CRISPR/Cas9-Mediated Targeted Mutagenesis of GmEOD1 Enhances Seed Size of Soybean
Abstract
:1. Introduction
2. Materials and Methods
2.1. Plant Materials and Growth Conditions
2.2. Phylogenetic Analysis of GmEOD1 Gene Family
2.3. SgRNA Design and Construction of the CRISPR/Cas9 Expression Vector
2.4. Detection of Potential Off-Target Sites
2.5. Soybean Transformation and Screening for Homozygous Mutants
2.6. Haplotype Analysis of EOD1 in Multiple Varieties
2.7. Seed Size Measurements and Statistical Analysis
2.8. Transcriptome Sequencing and Analysis and WGCNA
2.9. Gene Expression Analysis by Quentitative Real-Time RNA (qPCR)
3. Results
3.1. The Target Gene GmEOD1 Has High Homology with EOD1 of Arabidopsis
3.2. Homozygous GmEOD1 Mutant Was Induced by CRISPR/Cas9
3.3. Phenotype and Physiological Trait Analysis of T2 Homozygous eod1 Mutant and WT Plants
3.3.1. T2 Homozygous eod1 Mutant Exhibited the Larger Seed Size and 100-Seed Weight
3.3.2. T2 Homozygous eod1 Mutant Improved Protein Content but Reduced Oil Content
3.4. Analysis of GmEOD1 Haplotypes Revealed That EOD1 Gene Sequence Variation May Be Associated with Seed Weight in Soybean Varieties of the Different Maturity Groups
3.5. Transcriptome Analysis and WGCNA (Weighted Gene Co-Correlation Network Analysis) among Five Stages of Seed Development
3.5.1. Transcriptome Analysis Showed Many Metabolic Pathways Involved in Seed Size Regulation
3.5.2. WGCNA Showed Four Modules and Screened 13 Hub Genes Associated with Seed Size
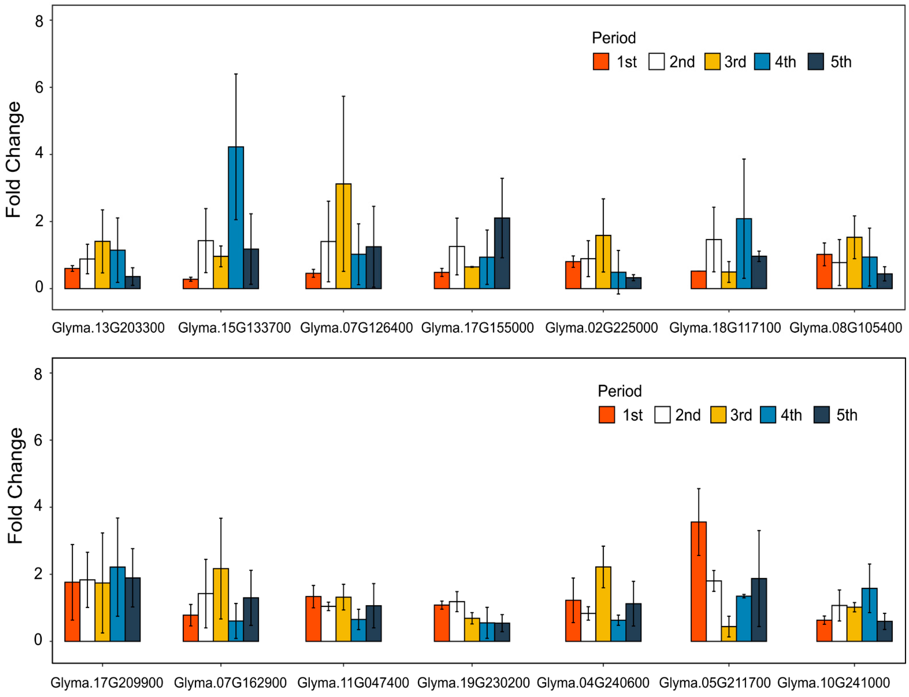
3.6. Quantitative Fluorescence Analysis Revealed the Similar Expression Pattern Contrasted with DEGs among Five Stages
4. Discussion
4.1. GmEOD1 Negatively Regulated the Seed Size and Maintained the Major Nutritional Physiological Substances
4.2. GmEOD1 Enables Seed Development by Regulating Transcriptional Processes
4.3. The Natural Variation of GmEOD1 Is Related to Seed Weight
5. Conclusions
Supplementary Materials
Author Contributions
Funding
Data Availability Statement
Acknowledgments
Conflicts of Interest
References
- Kato, S.; Sayama, T.; Fujii, K.; Yumoto, S.; Kono, Y.; Hwang, T.-Y.; Kikuchi, A.; Takada, Y.; Tanaka, Y.; Shiraiwa, T. A major and stable QTL associated with seed weight in soybean across multiple environments and genetic backgrounds. Theor. Appl. Genet. 2014, 127, 1365–1374. [Google Scholar] [CrossRef] [PubMed]
- Stupar, R.M. Into the wild: The soybean genome meets its undomesticated relative. Proc. Natl. Acad. Sci. USA 2010, 107, 21947–21948. [Google Scholar] [CrossRef] [PubMed]
- Liu, S.; Zhang, M.; Feng, F.; Tian, Z. Toward a “green revolution” for soybean. Mol. Plant 2020, 13, 688–697. [Google Scholar] [CrossRef]
- Ray, D.D.; Sen, S.; Bhattacharyya, P.; Bhattacharyya, S. Study on seed size variation in soybean (Glycine max L. Merr.) and its correlation with yield. Int. J. Econ. Plants 2022, 9, 204–209. [Google Scholar]
- Ray, D.K.; Mueller, N.D.; West, P.C.; Foley, J.A. Yield trends are insufficient to double global crop production by 2050. PLoS ONE 2013, 8, e66428. [Google Scholar] [CrossRef]
- Smith, T.; Camper, H., Jr. Effects of seed size on soybean performance. Agron. J. 1975, 67, 681–684. [Google Scholar] [CrossRef]
- Hu, Z.; Zhang, H.; Kan, G.; Ma, D.; Zhang, D.; Shi, G.; Hong, D.; Zhang, G.; Yu, D. Determination of the genetic architecture of seed size and shape via linkage and association analysis in soybean (Glycine max L. Merr.). Genetica 2013, 141, 247–254. [Google Scholar] [CrossRef]
- Sharma, S.; Kaur, M.; Goyal, R.; Gill, B. Physical characteristics and nutritional composition of some new soybean (Glycine max (L.) Merrill) genotypes. J. Food Sci. Technol. 2014, 51, 551–557. [Google Scholar] [CrossRef]
- Wang, S.; Liu, S.; Wang, J.; Yokosho, K.; Zhou, B.; Yu, Y.-C.; Liu, Z.; Frommer, W.B.; Ma, J.F.; Chen, L.-Q. Simultaneous changes in seed size, oil content and protein content driven by selection of SWEET homologues during soybean domestication. Natl. Sci. 2020, 7, 1776–1786. [Google Scholar] [CrossRef]
- Sundaresan, V. Control of seed size in plants. Proc. Natl. Acad. Sci. USA 2005, 102, 17887–17888. [Google Scholar] [CrossRef]
- Sedbrook, J.C.; Phippen, W.B.; Marks, M. New approaches to facilitate rapid domestication of a wild plant to an oilseed crop: Example pennycress (Thlaspi arvense L.). Plant Sci. 2014, 227, 122–132. [Google Scholar] [CrossRef] [PubMed]
- Venable, D.L. Size-number trade-offs and the variation of seed size with plant resource status. Am. Nat. 1992, 140, 287–304. [Google Scholar] [CrossRef]
- Jakobsson, A.; Eriksson, O. A comparative study of seed number, seed size, seedling size and recruitment in grassland plants. Oikos 2000, 88, 494–502. [Google Scholar] [CrossRef]
- Jin, J.; Liu, X.; Wang, G.; Liang, M.; Shen, Z.; Chen, X.; Herbert, S.J. Agronomic and physiological contributions to the yield improvement of soybean cultivars released from 1950 to 2006 in Northeast China. Field Crops Res. 2010, 115, 116–123. [Google Scholar] [CrossRef]
- Ainsworth, E.A.; Yendrek, C.R.; Skoneczka, J.A.; Long, S.P. Accelerating yield potential in soybean: Potential targets for biotechnological improvement. Plant Cell Environ. 2012, 35, 38–52. [Google Scholar] [CrossRef] [PubMed]
- Gnan, S.; Priest, A.; Kover, P.X. The genetic basis of natural variation in seed size and seed number and their trade-off using Arabidopsis thaliana MAGIC lines. Genetics 2014, 4, 1751–1758. [Google Scholar] [CrossRef] [PubMed]
- Chen, Y.; Nelson, R.L. Genetic Variation and Relationships among Cultivated, Wild, and Semiwild Soybean. Crop Sci. 2004, 44, 316–325. [Google Scholar] [CrossRef]
- Amparo, L.; Larrinaga, A.R.; Robert, B. A multi-level test of the seed number/size trade-off in two Scandinavian communities. PLoS ONE 2018, 13, e0201175. [Google Scholar]
- Savadi, S. Molecular regulation of seed development and strategies for engineering seed size in crop plants. Plant Growth Regul. 2018, 84, 401–422. [Google Scholar] [CrossRef]
- Zhou, B.; Zeng, L. Conventional and unconventional ubiquitination in plant immunity. Mol. Plant Pathol. 2017, 18, 1313–1330. [Google Scholar] [CrossRef]
- Qin, T.; Liu, S.; Zhang, Z.; Sun, L.; He, X.; Lindsey, K.; Zhu, L.; Zhang, X. GhCyP3 improves the resistance of cotton to Verticillium dahliae by inhibiting the E3 ubiquitin ligase activity of GhPUB17. Plant Mol. Biol. 2019, 99, 379–393. [Google Scholar] [CrossRef] [PubMed]
- Li, N.; Li, Y. Signaling pathways of seed size control in plants. Curr. Opin. Plant Biol. 2016, 33, 23–32. [Google Scholar] [CrossRef] [PubMed]
- Li, N.; Xu, R.; Li, Y. Molecular networks of seed size control in plants. Annu. Rev. Plant Biol. 2019, 70, 435–463. [Google Scholar] [CrossRef] [PubMed]
- Li, Y.; Zheng, L.; Corke, F.; Smith, C.; Bevan, M.W. Control of final seed and organ size by the DA1 gene family in Arabidopsis thaliana. Genes Dev. 2008, 22, 1331–1336. [Google Scholar] [CrossRef] [PubMed]
- Dong, H.; Dumenil, J.; Lu, F.-H.; Na, L.; Vanhaeren, H.; Naumann, C.; Klecker, M.; Prior, R.; Smith, C.; McKenzie, N. Ubiquitylation activates a peptidase that promotes cleavage and destabilization of its activating E3 ligases and diverse growth regulatory proteins to limit cell proliferation in Arabidopsis. Genes Dev. 2017, 31, 197–208. [Google Scholar] [CrossRef]
- Disch, S.; Anastasiou, E.; Sharma, V.K.; Laux, T.; Fletcher, J.C.; Lenhard, M. The E3 ubiquitin ligase BIG BROTHER controls Arabidopsis organ size in a dosage-dependent manner. Curr. Biol. 2006, 16, 272–279. [Google Scholar] [CrossRef]
- Li, N.; Li, Y. Ubiquitin-mediated control of seed size in plants. Front. Plant Sci. 2014, 5, 332. [Google Scholar] [CrossRef]
- Eloy, N.B.; Gonzalez, N.; Van Leene, J.; Maleux, K.; Vanhaeren, H.; De Milde, L.; Dhondt, S.; Vercruysse, L.; Witters, E.; Mercier, R. SAMBA, a plant-specific anaphase-promoting complex/cyclosome regulator is involved in early development and A-type cyclin stabilization. Proc. Natl. Acad. Sci. USA 2012, 109, 13853–13858. [Google Scholar] [CrossRef]
- Vanhaeren, H.; Inzé, D.; Gonzalez, N. Plant growth beyond limits. Trends Plant Sci. 2016, 21, 102–109. [Google Scholar] [CrossRef]
- Tamura, K.; Nei, M.; Kumar, S. Prospects for inferring very large phylogenies by using the neighbor-joining method. Proc. Natl. Acad. Sci. USA 2004, 101, 11030–11035. [Google Scholar] [CrossRef]
- Kumar, S.; Stecher, G.; Tamura, K. MEGA7: Molecular evolutionary genetics analysis version 7.0 for bigger datasets. Mol. Biol. Evol. 2015, 33, 1870–1874. [Google Scholar] [CrossRef] [PubMed]
- Lei, Y.; Lu, L.; Liu, H.Y.; Li, S.; Xing, F.; Chen, L.L. CRISPR-P: A Web Tool for Synthetic Single-Guide RNA Design of CRISPR-System in Plants. Mol. Plant 2014, 7, 1494–1496. [Google Scholar] [CrossRef]
- Chen, L.; Cai, Y.; Liu, X.; Yao, W.; Guo, C.; Sun, S.; Wu, C.; Jiang, B.; Han, T.; Hou, W. Improvement of soybean Agrobacterium-mediated transformation efficiency by adding glutamine and asparagine into the culture media. Int. J. Mol. Sci. 2018, 19, 3039. [Google Scholar] [CrossRef] [PubMed]
- Zhang, L.-X.; Wei, L.; Tsegaw, M.; Xin, X.; QI, Y.-P.; Sapey, E.; Liu, L.-P.; Wu, T.-T.; Shi, S.; Han, T.-F. Principles and practices of the photo-thermal adaptability improvement in soybean. J. Integr. Agric. 2020, 19, 295–310. [Google Scholar] [CrossRef]
- Liu, L.; Song, W.; Wang, L.; Sun, X.; Qi, Y.; Wu, T.; Sun, S.; Jiang, B.; Wu, C.; Hou, W. Allele combinations of maturity genes E1-E4 affect adaptation of soybean to diverse geographic regions and farming systems in China. PLoS ONE 2020, 15, e0235397. [Google Scholar] [CrossRef] [PubMed]
- Li, B.; Dewey, C.N. RSEM: Accurate transcript quantification from RNA-Seq data with or without a reference genome. BMC Bioinform. 2011, 12, 323. [Google Scholar] [CrossRef]
- Yu, G. Statistical analysis and visualization of functional profiles for genes and gene clusters. J. Integr. Biol. 2012, 16, 284–287. [Google Scholar]
- Langfelder, P.; Horvath, S. WGCNA: An R package for weighted gene co-expression network analysis. BMC Bioinform. 2008, 9, 559. [Google Scholar] [CrossRef]
- Du, L.; Li, N.; Chen, L.; Xu, Y.; Li, Y.; Zhang, Y.; Li, C.; Li, Y. The ubiquitin receptor DA1 regulates seed and organ size by modulating the stability of the ubiquitin-specific protease UBP15/SOD2 in Arabidopsis. Plant Cell 2014, 26, 665–677. [Google Scholar] [CrossRef]
- Tang, X.; Su, T.; Han, M.; Wei, L.; Wang, W.; Yu, Z.; Xue, Y.; Wei, H.; Du, Y.; Greiner, S. Suppression of extracellular invertase inhibitor gene expression improves seed weight in soybean (Glycine max). J. Exp. Bot. 2017, 68, 469–482. [Google Scholar] [CrossRef]
- Singh, A.K.; Fu, D.-Q.; El-Habbak, M.; Navarre, D.; Ghabrial, S.; Kachroo, A. Silencing genes encoding omega-3 fatty acid desaturase alters seed size and accumulation of Bean pod mottle virus in soybean. Mol. Plant Microbe Interact. 2011, 24, 506–515. [Google Scholar] [CrossRef] [PubMed]
- Lu, X.; Li, Q.T.; Xiong, Q.; Li, W.; Bi, Y.D.; Lai, Y.C.; Liu, X.L.; Man, W.Q.; Zhang, W.K.; Ma, B. The transcriptomic signature of developing soybean seeds reveals the genetic basis of seed trait adaptation during domestication. Plant J. 2016, 86, 530–544. [Google Scholar] [CrossRef] [PubMed]
- Goyal, R.; Sharma, S.; Gill, B. Variability in the nutrients, antinutrients and other bioactive compounds in soybean [Glycine max (L.) Merrill] genotypes. J. Food Legumes 2012, 25, 314–320. [Google Scholar]
- Panthee, D.; Pantalone, V.; West, D.; Saxton, A.; Sams, C. Quantitative trait loci for seed protein and oil concentration, and seed size in soybean. Crop Sci. 2005, 45, 2015–2022. [Google Scholar] [CrossRef]
- Kering, M.K.; Zhang, B. Effect of priming and seed size on germination and emergence of six food-type soybean varieties. Int. J. Agron. 2015, 2015, 859212. [Google Scholar] [CrossRef]
- Ribeiro, M.; Mandarino, J.; CarrÃO-Panizzi, M.; Oliveira, M.; Campo, C.; Nepomuceno, A.; Ida, E. β-glucosidase activity and isoflavone content in germinated soybean radicles and cotyledons. J. Food Biochem. 2006, 30, 453–465. [Google Scholar] [CrossRef]
- Yuan, J.-P.; Liu, Y.-B.; Peng, J.; Wang, J.-H.; Liu, X. Changes of isoflavone profile in the hypocotyls and cotyledons of soybeans during dry heating and germination. J. Agric. Food Chem. 2009, 57, 9002–9010. [Google Scholar] [CrossRef]
- Tschiersch, H.; Borisjuk, L.; Rutten, T.; Rolletschek, H. Gradients of seed photosynthesis and its role for oxygen balancing. Biosystems 2011, 103, 302–308. [Google Scholar] [CrossRef]
- Ke, J.; Behal, R.H.; Back, S.L.; Nikolau, B.J.; Wurtele, E.S.; Oliver, D.J. The role of pyruvate dehydrogenase and acetyl-coenzyme A synthetase in fatty acid synthesis in developing Arabidopsis seeds. Plant Physiol. 2000, 123, 497–508. [Google Scholar] [CrossRef]
- Cheng, Z.J.; Zhao, X.Y.; Shao, X.X.; Wang, F.; Zhou, C.; Liu, Y.G.; Zhang, Y.; Zhang, X.S. Abscisic acid regulates early seed development in Arabidopsis by ABI5-mediated transcription of SHORT HYPOCOTYL UNDER BLUE1. Plant Cell 2014, 26, 1053–1068. [Google Scholar] [CrossRef]
- Liu, Z.; Li, N.; Zhang, Y.; Li, Y. Transcriptional repression of GIF1 by the KIX-PPD-MYC repressor complex controls seed size in Arabidopsis. Nat. Commun. 2020, 11, 1846. [Google Scholar] [CrossRef] [PubMed]
- Lu, X.; Xiong, Q.; Cheng, T.; Li, Q.-T.; Liu, X.-L.; Bi, Y.-D.; Li, W.; Zhang, W.-K.; Ma, B.; Lai, Y.-C. A PP2C-1 allele underlying a quantitative trait locus enhances soybean 100-seed weight. Mol. Plant 2017, 10, 670–684. [Google Scholar] [CrossRef] [PubMed]
- Ge, L.; Yu, J.; Wang, H.; Luth, D.; Bai, G.; Wang, K.; Chen, R. Increasing seed size and quality by manipulating BIG SEEDS1 in legume species. Proc. Natl. Acad. Sci. USA 2016, 113, 12414–12419. [Google Scholar] [CrossRef] [PubMed]






| GO | GO_ID | GO term | DEGs (eod1 vs. WT) | p Value | ||||
|---|---|---|---|---|---|---|---|---|
| 1st | 2nd | 3rd | 4th | 5th | ||||
| BP | GO:0051726 | regulation of cell cycle | 43/1686 | 0 | 0 | 0 | 0 | <0.001 |
| BP | GO:0000079 | regulation of cyclin-dependent protein serine/threonine kinase activity | 18/1686 | 0 | 0 | 0 | 0 | <0.001 |
| BP | GO:0009765 | photosynthesis, light harvesting | 13/1686 | 0 | 0 | 0 | 0 | <0.001 |
| BP | GO:1904029 | regulation of cyclin-dependent protein kinase activity | 18/1686 | 0 | 0 | 0 | 0 | <0.001 |
| BP | GO:0048580 | regulation of post-embryonic development | 16/1686 | 0 | 0 | 0 | 0 | <0.001 |
| BP | GO:0044264 | cellular polysaccharide metabolic process | 0 | 0 | 49/2011 | 0 | 0 | <0.001 |
| BP | GO:0006073 | cellular glucan metabolic process | 0 | 0 | 47/2011 | 0 | 0 | <0.001 |
| BP | GO:0044042 | glucan metabolic process | 0 | 0 | 48/2011 | 0 | 0 | <0.001 |
| BP | GO:0042446 | hormone biosynthetic process | 0 | 0 | 25/2011 | 0 | 0 | <0.001 |
| BP | GO:0010154 | fruit development | 0 | 0 | 17/2011 | 0 | 0 | <0.001 |
| BP | GO:0008283 | cell proliferation | 0 | 0 | 20/2011 | 0 | 0 | <0.001 |
| BP | GO:0042127 | regulation of cell proliferation | 0 | 0 | 16/2011 | 0 | 0 | <0.001 |
| BP | GO:0008284 | positive regulation of cell proliferation | 0 | 0 | 16/2011 | 0 | 0 | <0.001 |
| BP | GO:0010383 | cell wall polysaccharide metabolic process | 0 | 0 | 27/2011 | 0 | 0 | <0.001 |
| BP | GO:0032269 | negative regulation of cellular protein metabolic process | 0 | 0 | 31/2011 | 0 | 0 | <0.001 |
| BP | GO:0051248 | negative regulation of protein metabolic process | 0 | 0 | 31/2011 | 0 | 0 | <0.001 |
| BP | GO:0045861 | negative regulation of proteolysis | 0 | 0 | 13/2011 | 0 | 0 | <0.001 |
| BP | GO:0051273 | beta-glucan metabolic process | 0 | 0 | 21/2011 | 0 | 0 | <0.001 |
| BP | GO:0052548 | regulation of endopeptidase activity | 0 | 0 | 13/2011 | 0 | 0 | <0.001 |
| BP | GO:0010411 | xyloglucan metabolic process | 0 | 0 | 0 | 12/1263 | <0.001 | |
| BP | GO:0000272 | polysaccharide catabolic process | 0 | 0 | 0 | 20/1263 | 0 | <0.001 |
| MF | GO:0045735 | nutrient reservoir activity | 0 | 0 | 16/2223 | 21/1452 | 0 | <0.001 |
| MF | GO:0046527 | glucosyltransferase activity | 0 | 0 | 48/2223 | 0 | 0 | <0.001 |
| MF | GO:0016538 | cyclin-dependent protein serine/threonine kinase regulator activity | 17/1851 | 0 | 0 | 0 | 0 | <0.001 |
| CC | GO:0005618 | cell wall | 48/1628 | 0 | 0 | 0 | 0 | <0.001 |
| CC | GO:0009505 | plant-type cell wall | 20/1628 | 0 | 0 | 0 | 0 | <0.001 |
| Gene Name | Functional Description | Module | KWithin Value in Module |
|---|---|---|---|
| Glyma.02G059900 | Protein DA1-related (Coexpressed with genes in roots specific coexpression subnetwork) | Blue | 967.27 |
| Glyma.01G179800 | Protein DA1-related (Coexpressed with genes in symbiotic leaves specific coexpression subnetwork) | Blue | 684.12 |
| Glyma.11G062400 | Protein DA1-related | Blue | 81.61 |
| Glyma.17G247700 | Protein DA1 OS (LIM domain) | Blue | 875.54 |
| Glyma.15G024700 | Nucleosome assembly protein 1-like 4 | Blue | 355.85 |
| Glyma.03G088200 | Polysaccharide lyase family 4, domain III (CBM-like) | Blue | 408.69 |
| Glyma.13G259100 | E3 ubiquitin-protein ligase DA2 | Blue | 879.78 |
| Glyma.15G249000 | E3 ubiquitin-protein ligase DA2 | Blue | 28.21 |
| Glyma.12G057100 | E3 Ubiquitin ligase BIG BROTHER | Blue | 110.05 |
| Glyma.11G132700 | E3 Ubiquitin ligase BIG BROTHER | Blue | 15.34 |
| Glyma.15G182600 | Sucrose synthase 1-related | Pink | 77.61 |
| Glyma.16G062000 | Galactose oxidase | Black | 75.62 |
| Glyma.11G032800 | 40S Ribosomal protein S30/ubiquitin-like fubi (Co-expressed with genes in roots specific co-expression subnetwork) | Magenta | 68.23 |
Disclaimer/Publisher’s Note: The statements, opinions and data contained in all publications are solely those of the individual author(s) and contributor(s) and not of MDPI and/or the editor(s). MDPI and/or the editor(s) disclaim responsibility for any injury to people or property resulting from any ideas, methods, instructions or products referred to in the content. |
© 2023 by the authors. Licensee MDPI, Basel, Switzerland. This article is an open access article distributed under the terms and conditions of the Creative Commons Attribution (CC BY) license (https://creativecommons.org/licenses/by/4.0/).
Share and Cite
Yu, H.; Zhao, J.; Chen, L.; Wu, T.; Jiang, B.; Xu, C.; Cai, Y.; Dong, J.; Han, T.; Sun, S.; et al. CRISPR/Cas9-Mediated Targeted Mutagenesis of GmEOD1 Enhances Seed Size of Soybean. Agronomy 2023, 13, 2359. https://doi.org/10.3390/agronomy13092359
Yu H, Zhao J, Chen L, Wu T, Jiang B, Xu C, Cai Y, Dong J, Han T, Sun S, et al. CRISPR/Cas9-Mediated Targeted Mutagenesis of GmEOD1 Enhances Seed Size of Soybean. Agronomy. 2023; 13(9):2359. https://doi.org/10.3390/agronomy13092359
Chicago/Turabian StyleYu, Han, Juan Zhao, Li Chen, Tingting Wu, Bingjun Jiang, Cailong Xu, Yupeng Cai, Jialing Dong, Tianfu Han, Shi Sun, and et al. 2023. "CRISPR/Cas9-Mediated Targeted Mutagenesis of GmEOD1 Enhances Seed Size of Soybean" Agronomy 13, no. 9: 2359. https://doi.org/10.3390/agronomy13092359
APA StyleYu, H., Zhao, J., Chen, L., Wu, T., Jiang, B., Xu, C., Cai, Y., Dong, J., Han, T., Sun, S., & Yuan, S. (2023). CRISPR/Cas9-Mediated Targeted Mutagenesis of GmEOD1 Enhances Seed Size of Soybean. Agronomy, 13(9), 2359. https://doi.org/10.3390/agronomy13092359

