Optimizing Productivity of Buffel and Sudan Grasses Using Optimal Nitrogen Fertilizer Application under Arid Conditions
Abstract
1. Introduction
2. Materials and Methods
2.1. Description of the Experimental Site
2.2. Soil Sampling and Analysis
2.3. Experimental Treatment and Design
2.4. Field Management
2.5. Data Collection and Analysis
2.6. Statistical Analysis
3. Results
3.1. Effect of Nitrogen Fertilizer on the Growth Parameters
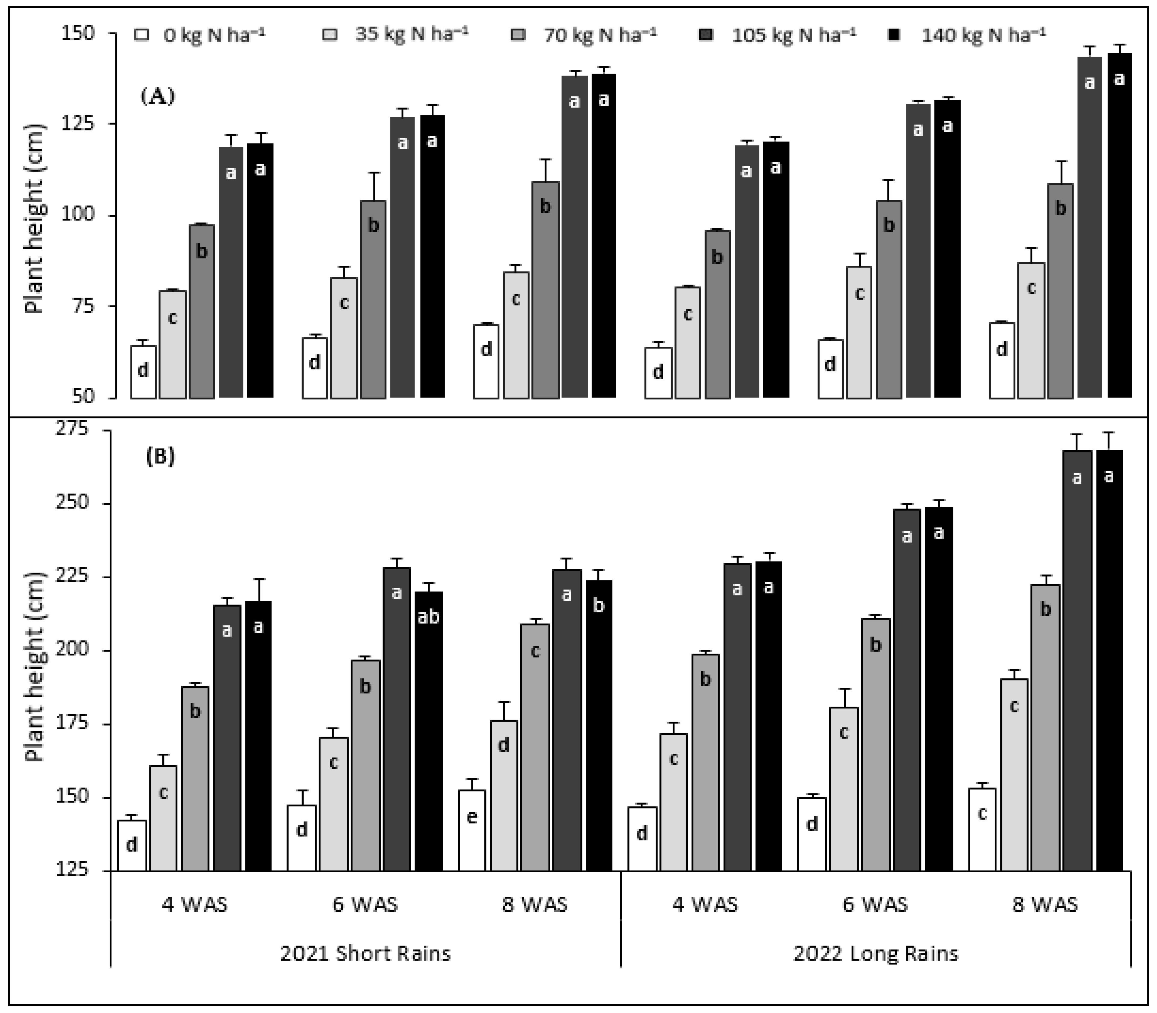
3.1.1. Plant Height
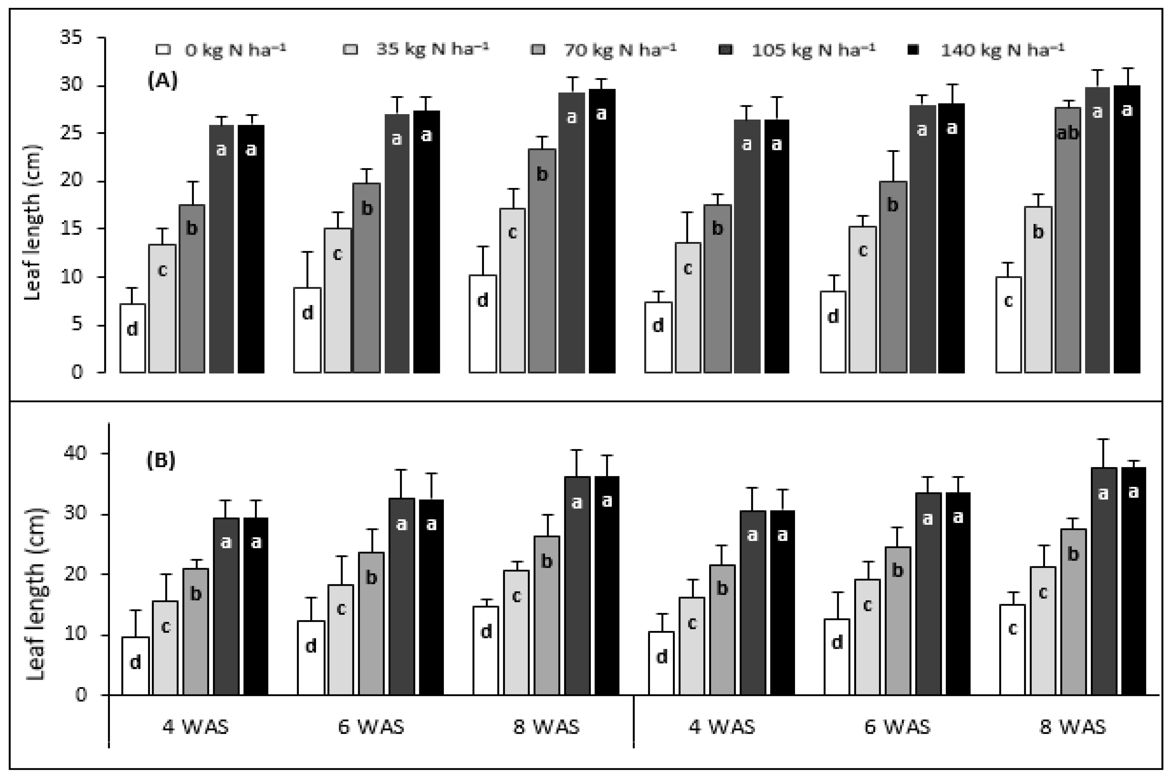
3.1.2. Leaf Length, Width, and Number of Leaves per Plant
3.1.3. Stem Girth
3.1.4. Number of Tillers
3.2. Influence of Nitrogen Fertilizer on the Yield Parameters (Shoot, Root Weight, and Aboveground Biomass)
3.3. Influence of Nitrogen (N) Fertilizer Application on Grass Quality
3.4. Relationship Associations among the Assessed Variables
4. Discussion
5. Conclusions
Author Contributions
Funding
Data Availability Statement
Conflicts of Interest
References
- Kaplan, M.; Kara, K.; Unlukara, A.; Kale, H.; Buyukkilic Beyzi, S.; Varol, I.S.; Kizilsimsek, M.; Kamalak, A. Water deficit and nitrogen affects yield and feed value of sorghum Sudangrass silage. Agric. Water Manag. 2019, 218, 30–36. [Google Scholar] [CrossRef]
- Seleiman, M.F.; Aslam, M.T.; Alhammad, B.A.; Hassan, M.U.; Maqbool, R.; Chattha, M.U.; Khan, I.; Gitari, H.I.; Uslu, O.S.; Roy, R.; et al. Salinity Stress in Wheat: Effects, Mechanisms and Management Strategies. Phyton-Int. J. Exp. Bot. 2021, 91, 667–694. [Google Scholar] [CrossRef]
- Nyawade, S.; Gitari, H.I.; Karanja, N.N.; Gachene, C.K.; Schulte-Geldermann, E.; Sharma, K.; Parker, M. Enhancing climate resilience of rain-fed potato through legume intercropping and silicon application. Front. Sustain. Food Syst. 2020, 4, 566345. [Google Scholar] [CrossRef]
- Nyawade, S.O.; Karanja, N.N.; Gachene, C.K.K.; Schulte-Geldermann, E.; Parker, M. Optimizing soil nitrogen balance in a potato cropping system through legume intercropping. Nutr. Cycl. Agroecosystems 2020, 117, 43–59. [Google Scholar] [CrossRef]
- Kisambo, B.K.; Wasonga, O.V.; Koech, O.K.; Karuku, G.N.; Li, X. Morphological and productivity responses of Buffel grass (Cenchrus ciliaris) and Guinea grass (Panicum maximum) ecotypes to simulated grazing in a semi-arid environment. Grassl. Res. 2022, 1, 290–300. [Google Scholar] [CrossRef]
- Wasonga, O.; Musembi, J.; Rotich, K.; Jarso, I.; King-Okumu, C.; Kyuma, R.K. Vegetation Resources and Their Economic Importance in Isiolo County, Kenya; IIED: London, UK, 2016. [Google Scholar]
- Boru, D.; Schwartz, M.; Kam, M.; Degen, A.A. Effects of family size and wealth on size of land cultivated by Borana pastoralists in southern Ethiopia. Hum. Ecol. 2015, 43, 15–28. [Google Scholar] [CrossRef]
- Lugusa, K.O. Fodder Production as an Adaptation Strategy in the Drylands: A Case Study of Producer Groups in Baringo County, Kenya. Ph.D. Thesis, University of Nairobi, Nairobi, Kenya, 2015. [Google Scholar]
- Omollo, E.O. Analysis of Fodder Production and Marketing in the Rangelands of Southern Kenya. Ph.D. Thesis, University of Nairobi, Nairobi, Kenya, 2017. [Google Scholar]
- Weber, E. Invasive Plant Species of the World: A Reference Guide to Environmental Weeds; Cabi: Wallingford, UK, 2017. [Google Scholar]
- Osman, A.E.; Makawi, M.; Ahmed, R. Potential of the indigenous desert grasses of the Arabian Peninsula for forage production in a water-scarce region. Grass Forage Sci. 2008, 63, 495–503. [Google Scholar] [CrossRef]
- Ismail, S.M.; El-Nakhlawy, F.S.; Basahi, J.M. Sudangrass and pearl millets productivity under different irrigation methods with full irrigation and stresses in arid regions. Grass Sci. 2018, 64, 29–39. [Google Scholar] [CrossRef]
- Ibrahim, A.; Zeidan, E.M.; Gweifel, H.G.M.; Mahfouz, S.A. Influence of planting density and nitrogen fertilizer levels on fresh forage yield and quality of some forage sorghum genotypes. Zagazig J. Agric. Res. 2016, 43, 729–743. [Google Scholar] [CrossRef]
- Abo-Zeid, S.T.; Amal, L.; EL-Latif, A.; Elshafey, S. Effect of sources and rates of Nitrogen fertilizers on forage yield and nitrate accumulation for Sudangrass. Egypt. J. Soil Sci. 2017, 57, 23–30. [Google Scholar] [CrossRef][Green Version]
- Leghari, S.J.; Wahocho, N.A.; Laghari, G.M.; Hafeez Laghari, A.; Mustafa Bhabhan, G.; Hussain, T.K.; Lashari, A.A. Role of nitrogen for plant growth and development: A review. Adv. Environ. Biol. 2016, 10, 209–219. [Google Scholar]
- Alhammad, B.A.; Roy, D.K.; Ranjan, S.; Padhan, S.R.; Sow, S.; Nath, D.; Seleiman, M.F.; Gitari, H. Conservation tillage and weed management influencing weed dynamics, crop performance, soil properties, and profitability in rice-wheat-greengram system in Eastern Indo-Gangetic Plains. Agronomy 2023, 13, 1953. [Google Scholar] [CrossRef]
- Nduwimana, D.; Mochoge, B.; Danga, B.; Masso, C.; Maitra, S.; Gitari, H. Optimizing nitrogen use efficiency and maize yield under varying fertilizer rates in Kenya. Int. J. Biores. Sci. 2020, 7, 63–73. [Google Scholar] [CrossRef]
- Ochieng’, I.O.; Gitari, H.I.; Mochoge, B.; Rezaei-Chiyaneh, E.; Gweyi-Onyango, J.P. Optimizing maize yield, nitrogen efficacy and grain protein content under different N forms and rates. J. Soil Sci. Plant Nut. 2021, 21, 1867–1880. [Google Scholar] [CrossRef]
- Glamoclija, D.; Jankovic, S.; Rakic, S.; Maletic, R.; Ikanovic, J. Effects of nitrogen and harvesting time on chemical composition of biomass of Sudan grass, fodder sorghum, and their hybrid. Turk. J. Agric. For. 2011, 35, 3. [Google Scholar] [CrossRef]
- Mrid, R.; El Omari, R.; El Mourabit, N.; Bouargalne, Y.; Nhiri, M. Changes in the antioxidant and glyoxalase enzyme activities in leaves of two Moroccan sorghum ecotypes with differential tolerance to nitrogen stress. Aust. J. Crop. Sci. 2018, 12, 1280–1287. [Google Scholar] [CrossRef]
- Nasar, J.; Wang, G.Y.; Ahmad, S.; Muhammad, I.; Zeeshan, M.; Gitari, H.; Adnan, M.; Fahad, S.; Khalid, M.H.B.; Zhou, X.-B.; et al. Nitrogen fertilization coupled with iron foliar application improves the photosynthetic characteristics, photosynthetic nitrogen use efficiency, and the related enzymes of maize crops under different planting patterns. Front. Plant Sci. 2022, 13, 988055. [Google Scholar] [CrossRef] [PubMed]
- Rafiq, M.A.; Ali, A.; Malik, M.A.; Hussain, M. Effect of fertilizer levels and plant densities on yield and protein contents of autumn planted maize. Pak. J. Agric. Sci. 2010, 47, 201–208. [Google Scholar]
- Nasar, J.; Khan, W.; Khan, M.Z.; Gitari, H.I.; Gbolayori, J.F.; Moussa, A.A.; Mandozai, A.; Rizwan, N.; Anwari, G.; Maroof, S.M. Photosynthetic activities and photosynthetic nitrogen use efficiency of maize crop under different planting patterns and nitrogen fertilization. J. Soil Sci. Plant Nut. 2021, 21, 2274–2284. [Google Scholar] [CrossRef]
- Sairaam, M.; Maitra, S.; Praharaj, S.; Nath, S.; Shankar, T.; Sahoo, U.; Santosh, D.T.; Sagar, L.; Panda, M.; Priya, G.S.; et al. An Insight into the Consequences of Emerging Contaminants in Soil and Water and Plant Responses. In Emerging Contaminants and Plants; Aftab, T., Ed.; Springer: Cham, Switzerland, 2023. [Google Scholar] [CrossRef]
- Bloom, A.J. The increasing importance of distinguishing among plant nitrogen sources. Curr. Opin. Plant Biol. 2015, 25, 10–16. [Google Scholar] [CrossRef] [PubMed]
- Nasar, J.; Zhao, C.J.; Khan, R.; Gul, H.; Gitari, H.; Shao, Z.; Abbas, G.; Haider, I.; Iqbal, Z.; Ahmed, W.; et al. Maize-soybean intercropping at optimal N fertilization increases the N uptake, N yield and N use efficiency of maize crop via regulating the N assimilatory enzymes. Front. Plant Sci. 2023, 13, 1077948. [Google Scholar] [CrossRef] [PubMed]
- Ochieng’, I.O.; Ranjani, S.; Seleiman, M.F.; Padhan, S.R.; Psiwa, R.; Sow, S.; Wasonga, D.O.; Gitari, H.I. Increasing rainwater use efficiency, gross return, and grain protein of rain-fed maize under nitrate and urea nitrogen forms. Not. Bot. Horti Agrobot. Cluj-Napoca 2023, 51, 13293. [Google Scholar]
- Van Der Eerden, L. Nitrogen on microbial and global scales. New Phytol. 1998, 139, 201–204. [Google Scholar] [CrossRef]
- Ryan, J.; Estefan, G.; Rashid, A. Soil and Plant Analysis Laboratory Manual; International Center for Agricultural Research in the Dry Areas (ICARDA): Beirut, Lebanon, 2001. [Google Scholar]
- Aura, E. Determination of available soil phosphorus by chemical methods. Agric. Food Sci. 1978, 50, 305–316. [Google Scholar] [CrossRef][Green Version]
- Murphy, J.; Riley, J.P. A modified single solution method for the determination of phosphate in natural waters. Anal. Chim. Acta 1962, 27, 31–36. [Google Scholar] [CrossRef]
- Jackson, M.L. Soil Chemical Analysis; Prentice Hall of India Private Limited: New Delhi, India, 1967; p. 498. [Google Scholar]
- Yeomans, J.C.; Brebmner, J.M. A rapid and precise method for routine determination of organic carbon in soil. Comm. Soil Sci. Plant Anal. 1988, 19, 1467–1476. [Google Scholar] [CrossRef]
- Bremner, J.M.; Keeney, D.R. Steam distillation methods for determination of ammonium, nitrate and nitrite. Anal. Chim. Acta 1965, 32, 485–495. [Google Scholar] [CrossRef]
- Gee, G.W.; Bauder, J.W. Particle size analysis by hydrometer: A simplified method for routine textural analysis and a sensitivity test of measured parameters. Soil Sci. Soc. Am. J. 1979, 43, 1004–1007. [Google Scholar] [CrossRef]
- Doran, J.W.; Mielke, L.N. A rapid, low-cost method for determination of soil bulk density. Soil Sci. Soc. Am. J. 1984, 48, 717–719. [Google Scholar] [CrossRef]
- AOAC—Association of Official Analytical Chemists Official Methods of Analysis, 16th ed.; AOAC: Washington, DC, USA, 1995.
- Cook, B.G.; Pengelly, B.C.; Brown, S.D.; Donnelly, J.L.; Eagles, D.A.; Franco, M.A.; Schultze-Kraft, R. Tropical Forages: An Interactive Selection Tool; [CD-ROM], CSIRO, DPI&F (Qld), CIAT and ILRI: Brisbane, Australia, 2005. [Google Scholar]
- Turgut, I.; Bilgili, U.Ğ.; Duman, A.; Acikgoz, E. Production of sweet sorghum (Sorghum bicolor L. Moench) increases with increased plant densities and nitrogen fertilizer levels. Acta Agric. Scand. Sect. B-Soil Plant 2005, 55, 236–240. [Google Scholar]
- Barre, P.; Turner, L.B.; Escobar-Gutiérrez, A.J. Leaf length variation in perennial forage grasses. Agriculture 2015, 5, 682–696. [Google Scholar] [CrossRef]
- Abu-Alrub, I.; Ahmed Aran, O.H.; Awaga, A. Yield and quality of Cenchrus ciliaris (L.) affected by nitrogen and phosphorus fertilization. J. Food Agric. Environ. 2014, 12, 139–142. [Google Scholar]
- Armah-Agyeman, G.; Loiland, J.; Karow, R.; Bean, B. Sudan Grass. In Technical Report on ‘Dryland Cropping Systems’ Oregon State University; Oregon State University: Corvallis, OR, USA, 2002; Available online: https://ir.library.oregonstate.edu (accessed on 21 May 2023).
- Xu, A.; Li, L.; Xie, J.; Wang, X.; Coulter, J.A.; Liu, C.; Wang, L. Effect of long-term nitrogen addition on wheat yield, nitrogen use efficiency, and residual soil nitrate in a semiarid area of the Loess Plateau of China. Sustainability 2020, 12, 1735. [Google Scholar] [CrossRef]
- Sher, A.; Hassan, F.U.; Ali, H.; Hassan, W. Seed rate and nitrogen application effects on production and brix value of forage sorghum cultivars. Grassl. Sci. 2016, 62, 119–127. [Google Scholar] [CrossRef]
- Moghimi, N.; Maghsoudi, K. Growth and yield responses of two forage sorghum cultivars to different nitrogen fertilizer rates. Iran Agric. Res. 2015, 34, 39–45. [Google Scholar]
- Jung, J.S.; Kim, Y.J.; Kim, W.H.; Lee, S.H.; Park, H.S.; Choi, K.C.; Choi, G.J. Effect of Nitrogen Fertilization Levels and its Split Application of Nitrogen on Growth Characters and Productivity in Sorghum × Sudangrass Hybrids [Sorghum bicolor (L.) Moench]. J. Korean Soc. Grassl. Forage Sci. 2016, 36, 215–222. [Google Scholar] [CrossRef]
- Nasar, J.; Wang, G.Y.; Zhou, F.J.; Gitari, H.; Zhou, X.B.; Tabl, K.M.; Hasan, M.E.; Ali, H.; Waqas, M.M.; Ali, I.; et al. Nitrogen fertilization coupled with foliar application of iron and molybdenum improves shade tolerance of soybean under maize-soybean intercropping. Front. Plant Sci. 2022, 13, 1014640. [Google Scholar] [CrossRef] [PubMed]
- Iptas, S.; Brohi, A.R. Effect of nitrogen rates and method of nitrogen application on dry matter yield and some characters of sorghum-sudangrass hybrid. Acta Agric. Scand. Sect. B-Plant Soil Sci. 2002, 52, 96–100. [Google Scholar] [CrossRef]
- Clayton, W.D.; Vorontsova, M.S.; Harman, K.T.; Williamson, H. GrassBase-The Online World Grass Flora. 2006. Available online: http://www.kew.org/data/grasses-db.html (accessed on 1 June 2023).
- Mwadalu, R.; Mochoge, B.; Mwangi, M.; Maitra, S.; Gitari, H. Response of Gadam sorghum (Sorghum bicolor) to farmyard manure and inorganic fertilizer application. Int. J. Agric. Environ. Biotechno. 2022, 15, 51–60. [Google Scholar] [CrossRef]
- Goher, R.; Alkharabsheh, H.M.; Seleiman, M.F.; Diatta, A.A.; Gitari, H.; Wasonga, D.O.; Khan, G.R.; Akmal, M. Impacts of heat shock on productivity and quality of Triticum aestivum L. at different growth stages. Not. Bot. Horti Agrobot. Cluj-Napoca 2023, 51, 13090. [Google Scholar] [CrossRef]
- Ayub, M.; Nadeem, M.A.; Tahir, M.; Ibrahim, M.; Aslam, M.N. Effect of nitrogen application and harvesting intervals on forage yield and quality of pearl millet (Pennisetum americanum L.). Pak. J. Life Soc. Sci. 2009, 7, 185–189. [Google Scholar]
- Worqlul, A.W.; Dile, Y.T.; Bezabih, M.; Adie, A.; Srinivasan, R.; Lefore, N.; Clarke, N. Identification of suitable areas for fodder production in Ethiopia. CATENA 2022, 213, 106154. [Google Scholar] [CrossRef]
- Farhadi, A.; Paknejad, F.; Golzardi, F.; Ilkaee, M.N.; Aghayari, F. Effects of Limited Irrigation and Nitrogen Rate on the Herbage Yield, Water Productivity, and Nutritive Value of Sorghum Silage. Commun. Soil Sci. Plant Anal. 2022, 53, 576–589. [Google Scholar] [CrossRef]
- Tommasino, E.; López, C.E.; Carrizo, M.; Grunberg, K.; Quiroga, M.; Carloni, E.; Griffa, S.; Ribotta, A.; Luna, C. Individual and combined effects of drought and heat on antioxidant parameters and growth performance in Buffel grass (Cenchrus ciliaris L.) genotypes. S. Afr J. Bot. 2018, 119, 104–111. [Google Scholar] [CrossRef]
- Mwadalu, R.; Mochoge, B.; Mwangi, M. Heightening sorghum nitrogen uptake while maintaining optimal soil nutrient levels through mineral fertiliser application. J. Appl. Life Sci. Environ. 2022, 54, 458–472. [Google Scholar] [CrossRef]
- Donaldson, C.H.; Rootman, G.T. Evaluation of Cenchrus ciliaris: Effects of nitrogen level and cutting frequency on digestibility and voluntary intake. Proc. Annu. Congr. Grassl. Soc. S. Afr. 1977, 12, 91–93. [Google Scholar]
- Mut, H.; Gulumser, E.; Dogrusoz, M.C.; Basaran, U. Effect of Different Nitrogen Levels on Hay Yield and Some Quality Traits of Sudan Grass and Sorghum-Sudan Grass Hybrids. Anim. Nut. Feed Technol. 2017, 17, 269–278. [Google Scholar] [CrossRef]
- Heydarzadeh, S.; Arena, C.; Vitale, E.; Rahimi, A.; Mirzapour, M.; Nasar, J.; Kisaka, O.; Sow, S.; Ranjan, S.; Gitari, H. Impact of different fertilizer sources under supplemental irrigation and rain-fed conditions on eco-physiological responses and yield characteristics of dragon’s head (Lallemantia iberica). Plants 2023, 12, 1693. [Google Scholar] [CrossRef]
- Raza, M.A.; Gul, H.; Wang, J.; Yasin, H.S.; Qin, R.; Khalid, M.H.B.; Naeem, M.; Feng, L.Y.; Iqbal, N.; Gitari, H.; et al. Land productivity and water use efficiency of maize-soybean strip intercropping systems in semi-arid areas: A case study in Punjab Province, Pakistan. J. Clean. Prod. 2021, 308, 127282. [Google Scholar] [CrossRef]










| Physical Property | Value | Chemical Property | Value |
|---|---|---|---|
| Clay (g kg−1) | 180 | pH (water) 1:2.5 | 7.05 |
| Sand (g kg−1) | 610 | Electrical conductivity (mS cm−1) | 0.3 |
| Silt (g kg−1) | 210 | Exchangeable Na (cmol kg−1) | 0.5 |
| Textural class | Sandy loam | Exchangeable K (cmol kg−1) | 0.8 |
| Bulk density (g cm−3) | 1.04 | Exchangeable Ca (cmol kg−1) | 6.7 |
| Exchangeable Mg (cmol kg−1) | 1.2 | ||
| Organic carbon (g kg−1) | 1.5 | ||
| Total N (g kg−1) | 0.7 | ||
| Available P (mg kg−1) | 5.8 |
| Block 1 | G1 × N1 | G1 × N2 | G1 × N3 | G1 × N4 | G1 × N5 | G2 × N1 | G2 × N2 | G2 × N3 | G2 × N4 | G2 × N5 |
| Path 2.0 m | ||||||||||
| Block 2 | G1 × N2 | G1 × N5 | G1 × N3 | G1 × N1 | G1 × N4 | G2 × N2 | G2 × N5 | G2 × N3 | G2 × N1 | G2 × N4 |
| Path 2.0 m | ||||||||||
| Block 3 | G1 × N4 | G1 × N3 | G1 × N1 | G1 × N5 | G1 × N2 | G2 × N4 | G2 × N3 | G2 × N1 | G2 × N5 | G2 × N2 |
| Plot size: 5 × 5 m | ||||||||||
| Main Plots (Grasses) | Subplots (N Levels) | |||||||||
![]() | G1—Buffel grass | N1—0 kg N ha−1 | ||||||||
![]() | G2—Sudan grass | N2—35 kg N ha−1 | ||||||||
| N3—70 kg N ha−1 | ||||||||||
| N4—105 kg N ha−1 | ||||||||||
| N5—140 kg N ha−1 | ||||||||||
| Season | Treatment | Crude Protein (%) | Neutral Detergent Fiber (%) | Acid Detergent Fiber (%) |
|---|---|---|---|---|
| 2021 Short rains | 0 kg N ha−1 | 4.07 ± 0.15 d | 45.53 ± 3.45 b | 25.47 ± 2.63 b |
| 35 kg N ha−1 | 5.60 ± 0.16 c | 48.07 ± 1.89 a | 27.37 ± 4.03 b | |
| 70 kg N ha−1 | 6.50 ± 0.18 b | 48.27 ± 3.35 a | 29.53 ± 5.29 a | |
| 105 kg N ha−1 | 8.70 ± 0.19 a | 49.67 ± 0.46 a | 31.10 ± 3.25 a | |
| 140 kg N ha−1 | 8.63 ± 0.12 a | 49.47 ± 1.29 a | 30.97 ± 3.22 a | |
| LSD | 0.06 | 1.16 | 1.28 | |
| p value | <0.001 | <0.001 | <0.001 | |
| 2022 Long rains | 0 kg N ha−1 | 4.27 ± 0.19 b | 44.53 ± 3.63 d | 24.20 ± 1.10 d |
| 35 kg N ha−1 | 5.80 ± 0.31 b | 46.20 ± 2.23 c | 26.30 ± 1.20 c | |
| 70 kg N ha−1 | 6.67 ± 0.55 a | 48.90 ± 5.89 b | 28.13 ± 1.18 b | |
| 105 kg N ha−1 | 8.80 ± 0.77 a | 49.73 ± 3.95 a | 29.67 ± 0.14 a | |
| 140 kg N ha−1 | 8.47 ± 0.93 a | 49.70 ± 4.72 a | 29.53 ± 0.12 a | |
| LSD | 1.77 | 0.29 | 0.79 | |
| p value | <0.001 | <0.001 | <0.001 |
| Season | Treatment | Crude Protein (%) | Neutral Detergent Fiber (%) | Acid Detergent Fiber (%) |
|---|---|---|---|---|
| 2021 Short rains | 0 kg N ha−1 | 7.67 ± 0.15 b | 61.83 ± 1.67 c | 34.93 ± 1.41 c |
| 35 kg N ha−1 | 8.43 ± 0.71 b | 63.23 ± 3.15 bc | 36.13 ± 1.43 bc | |
| 70 kg N ha−1 | 9.37 ± 0.31 a | 65.57 ± 1.29 ab | 36.87 ± 2.18 ab | |
| 105 kg N ha−1 | 10.17 ± 0.91 a | 67.17 ± 2.54 a | 37.63 ± 0.96 a | |
| 140 kg N ha−1 | 10.13 ± 1.01 a | 67.17 ± 2.20 a | 37.67 ± 0.92 a | |
| LSD | 0.54 | 1.54 | 0.77 | |
| p value | <0.001 | 0.002 | 0.003 | |
| 2022 Long rains | 0 kg N ha−1 | 7.73 ± 0.51 d | 62.93 ± 1.62 d | 34.40 ± 2.70 d |
| 35 kg N ha−1 | 8.73 ± 0.86 c | 64.33 ± 3.80 c | 35.40 ± 1.92 c | |
| 70 kg N ha−1 | 9.40 ± 0.90 b | 65.73 ± 4.01 b | 36.73 ± 2.52 b | |
| 105 kg N ha−1 | 10.33 ± 1.06 a | 67.00 ± 4.23 a | 37.53 ± 1.70 ab | |
| 140 kg N ha−1 | 10.37 ± 1.68 a | 66.73 ± 1.40 ab | 37.47 ± 1.72 a | |
| LSD | 0.16 | 0.78 | 0.53 | |
| p value | <0.001 | <0.001 | <0.001 |
| Grass Species | Independent Variable (x) | Aboveground Biomass Yield | Crude Protein | Neutral Detergent Fiber | Acid Detergent Fiber | ||||
|---|---|---|---|---|---|---|---|---|---|
| R2 | Equation | R2 | Equation | R2 | Equation | R2 | Equation | ||
| Buffel grass | Plant height | 0.96 *** | Y = 0.068x − 0.72 | 0.96 *** | Y = 0.059x + 0.29 | 0.71 ** | Y = 0.057x + 41.78 | 0.96 *** | Y = 0.059x + 0.29 |
| Leaf length | 0.94 *** | Y = 0.252x + 1.08 | 0.92 *** | Y = 0.215x + 1.92 | 0.78 *** | Y = 0.223x + 43.01 | 0.92 *** | Y = 0.215x + 1.92 | |
| No. of leaves | 0.87 *** | Y = 0.104x + 1.67 | 0.95 *** | Y = 0.089x + 2.40 | 0.69 ** | Y = 0.091x + 43.58 | 0.95 *** | Y = 0.089x + 2.40 | |
| Leaf width | 0.95 *** | Y = 1.256x + 0.12 | 0.94 *** | Y = 1.081x + 1.05 | 0.76 ** | Y = 1.088x + 42.27 | 0.94 *** | Y = 1.081x + 1.05 | |
| Stem girth | 0.95 *** | Y = 2.732x − 4.91 | 0.93 *** | Y = 2.338x − 3.22 | 0.72 ** | Y = 2.302x + 38.19 | 0.93 *** | Y = 2.338x − 3.22 | |
| No. of tillers | 0.94 *** | Y = 0.335x − 0.73 | 0.91 *** | Y = 0.286x + 0.37 | 0.70 ** | Y = 0.280x + 41.76 | 0.91 *** | Y = 0.286x + 0.37 | |
| Sudan grass | Plant height | 0.88 *** | Y = 0.05x − 1.86 | 0.89 *** | Y = 0.024x + 4.24 | 0.75 ** | Y = 0.043x + 56.16 | 0.89 *** | Y = 0.024x + 4.24 |
| Leaf length | 0.93 *** | Y = 0.23x + 2.28 | 0.96 *** | Y = 0.112x + 6.18 | 0.78 *** | Y = 0.208x + 59.51 | 0.96 *** | Y = 0.112x + 6.18 | |
| No. of leaves | 0.88 *** | Y = 0.122x + 1.99 | 0.91 *** | Y = 0.060x + 6.03 | 0.84 *** | Y = 0.112x + 59.15 | 0.91 *** | Y = 0.060x + 6.03 | |
| Leaf width | 0.88 *** | Y = 1.040x − 1.73 | 0.93 *** | Y = 0.509x + 4.19 | 0.80 *** | Y = 0.922x + 56.02 | 0.93 *** | Y = 0.509x + 4.19 | |
| Stem girth | 0.92 *** | Y = 3.021x − 10.18 | 0.92 *** | Y = 1.442x + 0.27 | 0.78 *** | Y = 2.608x + 48.96 | 0.92 *** | Y = 1.442x + 0.27 | |
| No. of tillers | 0.89 *** | Y = 0.230x + 0.422 | 0.90 *** | Y = 0.111x + 5.31 | 0.76 ** | Y = 0.198x + 58.14 | 0.90 *** | Y = 0.111x + 5.31 | |
Disclaimer/Publisher’s Note: The statements, opinions and data contained in all publications are solely those of the individual author(s) and contributor(s) and not of MDPI and/or the editor(s). MDPI and/or the editor(s) disclaim responsibility for any injury to people or property resulting from any ideas, methods, instructions or products referred to in the content. |
© 2023 by the authors. Licensee MDPI, Basel, Switzerland. This article is an open access article distributed under the terms and conditions of the Creative Commons Attribution (CC BY) license (https://creativecommons.org/licenses/by/4.0/).
Share and Cite
Alhammad, B.A.; Mohamed, A.; Raza, M.A.; Ngie, M.; Maitra, S.; Seleiman, M.F.; Wasonga, D.; Gitari, H.I. Optimizing Productivity of Buffel and Sudan Grasses Using Optimal Nitrogen Fertilizer Application under Arid Conditions. Agronomy 2023, 13, 2146. https://doi.org/10.3390/agronomy13082146
Alhammad BA, Mohamed A, Raza MA, Ngie M, Maitra S, Seleiman MF, Wasonga D, Gitari HI. Optimizing Productivity of Buffel and Sudan Grasses Using Optimal Nitrogen Fertilizer Application under Arid Conditions. Agronomy. 2023; 13(8):2146. https://doi.org/10.3390/agronomy13082146
Chicago/Turabian StyleAlhammad, Bushra Ahmed, Aden Mohamed, Muhammad Ali Raza, Mwende Ngie, Sagar Maitra, Mahmoud F. Seleiman, Daniel Wasonga, and Harun I. Gitari. 2023. "Optimizing Productivity of Buffel and Sudan Grasses Using Optimal Nitrogen Fertilizer Application under Arid Conditions" Agronomy 13, no. 8: 2146. https://doi.org/10.3390/agronomy13082146
APA StyleAlhammad, B. A., Mohamed, A., Raza, M. A., Ngie, M., Maitra, S., Seleiman, M. F., Wasonga, D., & Gitari, H. I. (2023). Optimizing Productivity of Buffel and Sudan Grasses Using Optimal Nitrogen Fertilizer Application under Arid Conditions. Agronomy, 13(8), 2146. https://doi.org/10.3390/agronomy13082146



