ± 5.90 cd | 72.80 ± 9.50 ab |
| T10 | 59.50 ± 2.06 bc | 59.87 ± 1.35 bc | 62.30 ± 5.70 bc | 41.85 ± 1.90 c | 54.20 ± 1.10 bcd | 73.18 ± 9.90 a |
| T11 | 58.83 ± 1.39 bc | 59.97 ± 1.25 bc | 57.97 ± 1.36 cd | 54.02 ± 5.40 abc | 62.40 ± 7.10 ab | 59.34 ± 3.90 bcd |
| T12 | 55.17 ± 2.28 bcd | 59.03 ± 2.19 bc | 57.40 ± 0.80 cd | 60.25 ± 6.30 ab | 61.36 ± 6.10 abc | 51.98 ± 11.30 d |
| Treatments | 2021–2022 | 2022–2023 | ||||
|---|---|---|---|---|---|---|
| BF | JT | MT | BF | JT | MT | |
| T1 | 7.67 ± 0.02 a–c | 7.70 ± 0.06 a | 7.33 ± 0.03 a–c | 7.47 ± 0.04 a | 7.53 ± 0.02 a | 7.43 ± 0.04 a |
| T2 | 7.70 ± 0.01 ab | 7.55 ± 0.08 b–d | 7.13 ± 0.17 c | 7.50 ± 0.01 a | 7.67 ± 0.11 a | 7.57 ± 0.09 a |
| T3 | 7.60 ± 0.02 bc | 7.60 ± 0.20 a–c | 7.53 ± 0.23 a | 7.53 ± 0.02 a | 7.60 ± 0.04 a | 7.53 ± 0.06 a |
| T4 | 7.47 ± 0.10 c | 7.53 ± 0.08 b–d | 7.20 ± 0.11 bc | 7.33 ± 0.18 a | 7.63 ± 0.08 a | 7.37 ± 0.11 a |
| T5 | 7.67 ± 0.09 a–c | 7.50 ± 0.05 cd | 7.20 ± 0.11 bc | 7.53 ± 0.02 a | 7.57 ± 0.01 a | 7.43 ± 0.04 a |
| T6 | 7.83 ± 0.05 a | 7.43 ± 0.04 d | 7.30 ± 0.01 a–c | 7.63 ± 0.12 a | 7.47 ± 0.09 a | 7.40 ± 0.07 a |
| T7 | 7.57 ± 0.15 ab | 7.63 ± 0.11 ab | 7.33 ± 0.03 a–c | 7.60 ± 0.09 a | 7.60 ± 0.04 a | 7.50 ± 0.03 a |
| T8 | 7.73 ± 0.05 ab | 7.43 ± 0.09 d | 7.40 ± 0.09 ab | 7.63 ± 0.12 a | 7.43 ± 0.12 a | 7.40 ± 0.07 a |
| T9 | 7.70 ± 0.16 ab | 7.60 ± 0.07 abc | 7.33 ± 0.03 a–c | 7.50 ± 0.01 a | 7.50 ± 0.06 a | 7.50 ± 0.03 a |
| T10 | 7.57 ± 0.02 bc | 7.67 ± 0.06 a | 7.37 ± 0.06 a–c | 7.33 ± 0.18 a | 7.60 ± 0.04 a | 7.43 ± 0.04 a |
| T11 | 7.87 ± 0.09 a | 7.43 ± 0.11 d | 7.13 ± 0.17 c | 7.53 ± 0.02 a | 7.53 ± 0.02 a | 7.57 ± 0.09 a |
| T12 | 7.73 ± 0.06 ab | 7.67 ± 0.05 a | 7.40 ± 0.09 ab | 7.53 ± 0.02 a | 7.53 ± 0.02 a | 7.53 ± 0.06 a |
Disclaimer/Publisher’s Note: The statements, opinions and data contained in all publications are solely those of the individual author(s) and contributor(s) and not of MDPI and/or the editor(s). MDPI and/or the editor(s) disclaim responsibility for any injury to people or property resulting from any ideas, methods, instructions or products referred to in the content. |
© 2023 by the authors. Licensee MDPI, Basel, Switzerland. This article is an open access article distributed under the terms and conditions of the Creative Commons Attribution (CC BY) license (https://creativecommons.org/licenses/by/4.0/).
Share and Cite
Akwakwa, G.H.; Xiaoyan, W. Impact of Rice–Wheat Straw Incorporation and Varying Nitrogen Fertilizer Rates on Soil Physicochemical Properties and Wheat Grain Yield. Agronomy 2023, 13, 2363. https://doi.org/10.3390/agronomy13092363
Akwakwa GH, Xiaoyan W. Impact of Rice–Wheat Straw Incorporation and Varying Nitrogen Fertilizer Rates on Soil Physicochemical Properties and Wheat Grain Yield. Agronomy. 2023; 13(9):2363. https://doi.org/10.3390/agronomy13092363
Chicago/Turabian StyleAkwakwa, Gabriel Hopla, and Wang Xiaoyan. 2023. "Impact of Rice–Wheat Straw Incorporation and Varying Nitrogen Fertilizer Rates on Soil Physicochemical Properties and Wheat Grain Yield" Agronomy 13, no. 9: 2363. https://doi.org/10.3390/agronomy13092363
APA StyleAkwakwa, G. H., & Xiaoyan, W. (2023). Impact of Rice–Wheat Straw Incorporation and Varying Nitrogen Fertilizer Rates on Soil Physicochemical Properties and Wheat Grain Yield. Agronomy, 13(9), 2363. https://doi.org/10.3390/agronomy13092363
