Field Screening of Lentil (Lens culinaris) for High-Temperature Tolerance
Abstract
1. Introduction
2. Materials and Methods
2.1. Site Description
2.2. Genotypes
2.3. Data Collection
2.4. Heat Load
2.5. High-Temperature Stress Indices
2.6. Data Analysis
3. Results
3.1. Heat Load
3.2. Lentil Phenology
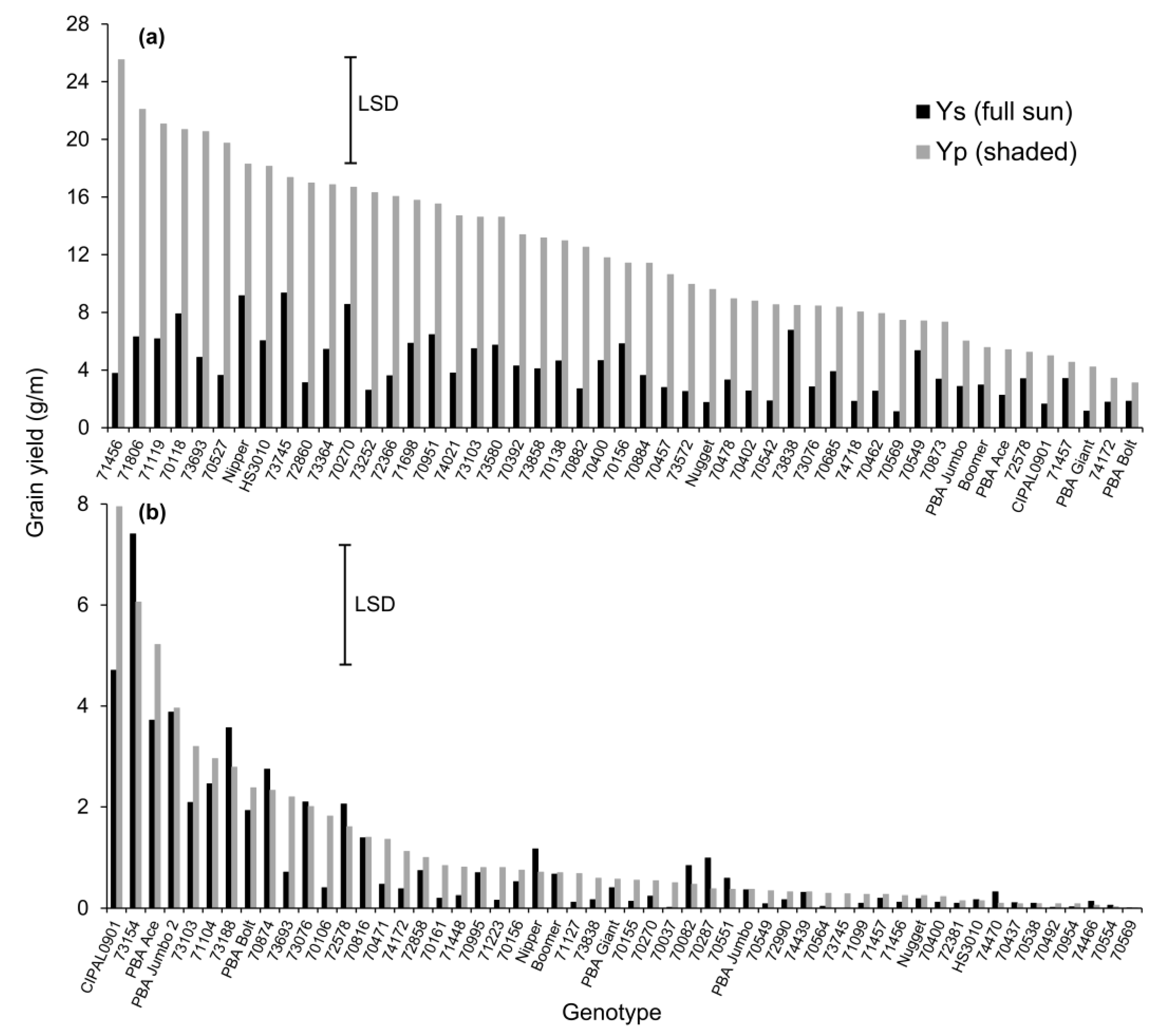
3.3. Screening—2014
Stress Tolerance Indices
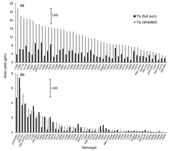
3.4. Screening—2015
Stress Tolerance Indices
3.5. Inter-Year Comparison
4. Discussion
5. Conclusions
Author Contributions
Funding
Data Availability Statement
Acknowledgments
Conflicts of Interest
Appendix A
| Identity | Region/Country | ACC Name | Donor No. | Trial |
|---|---|---|---|---|
| AGG 70156 | Constatine/Algeria | ILL 857 | IG 857 | 2014 & 2015 |
| AGG 70270 | Hudeiba/Sudan | ILL 1861 | IG 1861 | 2014 & 2015 |
| AGG 70400 | Al Hasakah/Syria | ILL 4532 | IG 4532 | 2014 & 2015 |
| AGG 70549 | Santa Fe/Argentina | ILL 6109 | IG 70164 | 2014 & 2015 |
| AGG 70569 | Al Hasakah/Syria | ILL 6525 | IG 71476 | 2014 & 2015 |
| AGG 70882 | /Bangladesh | 9920308 | 2014 & 2015 | |
| AGG 71456 | Taybi village/Lebanon | ILL 485 | PI 300565 | 2014 & 2015 |
| AGG 71457 | Iribid/Jordan | ILL 486 | PI 302398 | 2014 & 2015 |
| AGG 72578 | Uttar Pradesh/India | PI 472290 | 2014 & 2015 | |
| AGG 73693 | /Libya | LENS 157 | 2014 & 2015 | |
| AGG 73745 | /Italy | ITA-828752 | B 1045 | 2014 & 2015 |
| AGG 73838 | Lushnje/Albania | PI 606693 | BERATI | 2014 & 2015 |
| AGG 74172 | Merida/Venezuela | JCMMF4-1 | 2014 & 2015 | |
| Boomer | Australia | 2014 & 2015 | ||
| CIPAL0901 | Australia | 2014 & 2015 | ||
| HS3010 | Australia | 2014 & 2015 | ||
| Nipper | Australia | 2014 & 2015 | ||
| Nugget | Australia | 2014 & 2015 | ||
| PBA Ace | Australia | 2014 & 2015 | ||
| PBA Bolt | Australia | 2014 & 2015 | ||
| PBA Giant | Australia | 2014 & 2015 | ||
| PBA Jumbo | Australia | 2014 & 2015 | ||
| AGG 70003 * | Saskatchewan/Canada | LAIRD | PI 607915 | 2014 |
| AGG 70118 | Doures/Lebanon | ILL 484 | PI 300564 | 2014 |
| AGG 70138 | Manisa/Turkey | ILL 647 | IG 647 | 2014 |
| AGG 70392 | Aleppo/Syria | ILL 4497 | IG 4497 | 2014 |
| AGG 70402 | Al Hasakah/Syria | ILL 4542 | IG 4542 | 2014 |
| AGG 70457 | /Morocco | ILL 4788 | 11/03/1962 | 2014 |
| AGG 70462 | Bavaria/Germany | ILL 4879 | IG 4879 | 2014 |
| AGG 70478 | /Jordan | ILL 5223 | IG 5223 | 2014 |
| AGG 70527 | Bale/Ethiopia | ILL 5912 | OITA 703 | 2014 |
| AGG 70542 | Hyderabad/Pakistan | ILL 6066 | IG 70121 | 2014 |
| AGG 70884 | Bangladesh | 09920303 | 2014 | |
| AGG 70685 | Diyarbakir/Turkey | PI 509377 | 2014 | |
| AGG 70873 | /Bangladesh | 9920291 | 2014 | |
| AGG 70951 | Lovech/Bulgaria | ILL 512 | IG 512 | 2014 |
| AGG 71119 | /Syria | ILL 240 | PI 254553 | 2014 |
| AGG 71698 | /Cyprus | RPIP 33-039-10124 | PI 431610 | 2014 |
| AGG 71806 | Voronezh/Russia | IG 123615 | Borinskaja | 2014 |
| AGG 72366 | /Turkey | RPIP 33-153-11133 | PI 432278 | 2014 |
| AGG 72860 | Tehran/Iran | PI 472573 | 2014 | |
| AGG 73076 | Punjab/Pakistan | PI 513259 | 2014 | |
| AGG 73103 | Punjab/Pakistan | PI 513286 | MASSAR | 2014 |
| AGG 73252 | Urfa/Turkey | PI 568219 | W6 11532 | 2014 |
| AGG 73364 | Alexandria/Egypt | PI 606595 | W6 10474 | 2014 |
| AGG 73572 | /Libya | ILL 4804 | IG 4804 | 2014 |
| AGG 73580 | /Greece | LENS 30 | LENS 30 | 2014 |
| AGG 73858 | Delhi/India | ILL 221 | 13.3 | 2014 |
| AGG 74021 | /Jordan | ILL 5586 | IG 5586 | 2014 |
| AGG 70037 | Amzibegovo/Macedonia | ILL 623B | IG 623 | 2015 |
| AGG 70082 | Mosul/Iraq | ILL 53 | IG 53 | 2015 |
| AGG 70106 | Cairo/Egypt | ILL 337 | GIZA | 2015 |
| AGG 70155 | Oran/Algeria | ILL 856 | IG 856 | 2015 |
| AGG 70161 | Esfahan/Iran | ILL 901 | IG 901 | 2015 |
| AGG 70287 | Dahuk/Iraq | ILL 2153 | IG 2153 | 2015 |
| AGG 70437 | /Algeria | ILL 4658 | IG 4658 | 2015 |
| AGG 70471 | Irbid/Jordan | ILL 5065 | IG 5065 | 2015 |
| AGG 70492 | Cartago/Costa Rica | ILL 210 | 74TA-209 | 2015 |
| AGG 70538 | Larnaca/Cyprus | ILL 5984 | IG 69593 | 2015 |
| AGG 70551 | La Rioja/Argentina | ILL 6111 | IG 70166 | 2015 |
| AGG 70554 | /Tunisia | ILL 6268 | IG 71200 | 2015 |
| AGG 70564 | Baluchistan/Pakistan | ILL 6385 | IG 71317 | 2015 |
| AGG 70816 | /Bangladesh | ILXB 87099 | 2015 | |
| AGG 70874 | /Bangladesh | 9920343 | 2015 | |
| AGG 70954 | Cordoba/Spain | ILL 915 | IG 915 | 2015 |
| AGG 70995 | Diyarbakir/Turkey | ILL 122 | PI 172938 | 2015 |
| AGG 71099 | Gujarat/India | ILL 220 | PI 212904 | 2015 |
| AGG 71104 | /Yemen | ILL225 | PI 2440046 | 2015 |
| AGG 71127 | /Ethiopia | ILL 247 | PI 273664 | 2015 |
| AGG 71223 | Cairo/Egypt | ILL 337 | PI 298357 | 2015 |
| AGG 71448 | Aleppo/Syria | ILL 477 | PI 300255 | 2015 |
| AGG 72381 | Tehran/Iran | ILL 1040; ILL 882; ILL 749 | PI 435956 | 2015 |
| AGG 72858 | Hamadan/Iran | PI 472571 | 2015 | |
| AGG 72990 | Adiyaman/Turkey | PI 509356 | 2015 | |
| AGG 73154 | Hyderabad/Pakistan | PI 513337 | PI 513337 | 2015 |
| AGG 73188 | Punjab/Pakistan | PI 513372 | MASSAR | 2015 |
| AGG 74439 | Xinjiang/China | ILL 8288 | IG 123539 | 2015 |
| AGG 74466 | /Libya | ILL 8411 | IG 123662 | 2015 |
| AGG 74470 | /Libya | ILL 8457 | IG 123708 | 2015 |
| AGG 74718 | /Tajikistan | ILL 8321 | IG 123572 | 2015 |
| PBA Jumbo2 | Australia | 2015 |
| Full Sun (YS) | Partially Shaded (YP) | |||||
|---|---|---|---|---|---|---|
| Genotype | Flowering (DAS) | Maturity (DAS) | Heat Load (°C.h > 30 °C) | Flowering (DAS) | Maturity (DAS) | Heat Load (°C.h > 30 °C) |
| 70478 | 31 | 87 | 1251 | 46 | 96 | 856 |
| 70882 | 38 | 80 | 990 | 38 | 82 | 885 |
| 70884 | 38 | 82 | 1145 | 38 | 105 | 1148 |
| 72578 | 38 | 83 | 1236 | 38 | 83 | 971 |
| 74172 | 38 | 81 | 1053 | 38 | 81 | 805 |
| CIPAL0901 | 38 | 80 | 962 | 38 | 84 | 971 |
| 70457 | 39 | 107 | 1437 | 46 | 129 | 1649 |
| 70873 | 39 | 80 | 990 | 38 | 81 | 805 |
| PBA Giant | 39 | 91 | 1285 | 39 | 100 | 1147 |
| 70527 | 40 | 102 | 1432 | 41 | 135 | 1841 |
| 70542 | 40 | 86 | 1236 | 39 | 87 | 971 |
| 73076 | 40 | 80 | 990 | 41 | 90 | 1009 |
| 73103 | 40 | 84 | 1236 | 42 | 82 | 885 |
| PBA Bolt | 40 | 87 | 1236 | 38 | 85 | 971 |
| Boomer | 41 | 82 | 1145 | 40 | 107 | 1148 |
| Nugget | 41 | 91 | 1285 | 42 | 130 | 1806 |
| 72860 | 42 | 91 | 1285 | 47 | 102 | 968 |
| Nipper | 42 | 110 | 1437 | 46 | 115 | 1137 |
| PBA Ace | 42 | 87 | 1236 | 38 | 105 | 1148 |
| 70549 | 43 | 87 | 1237 | 45 | 90 | 853 |
| 71457 | 43 | 86 | 1236 | 45 | 97 | 939 |
| 72366 | 44 | 105 | 1431 | 40 | 115 | 1293 |
| 73745 | 44 | 112 | 1356 | 62 | 128 | 1325 |
| HS3010 | 44 | 85 | 1230 | 42 | 95 | 1009 |
| 70156 | 45 | 86 | 1147 | 42 | 114 | 1251 |
| 73838 | 45 | 84 | 1147 | 45 | 86 | 814 |
| 73858 | 45 | 87 | 1063 | 45 | 91 | 936 |
| 73693 | 48 | 87 | 1010 | 44 | 106 | 1142 |
| 70569 | 49 | 101 | 1183 | 48 | 131 | 1628 |
| 71698 | 49 | 91 | 1036 | 56 | 110 | 903 |
| 73252 | 49 | 101 | 1183 | 47 | 133 | 1642 |
| 70402 | 50 | 91 | 1035 | 46 | 88 | 853 |
| 70951 | 50 | 86 | 987 | 48 | 114 | 1056 |
| 70392 | 51 | 94 | 1035 | 46 | 113 | 1022 |
| 70462 | 52 | 89 | 1035 | 48 | 91 | 814 |
| 70118 | 53 | 96 | 1040 | 50 | 96 | 809 |
| 70138 | 53 | 100 | 1165 | 52 | 117 | 1106 |
| 71456 | 53 | 92 | 1035 | 49 | 130 | 1610 |
| 71806 | 54 | 92 | 1018 | 49 | 105 | 945 |
| 71119 | 55 | 94 | 972 | 55 | 108 | 908 |
| 73364 | 55 | 107 | 1134 | 51 | 112 | 975 |
| 74021 | 55 | 89 | 982 | 53 | 106 | 945 |
| 70270 | 56 | 109 | 1125 | 44 | 108 | 1142 |
| 70685 | 56 | 89 | 972 | 52 | 96 | 809 |
| 73580 | 56 | 107 | 1125 | 56 | 94 | 764 |
| 74718 | 56 | 94 | 968 | 49 | 127 | 1453 |
| 70400 | 56 | 88 | 968 | 46 | 94 | 853 |
| 73572 | 62 | 108 | 909 | 65 | 128 | 1325 |
| Full Sun (YS) | Partially Shaded (YP) | |||||
|---|---|---|---|---|---|---|
| Genotype | Flowering (DAS) | Maturity (DAS) | Heat Load (°C.h > 30 °C) | Flowering (DAS) | Maturity (DAS) | Heat Load (°C.h > 30 °C) |
| 70874 | 32 | 70 | 1484 | 44 | 72 | 1090 |
| 74439 | 33 | 95 | 2263 | 46 | 111 | 2037 |
| PBA Ace | 34 | 74 | 1463 | 35 | 83 | 1785 |
| PBA Jumbo2 | 34 | 73 | 1403 | 34 | 79 | 1554 |
| 71104 | 35 | 79 | 1669 | 34 | 80 | 1565 |
| 73154 | 35 | 71 | 1329 | 35 | 83 | 1785 |
| 74172 | 35 | 72 | 1350 | 38 | 70 | 1210 |
| CIPAL0901 | 36 | 72 | 1350 | 36 | 77 | 1449 |
| 73188 | 37 | 74 | 1463 | 37 | 91 | 1945 |
| PBA Giant | 37 | 73 | 1403 | 38 | 77 | 1523 |
| Nugget | 37 | 76 | 1556 | 35 | 79 | 1554 |
| PBA Bolt | 37 | 77 | 1669 | 37 | 83 | 1709 |
| 72578 | 38 | 92 | 2076 | 38 | 99 | 1914 |
| Boomer | 38 | 75 | 1460 | 38 | 80 | 1523 |
| 70471 | 39 | 72 | 1320 | 40 | 78 | 1398 |
| 71457 | 39 | 74 | 1363 | 39 | 81 | 1464 |
| 72858 | 39 | 83 | 1814 | 39 | 93 | 1844 |
| 73076 | 39 | 80 | 1568 | 38 | 91 | 1914 |
| PBA Jumbo | 39 | 81 | 1579 | 38 | 82 | 1679 |
| 70156 | 40 | 80 | 1512 | 41 | 83 | 1628 |
| 70551 | 40 | 73 | 1247 | 40 | 79 | 1453 |
| 70554 | 40 | 81 | 1580 | 44 | 87 | 1735 |
| 71127 | 40 | 82 | 1580 | 39 | 83 | 1609 |
| 71223 | 40 | 80 | 1568 | 46 | 91 | 1788 |
| 73103 | 40 | 85 | 1831 | 38 | 89 | 1892 |
| HS3010 | 40 | 70 | 1219 | 41 | 77 | 1398 |
| 70082 | 41 | 74 | 1307 | 40 | 86 | 1791 |
| 70287 | 41 | 75 | 1335 | 42 | 81 | 1408 |
| 71456 | 41 | 82 | 1580 | 44 | 89 | 1739 |
| 74466 | 41 | 73 | 1247 | 40 | 77 | 1293 |
| Nipper | 41 | 87 | 1890 | 40 | 89 | 1791 |
| 73693 | 42 | 80 | 1512 | 43 | 90 | 1759 |
| 70816 | 43 | 75 | 1335 | 38 | 79 | 1523 |
| 74470 | 43 | 72 | 1194 | 47 | 81 | 1396 |
| 70400 | 44 | 77 | 1400 | 53 | 82 | 964 |
| 70995 | 44 | 81 | 1580 | 44 | 93 | 1788 |
| 70037 | 45 | 75 | 2021 | 41 | 82 | 1553 |
| 71448 | 45 | 82 | 1580 | 45 | 90 | 1759 |
| 70437 | 46 | 80 | 1504 | 45 | 79 | 1398 |
| 70549 | 46 | 78 | 1494 | 45 | 84 | 1628 |
| 70569 | 46 | 83 | 1740 | 46 | 83 | 1616 |
| 73838 | 46 | 75 | 1335 | 47 | 79 | 1386 |
| 70538 | 47 | 78 | 1494 | 48 | 90 | 1667 |
| 70564 | 47 | 86 | 1832 | 44 | 95 | 1788 |
| 71099 | 47 | 77 | 1342 | 40 | 85 | 1691 |
| 70155 | 48 | 80 | 1401 | 49 | 84 | 1536 |
| 72990 | 50 | 87 | 1610 | 44 | 95 | 1788 |
| 73745 | 50 | 80 | 1331 | 48 | 83 | 1581 |
| 70161 | 51 | 81 | 1299 | 54 | 104 | 1417 |
| 70954 | 53 | 81 | 976 | 55 | 85 | 1223 |
| 70106 | 54 | 88 | 1343 | 42 | 98 | 1788 |
| 70270 | 57 | 83 | 1063 | 45 | 103 | 1917 |
| 70492 | 61 | 81 | 818 | 48 | 85 | 1644 |
| 72381 | 61 | 79 | 739 | 47 | 78 | 1386 |

References
- Zohary, D. Monophyletic vs. polyphyletic origin of the crops on which agriculture was founded in the Near East. Genet. Resour. Crop. Evol. 1999, 46, 133–142. [Google Scholar] [CrossRef]
- Gaur, P.M.; Samineni, S.; Krishnamurthy, L.; Kumar, S.; Ghanem, M.E.; Beebe, S.; Rao, I.; Chaturvedi, S.K.; Basu, P.S.; Nayyar, H.; et al. High Temperature Tolerance in Grain Legumes. In Proceedings of the Legume Perspectives, Saskatoon, SK, Canada, 7–11 July 2015; pp. 23–24. [Google Scholar]
- Siddique, K.H.M.; Erskine, W.; Hobson, K.; Knights, E.J.; Leonforte, A.; Khan, T.N.; Paull, J.G.; Redden, R.; Materne, M. Cool-season grain legume improvement in Australia-use of genetic resources. Crop. Pasture Sci. 2013, 64, 347–360. [Google Scholar] [CrossRef]
- IPCC. Climate Change 2014: Synthesis Report. Contribution of Working Groups I, II and III to the Fifth Assesement Report of the Intergovernmental Panel on Climate Change; IPCC: Geneva, Switzerland, 2014.
- Sadras, V.O.; Rosewarne, G.M.; Lake, L. Australian lentil breeding between 1988 and 2019 has delivered greater yield gain under stress than under high-yield conditions. Front. Plant Sci. 2021, 12, 674327. [Google Scholar] [CrossRef] [PubMed]
- Kumar, J.; Kant, R.; Kumar, S.; Basu, P.S.; Sarker, A.; Singh, N.P. Heat Tolerance in Lentil under Field Conditions. Legume Genom. Genet. 2016, 7, 1–11. [Google Scholar] [CrossRef]
- Cossani, C.M.; Sadras, V.O. Symmetric response to competition in binary mixtures of cultivars associates with genetic gain in wheat yield. Evol. Appl. 2021, 14, 2064–2078. [Google Scholar] [CrossRef] [PubMed]
- Hobson, K.; Armstrong, R.; Nicolas, M.; Connor, D.; Materne, M. Response of lentil (Lens culinaris) germplasm to high concentrations of soil boron. Euphytica 2006, 151, 371–382. [Google Scholar] [CrossRef]
- Maher, L.; Armstrong, R.; Connor, D. Salt Tolerant Lentils–A Possibility for the Future? In Proceedings of the 11th Australian Agronomy Conference, Geelong, VIC, Australia, 2–6 February 2003.
- Rodda, M.S.; Davidson, J.; Javid, M.; Sudheesh, S.; Blake, S.; Forster, J.W.; Kaur, S. Molecular breeding for Ascochyta blight resistance in lentil: Current progress and future directions. Front. Plant Sci. 2017, 8, 1136. [Google Scholar] [CrossRef]
- Materne, M.; McNeil, D.L. Breeding Methods and Achievements. In Lentil; Yadav, S.S., Stevenson, P.C., Eds.; Springer: Berlin/Heidelberg, Germany, 2007; pp. 241–253. [Google Scholar]
- Sadras, V.O.; Vadez, V.; Purushothaman, R.; Lake, L.; Marrou, H. Unscrambling confounded effects of sowing date trials to screen for crop adaptation to high temperature. Field Crops Res. 2015, 177, 1–8. [Google Scholar] [CrossRef]
- Krishnamurthy, L.; Gaur, P.M.; Basu, P.S.; Chaturvedi, S.K.; Tripathi, S.; Vadez, V.; Rathore, A.; Varshney, R.K.; Gowda, C.L.L. Large genetic variation for heat tolerance in the reference collection of chickpea (Cicer arietinum L.) germplasm. Plant Genet. Resour. Characterisation Util. 2011, 9, 59–69. [Google Scholar] [CrossRef]
- Canci, H.; Toker, C. Evaluation of Yield Criteria for Drought and Heat Resistance in Chickpea (Cicer arietinum L.). J. Agron. Crop Sci. 2009, 195, 47–54. [Google Scholar] [CrossRef]
- Devasirvatham, V.; Gaur, P.M.; Raju, T.N.; Trethowan, R.M.; Tan, D.K.Y. Field response of chickpea (Cicer arietinum L.) to high temperature. Field Crops Res. 2015, 172, 59–71. [Google Scholar] [CrossRef]
- Ismail, A.M.; Hall, A.E. Reproductive-stage heat tolerance, leaf membrane thermostability and plant morphology in cowpea. Crop. Sci. 1999, 39, 1762–1768. [Google Scholar] [CrossRef]
- Sehgal, A.; Sita, K.; Kumar, J.; Kumar, S.; Singh, S.; Siddique, K.H.M.; Nayyar, H. Effects of drought, heat and their interaction on the growth, yield and photosynthetic function of lentil (Lens culinaris Medikus) genotypes varying in heat and drought sensitivity. Front. Plant Sci. 2017, 8, 1776. [Google Scholar] [CrossRef] [PubMed]
- Choudhury, D.R.; Tarafdar, S.; Das, M.; Kundagrami, S. Screening lentil (Lens culinaris Medik.) germplasms for heat tolerance. Trends Biosci. 2012, 5, 143. [Google Scholar]
- Porch, T.G. Application of stress indices for heat tolerance screening of common bean. J. Agron. Crop Sci. 2006, 192, 390–394. [Google Scholar] [CrossRef]
- Fernandez, G.C.J. Effective Selection Criteria for Assessing Plant Stress Tolerance. In Proceedings of the International Symposium on Adaptation of Vegetables and other Food Crops in Temperature and Water Stress, AVRDC, Shanhua, Taiwan, 13–16 August 1992; pp. 257–270. [Google Scholar]
- Sita, K.; Sehgal, A.; Kumar, J.; Kumar, S.; Singh, S.; Siddique, K.; Nayyar, H. Identification of high-temperature tolerant lentil (Lens culinaris Medik.) Genotypes through leaf and pollen traits. Front. Plant Sci. 2017, 8, 744. [Google Scholar] [CrossRef] [PubMed]
- Isbell, R. The Australian Soil Classification; CSIRO Australia: Collingwood, VI, Australia, 1996; Volume 4, p. 143.
- Rad, A.H.S.; Abbasian, A. Evaluation of drought tolerance in winter rapeseed cultivars based on tolerance and sensitivity indices. Žemdirbystė 2011, 98, 41–48. [Google Scholar]
- Erskine, W.; Ellis, R.H.; Summerfield, R.J.; Roberts, E.H.; Hussain, A. Characterization of responses to temperature and photoperiod for time to flowering in a world lentil collection. Theor. Appl. Genet. 1990, 80, 193–199. [Google Scholar] [CrossRef]
- Nuttall, J.; Barlow, K.; Christy, B.; O‘Leary, G.; Fitzgerald, G. Heat Shock Response in Wheat under Free Air CO2 Enrichment. In Proceedings of the Building Productive, Diverse and Sustainable Landscapes. In Proceedings of the 17th Australian Agronomy Conference, Hobart, Australia, 20–24 September 2015; pp. 543–546. [Google Scholar]
- Bhandari, K.; Siddique, K.H.M.; Turner, N.C.; Kaur, J.; Singh, S.; Agrawal, S.K.; Nayyar, H. Heat stress at reproductive stage disrupts leaf carbohydrate metabolism, impairs reproductive function, and severely reduces seed yield in lentil. J. Crop Improv. 2016, 30, 118–151. [Google Scholar] [CrossRef]
- Bouslama, M.; Schapaugh, W.T., Jr. Stress Tolerance in Soybeans. I. Evaluation of three screening techniques for heat and drought tolerance. Crop. Sci. 1984, 24, 933–937. [Google Scholar] [CrossRef]
- VSN International. Genstat for Windows, 18th ed.; VSN International Ltd.: Hemel Hempstead, UK, 2015. [Google Scholar]
- Yuan, H.Y.; Saha, S.; Vandenberg, A.; Bett, K.E. Flowering and growth responses of cultivated lentil and wild lens germplasm toward the differences in red to far-red ratio and photosynthetically active radiation. Front. Plant Sci. 2017, 8, 386. [Google Scholar] [CrossRef]
- Khazaei, H.; Street, K.; Bari, A.; Mackay, M.; Stoddard, F.L. The FIGS (Focused Identification of Germplasm Strategy) approach identifies traits related to drought ddaptation in vicia faba genetic resources. PLoS ONE 2013, 8, e63107. [Google Scholar] [CrossRef]
- Lombardi, M.; Materne, M.; Cogan, N.O.; Rodda, M.; Daetwyler, H.D.; Slater, A.T.; Forster, J.W.; Kaur, S. Assesment of genetic variation within a global collection of lentil (Lens culinaris Medik.) culitvars and lardraces using SNP markers. BMC Genet. 2014, 15, 150. [Google Scholar] [CrossRef]
- Tullu, A.; Diederichsen, A.; Suvorova, G.; Vandenberg, A. Genetic and genomic resources of lentil: Status, use and prospects. Plant Genet. Resour. 2011, 9, 19–29. [Google Scholar] [CrossRef]
- Haile, T.A.; Stonehouse, R.; Weller, J.L.; Bett, K.E. Genetic basis for lentil adaptation to summer cropping in northern temperate environments. bioRxiv 2021. [Google Scholar] [CrossRef]
- El Haddad, N.; Rajendran, K.; Smouni, A.; Es-Safi, N.E.; Benbrahim, N.; Mentag, R.; Nayyar, H.; Maalouf, F.; Kumar, S. Screening the FIGS set of lentil (Lens Culinaris Medikus) germplasm for tolerance to terminal heat and combined drought-heat stress. Agronomy 2020, 10, 1036. [Google Scholar] [CrossRef]
- Singh, S.; Sengar, R.; Kulshreshtha, N.; Datta, D.; Tomar, R.; Rao, V.; Garg, D.; Ojha, A. Assessment of multiple tolerance indices for salinity stress in bread wheat (Triticum aestivum L.). J. Agric. Sci. 2015, 7, 49. [Google Scholar] [CrossRef]
- Sial, M.A.; Arain, M.A.; Khanzada, S.; Naqvi, M.H.; Dahot, M.U.; Nizamani, N.A. Yield and quality parameters of wheat genotypes as affected by sowing dates and high temperature stress. Pak. J. Bot. 2005, 37, 575. [Google Scholar]
- Gaur, P.M.; Samineni, S.; Varshney, R.K. Drought and heat tolerance in chickpea. Legume Perspetives 2014, 9, 15–17. [Google Scholar]
- Upadhyaya, H.; Dronavalli, N.; Laxmipathi Gowda, C.; Sube, S. Identification and evaluation of chickpea germplasm for tolerance to heat stress. Crop Sci. 2011, 51, 2079. [Google Scholar] [CrossRef]
- Santos, M.V.; Ferreira, E.A.; Valadão, D.; Ramos de Oliveira, F.L.; Machado, V.D.; Silveria, R.R.; de Freitas Souza, M. Brachiaria physiological parameters in agroforestry systems. Anim. Prod. 2017, 47, 5. [Google Scholar] [CrossRef]
- Sadras, V.; Dreccer, M.F. Adaptation of wheat, barley, canola, field pea and chickpea to the thermal environments of Australia. Crop. Pasture Sci. 2015, 66, 1137–1150. [Google Scholar] [CrossRef]
- Bonada, M.; Sadras, V. Critical appraisal of methods to investigate the effect of temperature on grapevine berry composition. Aust. J. Grape Wine Res. 2015, 21, 1–17. [Google Scholar] [CrossRef]
- Erskine, W.; Hussain, A.; Tahir, M.; Bahksh, A. Field evaluation of a model of photothermal flowering responses in a world lentil collection. Theor. Appl. Genet. 1994, 88, 423. [Google Scholar] [CrossRef] [PubMed]
- Lake, L.; Chauhan, Y.S.; Ojeda, J.; Cossani, C.; Thomas, D.; Hayman, P.; Sadras, V. Modelling phenology to probe for trade-offs between frost and heat risk in lentil and faba bean. Eur. J. Agron. 2021, 122, 126154. [Google Scholar] [CrossRef]
- Prasad, P.V.; Craufurd, P.; Summerfield, R. Fruit number in relation to pollen production and viability in groundnut exposed to short episodes of heat stress. Ann. Bot. 1999, 84, 381–386. [Google Scholar] [CrossRef]
- White, J.W.; Beaver, J.; Burridge, J.D.; Jochua, C.; Miguel, M.; Porch, T.G.; Rosas, J.C.; Lynch, J. Boundary Line Analysis of "Noisy" Common Bean Yield Data. In Proceedings of the ASA, CSSA, and CSA International Annual Meeting, Baltimore, MD, USA, 4–7 November 2018. [Google Scholar]
- Flohr, B.M.; Hunt, J.R.; Kirkegaard, J.A.; Evans, J.R. Water and temperature stress define the optimal flowering period for wheat in south-eastern Australia. Field Crops Res. 2017, 209, 108–119. [Google Scholar] [CrossRef]
- Lilley, J.M.; Flohr, B.M.; Whish, J.P.M.; Farre, I.; Kirkegaard, J.A. Defining optimal sowing and flowering periods for canola in Australia. Field Crops Res. 2019, 235, 118–128. [Google Scholar] [CrossRef]
- Rebetzke, G.J.; Fischer, R.A.; van Herwaarden, A.F.; Bonnett, D.G.; Chenu, K.; Rattey, A.R.; Fettell, N.A. Plot size matters: Interference from intergenotypic competition in plant phenotyping studies. Funct. Plant Biol. 2014, 41, 107–118. [Google Scholar] [CrossRef]
- Gent, M. Crop Evolution, Adaptation and Yield; Evans, L.T., Ed.; Cambridge University Press: Cambridge, UK, 1996; p. 500. ISBN 0-521-29588-0. [Google Scholar]





| Trial | Yield Components | |||||
|---|---|---|---|---|---|---|
| Heat Load (°C.h > 30 °C) | Grain Number (no.) | Grain Size (mg) | Yield (g/m) | Biomass (g/m) | Harvest Index | |
| 2014 | YS (1378) | 175 | 20 | 3.8 | 137 | 0.04 |
| YP (937) | 429 | 30 | 11.3 | 151 | 0.08 | |
| LSD (p < 0.05) | 41 | 0.001 | 1.0 | ns | 0.01 | |
| 2015 | YS (1944) | 53 | 20 | 1.1 | 50.9 | 0.02 |
| YP (1735) | 64 | 20 | 1.4 | 46.8 | 0.03 | |
| LSD (p < 0.05) | 7 | ns | 0.2 | 2.27 | 0.004 | |
Disclaimer/Publisher’s Note: The statements, opinions and data contained in all publications are solely those of the individual author(s) and contributor(s) and not of MDPI and/or the editor(s). MDPI and/or the editor(s) disclaim responsibility for any injury to people or property resulting from any ideas, methods, instructions or products referred to in the content. |
© 2023 by the authors. Licensee MDPI, Basel, Switzerland. This article is an open access article distributed under the terms and conditions of the Creative Commons Attribution (CC BY) license (https://creativecommons.org/licenses/by/4.0/).
Share and Cite
Delahunty, A.J.; Brand, J.D.; Nuttall, J.G. Field Screening of Lentil (Lens culinaris) for High-Temperature Tolerance. Agronomy 2023, 13, 1753. https://doi.org/10.3390/agronomy13071753
Delahunty AJ, Brand JD, Nuttall JG. Field Screening of Lentil (Lens culinaris) for High-Temperature Tolerance. Agronomy. 2023; 13(7):1753. https://doi.org/10.3390/agronomy13071753
Chicago/Turabian StyleDelahunty, Audrey J., Jason D. Brand, and James G. Nuttall. 2023. "Field Screening of Lentil (Lens culinaris) for High-Temperature Tolerance" Agronomy 13, no. 7: 1753. https://doi.org/10.3390/agronomy13071753
APA StyleDelahunty, A. J., Brand, J. D., & Nuttall, J. G. (2023). Field Screening of Lentil (Lens culinaris) for High-Temperature Tolerance. Agronomy, 13(7), 1753. https://doi.org/10.3390/agronomy13071753

