Non-Invasive Micro-Test Technology and Reciprocal Grafting Provide Direct Evidence of Contrasting Na+ Transport Strategies between Cucurbita moschata and Cucurbita maxima
Abstract
1. Introduction
2. Materials and Methods
2.1. Reciprocal Grafting of Two Pumpkins
2.2. Determination of Dry Weight and Na+ and K+ Contents
2.3. NMT Measurement of Ion Fluxes in Root, Stem, and Leaf Vein
2.4. Determination of Gas Exchange Parameters
2.5. Comparison of Salt Tolerance of Pumpkin Leaves In Vitro
2.6. Total RNA Extraction and Gene Expression Analysis
3. Results
3.1. Dry Weight Reduction under Salt Stress
3.2. Scion Na+ Concentration
3.3. Na+-Flux Velocities in Stems and Veins
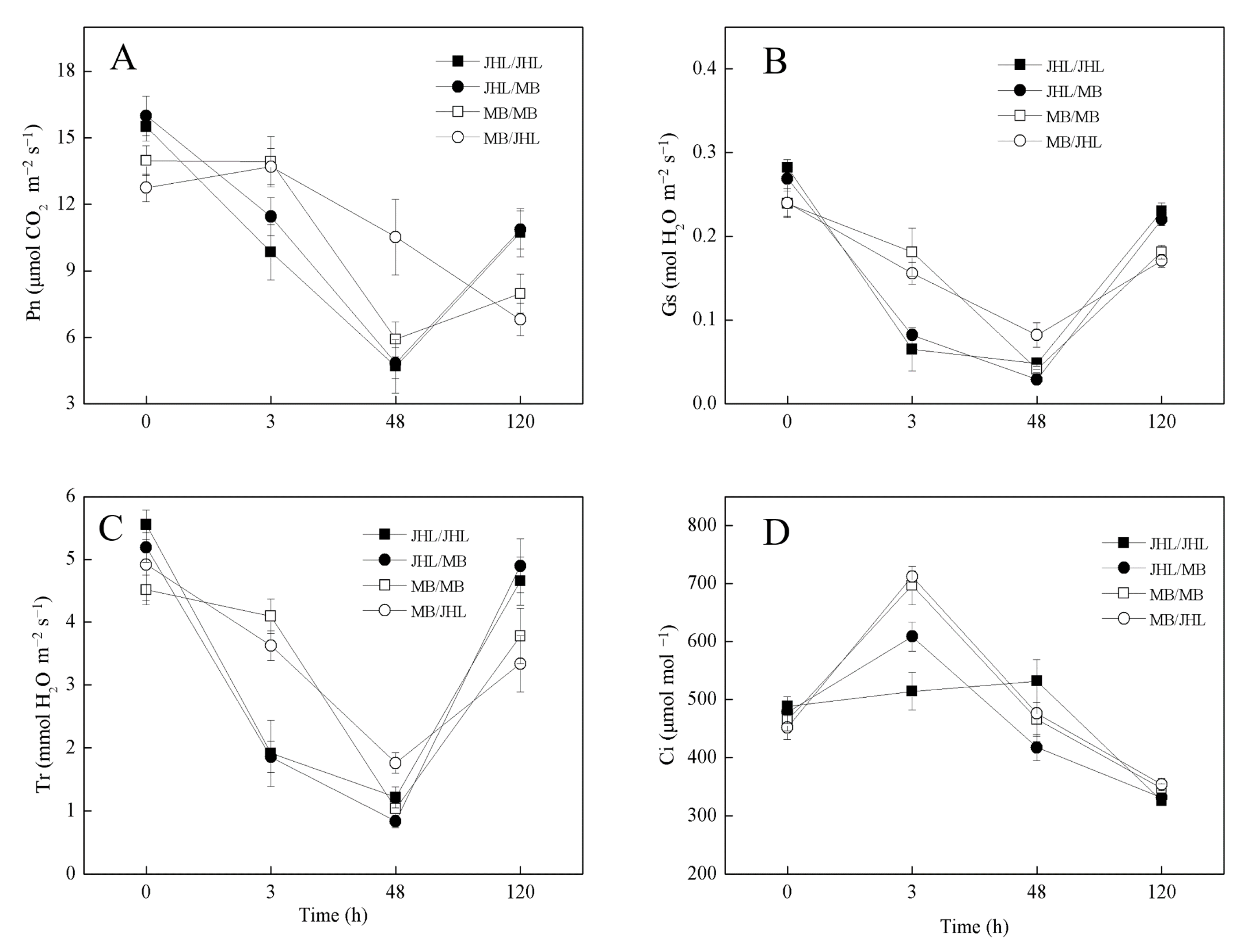
3.4. Photosynthesis Parameters
3.5. Salt Tolerance of Pumpkin Leaves In Vitro
3.6. NHX6 and HKT1 Were Significantly Upregulated
4. Discussion
4.1. C. maxima and C. maxima Adopted Distinct Strategies to Limit Na+ Transport from Root to Shoot
4.2. Cucurbitaceae Relied on the Tissue Tolerance Mechanism to Combat Salinity
4.3. Grafting Can Be Used to Create More Salt-Tolerant Plants
5. Conclusions
Supplementary Materials
Author Contributions
Funding
Data Availability Statement
Conflicts of Interest
References
- Rengasamy, P. Soil processes affecting crop production in salt-affected soils. Funct. Plant Biol. 2010, 37, 613–620. [Google Scholar] [CrossRef]
- Zhu, J.; Bie, Z.; Li, Y. Physiological and growth responses of two different salt-sensitive cucumber cultivars to NaCl stress. Soil Sci. Plant Nutr. 2008, 54, 400–407. [Google Scholar] [CrossRef]
- Munns, R.; Tester, M. Mechanisms of salinity tolerance. Annu. Rev. Plant Biol. 2008, 59, 651. [Google Scholar] [CrossRef] [PubMed]
- Edelstein, M.; Cohen, R.; Baumkoler, F.; Ben-Hur, M. Using grafted vegetables to increase tolerance to salt and toxic elements. Isr. J. Plant Sci. 2017, 64, 3–20. [Google Scholar] [CrossRef]
- Fallik, E.; Ilic, Z. Grafted vegetables—The influence of rootstock and scion on postharvest quality. Folia Hortic. 2014, 26, 79–90. [Google Scholar] [CrossRef]
- Giordano, M.; Petropoulos, S.A.; Rouphael, Y. Response and Defence Mechanisms of Vegetable Crops against Drought, Heat and Salinity Stress. Agriculture 2021, 11, 463. [Google Scholar] [CrossRef]
- Nawaz, M.A.; Imtiaz, M.; Kong, Q.; Cheng, F.; Ahmed, W.; Huang, Y.; Bie, Z. Grafting: A Technique to Modify Ion Accumulation in Horticultural Crops. Front. Plant Sci. 2016, 7, 1457. [Google Scholar] [CrossRef]
- Rouphael, Y.; Cardarelli, M.; Rea, E.; Colla, G. Improving melon and cucumber photosynthetic activity, mineral composition, and growth performance under salinity stress by grafting onto Cucurbita hybrid rootstocks. Photosynthetica 2012, 50, 180–188. [Google Scholar] [CrossRef]
- Fu, Q.S.; Zhang, X.Y.; Kong, Q.S.; Bie, Z.L.; Wang, H.S. Grafting onto pumpkin rootstock is an efficient alternative to improve melon tolerance to NaCl stress. Eur. J. Hortic. Sci. 2018, 83, 337–344. [Google Scholar] [CrossRef]
- Plaut, Z.; Edelstein, M.; Ben-Hur, M. Overcoming Salinity Barriers to Crop Production Using Traditional Methods. Crit. Rev. Plant Sci. 2013, 32, 250–291. [Google Scholar] [CrossRef]
- Lei, B.; Huang, Y.; Sun, J.; Xie, J.; Niu, M.; Liu, Z.; Fan, M.; Bie, Z. Scanning ion-selective electrode technique and X-ray microanalysis provide direct evidence of contrasting Na+ transport ability from root to shoot in salt-sensitive cucumber and salt-tolerant pumpkin under NaCl stress. Physiol. Plant. 2014, 152, 738–748. [Google Scholar] [CrossRef] [PubMed]
- Huang, Y.; Bie, Z.; Liu, P.; Niu, M.; Zhen, A.; Liu, Z.; Lei, B.; Gu, D.; Lu, C.; Wang, B. Reciprocal grafting between cucumber and pumpkin demonstrates the roles of the rootstock in the determination of cucumber salt tolerance and sodium accumulation. Sci. Hortic. 2013, 149, 47–54. [Google Scholar] [CrossRef]
- Sun, J.; Cao, H.; Cheng, J.; He, X.; Sohail, H.; Niu, M.; Huang, Y.; Bie, Z. Pumpkin CmHKT1;1 Controls Shoot Na(+) Accumulation via Limiting Na(+) Transport from Rootstock to Scion in Grafted Cucumber. Int. J. Mol. Sci. 2018, 19, 2648. [Google Scholar] [CrossRef] [PubMed]
- Shi, H.Z.; Quintero, F.J.; Pardo, J.M.; Zhu, J.K. The putative plasma membrane Na+/H+ antiporter SOS1 controls long-distance Na+ transport in plants. Plant Cell 2002, 14, 465–477. [Google Scholar] [CrossRef] [PubMed]
- Yang, Q.; Chen, Z.Z.; Zhou, X.F.; Yin, H.B.; Li, X.; Xin, X.F.; Hong, X.H.; Zhu, J.K.; Gong, Z. Overexpression of SOS (Salt Overly Sensitive) genes increases salt tolerance in transgenic Arabidopsis. Mol. Plant 2009, 2, 22–31. [Google Scholar] [CrossRef] [PubMed]
- Ma, D.M.; WR, W.X.; Li, H.W.; Jin, F.X.; Guo, L.N.; Wang, J.; Da, H.J.; Xu, X. Co-expression of the Arabidopsis SOS genes enhances salt tolerance in transgenic tall fescue (Festuca arundinacea Schreb.). Protoplasma 2014, 251, 219–231. [Google Scholar] [CrossRef]
- Niu, M.; Huang, Y.; Sun, S.; Sun, J.; Cao, H.; Shabala, S.; Bie, Z. Root respiratory burst oxidase homologue-dependent H2O2 production confers salt tolerance on a grafted cucumber by controlling Na+ exclusion and stomatal closure. J. Exp. Bot. 2018, 69, 3465–3476. [Google Scholar] [CrossRef]
- Niu, M.; Xie, J.; Sun, J.; Huang, Y.; Kong, Q.; Nawaz, M.A.; Bie, Z. A shoot based Na+ tolerance mechanism observed in pumpkin—An important consideration for screening salt tolerant rootstocks. Sci. Hortic. 2017, 218, 38–47. [Google Scholar] [CrossRef]
- Xie, J.; Lei, B.; Niu, M.; Huang, Y.; Kong, Q.; Bie, Z. High Throughput Sequencing of Small RNAs in the Two Cucurbita Germplasm with Different Sodium Accumulation Patterns Identifies Novel MicroRNAs Involved in Salt Stress Response. PLoS ONE 2015, 10, e0127412. [Google Scholar] [CrossRef]
- Wang, S.M.; Zhang, J.L.; Flowers, T.J. Low-affinity Na+ uptake in the halophyte Suaeda maritima. Plant Physiol. 2007, 145, 559–571. [Google Scholar] [CrossRef]
- Munns, R. Genes and salt tolerance: Bringing them together. New Phytol. 2005, 167, 645–663. [Google Scholar] [CrossRef]
- Chakraborty, K.; Bose, J.; Shabala, L.; Eyles, A.; Shabala, S. Evaluating relative contribution of osmotolerance and tissue tolerance mechanisms toward salinity stress tolerance in three Brassica species. Physiol. Plant. 2016, 158, 135–151. [Google Scholar] [CrossRef]
- Wu, H.; Shabala, L.; Barry, K.; Zhou, M.; Shabala, S. Ability of leaf mesophyll to retain potassium correlates with salinity tolerance in wheat and barley. Physiol. Plant. 2013, 149, 515–527. [Google Scholar] [CrossRef] [PubMed]
- Wu, H.H.; Shabala, L.; Zhou, M.X.; Shabala, S. Durum and Bread Wheat Differ in Their Ability to Retain Potassium in Leaf Mesophyll: Implications for Salinity Stress Tolerance. Plant Cell Physiol. 2014, 55, 1749–1762. [Google Scholar] [CrossRef] [PubMed]
- Lee, J.M.; Kubota, C.; Tsao, S.J.; Bie, Z.; Echevarria, P.H.; Morra, L.; Oda, M. Current status of vegetable grafting: Diffusion, grafting techniques, automation. Sci. Hortic. 2010, 127, 93–105. [Google Scholar] [CrossRef]
- Rus, A.; Baxter, I.; Muthukumar, B.; Gustin, J.; Lahner, B.; Yakubova, E.; Salt, D.E. Natural variants of AtHKT1 enhance Na+ accumulation in two wild populations of Arabidopsis. PLoS Genet. 2006, 2, e210. [Google Scholar] [CrossRef] [PubMed]
- Lopez-Serrano, L.; Canet-Sanchis, G.; Selak, G.V.; Penella, C.; San Bautista, A.; Lopez-Galarza, S.; Calatayud, A. Physiological characterization of a pepper hybrid rootstock designed to cope with salinity stress. Plant Physiol. Biochem. 2020, 148, 207–219. [Google Scholar] [CrossRef]
- Sun, J.; Chen, S.; Dai, S.; Wang, R.; Li, N.; Shen, X.; Zhou, X.; Lu, C.; Zheng, X.; Hu, Z.; et al. NaCl-induced alternations of cellular and tissue ion fluxes in roots of salt-resistant and salt-sensitive poplar species. Plant Physiol. 2009, 149, 1141–1153. [Google Scholar] [CrossRef]
- Gou, T.; Su, Y.; Han, R.; Jia, J.; Zhu, Y.; Huo, H.; Liu, H.; Gong, H. Silicon delays salt stress-induced senescence by increasing cytokinin synthesis in tomato. Sci. Hortic. 2022, 293, 110750. [Google Scholar] [CrossRef]
- Kronzucker, H.J.; Britto, D.T. Sodium transport in plants: A critical review. New Phytol. 2011, 189, 54–81. [Google Scholar] [CrossRef]
- Maathuis, F.J. Sodium in plants: Perception, signalling, and regulation of sodium fluxes. J. Exp. Bot. 2014, 65, 849–858. [Google Scholar] [CrossRef]
- Liu, Z.X.; Bie, Z.L.; Huang, Y.; Zhen, A.; Lei, B.; Zhang, H.Y. Grafting onto Cucurbita moschata rootstock alleviates salt stress in cucumber plants by delaying photoinhibition. Photosynthetica 2012, 50, 152–160. [Google Scholar] [CrossRef]
- Moller, I.S.; Gilliham, M.; Jha, D.; Mayo, G.M.; Roy, S.J.; Coates, J.C.; Haseloff, J.; Tester, M. Shoot Na+ exclusion and increased salinity tolerance engineered by cell type-specific alteration of Na+ transport in Arabidopsis. Plant Cell 2009, 21, 2163–2178. [Google Scholar] [CrossRef]
- Kobayashi, N.I.; Yamaji, N.; Yamamoto, H.; Okubo, K.; Ueno, H.; Costa, A.; Tanoi, K.; Matsumura, H.; Fujii-Kashino, M.; Horiuchi, T.; et al. OsHKT1;5 mediates Na(+) exclusion in the vasculature to protect leaf blades and reproductive tissues from salt toxicity in rice. Plant J. 2017, 91, 657–670. [Google Scholar] [CrossRef]
- Wang, T.T.; Ren, Z.J.; Liu, Z.Q.; Feng, X.; Guo, R.Q.; Li, B.G.; Li, L.G.; Jing, H.C. SbHKT1;4, a member of the high-affinity potassium transporter gene family from Sorghum bicolor, functions to maintain optimal Na⁺ /K⁺ balance under Na⁺ stress. J. Integr. Plant Biol. 2014, 56, 315–332. [Google Scholar] [CrossRef] [PubMed]
- Mäser, P.; Eckelman, B.; Vaidyanathan, R.; Horie, T.; Fairbairn, D.J.; Kubo, M.; Yamagami, M.; Yamaguchi, K.; Nishimura, M.; Uozumi, N.; et al. Altered shoot/root Na+ distribution and bifurcating salt sensitivity in Arabidopsis by genetic disruption of the Na+ transporter AtHKT1. FEBS Lett. 2002, 531, 157–161. [Google Scholar] [CrossRef] [PubMed]
- Wang, D.; Wang, H.; Han, B.; Wang, B.; Guo, A.; Zheng, D.; Liu, C.; Chang, L.; Peng, M.; Wang, X. Sodium instead of potassium and chloride is an important macronutrient to improve leaf succulence and shoot development for halophyte Sesuvium portulacastrum. Plant Physiol. Biochem. 2012, 51, 53–62. [Google Scholar] [CrossRef] [PubMed]
- Niu, M.; Xie, J.; Chen, C.; Cao, H.; Sun, J.; Kong, Q.; Shabala, S.; Shabala, L.; Huang, Y.; Bie, Z. An early ABA-induced stomatal closure, Na+ sequestration in leaf vein and K+ retention in mesophyll confer salt tissue tolerance in Cucurbita species. J. Exp. Bot. 2018, 69, 4945–4960. [Google Scholar] [CrossRef]
- Shabala, S.; White, R.G.; Djordjevic, M.A.; Ruan, Y.L.; Mathesius, U. Root-to-shoot signalling: Integration of diverse molecules, pathways and functions. Funct. Plant Biol. 2016, 43, 87–104. [Google Scholar] [CrossRef]
- Gonzalez, P.; Syvertsen, J.P.; Etxeberria, E. Sodium Distribution in Salt-stressed Citrus Rootstock Seedlings. Hortscience 2012, 47, 1504–1511. [Google Scholar] [CrossRef]
- Sykes, S.R. Chloride and sodium excluding capacities of citrus rootstock germplasm introduced to Australia from the People’s Republic of China. Sci. Hortic. 2011, 128, 443–449. [Google Scholar] [CrossRef]
- Mouhaya, W.; Allario, T.; Brumos, J.; Andres, F.; Froelicher, Y.; Luro, F.; Talon, M.; Ollitrault, P.; Morillon, R. Sensitivity to high salinity in tetraploid citrus seedlings increases with water availability and correlates with expression of candidate genes. Funct. Plant Biol. 2010, 37, 674–685. [Google Scholar] [CrossRef]
- Galvez, A.; Albacete, A.; Martinez-Andujar, C.; Del Amor, F.M.; Lopez-Marin, J. Contrasting Rootstock-Mediated Growth and Yield Responses in Salinized Pepper Plants (Capsicum annuum L.) Are Associated with Changes in the Hormonal Balance. Int. J. Mol. Sci. 2021, 22, 3297. [Google Scholar] [CrossRef] [PubMed]
- Talhouni, M.; Sönmez, K.; Kiran, S.; Beyaz, R.; Yildiz, M.; Kuşvuran, Ş.; Ellialtıoğlu, Ş.Ş. Comparison of salinity effects on grafted and non-grafted eggplants in terms of ion accumulation, MDA content and antioxidative enzyme activities. Adv. Hortic. Sci. 2019, 33, 87–95. [Google Scholar]
- Liu, X.; Cao, C.; Liu, L.; Zhu, P.; Zhou, Q.; Jiang, H. Effects of different rootstocks on plant growth and fruit quality of watermelon. Acta Agric. Zhejiangensis 2015, 27, 966–969. [Google Scholar]
- Xu, Q.; Guo, S.R.; Li, L.; An, Y.H.; Shu, S.; Sun, J. Proteomics analysis of compatibility and incompatibility in grafted cucumber seedlings. Plant Physiol. Biochem. 2016, 105, 21–28. [Google Scholar] [CrossRef] [PubMed]
- López-Marín, J.; Gálvez, A.; del Amor, F.M.; Albacete, A.; Fernández, J.A.; Egea-Gilabert, C.; Pérez-Alfocea, F. Selecting vegetative/generative/dwarfing rootstocks for improving fruit yield and quality in water stressed sweet peppers. Sci. Hortic. 2017, 214, 9–17. [Google Scholar] [CrossRef]







Disclaimer/Publisher’s Note: The statements, opinions and data contained in all publications are solely those of the individual author(s) and contributor(s) and not of MDPI and/or the editor(s). MDPI and/or the editor(s) disclaim responsibility for any injury to people or property resulting from any ideas, methods, instructions or products referred to in the content. |
© 2023 by the authors. Licensee MDPI, Basel, Switzerland. This article is an open access article distributed under the terms and conditions of the Creative Commons Attribution (CC BY) license (https://creativecommons.org/licenses/by/4.0/).
Share and Cite
Niu, M.; Luo, W.; Luo, L.; Chen, S.; Zhao, H.; Zhang, H.; Qian, Y. Non-Invasive Micro-Test Technology and Reciprocal Grafting Provide Direct Evidence of Contrasting Na+ Transport Strategies between Cucurbita moschata and Cucurbita maxima. Agronomy 2023, 13, 1843. https://doi.org/10.3390/agronomy13071843
Niu M, Luo W, Luo L, Chen S, Zhao H, Zhang H, Qian Y. Non-Invasive Micro-Test Technology and Reciprocal Grafting Provide Direct Evidence of Contrasting Na+ Transport Strategies between Cucurbita moschata and Cucurbita maxima. Agronomy. 2023; 13(7):1843. https://doi.org/10.3390/agronomy13071843
Chicago/Turabian StyleNiu, Mengliang, Wei Luo, Liang Luo, Shanshan Chen, Huixia Zhao, Hao Zhang, and Yike Qian. 2023. "Non-Invasive Micro-Test Technology and Reciprocal Grafting Provide Direct Evidence of Contrasting Na+ Transport Strategies between Cucurbita moschata and Cucurbita maxima" Agronomy 13, no. 7: 1843. https://doi.org/10.3390/agronomy13071843
APA StyleNiu, M., Luo, W., Luo, L., Chen, S., Zhao, H., Zhang, H., & Qian, Y. (2023). Non-Invasive Micro-Test Technology and Reciprocal Grafting Provide Direct Evidence of Contrasting Na+ Transport Strategies between Cucurbita moschata and Cucurbita maxima. Agronomy, 13(7), 1843. https://doi.org/10.3390/agronomy13071843
