Next Article in Journal
Effect of Bioreactor Cultures on the Proliferation and Biological Activity of Protocorm-like Bodies of Dendrobium loddigesii
Previous Article in Journal
Integrated Analysis of Transcriptome and Metabolome Reveals New Insights into the Molecular Mechanism Underlying the Color Differences in Wolfberry (Lycium barbarum)
 
 
Font Type:
Arial Georgia Verdana
Font Size:
Aa Aa Aa
Line Spacing:
Column Width:
Background:
Article

Deep Straw Burial Accelerates Straw Decomposition and Improves Soil Water Repellency

1
College of Resource and Environmental Science, Jilin Agricultural University, Changchun 130118, China
2
College of Agriculture Science, Jilin Agricultural University, Changchun 130118, China
*
Authors to whom correspondence should be addressed.
Agronomy 2023, 13(7), 1927; https://doi.org/10.3390/agronomy13071927
Submission received: 21 June 2023 / Revised: 11 July 2023 / Accepted: 18 July 2023 / Published: 21 July 2023
(This article belongs to the Section Soil and Plant Nutrition)

Abstract

The continuous input, slow decomposition, and retention of straw can impede tillage and crop growth, and the decomposition process of the straw in soil is affected by its composition and the method of application. Experimental Station of Jilin Agricultural University, Changchun City, Jilin Province. The soil type was Argiudolls, the experimental field area was 30 m2, and the maize was planted continuously for 12 years without returning the straw to the field. There were four treatments: (1) control (CK), 10 g of straw was placed on the surface of a nylon mesh bag, and the nylon mesh bag was separated from the soil by polyethylene film without contacting with the soil; (2) straw mulching (CM), a nylon mesh bag with 10 g of straw was placed on the soil surface; (3) straw burying (CD), a nylon mesh bag with 10 g of straw was buried at a depth of 40 cm from the soil surface; (4) straw burying (CE), a nylon mesh bag with 40 cm of soil depth. Fifteen micro-zones were set up with a micro-zone area of 1 m2 and each micro-zone consisted of four treatments randomly grouped in three replicates per treatment. The on-site nylon bag burying trial started on 20 April 2021 and ended on 15 April 2022. Nylon bag and soil samples were collected on days 0, 30, 90, 180, 270, and 360. SOC, TN, straw component decomposition, and water droplet-soil contact angle were determined. Our results showed that the CE treatment increased soil organic carbon (SOC) and total nitrogen (TN) content compared to the CM and CD treatments. Compared with CK, straw decomposition rates increased by 13.3%, 30.8%, and 22.3% in the CM, CD, and CE treatments, respectively. Lignin decomposition rates increased by 7.8%, 27.3%, and 16.2%; cellulose decomposition rates increased by 14.6%, 35.4%, and 27.3%; and hemicellulose decomposition rates increased by 17.2%, 31.7% and 23.7% in the CD treatment, respectively. Compared with CK, the contact angle of droplets in the CD treatment was statistically significantly increased by 91.5% when the droplets remained on the soil surface for 5 s. The rate of decrease of droplet contact angle with time was statistically significantly decreased by 11.8%, and the penetration rate of droplets on the soil surface was slower. Overall, the CD treatment promoted straw decomposition and increased SWR compared to the CM and CE treatments. which are important attributes to enhance soil quality and improve soil structural stability.

1. Introduction

Due to soil erosion, intensive land use, and the removal of straw, resulting in shallow tillage, hard subsurface layers, and poor fertility, the quality and quantity of soil organic carbon (SOC) in arable soils in the black soils of Northeast China have significantly decreased over the past few years [1]. In China, returning straw to the field is a common practice as straw consists of nearly all of the carbon (C) absorbed from the soil [2].
The continuous application, slow decomposition, and retention of straw, however, may impede tillage and crop growth and also nutrient effectiveness, soil temperature, water infiltration and evaporation, and pest and disease populations [3,4]. According to studies, the contents of the straw and the method of application have an impact on the rate that it breaks down in the soil [5,6,7]. By altering microbial colonization [8], co-metabolism [9], or mineral catalysis [10], the straw interaction with soil promotes straw decomposition. Thus, the depth and positioning of crop straw may affect the rate at which it decomposes. Furthermore, the application of straw is critical to the division and mineralization of straw as these are both key to the efficient use of straw [11]. To place crop straw in contact with the soil at various depths, it can either be left on the ground as mulch or combined into the soil by tilling, rototilling, or disk tilling [12]. The composition of agricultural straw is mainly affected by its C content, N concentration, C/N ratio, and lignin content [13]. Based on studies conducted by Gaind and Nain (2007), the crop straw’s lignin amount may be considered a valid indicator of the rate at which the straw decomposes [14], and this value is often associated with the inverse rate of decline [15,16]. The cellulose and hemicellulose of straw are easily decomposed, while lignin is not easily decomposed [17,18,19]. The crystalline nature of cellulose, the water repellency of lignin, and the protective layer of the lignin–hemicellulose matrix on cellulose [20] combine to hinder microbial access to the inner regions of the straw [21].
Structurally diverse plant residues are produced during the decomposition of straw, and these recalcitrant materials accumulate and incorporate into the soil organic matter (SOM) [10]. Soil water repellency (SWR) increases as water-repellent lignin accumulated from the decomposition of fresh organic matter [22]. When water is present on the soil surface, an effect named SWR occurs where the soil is not instantly wet. It affects the soil’s hydrological balance, water evaporation, erosion, soil infiltration [23,24]. Based on Doerr et al., SWR is a transitory attribute of soils that enhances its resistance to wetting and infiltration [25]. It is also highly variable in both location and time. The SWR has an advantageous role in preserving soil stability [26,27] and organic carbon sequestration [28] under specific circumstances. Further, the SWR intensity and persistence impact soil moisture content [29,30,31]. The SWR is produced by the accumulation of hydrophobic compounds that originate from vegetation [32] or microorganisms [33], or by the decomposition of fresh organic matter with low levels of decomposition and humification [22]. In the event of weak attractive forces between molecules at the solid/liquid interfaces, SWR occurs naturally when high-energy soil mineral surfaces are covered by thin films of low-energy organic compounds, resulting in the growth of water-repellent films [34]. SOM is known to be present as a thin coating over soil mineral particles or as particulate organic matter, both of which may reduce soil wettability, and increase SWR [35].
The SOM appears to play an essential role in the occurrence of SWR [24]. In line with Deurer et al., there is a correlation between the quantity of SWR and the content of SOM [36]. The main source of SOM is plant residues, and the hydrophobic component of SOM can be traced back to the original plant input [37,38]. The hydrophobic compounds in SOM are derived directly from crop residues containing high levels of waxes, aromatic oils, lipids, and lignin, and are usually more resistant to microbial degradation than hydrophilic substances [25,39]. These aromatic and aliphatic carbons from lipids or lignin in SOM are the most important chemical classes causing SWR effects on soil water status, infiltration capacity [40], hydraulic conductivity, and water availability of plants [41] Moderate water repellency is common in soils and its positive effects on soil structure and quality are recognized [42]. To protect organic matter as a stabilizing mechanism, water repellency makes soil aggregates more stable [43]. Given that the soil’s structural stability is improved, an increase in soil water repellency indicates an improvement in soil quality [44]. As such, it is important to properly assess water repellency, particularly in agricultural soils [45]. However, the possible link between plant residue fractions and SWR for different straw return methods is not well known. Therefore, the objective of this study was to investigate the effects of different straw return methods on soil organic carbon and total nitrogen contents, straw lignin, cellulose, hemicellulose, and straw residues, as well as soil organic carbon and total nitrogen contents and important straw fractions on SWR.
In this study, we proposed two broader hypotheses: (1) Straw return is beneficial to increase SOC and TN. Straw residue and its lignin, cellulose, and hemicellulose decomposition rates are higher under different straw return treatments. (2) The increase in SOC and TN along with the increase in the decomposition rate of lignin, cellulose, and hemicellulose in straw affect the CA of water droplets with soil and increase the SWR. To test our hypothesis, this study investigated the direct effect of crop residual lignin, cellulose, and hemicellulose on SWR and the extent of SWR under different straw-returning strategies, using typical black soils (Argiudolls) and maize stover as reference. Understanding the dynamics of the interaction between SOC, straw composition, and SWR under different straw-returning practices is essential for managing and predicting soil organic matter and soil quality. It also provides a theoretical basis for the effects of different straw-returning methods on the straw decomposition process and soil physicochemical properties.
The SWR was explored using an assortment of methods, notably WDPT (water drop penetration time), MED (ethanol droplet molarity), and CA (contact angle). According to the study by Leelamanie et al., the two most common methods for characterizing SWR are CA and WDPT, with the former related to the level of SWR and the latter to its persistence [46].

2. Materials and Methods

2.1. Study Site

The experiment was conducted at the Experimental Station of Jilin Agricultural University in Changchun, Jilin Province, Northeast China (43°48′43.57″ N, 125°23′38.50″ E). The area has a humid climate with a mean annual temperature of 4.6 °C and a mean annual precipitation of 600 to 700 mm. The soil type is a subclass of semi-wet-temperate, semi-alluvial black soils, corresponding to the American systematic classification of clay-deposited moist soft soils (Argiudolls). The experimental plot was 30 m2 in size, and maize was grown continuously for 12 years without returning the straw to the field. The initial organic carbon content was 11.2 g kg−1 and the total nitrogen content was 1.3 g kg−1 as determined by the experiment.

2.2. Experimental Materials

The corn straw was collected from the experimental field of Jilin Agriculture University, in September 2020. The basic properties of the straw were organic carbon 376.4 g kg−1, total N 7.22 g kg−1, total P 7.7 g kg−1, total potassium 4.5 g kg−1, and C/N ratio of 61.8.
The nylon mesh bag (manufacturer: Ju feng Net, Hangzhou, Zhejiang Province, China) had a pore size of 0.15 mm (10 cm × 10 cm), allowing water, soil microorganisms, and randomized soil particles to enter.

2.3. Experimental Design

The field nylon bag burial trial was initiated on 20 April 2021. Four treatments were set up: ① control (CK), nylon mesh bags with 10 g of straw were placed on the surface with polyethylene film between the nylon bags and the soil, with no contact with the soil, with the aim to compare with other treatments; ② straw mulching (CM), nylon mesh bags with 10 g of straw were placed on the soil surface, with the aim to simulate straw mulching in the field; ③ straw deep burial (CD), nylon mesh bags with 10 g of straw were buried 40 cm from the soil surface, with the aim to simulate the deep turning of straw in the field; ④ doubled straw deep burial (CE), nylon mesh bags with 30 g of straw in a nylon mesh bag at 40 cm of soil depth, with the aim to simulate the deep turning of a doubled amount of straw in the field. Fifteen micro-zones were set up with a micro-zone area of 1 m2 and each micro-zone consisted of four treatments arranged in randomized groups with three replications of each treatment.

2.4. Sample Collection

Nylon bags and soil samples were collected at 0, 30, 90, 180, 270, and 360 days after the start of the experiment in each of the three micro-zones for each treatment. Soil samples were collected at a depth of 5 cm at the interface between the nylon mesh bags and the soil to remove any visible organic debris and stones.

2.5. Physicochemical Analysis

2.5.1. Soil Carbon and Nitrogen Content

SOC was determined using the K2Cr2O7-H2SO4 oxidation method [47]. Soil TN content was determined using the Kjeldahl method [48].

2.5.2. Determination of Straw Composition

Lignin: titration with ammonium ferrous sulphate solution; cellulose: titration with ammonium ferrous sulphate solution; hemicellulose: determination by copper iodide [38].

2.5.3. SWR Determination

The contact angle (CA) of the treated soil sample with water was measured at room temperature with a fully automatic contact angle meter (Optical Contact Angle Meter, OCA20, Dataphysics, Filderstadt, Germany). Digital micrographs of horizontal views of the water droplets were taken at 0, 1, 3, and 5 s. The CA was measured at five different locations on each surface and the average obtained CA was the final static water CA.

2.6. Calculations and Statistical Analysis

Straw decomposition rate: straw was set at 0, 30, 90, 180, 270, and 360 days after the experimental set-up, to exclude the effect of water content on strawweight, so after washing the straw and air-drying and weighing it (weighing with an electronic balance with an accuracy class of milligrams), a portion of the straw was weighed and dried at 105 °C for 2 h until there was no change in weight and then the water content of the straw was measured, and the dry weight of all the straw was calculated from the water content and measured by subtracting the difference with the weight of the straw at 0 d Straw residue.
Statistical analysis: Data were processed using Microsoft Office Excel 2017 (Microsoft Windows, Redmond, DC, USA) and analysis of variance (ANOVA) was performed using SPSS software (IBM Statistics 21.0, New York, NY, USA) to evaluate the effect of different straw return patterns on all measured soil parameters. The least significant difference test of p < 0.05 was used to evaluate significant differences in the means of straw return patterns and TUKEYs were adjusted at p < 0.05. Graphs were compiled using Origin 2021b software (OriginLab Inc., Northampton, MA, USA).

3. Results

3.1. Soil Organic Carbon and Total Nitrogen Content

Figure 1 depicts the SOC and TN content of the soils under different treatments, with a trend of decreasing, then increasing, and then decreasing organic carbon content in CK, CM, and CD soils, and a significant increase in total nitrogen content with time. From 0 to 30 (d), the SOC contents of CK, CM, CD, and CE treatments decreased by 0.7%, 0.4%, 0.3%, and 0.1%, respectively; from 30 to 270 (d), they increased by 1.2%, 1.4%, 1.6%, and 1.6%, respectively, and then peaked. The SOC content at 360 (d) was statistically significantly lower in the CM and CD treatments compared to 270 (d). The SOC content of the different treatments at 360 (d) was CE > CD > CM > CK, with statistically significant differences between CE and the other treatments. The greater the amount of straw applied to the soil, the more C was obtained in the CE treatment, and the SOC content increased by 1.66% after 360 (d). The TN content of the soil in the CM, CD, and CE treatments increased significantly with time (Figure 1) and peaked at 360 (d). The TN content of the CK treatment did not change significantly from 0 to 360 (d). The TN content of each treatment at 360 (d) was CE > CD > CM > CK, with the CE treatment showing the most significant difference, with a 32.3% increase in TN content compared to 0 (d).

3.2. Straw Composition

Figure 2 depicts the amount of straw lignin, cellulose, straw hemicellulose, and straw residue under the different treatments, all of which decreased statistically significantly with time. Compared to the control treatment, the lignin content of straw in the CM, CD, and CE treatments decreased significantly with an increasing number of days (Figure 2a). The lignin content of straw in the CM, CD, and CE treatments decreased by 6.8%, 11.3%, and 12.7% from 0 to 90 (d); 1.6%, 4.5%, and 0.2% from 90 to 180 (d); and 6.3%, 21.6%, and 10.92% from 180 to 360 (d), respectively. The cellulose content of straw in the CM, CD, and CE treatments followed a similar pattern to that of lignin content, decreasing significantly with an increasing number of days (Figure 2b). The cellulose content of straw in the CM treatment increased by 0.7% between 0 and 90 (d), while in the CD and CE treatments, it decreased by 6.7% and 1.1%; between 90 and 180 (d), it decreased by 5.1%, 9.3%, and 16.1%; and between 180 and 360 (d), it decreased by 11.4%, 26.5%, and 14.7%, respectively. The cellulose content of the straw was lowest in all treatments at 360 (d) and the difference was statistically significant.
As shown in Figure 2c, the hemicellulose content of straw in the CM, CD, and CE treatments all decreased significantly after 90 (d) compared to the control treatment as the number of days increased. The cellulose content of straw in the CM, CD, and CE treatments decreased by 6.81%, 14.2%, and 11.0% from 0 to 90 (d); 9.1%, 2.3%, and 13.0% from 90 to 180 (d); and 6.5%, 22.2%, and 5.6% from 180 to 360 (d), respectively. The cellulose content of the straw was lowest in each treatment at 360 (d) and the difference was statistically significant. As the number of days increased, the amount of straw residue decreased in all treatments (Figure 2d). Compared to 0 (d), the CM, CD, and CE treatments decreased by 30.1%, 45.9%, and 37.1%, respectively, at 360 (d), with the CD treatment showing the most statistically significant decrease.
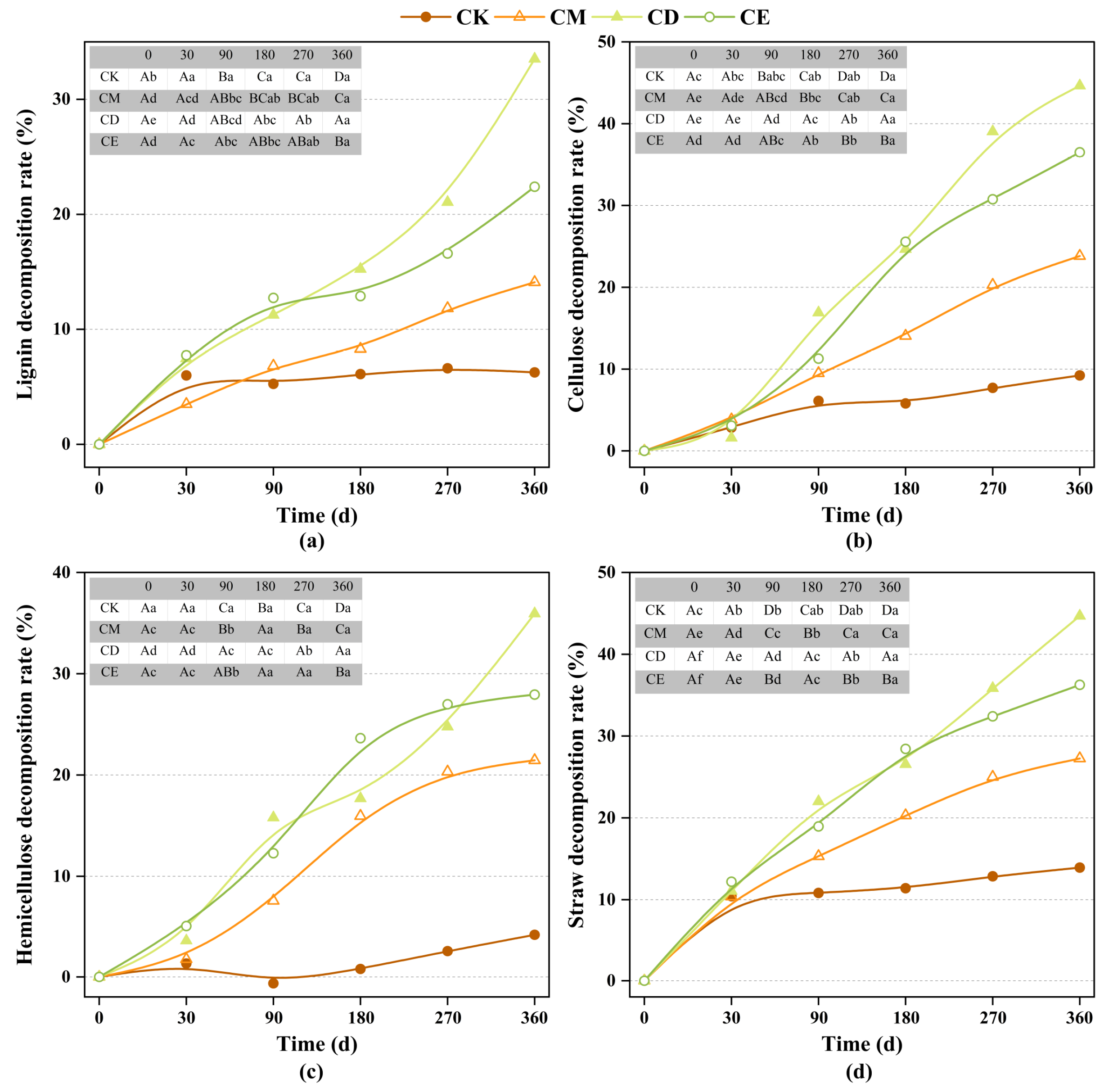
The lignin, cellulose, hemicellulose, and straw decomposition rates of straw were statistically significantly higher with increasing days for each treatment compared to the control treatment (Figure 3). At 360 (d), the lignin, cellulose, hemicellulose, and straw decomposition rates increased by 7.8%, 27.3%, and 16.2% for the CM, CD, and CE treatments; 14.6%, 35.4%, and 27.3% for the cellulose; 17.2%, 31.7% and 23.7% for the hemicellulose; and 13.3%, 30.8%, and 30.8% for the straw, respectively, compared to the control treatment. The decomposition rates of straw increased by 13.3%, 30.8%, and 22.3%, respectively. The decomposition rates of lignin, cellulose, hemicellulose, and straw were most statistically significantly increased by CD treatment.

3.3. Soil Water Repellency

Figure 4 depicts the shape of un-hydrophobic water droplets at times of 0 s, 1 s, 3 s, and 5 s on the soil surface of each treatment. When the duration reached 5 s, the CA of each treatment was >0°, indicating a slight hydrophobicity. The CA of each treated soil with water droplets decreased over time. Figure 4 demonstrates that the CA of each treatment was CK > CE > CM > CD at 1 s, 3 s, and 5 s. The order of each treatment’s rate of CA decline, CK > CE > CM > CD, showed that the control treatment’s water droplets reached the soil surface more quickly and were more wettable. In comparison with the control treatment, the CA of water droplets in the CD treatment was larger and decreased significantly at 5 s. The water droplets penetrated more slowly on the soil surface in the CD treatment, which significantly increased the SWR.

3.4. Analysis of the Relationship between Different Straw Addition Methods and SWR

Redundancy analysis (RDA) was conducted on the CA changes of water droplets on the soil surface at 0, 1, 3, and 5 s for each treatment. The key environmental parameters included soil carbon and nitrogen content, straw lignin, cellulose, hemicellulose, and straw residue. According to the findings, RDA1 and RDA2 each accounted for 85.7 and 7.7% of the CA changes, respectively, and the six environmental factors collectively explained 93.4% of the CA changes (Figure 5). In terms of soil water rejection, the RDA plots discriminated between the various straw additions, indicating that each addition technique had a different impact on soil carbon and nitrogen content as well as residues of lignin, cellulose, hemicellulose, and straw as well as CA. Straw residues and soil carbon and nitrogen content were substantially connected with CA at 1, 3, and 5 s along the RDA1 axis, whereas straw lignin, cellulose, and hemicellulose residues were strongly correlated with CA at 1, 3, and 5 s (Figure 5).
According to correlation analysis, SOC and TN were considerably and positively connected with CA (Figure 6), but the content of lignin, cellulose, and hemicellulose in straw was significantly and adversely correlated with CA. This association suggests that the degradation of lignin, cellulose, and hemicellulose in the straw increased SOC and TN, which in turn raised the CA of water droplets in the soil and improved the soil’s water repellency. To preserve soil stability and have an impact on organic carbon sequestration, the CD treatment had a significantly greater CA and improved SWR.

4. Discussion

4.1. Straw Addition Methods Affect Soil Carbon and Nitrogen Content

The SOC is a major determinant of soil ecosystem quality and includes a complex mixture of organic matter derived from zooplankton, root turnover, and microbial decomposition, which are important sources of plant nutrition and play a key role in the global carbon cycle and climate warming [49,50]. The return of straw is seen as an essential phase in raising the soil carbon pool since straw can act as a substrate for microorganisms, accelerating the mineralization of soil organic carbon and the degradation of plant waste products. This step generates active carbon components and enhances the soil carbon cycle [51].
Our study corroborated previous results [52,53,54], showing that soil C and N content increased when straw went back to the field. Along with raising soil carbon, N, P, and K stages, straw organic matter mineralization releases nutrients for crop growth [55,56,57]. In our study, the lengthy burial of straw and the deep burial of doubled straw led to more organic carbon build-up after 360 (d) than at 0 (d). There was a sizable difference (Figure 1), with doubled straw deep burial being more efficient for carbon sequestration than straw mulching. The deep burial of straw encourages mineralization of the straw by bringing it into closer contact with microbes in the soil [50,58]. Straw mulching reduces soil–straw contact and soil temperature in comparison to deep straw burial, which in turn limits the activity of soil microorganisms [59]. Deep straw burial disturbs the subsurface layer of the soil, stimulating microbial activity and resulting in an increased rate of microbial metabolism [60]. This causes more organic matter to form in the soil than with straw mulching [61]. Contrarily, when the straw is mulched, it remains on the soil surface in a semi-dry state, and as a result, more carbon and nitrogen are lost in gaseous form during the decomposition of the straw than if the straw were buried [62]. To release more C and N into the soil, deep straw burial is, therefore, better for straw decomposition than straw mulching [63].
The increase in SOC and TN is coupled under straw mulching conditions [64]. The balance between C and N inputs and outputs may affect shifts in SOC and TN content [65]. According to this study’s findings [66], the organic N in straw breaks down into effective N by soil microorganisms and can be transferred to soil microbial biomass. This is demonstrated by the significant impact that straw in contact with the soil had on TN content after 360 days of straw mulching, straw deep burial, and straw doubling deep burial treatments (Figure 1). Straw may enhance the TN content of agroecosystems since it is a significant source of soil N [67]. According to Fan et al., some soil microbes may convert straw N while transforming straw C, changing the soil’s N levels. Our results are in agreement with those of a previous study [68].

4.2. Different Straw Addition Methods Affect the Decomposition of Straw and Its Components

Crop straw decomposition is the primary avenue for SOM accumulation and maintenance in agroecosystems [69,70]. The two most significant components of straw are lignin and cellulose [63,71]. Due to their intricate structure and chemical resistance, plant components like lignin are regarded as key contributors to SOM [72]. Through the co-metabolic breakdown of fast-acting carbohydrates during the early stages of straw addition, lignin may meet a high demand for the substrate from activated malnourished microorganisms [73,74]. This is feasible despite the reality that lignin has a chemically impermeable structure. At 360 (d) into our investigation, the lignin content dropped for the CM, CD, and CE treatments, respectively, by 13.8%, 29.7%, and 23.8%, with the CD treatment displaying the greatest decrease (Figure 2a). Straw’s lignin concentration falls by 19–60% from 13 weeks to 2 years of laboratory incubation, in studies showing how characteristics of the soil and tillage methods affect it [75]. Straw was found to degrade lignin by 48–87% after being returned to the field using the apoplastic bag technique in field trials [76]. These results support our study. When the soil habitat shifts from low to high carbon, straw lignin can be selectively preserved [77,78]. Given the same pattern as SOC, the rate of lignin breakdown in our study increased, then decreased, and then ascended again. This is because low-carbon soils with straw can break down lignin faster than high-carbon soils can [78]. Straw retains the ability of microbial metabolism to break down organic carbon and enhances the retention of new lignin in the soil [53]. In addition, some studies have found a quick lignin turnover in agricultural soils [79]. Based on specific studies, lignin turnover in arable soils may be faster than SOC turnover [80]. It was established that the degree of plant tissue loss corresponds with the lignin content of straw [81,82]. Our results show that, given the same dosage of straw, the lignin concentration of the straw has an inverse relationship with the rate at which the straw decomposes.
According to Perez et al., straw is a complex lignocellulosic biomass composed of a lignin-shielded hemicellulose network and highly structured cellulose microfibrils [21]. We found that cellulose disintegrated greatly quicker than lignin did (Figure 2a,b), confirming the idea that lignin is more robust to breakdown than cellulose [83,84]. A limiting element in the breakdown of maize stover is the efficiency with which lignin and hemicellulose degrade [85]. In contrast, lignin exerts less of an effect on the decomposition of maize stover than cellulose degradation [86]. In our results, lignin and cellulose degradation followed the same trend in time dynamics because the bacterial groups that break down cellulose and lignin largely overlap, e.g., the cellulose-degrading slow-growing Rhizobium and Burkholderia also break down lignin [83], and because microorganisms with a dual function of decomposing cellulose and lignin have also been found in forest soils (Wilhelm et al.). Microorganisms have been discovered to have the dual function of degrading cellulose and lignin in forest soils [87]. We found that the depth of the straw addition had a bearing on the rate of cellulose degradation, with higher rates in CD vs. CE treatments where the straw was buried in the subsurface soil fiber layer compared to CM treatments. Studies of straw returns at various depths indicate that the uppermost layer of soil decomposes straw at a faster rate because cellulolytic bacteria might be more prevalent in this layer [88]. After being submerged at a depth of 5 cm for 30 (d), conventional straw exhibited a cellulose break-down rate of 26.4%. The microbial activity was better sustained as the depth of the straw returned to the soil rose, which encouraged the destruction of cellulose and lignin in the straw, disturbed the connections between straw components, and sped up the decomposition of the straw [89]. The research revealed that on the 30th (d) of the experiment, the surface structure of the straw significantly changed, with a large number of microorganisms attaching to the outer surface of the straw, encouraging the dissolution of the wax layer, and creating some pores after the degradation of a large amount of granular material. The internal structure of the straw was also significantly altered, being less dense than before and with some of the internal tissues having separated into fragments, disrupting its n-type structure [89].
In comparison to cellulose and lignin, hemicellulose is an amorphous polymer with a low degree of polymerization and is more readily hydrolyzed [90]. However, according to our findings, the rate of hemicellulose decomposition increased in the late stages of straw decomposition, after a certain level of lignin degradation (Figure 3c), because hemicellulose-degrading bacteria were unable to quickly establish themselves as the dominant genus for maize stover degradation following the application of straw to the soil [91]. By inhibiting degradation enzymes from coming into contact with cellulose or hemicellulose, lignin can slow down the breakdown of hemicellulose [85]. Hemicellulose is rapidly reduced into monosaccharides and glyoxylates after coming into contact with microbes when lignin is partially or fully destroyed [92].

4.3. Different Straw Addition Methods Affect SWR

The SWR is an important phenomenon affecting soil moisture and water resources, usually because some soil particles are covered by non-polar organic matter that is water-repellent [25,93]. They mainly consist of humic substances, a complex of organic compounds with hydrophobic or hydrophilic properties [94], formed as a result of changes in organic debris in the soil [95,96]. Water repellency is closely related to the nature of SOM [97], and the greater the SOM content, the greater the water repellency of the soil [45]. SOM has been commonly used to assess SWR in previous studies [97]. In the current study, deep straw burial increased SOM content, with water droplets having a larger CA and a significantly lower rate of CA decline at 5 s compared to the control treatment, and water droplets penetrating more slowly on the soil surface in the deep straw burial treatment, statistically significantly increasing SWR (Figure 4). According to Leue et al. [98], the content and quality of SOM are connected to the rate at which water droplets penetrate the soil. The soil’s SOM content increased when leaves, cow dung, sheep dung, or olive mill residue were included [42,99].
Studies have revealed that agricultural management strategies, such as straw return, have an impact on both the hydrophobic and hydrophilic parts of the SOM in addition to the SWR [100]. The hydrophobic fraction of organic matter, which is thought to come from plant leaf wax, decomposing organic matter, root secretions, and their biodegradation products, or from fungal or microbial activity, is related to soil water repellency, the hydrophobic skin of organic compounds on the surface of soil particles [25,35]. According to Olorunfemi and Fasinmirin [101], hydrophobic chemicals produced by the microbial degradation of plant residues aid in the development of water-repellent SOM in soil, and degraded organic matter and waxes on plant epidermis may also have a similar effect. Alkanes [102], fatty acids and their esters [103], phytol, phytane, and sterols [35], amides, aldehydes, ketones, and more complex heterocyclic structures [104] are just a few examples of the substances that cause soil hydrophobicity. Lignin is mostly held together by aromatic and aliphatic carbons rather than hydrolyzable chemical bonds, and aliphatic hydrocarbons are thought to be the primary chemical class responsible for SWR [102,105,106]. Capriel et al. discovered that the amount of aliphatic C-H units affected SWR in a study of SOM water repellency in German arable land [107]; McKissock et al. discovered a correlation between aliphatic C-H and water repellency in Australian soils [108]. This was demonstrated by residue on SWR, with higher aliphatic component contents in applied organic matter increasing SWR [42]. This supports our findings that the addition of different straws affected how the straw decomposed (Figure 3) and caused variations in the lignin and cellulose content of the straw, with the CD treatment showing the most significant decrease in lignin and cellulose content and a significant increase in SWR.

5. Conclusions

The straw multiplication deep burial treatment was more effective than the straw mulching and straw deep burial treatments at increasing the amount of SOC and TN during the 360 (d) trial period. The disintegration rate of straw and its constituent parts was much higher than in the other treatments, and the straw residue and its lignin, cellulose, and hemicellulose content were statistically significantly lower in the straw deep burial treatment than in the other treatments. When the water droplets were on the soil surface for 1, 3, and 5 s, the CA between the water droplets and the soil was considerably greater in the straw-deep burying treatment than in the other treatments. In contrast with the other treatments, the pace at which the CA decreased as time went on was noticeably slower, and the water droplets permeated the soil surface more slowly. According to redundancy and Pearson correlation analyses, the amount of organic carbon and TN in the soil as well as the rate at which lignin, cellulose, and hemicellulose in straw decompose all affected the CA of water droplets with the soil, increasing the SWR. This is critical to improve soil structural stability and soil quality.
In summary, straw returning to the field increases SOC and TN, accelerates the decomposition of lignin, cellulose, and hemicellulose in straw, and improves SWR. In particular, the application effect of straw buried deep is better. It provides a scientific basis for accelerating straw decomposition and improving soil quality. It is necessary to further study the influence of SWR on the stability of the soil structure after straw returning, such as the influence on the particle size distribution and stability of soil aggregates.

Author Contributions

Conceptualization, S.D. and S.G.; methodology, data curation, B.-Y.Z.; formal analysis, B.-Y.Z. and C.Y.; resources, B.-Y.Z.; investigation, B.-Y.Z. and Z.W.; writing—original draft preparation, B.-Y.Z.; funding acquisition, B.-Y.Z. All authors have read and agreed to the published version of the manuscript.

Funding

The study was supported by the Key Science and Technology Major Project of the Education Department of Jilin Province (No. JJKH20230685KJ).

Data Availability Statement

Not applicable.

Conflicts of Interest

The authors declare no conflict of interest.

References

  1. Li, X.; Li, H.; Yang, L.; Ren, Y. Assessment of Soil Quality of Croplands in the Corn Belt of Northeast China. Sustainability 2018, 10, 248. [Google Scholar] [CrossRef]
  2. Zhang, X.; Dou, S.; Ndzelu, B.S.; Guan, X.W.; Zhang, B.Y.; Bai, Y. Effects of Different Corn Straw Amendments on Humus Composition and Structural Characteristics of Humic Acid in Black Soil. Commun. Soil Sci. Plant Anal. 2020, 51, 107–117. [Google Scholar] [CrossRef]
  3. Chen, S.Y.; Zhang, X.Y.; Pei, D.; Sun, H.Y.; Chen, S.L. Effects of Straw Mulching on Soil Temperature, Evaporation and Yield of Winter Wheat: Field Experiments on the North China Plain. Ann. Appl. Biol. 2007, 150, 261–268. [Google Scholar] [CrossRef]
  4. Johnson, J.M.; Hough-Goldstein, J.A.; Vangessel, M.J. Effects of Straw Mulch on Pest Insects, Predators, and Weeds in Watermelons and Potatoes. Environ. Entomol. 2004, 33, 1632–1643. [Google Scholar] [CrossRef]
  5. Kalkhajeh, Y.K.; He, Z.; Yang, X.; Lu, Y.; Zhou, J.; Gao, H.; Ma, C. Co-Application of Nitrogen and Straw-Decomposing Microbial Inoculant Enhanced Wheat Straw Decomposition and Rice Yield in a Paddy Soil. J. Agric. Food Res. 2021, 4, 100134. [Google Scholar] [CrossRef]
  6. Wang, X.; Sun, B.; Mao, J.; Sui, Y.; Cao, X. Structural Convergence of Maize and Wheat Straw during Two-Year Decomposition under Different Climate Conditions. Environ. Sci. Technol. 2012, 46, 7159–7165. [Google Scholar] [CrossRef]
  7. Zhang, G.; Bai, J.; Zhao, Q.; Jia, J.; Wang, X.; Wang, W.; Wang, X. Soil Carbon Storage and Carbon Sources under Different Spartina Alterniflora Invasion Periods in a Salt Marsh Ecosystem. CATENA 2021, 196, 104831. [Google Scholar] [CrossRef]
  8. Hewins, D.B.; Archer, S.R.; Okin, G.S.; McCulley, R.L.; Throop, H.L. Soil–Litter Mixing Accelerates Decomposition in a Chihuahuan Desert Grassland. Ecosystems 2013, 16, 183–195. [Google Scholar] [CrossRef]
  9. Shahbaz, M.; Kuzyakov, Y.; Sanaullah, M.; Heitkamp, F.; Zelenev, V.; Kumar, A.; Blagodatskaya, E. Microbial Decomposition of Soil Organic Matter Is Mediated by Quality and Quantity of Crop Residues: Mechanisms and Thresholds. Biol. Fertil. Soils 2017, 53, 287–301. [Google Scholar] [CrossRef]
  10. Cotrufo, M.F.; Soong, J.L.; Horton, A.J.; Campbell, E.E.; Haddix, M.L.; Wall, D.H.; Parton, W.J. Formation of Soil Organic Matter via Biochemical and Physical Pathways of Litter Mass Loss. Nat. Geosci. 2015, 8, 776–779. [Google Scholar] [CrossRef]
  11. Guan, X.-K.; Wei, L.; Turner, N.C.; Ma, S.-C.; Yang, M.-D.; Wang, T.-C. Improved Straw Management Practices Promote in Situ Straw Decomposition and Nutrient Release, and Increase Crop Production. J. Clean. Prod. 2020, 250, 119514. [Google Scholar] [CrossRef]
  12. Curtin, D.; Francis, G.S.; McCallum, F.M. Decomposition Rate of Cereal Straw as Affected by Soil Placement. Soil Res. 2008, 46, 152. [Google Scholar] [CrossRef]
  13. Moorhead, D.L.; Sinsabaugh, R.L.; Linkins, A.E.; Reynolds, J.F. Decomposition Processes: Modelling Approaches and Applications. Sci. Total Environ. 1996, 183, 137–149. [Google Scholar] [CrossRef]
  14. Gaind, S.; Nain, L. Chemical and Biological Properties of Wheat Soil in Response to Paddy Straw Incorporation and Its Biodegradation by Fungal Inoculants. Biodegradation 2007, 18, 495–503. [Google Scholar] [CrossRef]
  15. Hofmann, A.; Heim, A.; Christensen, B.T.; Miltner, A.; Gehre, M.; Schmidt, M.W.I. Lignin Dynamics in Two 13 C-Labelled Arable Soils during 18 Years. Eur. J. Soil Sci. 2009, 60, 250–257. [Google Scholar] [CrossRef]
  16. Yanni, S.F.; Whalen, J.K.; Simpson, M.J.; Janzen, H.H. Plant Lignin and Nitrogen Contents Control Carbon Dioxide Production and Nitrogen Mineralization in Soils Incubated with Bt and Non-Bt Corn Residues. Soil Biol. Biochem. 2011, 43, 63–69. [Google Scholar] [CrossRef]
  17. Austin, A.T.; Ballaré, C.L.; Schlesinger, W.H. Dual Role of Lignin in Plant Litter Decomposition in Terrestrial Ecosystems. Proc. Natl. Acad. Sci. USA 2010, 107, 4618–4622. [Google Scholar] [CrossRef]
  18. Lorenz, K.; Lal, R.; Preston, C.M.; Nierop, K.G.J. Strengthening the Soil Organic Carbon Pool by Increasing Contributions from Recalcitrant Aliphatic Bio(Macro)Molecules. Geoderma 2007, 142, 1–10. [Google Scholar] [CrossRef]
  19. Pérez-Lucas, G.; El Aatik, A.; Vela, N.; Fenoll, J.; Navarro, S. Exogenous Organic Matter as Strategy to Reduce Pesticide Leaching through the Soil. Arch. Agron. Soil Sci. 2021, 67, 934–945. [Google Scholar] [CrossRef]
  20. Isikgor, F.H.; Becer, C.R. Lignocellulosic Biomass: A Sustainable Platform for the Production of Bio-Based Chemicals and Polymers. Polym. Chem. 2015, 6, 4497–4559. [Google Scholar] [CrossRef]
  21. Pérez, J.; Muñoz-Dorado, J.; de la Rubia, T.; Martínez, J. Biodegradation and Biological Treatments of Cellulose, Hemicellulose and Lignin: An Overview. Int. Microbiol. 2002, 5, 53–63. [Google Scholar] [CrossRef] [PubMed]
  22. Comino, F.; Aranda, V.; Domínguez-Vidal, A.; Ayora-Cañada, M.J. Thermal Destruction of Organic Waste Hydrophobicity for Agricultural Soils Application. J. Environ. Manag. 2017, 202, 94–105. [Google Scholar] [CrossRef]
  23. Feng, G.L.; Letey, J.; Wu, L. Water Ponding Depths Affect Temporal Infiltration Rates in a Water-Repellent Sand. Soil Sci. Soc. Am. J. 2001, 65, 315–320. [Google Scholar] [CrossRef]
  24. Wallis, M.; Scotter, D.; Horne, D. An Evaluation of the Intrinsic Sorptivity Water Repellency Index on a Range of New Zealand Soils. Soil Res. 1991, 29, 353. [Google Scholar] [CrossRef]
  25. Doerr, S.H.; Shakesby, R.A.; Walsh, R.P.D. Soil Water Repellency: Its Causes, Characteristics and Hydro-Geomorphological Significance. Earth-Sci. Rev. 2000, 51, 33–65. [Google Scholar] [CrossRef]
  26. Blanco-Canqui, H.; Lal, R. Extent of Soil Water Repellency under Long-Term No-till Soils. Geoderma 2009, 149, 171–180. [Google Scholar] [CrossRef]
  27. Wang, Z.; Wu, Q.J.; Wu, L.; Ritsema, C.J.; Dekker, L.W.; Feyen, J. Effects of Soil Water Repellency on Infiltration Rate and Flow Instability. J. Hydrol. 2000, 231–232, 265–276. [Google Scholar] [CrossRef]
  28. Piccolo, A.; Mbagwu, J.S.C. Role of Hydrophobic Components of Soil Organic Matter in Soil Aggregate Stability. Soil Sci. Soc. Am. J. 1999, 63, 1801–1810. [Google Scholar] [CrossRef]
  29. Czachor, H.; Doerr, S.H.; Lichner, L. Water Retention of Repellent and Subcritical Repellent Soils: New Insights from Model and Experimental Investigations. J. Hydrol. 2010, 380, 104–111. [Google Scholar] [CrossRef]
  30. de Jonge, L.W.; Moldrup, P.; Jacobsen, O.H. Soil-Water Content Dependency of Water Repellency in soils. Soil Sci. 2007, 172, 577–588. [Google Scholar] [CrossRef]
  31. Kawamoto, K.; Moldrup, P.; Komatsu, T.; de Jonge, L.W.; Oda, M. Water Repellency of Aggregate Size Fractions of a Volcanic Ash Soil. Soil Sci. Soc. Am. J. 2007, 71, 1658–1666. [Google Scholar] [CrossRef]
  32. de Blas, E.; Rodríguez-Alleres, M.; Almendros, G. Speciation of Lipid and Humic Fractions in Soils under Pine and Eucalyptus Forest in Northwest Spain and Its Effect on Water Repellency. Geoderma 2010, 155, 242–248. [Google Scholar] [CrossRef]
  33. Schaumann, G.E.; Braun, B.; Kirchner, D.; Rotard, W.; Szewzyk, U.; Grohmann, E. Influence of Biofilms on the Water Repellency of Urban Soil Samples. Hydrol. Process. 2007, 21, 2276–2284. [Google Scholar] [CrossRef]
  34. Roy, J.L.; McGill, W.B. Assessing Soil Water Repellency Using the Molarity of Ethanol Droplet (MED) Test. Soil Sci. 2002, 167, 83–97. [Google Scholar] [CrossRef]
  35. Franco, C.M.M.; Michelsen, P.P.; Oades, J.M. Amelioration of Water Repellency: Application of Slow-Release Fertilisers to Stimulate Microbial Breakdown of Waxes. J. Hydrol. 2000, 231–232, 342–351. [Google Scholar] [CrossRef]
  36. Deurer, M.; Müller, K.; Van Den Dijssel, C.; Mason, K.; Carter, J.; Clothier, B.E. Is Soil Water Repellency a Function of Soil Order and Proneness to Drought? A Survey of Soils under Pasture in the North Island of New Zealand. Eur. J. Soil Sci. 2011, 62, 765–779. [Google Scholar] [CrossRef]
  37. Bull, I.D.; van Bergen, P.F.; Nott, C.J.; Poulton, P.R.; Evershed, R.P. Organic Geochemical Studies of Soils from the Rothamsted Classical ExperimentsÐV. The Fate of Lipids in Different Long-Term Experiments. Org. Geochem. 2000, 31, 389–408. [Google Scholar] [CrossRef]
  38. Nierop, K.G.J.; Naafs, D.F.W.; van Bergen, P.F. Origin, Occurrence and Fate of Extractable Lipids in Dutch Coastal Dune Soils along a PH Gradient. Org. Geochem. 2005, 36, 555–566. [Google Scholar] [CrossRef]
  39. Scott, D.F. Soil Wettability in Forested Catchments in South Africa; as Measured by Different Methods and as Affected by Vegetation Cover and Soil Characteristics. J. Hydrol. 2000, 231–232, 87–104. [Google Scholar] [CrossRef]
  40. Mohawesh, O.; Mahmoud, M.; Janssen, M.; Lennartz, B. Effect of Irrigation with Olive Mill Wastewater on Soil Hydraulic and Solute Transport Properties. Int. J. Environ. Sci. Technol. 2014, 11, 927–934. [Google Scholar] [CrossRef]
  41. Doerr, S.H.; Thomas, A.D. The Role of Soil Moisture in Controlling Water Repellency: New Evidence from Forest Soils in Portugal. J. Hydrol. 2000, 231–232, 134–147. [Google Scholar] [CrossRef]
  42. Aranda, V.; Calero, J.; Plaza, I.; Ontiveros-Ortega, A. Long-Term Effects of Olive Mill Pomace Co-Compost on Wettability and Soil Quality in Olive Groves. Geoderma 2016, 267, 185–195. [Google Scholar] [CrossRef]
  43. Lützow, M.V.; Kögel-Knabner, I.; Ekschmitt, K.; Matzner, E.; Guggenberger, G.; Marschner, B.; Flessa, H. Stabilization of Organic Matter in Temperate Soils: Mechanisms and Their Relevance under Different Soil Conditions—A Review: Mechanisms for Organic Matter Stabilization in Soils. Eur. J. Soil Sci. 2006, 57, 426–445. [Google Scholar] [CrossRef]
  44. Bünemann, E.K.; Bongiorno, G.; Bai, Z.; Creamer, R.E.; De Deyn, G.; de Goede, R.; Fleskens, L.; Geissen, V.; Kuyper, T.W.; Mäder, P.; et al. Soil Quality—A Critical Review. Soil Biol. Biochem. 2018, 120, 105–125. [Google Scholar] [CrossRef]
  45. Cervera-Mata, A.; Aranda, V.; Ontiveros-Ortega, A.; Comino, F.; Martín-García, J.M.; Vela-Cano, M.; Delgado, G. Hydrophobicity and Surface Free Energy to Assess Spent Coffee Grounds as Soil Amendment. Relationships with Soil Quality. CATENA 2021, 196, 104826. [Google Scholar] [CrossRef]
  46. Leelamanie, D.A.L.; Karube, J.; Yoshida, A. Characterizing Water Repellency Indices: Contact Angle and Water Drop Penetration Time of Hydrophobized Sand. Soil Sci. Plant Nutr. 2008, 54, 179–187. [Google Scholar] [CrossRef]
  47. Nelson, D.W.; Sommers, L.E. Total Carbon, Organic Carbon, and Organic Matter. In Methods of Soil Analysis; Agronomy Monographs; American Society of Agronomy, Crop Science Society of America, and Soil Science Society of America: Madison, WI, USA, 1983; pp. 539–579. ISBN 978-0-89118-977-0. [Google Scholar]
  48. Guntiñas, M.E.; Leirós, M.C.; Trasar-Cepeda, C.; Gil-Sotres, F. Effects of Moisture and Temperature on Net Soil Nitrogen Mineralization: A Laboratory Study. Eur. J. Soil Biol. 2012, 48, 73–80. [Google Scholar] [CrossRef]
  49. Li, S.; Xu, S.; Liu, S.; Yang, C.; Lu, Q. Fast Pyrolysis of Biomass in Free-Fall Reactor for Hydrogen-Rich Gas. Fuel Process. Technol. 2004, 85, 1201–1211. [Google Scholar] [CrossRef]
  50. Li, J.; Li, H.; Zhang, Q.; Shao, H.; Gao, C.; Zhang, X. Effects of Fertilization and Straw Return Methods on the Soil Carbon Pool and CO2 Emission in a Reclaimed Mine Spoil in Shanxi Province, China. Soil Tillage Res. 2019, 195, 104361. [Google Scholar] [CrossRef]
  51. Liu, B.; Xia, H.; Jiang, C.; Riaz, M.; Yang, L.; Chen, Y.; Fan, X.; Xia, X. 14 Year Applications of Chemical Fertilizers and Crop Straw Effects on Soil Labile Organic Carbon Fractions, Enzyme Activities and Microbial Community in Rice-Wheat Rotation of Middle China. Sci. Total Environ. 2022, 841, 156608. [Google Scholar] [CrossRef]
  52. Guan, S.; Liu, S.; Liu, R.; Zhang, J.; Ren, J.; Cai, H.; Lin, X. Soil Organic Carbon Associated with Aggregate-Size and Density Fractions in a Mollisol Amended with Charred and Uncharred Maize Straw. J. Integr. Agric. 2019, 18, 1496–1507. [Google Scholar] [CrossRef]
  53. Li, Z.; Shen, Y.; Zhang, W.; Zhang, H.; Liu, L.; Wang, Z.; Gu, J.; Yang, J. Effects of Long-Term Straw Returning on Rice Yield and Soil Properties and Bacterial Community in a Rice-Wheat Rotation System. Field Crops Res. 2023, 291, 108800. [Google Scholar] [CrossRef]
  54. Ndzelu, B.S.; Dou, S.; Zhang, X.; Zhang, Y. Molecular Composition and Structure of Organic Matter in Density Fractions of Soils Amended with Corn Straw for Five Years. Pedosphere 2023, 33, 372–380. [Google Scholar] [CrossRef]
  55. Ahmed, W.; Qaswar, M.; Jing, H.; Wenjun, D.; Geng, S.; Kailou, L.; Ying, M.; Ao, T.; Mei, S.; Chao, L.; et al. Tillage Practices Improve Rice Yield and Soil Phosphorus Fractions in Two Typical Paddy Soils. J. Soils Sediments 2020, 20, 850–861. [Google Scholar] [CrossRef]
  56. Chen, Q.; Liu, Z.; Zhou, J.; Xu, X.; Zhu, Y. Long-Term Straw Mulching with Nitrogen Fertilization Increases Nutrient and Microbial Determinants of Soil Quality in a Maize–Wheat Rotation on China’s Loess Plateau. Sci. Total Environ. 2021, 775, 145930. [Google Scholar] [CrossRef]
  57. Chen, S.; Zhang, X.; Shao, L.; Sun, H.; Niu, J.; Liu, X. Effects of Straw and Manure Management on Soil and Crop Performance in North China Plain. CATENA 2020, 187, 104359. [Google Scholar] [CrossRef]
  58. Zhu, F.; Lin, X.; Guan, S.; Dou, S. Deep Incorporation of Corn Straw Benefits Soil Organic Carbon and Microbial Community Composition in a Black Soil of Northeast China. Soil Use Manag. 2022, 38, 1266–1279. [Google Scholar] [CrossRef]
  59. Zhao, X.M.; He, L.; Zhang, Z.D.; Wang, H.B.; Zhao, L.P. Simulation of Accumulation and Mineralization (CO2 Release) of Organic Carbon in Chernozem under Different Straw Return Ways after Corn Harvesting. Soil Tillage Res. 2016, 156, 148–154. [Google Scholar] [CrossRef]
  60. Lobe, I.; Sandhage-Hofmann, A.; Brodowski, S.; Du Preez, C.C.; Amelung, W. Aggregate Dynamics and Associated Soil Organic Matter Contents as Influenced by Prolonged Arable Cropping in the South African Highveld. Geoderma 2011, 162, 251–259. [Google Scholar] [CrossRef]
  61. Zuber, S.M.; Behnke, G.D.; Nafziger, E.D.; Villamil, M.B. Crop Rotation and Tillage Effects on Soil Physical and Chemical Properties in Illinois. Agron. J. 2015, 107, 971–978. [Google Scholar] [CrossRef]
  62. Huang, T.; Yang, N.; Lu, C.; Qin, X.; Siddique, K.H.M. Soil Organic Carbon, Total Nitrogen, Available Nutrients, and Yield under Different Straw Returning Methods. Soil Tillage Res. 2021, 214, 105171. [Google Scholar] [CrossRef]
  63. Jin, Z.; Shah, T.; Zhang, L.; Liu, H.; Peng, S.; Nie, L. Effect of Straw Returning on Soil Organic Carbon in Rice–Wheat Rotation System: A Review. Food Energy Secur 2020, 9, e200. [Google Scholar] [CrossRef]
  64. Wang, J.; Wang, X.; Xu, M.; Feng, G.; Zhang, W.; Lu, C. Crop Yield and Soil Organic Matter after Long-Term Straw Return to Soil in China. Nutr. Cycl. Agroecosyst. 2015, 102, 371–381. [Google Scholar] [CrossRef]
  65. Chen, J.; Lærke, P.E.; Jørgensen, U. Optimized Crop Rotations Increase Biomass Production without Significantly Changing Soil Carbon and Nitrogen Stock. Ecol. Indic. 2020, 117, 106669. [Google Scholar] [CrossRef]
  66. Wang, S.; Lu, C.; Huai, S.; Yan, Z.; Wang, J.; Sun, J.; Raza, S. Straw Burial Depth and Manure Application Affect the Straw-C and N Sequestration: Evidence from 13C & 15N-Tracing. Soil Tillage Res. 2021, 208, 104884. [Google Scholar] [CrossRef]
  67. Huang, Q.; Zhang, G.; Ma, J.; Song, K.; Zhu, X.; Shen, W.; Xu, H. Dynamic Interactions of Nitrogen Fertilizer and Straw Application on Greenhouse Gas Emissions and Sequestration of Soil Carbon and Nitrogen: A 13-Year Field Study. Agric. Ecosyst. Environ. 2022, 325, 107753. [Google Scholar] [CrossRef]
  68. Fan, F.; Yin, C.; Tang, Y.; Li, Z.; Song, A.; Wakelin, S.A.; Zou, J.; Liang, Y. Probing Potential Microbial Coupling of Carbon and Nitrogen Cycling during Decomposition of Maize Residue by 13C-DNA-SIP. Soil Biol. Biochem. 2014, 70, 12–21. [Google Scholar] [CrossRef]
  69. Kallenbach, C.M.; Frey, S.D.; Grandy, A.S. Direct Evidence for Microbial-Derived Soil Organic Matter Formation and Its Ecophysiological Controls. Nat. Commun. 2016, 7, 13630. [Google Scholar] [CrossRef]
  70. Paul, E.A. The Nature and Dynamics of Soil Organic Matter: Plant Inputs, Microbial Transformations, and Organic Matter Stabilization. Soil Biol. Biochem. 2016, 98, 109–126. [Google Scholar] [CrossRef]
  71. Yang, C.-X.; Wang, T.; Gao, L.-N.; Yin, H.-J.; Lü, X. Isolation, Identification and Characterization of Lignin-degrading Bacteria from Qinling, China. J. Appl. Microbiol. 2017, 123, 1447–1460. [Google Scholar] [CrossRef]
  72. Martens, D. Plant Residue Biochemistry Regulates Soil Carbon Cycling and Carbon Sequestration. Soil Biol. Biochem. 2000, 32, 361–369. [Google Scholar] [CrossRef]
  73. Bahri, H.; Rasse, D.P.; Rumpel, C.; Dignac, M.-F.; Bardoux, G.; Mariotti, A. Lignin Degradation during a Laboratory Incubation Followed by 13C Isotope Analysis. Soil Biol. Biochem. 2008, 40, 1916–1922. [Google Scholar] [CrossRef]
  74. Liu, N.; He, H.; Xie, H.; Bai, Z.; Zhang, X.; Peng, C.; Zhu, P.; Ren, J.; Wang, L. Impacts of Long-Term Inorganic and Organic Fertilization on Lignin in a Mollisol. J. Soils Sediments 2010, 10, 1466–1474. [Google Scholar] [CrossRef]
  75. Stott, D.E.; Kassim, G.; Jarrell, W.M.; Martin, J.P.; Haider, K. Stabilization and Incorporation into Biomass of Specific Plant Carbons during Biodegradation in Soil. Plant Soil 1983, 70, 15–26. [Google Scholar] [CrossRef]
  76. Osono, T.; Takeda, H.; Azuma, J. Carbon Isotope Dynamics during Leaf Litter Decomposition with Reference to Lignin Fractions. Ecol. Res. 2008, 23, 51–55. [Google Scholar] [CrossRef]
  77. Kösters, R.; Du Preez, C.C.; Amelung, W. Lignin Dynamics in Secondary Pasture Soils of the South African Highveld. Geoderma 2018, 319, 113–121. [Google Scholar] [CrossRef]
  78. Wang, J.-J.; Bowden, R.D.; Lajtha, K.; Washko, S.E.; Wurzbacher, S.J.; Simpson, M.J. Long-Term Nitrogen Addition Suppresses Microbial Degradation, Enhances Soil Carbon Storage, and Alters the Molecular Composition of Soil Organic Matter. Biogeochemistry 2019, 142, 299–313. [Google Scholar] [CrossRef]
  79. Heim, A.; Schmidt, M.W.I. Lignin Turnover in Arable Soil and Grassland Analysed with Two Different Labelling Approaches. Eur. J. Soil Sci. 2007, 58, 599–608. [Google Scholar] [CrossRef]
  80. Kiem, R.; Kögel-Knabner, I. Contribution of Lignin and Polysaccharides to the Refractory Carbon Pool in C-Depleted Arable Soils. Soil Biol. Biochem. 2003, 35, 101–118. [Google Scholar] [CrossRef]
  81. Ma, T.; Zhu, S.; Wang, Z.; Chen, D.; Dai, G.; Feng, B.; Su, X.; Hu, H.; Li, K.; Han, W.; et al. Divergent Accumulation of Microbial Necromass and Plant Lignin Components in Grassland Soils. Nat. Commun. 2018, 9, 3480. [Google Scholar] [CrossRef]
  82. Thevenot, M.; Dignac, M.-F.; Rumpel, C. Fate of Lignins in Soils: A Review. Soil Biol. Biochem. 2010, 42, 1200–1211. [Google Scholar] [CrossRef]
  83. Song, A.; Zhang, J.; Xu, D.; Wang, E.; Bi, J.; Asante-Badu, B.; Njyenawe, M.C.; Sun, M.; Xue, P.; Wang, S.; et al. Keystone Microbial Taxa Drive the Accelerated Decompositions of Cellulose and Lignin by Long-Term Resource Enrichments. Sci. Total Environ. 2022, 842, 156814. [Google Scholar] [CrossRef] [PubMed]
  84. Xu, J.M.; Tang, C.; Chen, Z.L. Chemical Composition Controls Residue Decomposition in Soils Differing in Initial PH. Soil Biol. Biochem. 2006, 38, 544–552. [Google Scholar] [CrossRef]
  85. Jiang, C.; Cheng, Y.; Zang, H.; Chen, X.; Wang, Y.; Zhang, Y.; Wang, J.; Shen, X.; Li, C. Biodegradation of Lignin and the Associated Degradation Pathway by Psychrotrophic Arthrobacter Sp. C2 from the Cold Region of China. Cellulose 2020, 27, 1423–1440. [Google Scholar] [CrossRef]
  86. Cheng, Y.; Huang, M.; Shen, X.; Jiang, C. Enhanced Cornstalk Decomposition by a Psychrotrophic Bacterial Consortium Comprising Cellulose, Hemicellulose, and Lignin Degraders with Biochar as a Carrier for Carbon Neutrality. Bioresour. Technol. 2022, 344, 126259. [Google Scholar] [CrossRef]
  87. Wilhelm, R.C.; Singh, R.; Eltis, L.D.; Mohn, W.W. Bacterial Contributions to Delignification and Lignocellulose Degradation in Forest Soils with Metagenomic and Quantitative Stable Isotope Probing. ISME J. 2019, 13, 413–429. [Google Scholar] [CrossRef]
  88. Fan, W.; Wu, J. Short-Term Effects of Returning Granulated Straw on Soil Microbial Community and Organic Carbon Fractions in Dryland Farming. J. Microbiol. 2020, 58, 657–667. [Google Scholar] [CrossRef]
  89. Song, K.; Zhou, C.; Li, H.; Zhou, Z.; Ni, G.; Yin, X. Effects of Rumen Microorganisms on Straw Returning to Soil at Different Depths. Eur. J. Soil Biol. 2023, 114, 103454. [Google Scholar] [CrossRef]
  90. Alonso, D.M.; Wettstein, S.G.; Dumesic, J.A. Bimetallic Catalysts for Upgrading of Biomass to Fuels and Chemicals. Chem. Soc. Rev. 2012, 41, 8075. [Google Scholar] [CrossRef]
  91. Puentes-Téllez, P.E.; Falcao Salles, J. Construction of Effective Minimal Active Microbial Consortia for Lignocellulose Degradation. Microb. Ecol. 2018, 76, 419–429. [Google Scholar] [CrossRef]
  92. Shinde, R.; Shahi, D.K.; Mahapatra, P.; Naik, S.K.; Thombare, N.; Singh, A.K. Potential of Lignocellulose Degrading Microorganisms for Agricultural Residue Decomposition in Soil: A Review. J. Environ. Manag. 2022, 320, 115843. [Google Scholar] [CrossRef] [PubMed]
  93. Mainwaring, K.; Hallin, I.L.; Douglas, P.; Doerr, S.H.; Morley, C.P. The Role of Naturally Occurring Organic Compounds in Causing Soil Water Repellency: Soil Water Repellency from Organic Compounds. Eur. J. Soil Sci. 2013, 64, 667–680. [Google Scholar] [CrossRef]
  94. Maryganova, V.; Szajdak, L.W.; Tychinskaya, L. Hydrophobic and Hydrophilic Properties of Humic Acids from Soils under Shelterbelts of Different Ages. Chem. Ecol. 2010, 26, 25–33. [Google Scholar] [CrossRef]
  95. Olk, D.C.; Bloom, P.R.; De Nobili, M.; Chen, Y.; McKnight, D.M.; Wells, M.J.M.; Weber, J. Using Humic Fractions to Understand Natural Organic Matter Processes in Soil and Water: Selected Studies and Applications. J. Environ. Qual. 2019, 48, 1633–1643. [Google Scholar] [CrossRef]
  96. Weber, J.; Chen, Y.; Jamroz, E.; Miano, T. Preface: Humic Substances in the Environment. J. Soils Sediments 2018, 18, 2665–2667. [Google Scholar] [CrossRef]
  97. Vogelmann, E.S.; Reichert, J.M.; Prevedello, J.; Consensa, C.O.B.; Oliveira, A.É.; Awe, G.O.; Mataix-Solera, J. Threshold Water Content beyond Which Hydrophobic Soils Become Hydrophilic: The Role of Soil Texture and Organic Matter Content. Geoderma 2013, 209–210, 177–187. [Google Scholar] [CrossRef]
  98. Leue, M.; Gerke, H.H.; Godow, S.C. Droplet Infiltration and Organic Matter Composition of Intact Crack and Biopore Surfaces from Clay-illuvial Horizons. J. Plant Nutr. Soil Sci. 2015, 178, 250–260. [Google Scholar] [CrossRef]
  99. Liyanage, T.D.P.; Leelamanie, D.A.L. Influence of Organic Manure Amendments on Water Repellency, Water Entry Value, and Water Retention of Soil Samples from a Tropical Ultisol. J. Hydrol. Hydromech. 2016, 64, 160–166. [Google Scholar] [CrossRef]
  100. Hallett, P.D.; Baumgartl, T.; Young, I.M. Subcritical Water Repellency of Aggregates from a Range of Soil Management Practices. Soil Sci. Soc. Am. J. 2001, 65, 184–190. [Google Scholar] [CrossRef]
  101. Olorunfemi, I.E.; Fasinmirin, J.T. Land Use Management Effects on Soil Hydrophobicity and Hydraulic Properties in Ekiti State, Forest Vegetative Zone of Nigeria. CATENA 2017, 155, 170–182. [Google Scholar] [CrossRef]
  102. Horne, D.J.; McIntosh, J.C. Hydrophobic Compounds in Sands in New Zealand—Extraction, Characterisation and Proposed Mechanisms for Repellency Expression. J. Hydrol. 2000, 231–232, 35–46. [Google Scholar] [CrossRef]
  103. Graber, E.R.; Tagger, S.; Wallach, R. Role of Divalent Fatty Acid Salts in Soil Water Repellency. Soil Sci. Soc. Am. J. 2009, 73, 541–549. [Google Scholar] [CrossRef]
  104. Morley, C.P.; Mainwaring, K.A.; Doerr, S.H.; Douglas, P.; Llewellyn, C.T.; Dekker, L.W. Organic Compounds at Different Depths in a Sandy Soil and Their Role in Water Repellency. Soil Res. 2005, 43, 239. [Google Scholar] [CrossRef]
  105. Atanassova, I.; Doerr, S. Organic Compounds of Different Extractability in Total Solvent Extracts from Soils of Contrasting Water Repellency. Eur. J. Soil Sci. 2010, 61, 298–313. [Google Scholar] [CrossRef]
  106. Doerr, S.H.; Llewellyn, C.T.; Douglas, P.; Morley, C.P.; Mainwaring, K.A.; Haskins, C.; Johnsey, L.; Ritsema, C.J.; Stagnitti, F.; Allinson, G.; et al. Extraction of Compounds Associated with Water Repellency in Sandy Soils of Different Origin. Soil Res. 2005, 43, 225. [Google Scholar] [CrossRef]
  107. Capriel, P.; Beck, T.; Borchert, H.; Gronholz, J.; Zachmann, G. Hydrophobicity of the Organic Matter in Arable Soils. Soil Biol. Biochem. 1995, 27, 1453–1458. [Google Scholar] [CrossRef]
  108. McKissock, I.; Gilkes, R.J.; Bronswijk, W. van The Relationship of Soil Water Repellency to Aliphatic C and Kaolin Measured Using DRIFT. Soil Res. 2003, 41, 251. [Google Scholar] [CrossRef]
Figure 1. SOC and TN content of different treatments. The experimental treatments were control (CK), straw mulching (CM), straw deep burial (CD), and straw doubling deep burial (CE). The blue triangle represents the mean value of TN, and the purple area represents the standard deviation of TN. The red circle represents the SOC average and the pink area represents the SOC standard deviation. Capital letters indicate significant differences between SOC and TN for different treatments (p < 0.05) and lowercase letters indicate significant differences between SOC and TN for different times (p < 0.05).
Figure 1. SOC and TN content of different treatments. The experimental treatments were control (CK), straw mulching (CM), straw deep burial (CD), and straw doubling deep burial (CE). The blue triangle represents the mean value of TN, and the purple area represents the standard deviation of TN. The red circle represents the SOC average and the pink area represents the SOC standard deviation. Capital letters indicate significant differences between SOC and TN for different treatments (p < 0.05) and lowercase letters indicate significant differences between SOC and TN for different times (p < 0.05).
Agronomy 13 01927 g001
Figure 2. Lignin (a), straw cellulose (b), straw hemicellulose (c), and straw (d) residues in straw. The experimental treatments were control (CK), straw mulching (CM), straw deep burial (CD), and straw doubling deep burial (CE). Capital letters indicate significant differences between lignin, straw cellulose, straw hemicellulose, and straw residues in straw for different treatments (p < 0.05) and lowercase letters indicate significant differences between lignin, straw cellulose, straw hemicellulose, and straw residues in straw for different times (p < 0.05).
Figure 2. Lignin (a), straw cellulose (b), straw hemicellulose (c), and straw (d) residues in straw. The experimental treatments were control (CK), straw mulching (CM), straw deep burial (CD), and straw doubling deep burial (CE). Capital letters indicate significant differences between lignin, straw cellulose, straw hemicellulose, and straw residues in straw for different treatments (p < 0.05) and lowercase letters indicate significant differences between lignin, straw cellulose, straw hemicellulose, and straw residues in straw for different times (p < 0.05).
Agronomy 13 01927 g002
Figure 3. Decomposition rates of straw lignin (a), straw cellulose (b), straw hemicellulose (c), and straw (d). The experimental treatments were control (CK), straw mulching (CM), straw deep burial (CD), and straw doubling deep burial (CE). Capital letters indicate significant differences between decomposition rates of lignin, cellulose, hemicellulose, and straw for different treatments (p < 0.05) and lowercase letters indicate significant differences between decomposition rates of lignin, cellulose, hemicellulose, and straw for different times (p < 0.05).
Figure 3. Decomposition rates of straw lignin (a), straw cellulose (b), straw hemicellulose (c), and straw (d). The experimental treatments were control (CK), straw mulching (CM), straw deep burial (CD), and straw doubling deep burial (CE). Capital letters indicate significant differences between decomposition rates of lignin, cellulose, hemicellulose, and straw for different treatments (p < 0.05) and lowercase letters indicate significant differences between decomposition rates of lignin, cellulose, hemicellulose, and straw for different times (p < 0.05).
Agronomy 13 01927 g003
Figure 4. Changes in CA over time and the rate of CA decline for water droplets on the soil surface for each treatment. The experimental treatments were control (CK), straw mulching (CM), straw deep burial (CD), and doubled straw deep burial (CE). Bubble size indicates CA, bubble color indicates the rate of CA decline, numbers indicate mean CA (n = 3), and lowercase letters indicate significant differences in CA between treatments (p < 0.05).
Figure 4. Changes in CA over time and the rate of CA decline for water droplets on the soil surface for each treatment. The experimental treatments were control (CK), straw mulching (CM), straw deep burial (CD), and doubled straw deep burial (CE). Bubble size indicates CA, bubble color indicates the rate of CA decline, numbers indicate mean CA (n = 3), and lowercase letters indicate significant differences in CA between treatments (p < 0.05).
Agronomy 13 01927 g004
Figure 5. Redundancy analysis (RDA) of water droplet contact angle (CA) with soil carbon and nitrogen, straw fraction residue, and straw degradation rate. The experimental treatments were control (CK), straw mulching (CM), straw deep burial (CD), and doubled straw deep burial (CE).
Figure 5. Redundancy analysis (RDA) of water droplet contact angle (CA) with soil carbon and nitrogen, straw fraction residue, and straw degradation rate. The experimental treatments were control (CK), straw mulching (CM), straw deep burial (CD), and doubled straw deep burial (CE).
Agronomy 13 01927 g005
Figure 6. Pearson correlation analysis between CA and soil carbon, nitrogen, and straw fraction residues. A is SOC, B is TN, C is straw lignin content, D is straw cellulose content, E is straw hemicellulose content, F is straw residue, and G is water droplets with soil 5 s CA.
Figure 6. Pearson correlation analysis between CA and soil carbon, nitrogen, and straw fraction residues. A is SOC, B is TN, C is straw lignin content, D is straw cellulose content, E is straw hemicellulose content, F is straw residue, and G is water droplets with soil 5 s CA.
Agronomy 13 01927 g006
Disclaimer/Publisher’s Note: The statements, opinions and data contained in all publications are solely those of the individual author(s) and contributor(s) and not of MDPI and/or the editor(s). MDPI and/or the editor(s) disclaim responsibility for any injury to people or property resulting from any ideas, methods, instructions or products referred to in the content.

Share and Cite

MDPI and ACS Style

Zhang, B.-Y.; Dou, S.; Guan, S.; Yang, C.; Wang, Z. Deep Straw Burial Accelerates Straw Decomposition and Improves Soil Water Repellency. Agronomy 2023, 13, 1927. https://doi.org/10.3390/agronomy13071927

AMA Style

Zhang B-Y, Dou S, Guan S, Yang C, Wang Z. Deep Straw Burial Accelerates Straw Decomposition and Improves Soil Water Repellency. Agronomy. 2023; 13(7):1927. https://doi.org/10.3390/agronomy13071927

Chicago/Turabian Style

Zhang, Bo-Yan, Sen Dou, Song Guan, Chuang Yang, and Zhao Wang. 2023. "Deep Straw Burial Accelerates Straw Decomposition and Improves Soil Water Repellency" Agronomy 13, no. 7: 1927. https://doi.org/10.3390/agronomy13071927

APA Style

Zhang, B.-Y., Dou, S., Guan, S., Yang, C., & Wang, Z. (2023). Deep Straw Burial Accelerates Straw Decomposition and Improves Soil Water Repellency. Agronomy, 13(7), 1927. https://doi.org/10.3390/agronomy13071927

Note that from the first issue of 2016, this journal uses article numbers instead of page numbers. See further details here.

Article Metrics

Back to TopTop