Interaction of ZnO Nanoparticles with Metribuzin in a Soil–Plant System: Ecotoxicological Effects and Changes in the Distribution Pattern of Zn and Metribuzin
Abstract
1. Introduction
2. Materials and Methods
2.1. Soil Properties, Chemicals and Reagents
2.2. Experimental Design
2.3. Zinc Concentration in Soil and Plant Tissues
2.4. MTZ and Metabolites Concentration in Soil and Plant Tissues
2.5. Biochemical Analysis of Plant Leaves
2.6. Enzymatic Activity in Soil
2.7. Statistical Analysis
3. Results
3.1. Initial Soil Zn and MTZ Concentrations and Soil pH
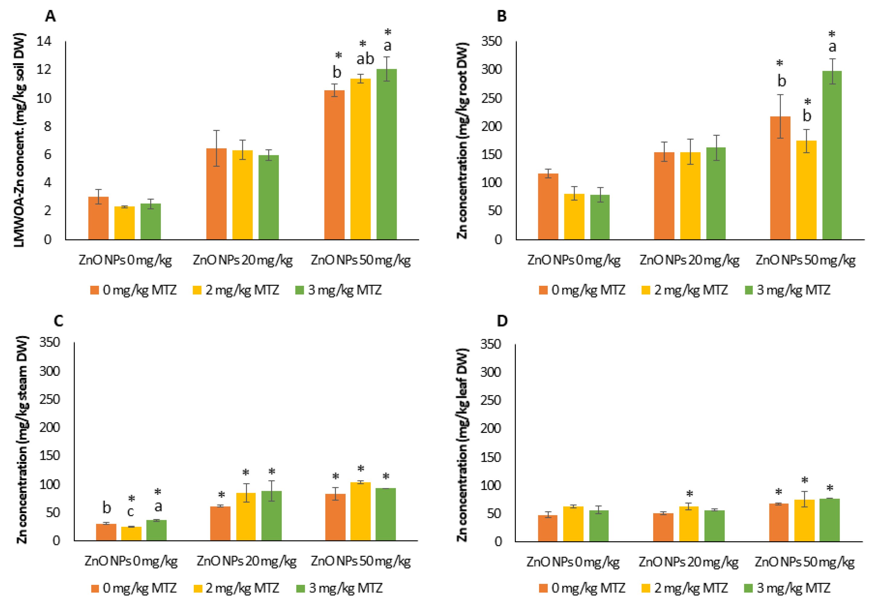
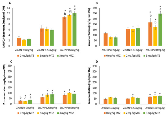
3.2. Zn Concentration in Soil and Plants
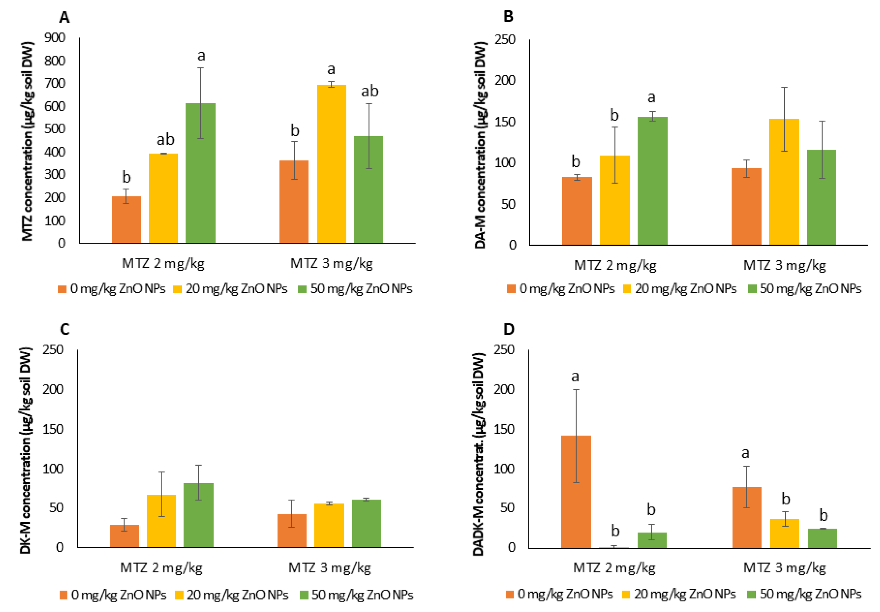
3.3. Concentration of MTZ and Its Metabolites in Soil
3.4. Concentration of MTZ and Its Metabolites in Plants
3.5. Plant Toxicity
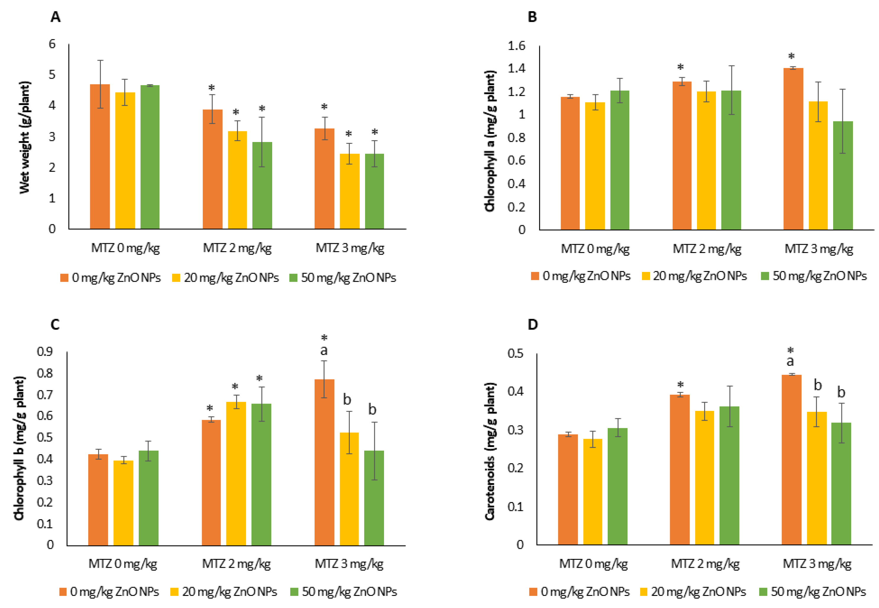
3.5.1. Germination and Plant Growth
3.5.2. Photosynthetic Pigments
3.5.3. Oxidative Stress-Related Parameters
3.6. Enzymatic Activity in Soil
3.7. Correlation Analysis
4. Discussion
4.1. Zn Concentration in Soil and Plants
4.2. Concentration of MTZ and Its Metabolites in Soil
4.3. Concentration of MTZ and Its Metabolites in Plants
4.4. Effects of ZnO NPs and MTZ on Plants
4.5. Enzymatic Activity in Soil
5. Conclusions
Supplementary Materials
Author Contributions
Funding
Data Availability Statement
Acknowledgments
Conflicts of Interest
References
- Sheteiwy, M.S.; Shaghaleh, H.; Hamoud, Y.A.; Holford, P.; Shao, H.; Qi, W.; Hashmi, M.Z.; Wu, T. Zinc oxide nanoparticles: Potential effects on soil properties, crop production, food processing, and food quality. Environ. Sci. Pollut. Res. 2021, 28, 36942–36966. [Google Scholar] [CrossRef]
- Šebesta, M.; Kolenčík, M.; Sunil, B.R.; Illa, R.; Mosnáček, J.; Ingle, A.P.; Urík, M. Field Application of ZnO and TiO2 Nanoparticles on Agricultural Plants. Agronomy 2021, 11, 2281. [Google Scholar] [CrossRef]
- Thounaojam, T.C.; Meetei, T.T.; Devi, Y.B.; Panda, S.K.; Upadhyaya, H. Zinc oxide nanoparticles (ZnO-NPs): A promising nanoparticle in renovating plant science. Acta Physiol. Plant. 2021, 43, 136. [Google Scholar] [CrossRef]
- Gauba, A.; Hari, S.K.; Ramamoorthy, V.; Vellasamy, S.; Govindan, G.; Arasu, M.V. The versatility of green synthesized zinc oxide nanoparticles in sustainable agriculture: A review on metal-microbe interaction that rewards agriculture. Physiol. Mol. Plant Pathol. 2023, 125, 102023. [Google Scholar] [CrossRef]
- Liu, L.; Nian, H.; Lian, T. Plants and rhizospheric environment: Affected by zinc oxide nanoparticles (ZnO NPs). A review. Plant Physiol. Biochem. 2022, 185, 91–100. [Google Scholar] [CrossRef]
- Wahla, A.Q.; Iqbal, S.; Anwar, S.; Firdous, S.; Mueller, J.A. Optimizing the metribuzin degrading potential of a novel bacterial consortium based on Taguchi design of experiment. J. Hazard. Mater. 2019, 366, 1–9. [Google Scholar] [CrossRef]
- Xiao, Y.; Zheng, L.; Wang, S.; Dong, M.; Gao, A.; Han, Z.; Liang, S.; Zhang, H. Bioremediation of metribuzin-contaminated soil by corn straw biochar-immobilized Bacillus cereus N1. Process Biochem. 2023, 130, 520–533. [Google Scholar] [CrossRef]
- Mohamed, I.A.; Abdalla, R.M. Weed control, growth, and yield of tomato after application of metribuzin and different pendimethalin products in Upper Egypt. J. Soil Sci. Plant Nutr. 2023, 23, 924–937. [Google Scholar] [CrossRef]
- Ji, Y.; Zhou, Y.; Ma, C.; Feng, Y.; Hao, Y.; Rui, Y.; Wu, W.; Gui, X.; Le, V.N.; Han, Y.; et al. Jointed toxicity of TiO2 NPs and Cd to rice seedlings: NPs alleviated Cd toxicity and Cd promoted NPs uptake. Plant Physiol. Biochem. 2017, 110, 82–93. [Google Scholar] [CrossRef]
- Venkatachalam, P.; Jayaraj, M.; Manikandan, R.; Geetha, N.; Rene, E.R.; Sharma, N.; Sahi, S. Zinc oxide nanoparticles (ZnONPs) alleviate heavy metal-induced toxicity in Leucaena leucocephala seedlings: A physiochemical analysis. Plant Physiol. Biochem. 2017, 110, 59–69. [Google Scholar] [CrossRef]
- Zhu, J.; Zou, Z.; Shen, Y.; Li, J.; Shi, S.; Han, S.; Zhan, X. Increased ZnO nanoparticle toxicity to wheat upon co-exposure to phenanthrene. Environ. Pollut. 2019, 247, 108–117. [Google Scholar] [CrossRef]
- Usman, M.; Zia-Ur-Rehman, M.; Rizwan, M.; Abbas, T.; Ayub, M.A.; Naeem, A.; Alharby, H.F.; Alabdallah, N.M.; Alharbi, B.M.; Qamar, M.J.; et al. Effect of soil texture and zinc oxide nanoparticles on growth and accumulation of cadmium by wheat: A life cycle study. Environ. Res. 2023, 216, 114397. [Google Scholar] [CrossRef]
- Zhang, W.; Long, J.; Li, J.; Zhang, M.; Xiao, G.; Ye, X.; Chang, W.; Zeng, H. Impact of ZnO nanoparticles on Cd toxicity and bioaccumulation in rice (Oryza sativa L.). Environ. Sci. Pollut. Res. 2019, 26, 23119–23128. [Google Scholar] [CrossRef]
- Xiao, Y.; Li, Y.; Shi, Y.; Li, Z.; Zhang, X.; Liu, T.; Farooq, T.H.; Pan, Y.; Chen, X.; Yan, W. Combined toxicity of zinc oxide nanoparticles and cadmium inducing root damage in Phytolacca americana L. Sci. Total. Environ. 2022, 806, 151211. [Google Scholar] [CrossRef]
- Josko, I.; Kusiak, M.; Xing, B.; Oleszczuk, P. Combined effect of nano-CuO and nano-ZnO in plant-related system: From bioavailability in soil to transcriptional regulation of metal homeostasis in barley. J. Hazard. Mater. 2021, 416, 126230. [Google Scholar] [CrossRef]
- Naasz, S.; Altenburger, R.; Kühnel, D. Environmental mixtures of nanomaterials and chemicals: The Trojan-horse phenomenon and its relevance for ecotoxicity. Sci. Total. Environ. 2018, 635, 1170–1181. [Google Scholar] [CrossRef]
- Deng, R.; Lin, D.; Zhu, L.; Majumdar, S.; White, J.C.; Gardea-Torresdey, J.L.; Xing, B. Nanoparticle interactions with co-existing contaminants: Joint toxicity, bioaccumulation and risk. Nanotoxicology 2017, 11, 591–612. [Google Scholar] [CrossRef]
- De La Torre-Roche, R.; Hawthorne, J.; Musante, C.; Xing, B.; Newman, L.A.; Ma, X.; White, J.C. Impact of Ag nanoparticle exposure on p,p′-DDE bioaccumulation by Cucurbita pepo (Zucchini) and Glycine max (Soybean). Environ. Sci. Technol. 2013, 47, 718–725. [Google Scholar] [CrossRef]
- Zhang, R.; Bai, X.; Shao, J.; Chen, A.; Wu, H.; Luo, S. Effects of zero-valent iron nanoparticles and quinclorac coexposure on the growth and antioxidant system of rice (Oryza sativa L.). Ecotoxicol. Environ. Saf. 2020, 203, 111054. [Google Scholar] [CrossRef]
- Apodaca, S.A.; Tan, W.; Dominguez, O.E.; Hernandez-Viezcas, J.A.; Peralta-Videa, J.R.; Gardea-Torresdey, J.L. Physiological and biochemical effects of nanoparticulate copper, bulk copper, copper chloride, and kinetin in kidney bean (Phaseolus vulgaris) plants. Sci. Total. Environ. 2017, 599–600, 2085–2094. [Google Scholar] [CrossRef]
- Wu, J.; Xie, Y.; Fang, Z.; Cheng, W.; Tsang, P.E. Effects of Ni/Fe bimetallic nanoparticles on phytotoxicity and translocation of polybrominated diphenyl ethers in contaminated soil. Chemosphere 2016, 162, 235–242. [Google Scholar] [CrossRef]
- Ma, C.; Liu, H.; Chen, G.; Zhao, Q.; Eitzer, B.; Wang, Z.; Cai, W.; Newman, L.A.; White, J.C.; Dhankher, O.P.; et al. Effects of titanium oxide nanoparticles on tetracycline accumulation and toxicity in Oryza sativa (L.). Environ. Sci. Nano 2017, 4, 1827–1839. [Google Scholar] [CrossRef]
- Parada, J.; Rubilar, O.; Sousa, D.; Martínez, M.; Fernández-Baldo, M.; Tortella, G. Short term changes in the abundance of nitrifying microorganisms in a soil-plant system simultaneously exposed to copper nanoparticles and atrazine. Sci. Total Environ. 2019, 670, 1068–1074. [Google Scholar] [CrossRef]
- Wang, F.; Adams, C.A.; Shi, Z.; Sun, Y. Combined effects of ZnO NPs and Cd on sweet sorghum as influenced by an arbuscular mycorrhizal fungus. Chemosphere 2018, 209, 421–429. [Google Scholar] [CrossRef]
- European Commision (EC). Renewal Assessment Report under Regulation 1107/2009. Metribuzin. Sencor SC 600. 2018. Available online: https://www.efsa.europa.eu/en/consultations/call/181115# (accessed on 26 July 2023).
- Lindsay, W.L.; Norvell, W.A. Development of a DTPA soil test for zinc, iron, manganese, and copper. Soil Sci. Soc. Am. J. 1978, 42, 421–428. [Google Scholar] [CrossRef]
- García-Gómez, C.; García, S.; Obrador, A.F.; González, D.; Babín, M.; Fernández, M.D. Effects of aged ZnO NPs and soil type on Zn availability, accumulation and toxicity to pea and beet in a greenhouse experiment. Ecotoxicol. Environ. Saf. 2018, 160, 222–230. [Google Scholar] [CrossRef]
- García-Gómez, C.; Babin, M.; Obrador, A.; Álvarez, J.M.; Fernández, M.D. Integrating ecotoxicity and chemical approaches to compare the effects of ZnO nanoparticles, ZnO bulk, and ZnCl2 on plants and microorganisms in a natural soil. Environ. Sci. Pollut. Res. 2015, 22, 16803–16813. [Google Scholar] [CrossRef]
- Feng, M.-H.; Shan, X.-Q.; Zhang, S.; Wen, B. A comparison of the rhizosphere-based method with DTPA, EDTA, CaCl2, and NaNO3 extraction methods for prediction of bioavailability of metals in soil to barley. Environ. Pollut. 2005, 137, 231–240. [Google Scholar] [CrossRef]
- Albero, B.; Fernández, M.D.; García-Gómez, C.; Pérez, R.A. Rapid determination of metribuzin and three major transformation products in soil and plant by Gas Chromatography–Tandem Mass Spectrometry. Separations 2022, 9, 386. [Google Scholar] [CrossRef]
- García-Gómez, C.; Obrador, A.; González, D.; Babín, M.; Fernández, M.D. Comparative study of the phytotoxicity of ZnO nanoparticles and Zn accumulation in nine crops grown in a calcareous soil and an acidic soil. Sci. Total Environ. 2018, 644, 770–780. [Google Scholar] [CrossRef]
- García-Gómez, C.; Fernández, M.D.; García, S.; Obrador, A.F.; Letón, M.; Babín, M. Soil pH effects on the toxicity of zinc oxide nanoparticles to soil microbial community. Environ. Sci. Pollut. Res. 2018, 25, 28140–28152. [Google Scholar] [CrossRef]
- Kandeler, E. Potential nitrification. Methods Soil Biol. 1996, 4, 146–149. [Google Scholar]
- Kandeler, E.; Gerber, H. Short-term assay of soil urease activity using colorimetric determination of ammonium. Biol. Fertil. Soils 1988, 6, 68–72. [Google Scholar] [CrossRef]
- Lv, J.; Christie, P.; Zhang, S. Uptake, translocation, and transformation of metal-based nanoparticles in plants: Recent advances and methodological challenges. Environ. Sci. Nano 2019, 6, 41–59. [Google Scholar] [CrossRef]
- Adriano, D.C. Trace elements in terrestrial environments. In Biogeochemistry, Bioavailability and Risk of Metals, 2nd ed.; Springer: New York, NY, USA, 2001. [Google Scholar]
- Waalewijn-Kool, P.L.; Ortiz, M.D.; van Straalen, N.M.; van Gestel, C.A.M. Sorption, dissolution and pH determine the long-term equilibration and toxicity of coated and uncoated ZnO nanoparticles in soil. Environ. Pollut. 2013, 178, 59–64. [Google Scholar] [CrossRef]
- Zhao, S.; Fan, Z.; Sun, L.; Zhou, T.; Xing, Y.; Liu, L. Interaction effects on uptake and toxicity of perfluoroalkyl substances and cadmium in wheat (Triticum aestivum L.) and rapeseed (Brassica campestris L.) from co-contaminated soil. Ecotoxicol. Environ. Saf. 2017, 137, 194–201. [Google Scholar] [CrossRef]
- Safarpoor, M.; Faraji, M.; Kamali, M.; Sharififar, A.; Sahami, B.; Sadeghianfar, P.; Nazari, M. Effect of Biofertilizers and Metribuzin on Weeds and Yield of Tomato. Agric. Res. 2018, 7, 89–92. [Google Scholar] [CrossRef]
- He, G.; Yang, Y.; Liu, G.; Zhang, Q.; Liu, W. Global analysis of the perturbation effects of metal-based nanoparticles on soil nitrogen cycling. Glob. Chang. Biol. 2023, 29, 4001–4017. [Google Scholar] [CrossRef]
- Zhang, X.; Xu, Z.; Wu, M.; Qian, X.; Lin, D.; Zhang, H.; Tang, J.; Zeng, T.; Yao, W.; Filser, J.; et al. Potential environmental risks of nanopesticides: Application of Cu(OH)2 nanopesticides to soil mitigates the degradation of neonicotinoid thiacloprid. Environ. Int. 2019, 129, 42–50. [Google Scholar] [CrossRef]
- Uwizeyimana, H.; Wang, M.; Chen, W.; Khan, K. The eco-toxic effects of pesticide and heavy metal mixtures towards earthworms in soil. Environ. Toxicol. Pharmacol. 2017, 55, 20–29. [Google Scholar] [CrossRef]
- Bartucca, M.L.; Mimmo, T.; Cesco, S.; Panfili, I.; Del Buono, D. Effect of metribuzin on nitrogen metabolism and iron acquisition in Zea mays. Chem. Ecol. 2019, 35, 720–731. [Google Scholar] [CrossRef]
- Pilcher, W.; Zandkamiri, H.; Arceneaux, K.; Harrison, S.; Baisakh, N. Genome-wide microarray analysis leads to identification of genes in response to herbicide, metribuzin in wheat leaves. PLoS ONE 2017, 12, e0189639. [Google Scholar] [CrossRef] [PubMed]
- Lu, H.; Yu, Q.; Han, H.; Owen, M.J.; Powles, S.B. Metribuzin resistance in a wild radish (Raphanus raphanistrum) population via both psbA gene mutation and enhanced metabolism. J. Agric. Food Chem. 2019, 67, 1353–1359. [Google Scholar] [CrossRef] [PubMed]
- Bhoite, R.; Onyemaobi, I.; Si, P.; Siddique, K.H.M.; Yan, G. Identification and validation of QTL and their associated genes for pre-emergent metribuzin tolerance in hexaploid wheat (Triticum aestivum L.). BMC Genet. 2018, 19, 102. [Google Scholar] [CrossRef]
- González-Moscoso, M.; Juárez-Maldonado, A.; Cadenas-Pliego, G.; Meza-Figueroa, D.; SenGupta, B.; Martínez-Villegas, N. Silicon nanoparticles decrease arsenic translocation and mitigate phytotoxicity in tomato plants. Environ. Sci. Pollut. Res. 2022, 29, 34147–34163. [Google Scholar] [CrossRef]
- Huang, H.; Ullah, F.; Zhou, D.-X.; Yi, M.; Zhao, Y. Mechanisms of ROS regulation of plant development and stress responses. Front. Plant Sci. 2019, 10, 800. [Google Scholar] [CrossRef]
- Cao, W.C.; Gong, J.L.; Zeng, G.M.; Song, B.; Zhang, P.; Li, J.; Fang, S.Y.; Qin, L.; Ye, J.; Cai, Z. Mutual effects of silver nanoparticles and antimony(III)/(V) co-exposed to Glycine max (L.) Merr. in hydroponic systems: Uptake, translocation, physiochemical responses, and potential mechanisms. Environ. Sci. Nano 2020, 7, 2691–2707. [Google Scholar] [CrossRef]
- Hussain, A.; Ali, S.; Rizwan, M.; Zia ur Rehman, M.; Javed, M.R.; Imran, M.; Chatha, S.A.S.; Nazir, R. Zinc oxide nanoparticles alter the wheat physiological response and reduce the cadmium uptake by plants. Environ. Pollut. 2018, 242, 1518–1526. [Google Scholar] [CrossRef]
- Cakmak, I. Tansley review No. 111—Possible roles of zinc in protecting plant cells from damage by reactive oxygen species. New Phytol. 2000, 146, 185–205. [Google Scholar] [CrossRef]
- Jośko, I.; Kusiak, M.; Oleszczuk, P.; Świeca, M.; Kończak, M.; Sikora, M. Transcriptional and biochemical response of barley to co-exposure of metal-based nanoparticles. Sci. Total. Environ. 2021, 782, 146883. [Google Scholar] [CrossRef]
- Kamali-Andani, N.; Fallah, S.; Peralta-Videa, J.R.; Golkar, P. A comprehensive study of selenium and cerium oxide nanoparticles on mung bean: Individual and synergistic effect on photosynthesis pigments, antioxidants, and dry matter accumulation. Sci. Total Environ. 2022, 830, 154837. [Google Scholar] [CrossRef]
- González-Moscoso, M.; Martínez-Villegas, N.; Cadenas-Pliego, G.; Juárez-Maldonado, A. Effect of Silicon Nanoparticles on Tomato Plants Exposed to Two Forms of Inorganic Arsenic. Agronomy 2022, 12, 2366. [Google Scholar] [CrossRef]
- Yu, R.; Wu, J.; Liu, M.; Zhu, G.; Chen, L.; Chang, Y.; Lu, H. Toxicity of binary mixtures of metal oxide nanoparticles to Nitrosomonas europaea. Chemosphere 2016, 153, 187–197. [Google Scholar] [CrossRef]
- Pietri, J.A.; Brookes, P. Substrate inputs and pH as factors controlling microbial biomass, activity and community structure in an arable soil. Soil Biol. Biochem. 2009, 41, 1396–1405. [Google Scholar] [CrossRef]
- Rizwan, M.; Ali, S.; Ali, B.; Adrees, M.; Arshad, M.; Hussain, A.; ur Rehman, M.Z.; Waris, A.A. Zinc and iron oxide nanoparticles improved the plant growth and reduced the oxidative stress and cadmium concentration in wheat. Chemosphere 2019, 214, 269–277. [Google Scholar] [CrossRef]
- Lichtenthaler, H.K. Chlorophylls and carotenoids: Pigments of photosynthetic biomembranes. Methods Enzymol. 1987, 148, 350–382. [Google Scholar] [CrossRef]
- Bradford, M.M. Rapid and sensitive method for quantitation of microgram quantities of protein utilizing principle of 846 protein-dye binding. Anal. Biochem. 1976, 72, 248–254. [Google Scholar] [CrossRef]






| ZnO NPs | MTZ | ZnO NPs × MTZ | ||
|---|---|---|---|---|
| Plant weight | 0.0236 | 0.0000 | NS | |
| Photosynthetic pigments | CHLa | NS | NS | NS |
| CHLb | NS | 0.0010 | 0.0136 | |
| Carotenoids | 0.0158 | 0.0002 | 0.0487 | |
| CHLa/b | NS | 0.0000 | 0.0228 | |
| Stress oxidative biomarkers | ROS | 0.0212 | NS | NS |
| MDA | NS | 0.0000 | 0.0020 | |
| GPOD | 0.0001 | 0.0000 | 0.0031 | |
| APX | 0.0003 | 0.0000 | 0.0001 | |
| CAT | NS | 0.0000 | NS | |
| Soil enzyme activity | DH | NS | NS | NS |
| Ammonium oxidase | 0.0007 | 0.0000 | 0.0487 | |
| Phosphatase | NS | 0.0014 | 0.0000 | |
| Concentration in soil | MTZ | 0.0058 | NS | 0.0234 |
| DA-M | 0.0295 | NS | NS | |
| DK-M | 0.0292 | NS | NS | |
| DADK-M | 0.0003 | NS | 0.0274 | |
| Concentration in root | MTZ | NS | 0.0274 | 0.0398 |
| DA-M | NS | 0.0002 | 0.0257 | |
| DK-M | NS | 0.0039 | NS | |
| DADK-M | NS | 0.0000 | NS | |
| Concentration in stem | MTZ | 0.0098 | NS | NS |
| DA-M | 0.0128 | 0.0002 | NS | |
| DK-M | 0.0154 | 0.0083 | NS | |
| DADK-M | NS | NS | 0.0083 | |
| Concentration in leaf | MTZ | NS | 0.0022 | NS |
| DA-M | NS | 0.0004 | NS | |
| DK-M | NS | 0.0001 | NS | |
| DADK-M | 0.0000 | 0.0001 | 0.0128 |
Disclaimer/Publisher’s Note: The statements, opinions and data contained in all publications are solely those of the individual author(s) and contributor(s) and not of MDPI and/or the editor(s). MDPI and/or the editor(s) disclaim responsibility for any injury to people or property resulting from any ideas, methods, instructions or products referred to in the content. |
© 2023 by the authors. Licensee MDPI, Basel, Switzerland. This article is an open access article distributed under the terms and conditions of the Creative Commons Attribution (CC BY) license (https://creativecommons.org/licenses/by/4.0/).
Share and Cite
García-Gómez, C.; Pérez, R.A.; Albero, B.; Obrador, A.; Almendros, P.; Fernández, M.D. Interaction of ZnO Nanoparticles with Metribuzin in a Soil–Plant System: Ecotoxicological Effects and Changes in the Distribution Pattern of Zn and Metribuzin. Agronomy 2023, 13, 2004. https://doi.org/10.3390/agronomy13082004
García-Gómez C, Pérez RA, Albero B, Obrador A, Almendros P, Fernández MD. Interaction of ZnO Nanoparticles with Metribuzin in a Soil–Plant System: Ecotoxicological Effects and Changes in the Distribution Pattern of Zn and Metribuzin. Agronomy. 2023; 13(8):2004. https://doi.org/10.3390/agronomy13082004
Chicago/Turabian StyleGarcía-Gómez, Concepción, Rosa Ana Pérez, Beatriz Albero, Ana Obrador, Patricia Almendros, and María Dolores Fernández. 2023. "Interaction of ZnO Nanoparticles with Metribuzin in a Soil–Plant System: Ecotoxicological Effects and Changes in the Distribution Pattern of Zn and Metribuzin" Agronomy 13, no. 8: 2004. https://doi.org/10.3390/agronomy13082004
APA StyleGarcía-Gómez, C., Pérez, R. A., Albero, B., Obrador, A., Almendros, P., & Fernández, M. D. (2023). Interaction of ZnO Nanoparticles with Metribuzin in a Soil–Plant System: Ecotoxicological Effects and Changes in the Distribution Pattern of Zn and Metribuzin. Agronomy, 13(8), 2004. https://doi.org/10.3390/agronomy13082004

