Physiological, Enological and Agronomic Characterization of Pedro Ximénez Grapevine Cultivar under Organic Farming in a Warm Climate Zone
Abstract
1. Introduction
2. Materials and Methods
2.1. Experimental Site
2.2. Plant Measurements
2.3. Experimental Design and Stadistical Analysis
3. Results and Discussion
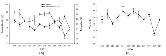
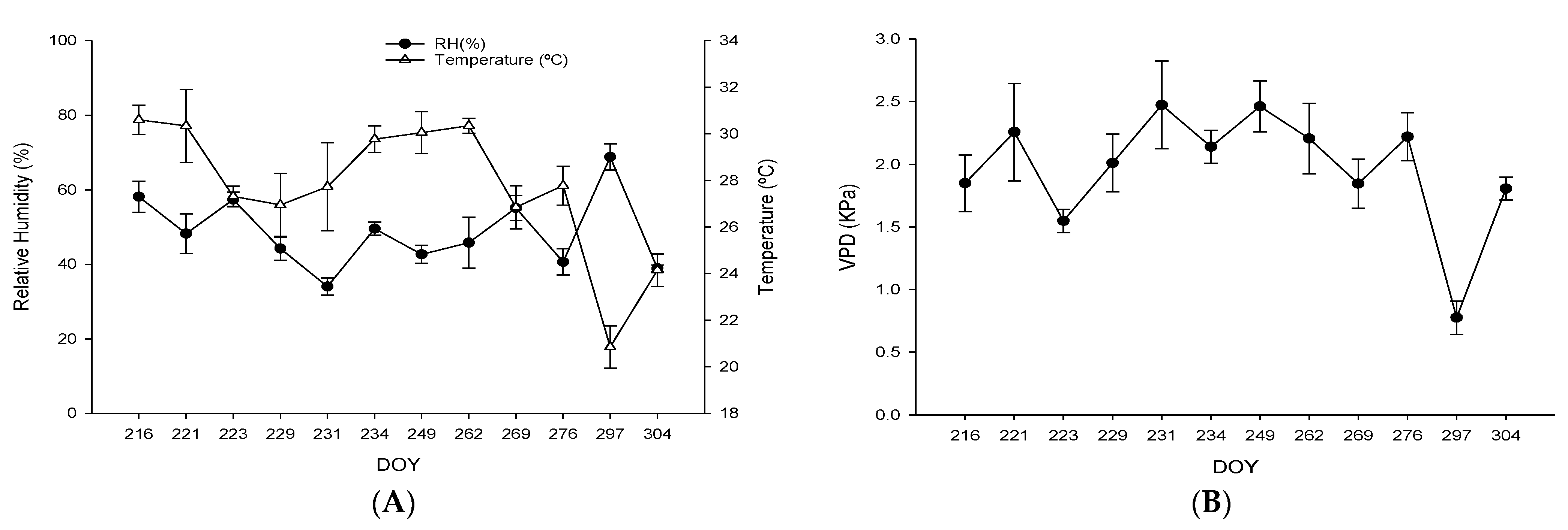
3.1. Experimental Conditions
3.2. Physiological Characterization of Grapevine during the Experiment
3.3. Enological Characterization
3.4. Agronomical Characterization
4. Conclusions
Author Contributions
Funding
Data Availability Statement
Acknowledgments
Conflicts of Interest
References
- European Commission. The New Common Agricultural Policy (CAP): 2023–2027; European Commission: Brussels, Belgium, 2022. [Google Scholar]
- Research Institute of Organic Agriculture. The World of Organic Agriculture. Statistics & Emerging Trends; FiBL: Brussels, Belgium, 2022. [Google Scholar]
- Alston, J.M.; Sambucci, O. Grapes in the World Economy. In The Grape Genome; Cantu, D., Walker, M.A., Eds.; Springer: Cham, Switzerland, 2019; pp. 1–24. [Google Scholar]
- FAO-OIV. FAO-OIV Focus 2016. In Table and Dried Grapes; Food and Agriculture Organization of the United Nations: Rome, Italy, 2016. [Google Scholar]
- International Organisation of Vine and Wine (OIV). State of the World Vine and Wine Sector-OIV, 2021; OIV: Dijon, France, 2022. [Google Scholar]
- Aubertot, J.N.; Barbier, J.M.; Carpentier, A.; Gril, J.J.; Guichard, L.; Lucas, P.; Savary, S.; Voltz, M.; Savini, I. Pesticides, agriculture et environnement. Réduire l’utilisation des pesticides et en limiter les impacts environnemen-taux. Expert. Sci. Collect. Inra-Cemagref 2005, 120, 64. [Google Scholar]
- Ministerio de Agricultura, Pesca y Alimentación. Informe Estadístico Anual 2003–2021. Available online: https://www.mapa.gob.es/es/alimentacion/temas/produccion-eco/ (accessed on 3 April 2023).
- Gramaje, D.; Urbez-Torres, J.R.; Sosnowski, M.R. Managing grapevine trunk diseases with respect to etiology and epidemiology: Current strategies and future prospects. Plant Dis. 2018, 102, 12–39. [Google Scholar] [CrossRef] [PubMed]
- Nemani, R.R.; White, M.A.; Cayan, D.R.; Jones, G.V.; Running, S.W.; Coughlan, J.C.; Peterson, D.L. Asymmetric warming over coastal California and its impact on the premium wine industry. Clim. Res. 2001, 19, 25–34. [Google Scholar] [CrossRef]
- Mira de Orduña, R. Climate change associate effects on grape and wine quality and production. Food Res. Int. 2010, 43, 1844–1855. [Google Scholar] [CrossRef]
- Loira, I. Optimización de Parámetros Fermentativos de Calidad en Vinos Tintos de Zonas Cálidas. Ph.D. Thesis, Universidad Politécnica de Madrid, Madrid, Spain, 2014. [Google Scholar]
- Sancho-Galán, P.; Amores-Arrocha, A.; Palacios, V.; Jiménez-Cantizano, A. Effect of Grape Over-Ripening and Its Skin Presence on White Wine Alcoholic Fermentation in a Warm Climate Zone. Foods 2021, 10, 1583. [Google Scholar] [CrossRef]
- Sancho-Galán, P.; Amores-Arrocha, A.; Palacios, V.; Jiménez-Cantizano, A. Identification and Characterization of White Grape Varieties Autochthonous of a Warm Climate Region (Andalusia, Spain). Agronomy 2020, 10, 205. [Google Scholar] [CrossRef]
- Anderson, K.; Nelgen, S. Which Wine Grape Varieties Are Grown and Where? University of Adelaide: Adelaide, Australia, 2020. [Google Scholar]
- Marín, M.F.; Hierro, M.J.; Villar, E.C.; García, B.P. Estudio del comportamiento enológico de cuatro clones de la variedad Pedro Ximénez. In XLII Jornadas de Viticultura y Enología de la Tierra de Barros; Centro Cultural Santa Ana: Villaconejos, Spain, 2020; pp. 109–124. [Google Scholar]
- Romero, P.; Navarro, J.M.; Ordaz, P.B. Towards a sustainable viticulture: The combination of deficit irrigation strategies and agroecological practices in Mediterranean vineyards. A review and update. Agric. Water Manag. 2022, 259, 107216. [Google Scholar] [CrossRef]
- Ferreira, M.I.; Silvestre, J.; Conceição, N.; Malheiro, A.C. Crop and stress coefficients in rainfed and deficit irriga-tion vineyards using sap flow techniques. Irrig. Sci. 2012, 30, 433–447. [Google Scholar] [CrossRef]
- Darouich, H.; Ramos, T.B.; Pereira, L.S.; Rabino, D.; Bagagiolo, G.; Capello, G.; Simionesei, L.; Cavallo, E.; Bid-doccu, M. Water Use and Soil Water Balance of Mediterranean Vineyards under Rainfed and Drip Irrigation Management: Evapotranspiration Partition and Soil Management Modelling for Resource Conservation. Water 2022, 14, 554. [Google Scholar] [CrossRef]
- Ma, X.; Jacoby, P.W.; Sanguinet, K.A. Improving net photosynthetic rate and rooting depth of grapevines through a novel irrigation strategy in a semi-arid climate. Front. Plant Sci. 2020, 11, 575303. [Google Scholar] [CrossRef]
- Arias, L.A.; Berli, F.; Fontana, A.; Bottini, R.; Piccoli, P. Climate change effects on grapevine physiology and biochemistry: Benefits and challenges of high altitude as an adaptation strategy. Front. Plant Sci. 2022, 13, 835425. [Google Scholar] [CrossRef]
- Naulleau, A.; Gary, C.; Prévot, L.; Hossard, L. Evaluating strategies for adaptation to climate change in grapevine production–A systematic review. Front. Plant Sci. 2021, 11, 607859. [Google Scholar]
- Doymaz, I. Drying kinetics of black grapes treated with different solutions. J. Food Eng. 2006, 76, 212–217. [Google Scholar] [CrossRef]
- Mahmutoğlu, T.; Emir, F.; Saygi, Y.B. Sun/solar drying of differently treated grapes and storage stability of dried grapes. J. Food Eng. 1996, 29, 289–300. [Google Scholar] [CrossRef]
- Ruiz, M.J.; Zea, L.; Moyano, L.; Medina, M. Aroma active compounds during the drying of grapes cv. Pedro Xi-menez destined to the production of sweet Sherry wine. Eur. Food Res. 2010, 230, 429–435. [Google Scholar] [CrossRef]
- Gutiérrez-Gamboa, G.; Verdugo-Vásquez, N.; Díaz-Gálvez, I. Influence of Type of Management and Climatic Conditions on Productive Behavior, Oenological Potential, and Soil Characteristics of a ‘Cabernet Sauvignon’ Vineyard. Agronomy 2019, 9, 64. [Google Scholar] [CrossRef]
- Serratosa, M.P.; Lopez-Toledano, A.; Medina, M.; Merida, J. Drying of Pedro Ximenez grapes in chamber at con-trolled temperature and with dipping pretreatments. Changes in the color fraction. J. Agric. Food Chem. 2008, 56, 10739–10746. [Google Scholar] [CrossRef]
- Ruiz-Bejarano, M.J.; Castro-Mejías, R.; del Carmen Rodríguez-Dodero, M.; García-Barroso, C. Volatile composition of Pedro Ximénez and Muscat sweet Sherry wines from sun and chamber dried grapes: A feasible alternative to the traditional sun-drying. J. Food Sci. Technol. 2016, 53, 2519–2531. [Google Scholar] [CrossRef]
- Jimenez-Povedano, M.V.; Cantos-Villar, E.; Jimenez-Hierro, M.J.; Casas, J.A.; Trillo, L.M.; Guimera, S.; Puertas, B. Influencia del tipo de suelo en la características de los mostos, vinos y destilados del cv. L Palomino fino. In E3S Web of Conferences; EDP Sciences: Les Ulis, France, 2018; Volume 50, p. 02002. [Google Scholar]
- Köppen, W. Versuch Einer Klassifikation Der Klimate, Vorzugsweise Nach Ihren Beziehungen Zur Pflanzenwelt. Geogr. Z 1900, 6, 593–611. [Google Scholar]
- Osmond, C.B.; Björkman, O.; Anderson, D.J. Physiological Processes in Plant Ecology; Springer: Berlin, Germany, 1980. [Google Scholar]
- Allen, R.G.; Pereira, L.S.; Raes, D.; Smith, M. Crop Evapotranspiration—Guidelines for Computing Crop Water Requirements-Irrigation and Drainage Paper 56; Food and Agriculture Organization (FAO): Rome, Italy, 1998. [Google Scholar]
- OIV. Office International de La Vigne, & Du Vins. In Recueil Des Méthodes Internationales D’analyse des Vins et des Moûts; Édition Officiel-le: Paris, France, 2021. [Google Scholar]
- International Organization of Vine and Wine (OIV). Compendium of International Methods of Wine and Must Analysis; OIV: Dijon, France, 2008; pp. 1–2. [Google Scholar]
- Santesteban, L.G.; Miranda, C.; Royo, J.B. Vegetative Growth, Reproductive Development and Vineyard Balance. In Methodologies and Results in Grapevine Research, 1st ed.; Delrot, S., Medrano, H., Or, E., Bavaresco, L., Gran-do, S., Eds.; Springer: New York, NY, USA, 2010; pp. 45–56. [Google Scholar]
- Salazar-Parra, C.; Aguirreolea, J.; Sánchez-Díaz, M.; Irigoyen, J.J.; Morales, F. Photosynthetic response of Tempranillo grapevine to climate change scenarios. Ann. Appl. Biol. 2012, 161, 277–292. [Google Scholar] [CrossRef]
- Hendrickson, L.; Ball, M.C.; Wood, J.T.; Chow, W.S.; Furbank, R.T. Low temperature effects on photosynthesis and growth of grapevine. Plant Cell Environ. 2004, 27, 795–809. [Google Scholar] [CrossRef]
- Lucchetta, V.; Volta, B.; Tononi, M.; Zanotelli, D.; Andreotti, C. Effects of pre-harvest techniques in the control of berry ripening in grapevine cv. Sauvignon blanc. In BIO Web of Conferences; EDP Sciences: Ulis, France, 2019; Volume 13, p. 04016. [Google Scholar]
- Gutiérrez-Gordillo, S.; García Tejero, I.F.; Durán Zuazo, V.H.; Díaz-Espejo, A.; Hernández-Santana, V. The effect of nut limitation on triose phosphate utilization and downregulation of photosynthesis in almond. Tree Physiol. 2023, 43, 288–300. [Google Scholar] [CrossRef] [PubMed]
- Ozelkan, E.; Karaman, M.; Candar, S.; Coskun, Z.; Ormeci, C. Investigation of grapevine photosynthesis using hyperspectral techniques and development of hyper-spectral band ratio indices sensitive to photosynthesis. J. Environ. Biol. 2005, 36, 91. [Google Scholar]
- Rodrigues, M.L.; Chaves, M.M.; Wendler, R.; David, M.M.; Quick, W.P.; Leegood, R.C.; Stitt, M.; Pereira, J.S. Osmotic adjustment in water stressed grapevine leaves in relation to carbon assimilation. Aust. J. Plant Physiol. 1993, 20, 309–321. [Google Scholar] [CrossRef]
- Naor, A.; Wample, R.L. Gas exchange and water relations of field-grown Concord (Vitis labruscana Bailey) grape-vines. Am. J. Enol. Viticult. 1994, 45, 333–337. [Google Scholar] [CrossRef]
- Escalona, J.M.; Flexas, J.; Medrano, H. Stomatal and non-stomatal limitations of photosynthesis under water stress in field-grown grapevines. Aust. J. Plant Physiol. 1999, 26, 421–433. [Google Scholar] [CrossRef]
- Choné, X.; van Leeuwen, C.; Dubordieu, D.; Gaudillère, J.P. Stem water potential is a sensitive indicator of grape-vine water status. Ann. Bot. 2001, 87, 477–483. [Google Scholar] [CrossRef]
- Loveys, B.R.; Kriedemann, P.E. Internal control of stomatal physiology and photosynthesis. I. Stomatal regulation and associated changes in endogenous levels of abscisic and phaseic acids. Aust. J. Plant Physiol. 1974, 1, 407–415. [Google Scholar] [CrossRef]
- Loveys, B.R.; Düring, H. Diurnal changes in water relations and abscisic acid in field-grown Vitis vinifera cultivars. II. Abscisic acid changes under semiarid conditions. New Phytol. 1984, 97, 37–47. [Google Scholar] [CrossRef]
- Correia, M.J.; Pereira, J.S.; Chaves, M.M.; Rodrigues, M.L.; Pacheco, C.A. ABA xylem concentrations determine maximum daily leaf conductance of field-grown Vitis vinifera L. plants. Plant Cell Environ. 1995, 18, 511–521. [Google Scholar] [CrossRef]
- Dry, P.R.; Loveys, B.R.; Düring, H. Partial drying of the rootzone of grape. I. Transient changes in shoot growth and gas exchange. Vitis 2000, 39, 3–7. [Google Scholar]
- Stoll, M.; Loveys, B.; Dry, P. Hormonal changes induced by partial rootzone drying of irrigated grapevine. J. Exp. Bot. 2000, 51, 1627–1634. [Google Scholar] [CrossRef] [PubMed]
- Düring, H. Stomatal responses to alterations of soil and air humidity in grapevines. Vitis 1987, 26, 9–18. [Google Scholar]
- Flexas, J.; Bota, J.; Escalona, J.M.; Sampol, B.; Medrano, H. Effects of drought on photosynthesis in grapevines un-der field conditions: An evaluation of stomatal and mesophyll limitations. Funct. Plant Biol. 2002, 29, 461–471. [Google Scholar] [CrossRef]
- Cifre, J.; Bota, J.; Escalona, J.M.; Medrano, H.; Flexas, J. Physiological tools for irrigation scheduling in grapevine (Vitis vinifera L.): An open gate to improve water-use efficiency? Agric. Ecosyst. Environ. 2005, 106, 159–170. [Google Scholar] [CrossRef]
- Jackson, R.S. Chemical constituents of grapes and wine. Wine Sci. 2008, 1, 270–331. [Google Scholar]
- Cotea, V.; Pomohaci, N.I.; Gheorhita, M. Oenologie; Didáctica e Pedagógica: Bucuresti, Romania, 1982. [Google Scholar]
- Maujean, A.; Brun, O.; Veselle, G.; Bureau, G.; Boucher, J.M.; Cousin, M.; Feuillat, M. Étude de la maturation de cépages champenois. Modeles de prévisión de la data ded vendage. Vitis 1983, 22, 137–150. [Google Scholar]
- Iland, P.G.; Coombe, B.G. Malate, tartare, potassium and sodium in fish and skin of Shiraz grapes during ripen-ing concentration and compartmentation. Am. J. Enol. Vitic. 1988, 39, 71–76. [Google Scholar] [CrossRef]
- Rodríguez, M.S.A.; San José, M.L.G. Influencia climática en la maduración de la uva: Estudio de cultivares de La Rioja y Madrid. Zubía 1995, 7, 79–102. [Google Scholar]
- Catalina, L. Estudio de la maduración del fruto de la vid. In Proceedings of the II Jornadas Universitarias Sobre el Jerez (Universidad de Cádiz), Cádiz, Spain, 24–28 May 1982. [Google Scholar]
- Gerber, C. Research sur la maduration des fruits charnus. Ann. Sci. Nat. Bot. 1897, 8, 1–16. [Google Scholar]
- Deluc, L.G.; Quilici, D.R.; Decendit, A.; Grimplet, J.; Wheatley, M.D.; Schlauch, K.A.; Mérillon, J.-M.; Cushman, J.C.; Cramer, G.R. Water deficit alters differentially metabolic pathways affecting important flavour and quality traits in grape berries of Cabernet Sauvignon and Chardonnay. BMC Genom. 2009, 10, 212. [Google Scholar] [CrossRef] [PubMed]
- García-Romero, J.P. Impacto y adaptación al cambio climático en España. In El Sector Vitivinícola Frente al Desafío del Cambio Climático, 1st ed.; Compés, R., Sotés, V., Eds.; Monografías Cajamar: Murcia, Spain, 2018; pp. 265–268. [Google Scholar]
- Castellarin, S.D.; Matthews, M.A.; Di Gaspero, G.; Gambetta, G.A. Water deficits accelerate ripening and induce changes in gene expression regulating flavonoid biosynthesis in grape berries. Plant 2007, 227, 101–112. [Google Scholar] [CrossRef] [PubMed]
- Boulton, R.B.; Singleton, V.; Bisson, L.; Kunkee, R. Principles and Practices of Winemaking; Chapman & Hall: New York, NY, USA, 1996. [Google Scholar]
- Barre, P.; Blondin, P.; Dequin, S.; Feuillat, M.; Sablayrolles, J.-M.; Salmon, J.-M. La Levure de Fermentation Al-Coolique; Oenologie Technique et Documentation; Lavoisier: Paris, France, 1998; pp. 414–495. [Google Scholar]
- Bell, S.-J.; Henschke, P. Implications of nitrogen nutrition for grapes, fermentation and wine. Aust. J. Grape Wine Res. 2005, 11, 242–295. [Google Scholar] [CrossRef]
- Ribéreau-Gayon, P.; Dubourdieu, D.; Donéche, B.; Lonvaud, A. Tratado de Enología. Microbiología del vino. Vinificaciones. In Ediciones Mundi-Prensa, 1st ed.; Hemisfério Sur: Buenos Aires, Argentina, 2003. [Google Scholar]
- De Ponti, T.; Rijk, B.; van Ittersum, M.K. The crop yield gap between organic and conventional agriculture. Agric. Syst. 2012, 108, 1–9. [Google Scholar] [CrossRef]
- Merot, A.; Smits, N. Does conversion to organic farming impact vineyards yield? A diachronic study in south-eastern France. Agronomy 2020, 10, 1626. [Google Scholar] [CrossRef]





| DOY | ˚Bé | pH | d-Gluconic Acid (g/L) | l-Tartaric Acid (g/L) | Citric Acid (g/L) | l-Malic Acid (g/L) | α-NH2 (g/L) | NH4 (g/L) | YAN (mg/L) |
|---|---|---|---|---|---|---|---|---|---|
| Conventional Management | |||||||||
| 216 | 10.95 ± 0.00 a | 3.65 ± 0.01 a | 0.01 ± 0.00 a | 6.89 ± 0.05 a | 0.08 ± 0.01 a | 0.68 ± 0.00 a | 88.00 ± 0.71 a | 160.00 ± 1.41 a | 248.00 ± 0.71 a |
| 220 | 11.10 ± 0.00 a | 3.65 ± 0.01 a | 0.01 ± 0.00 a | 8.23 ± 0.27 a | 0.09 ± 0.01 a | 0.68 ± 0.02 a | 90.00 ± 4.24 a | 172.00 ± 4.95 a | 262.00 ± 0.71 a |
| 222 | 11.35 ± 0.00 a | 3.65 ± 0.01 a | 0.01 ± 0.00 a | 8.00 ± 0.49 a | 0.05 ± 0.00 a | 0.59 ± 0.01 a | 81.00 ± 2.12 a | 156.00 ± 1.41 a | 237.00 ± 0.71 a |
| 224 | 11.00 ± 0.00 a | 3.55 ± 0.01 a | 0.00 ± 0.00 a | 7.98 ± 0.01 a | 0.07 ± 0.01 a | 0.57 ± 0.01 a | 83.00 ± 4.95 a | 138.00 ± 2.12 a | 220.00 ± 7.07 a |
| 228 | 12.05 ± 0.00 a | 3.72 ± 0.01 a | 0.01 ± 0.00 a | 7.78 ± 0.09 a | 0.07 ± 0.00 a | 0.76 ± 0.01 a | 57.00 ± 2.00 a | 154.00 ± 3.54 a | 210.00 ± 5.66 a |
| 231 | 12.50 ± 0.00 a | 3.71 ± 0.01 a | 0.00 ± 0.00 a | 8.93 ± 0.10 a | 0.06 ± 0.00 a | 0.6 ± 0.01 a | 61.00 ± 1.00 a | 160.00 ± 2.00 a | 221.00 ± 4.00 a |
| 234 | 13.00 ± 0.00 a | 3.82 ± 0.01 a | 0.00 ± 0.00 a | 7.5 ± 0.24 a | 0.09 ± 0.00 a | 0.77 ± 0.01 a | 84.00 ± 2.00 a | 206.00 ± 1.00 a | 288.00 ± 1.00 a |
| 236 | 12.70 ± 0.00 a | 4.01 ± 0.02 a | 0.02 ± 0.00 a | 5.83 ± 0.14 a | 0.12 ± 0.00 a | 0.87 ± 0.00 a | 54.00 ± 1.00 a | 185.00 ± 1.00 a | 239.00 ± 1.00 a |
| Organic Management | |||||||||
| 216 | 10.70 ± 0.00 a | 3.54 ± 0.01 b | 0.01 ± 0.00 a | 7.20 ± 0.06 a | 0.08 ± 0.00 a | 0.51 ± 0.01 b | 92.00 ± 0.71 a | 139.00 ± 2.12 b | 230.00 ± 1.41 b |
| 220 | 10.70 ± 0.00 a | 3.54 ± 0.01 b | 0.01 ± 0.00 a | 7.81 ± 0.16 a | 0.08 ± 0.00 a | 0.49 ± 0.01 b | 88.00 ± 0.71 a | 151.00 ± 1.41 b | 239.00 ± 2.12 b |
| 222 | 10.90 ± 0.00 a | 3.57 ± 0.01 b | 0.01 ± 0.00 a | 7.34 ± 0.10 a | 0.07 ± 0.00 a | 0.43 ± 0.01 b | 84.00 ± 2.83 a | 148.00 ± 0.71 a | 232.00 ± 3.54 a |
| 224 | 11.00 ± 0.00 a | 3.53 ± 0.02 a | 0.00 ± 0.00 a | 7.08 ± 0.02 b | 0.08 ± 0.01 a | 0.42 ± 0.01 b | 79.00 ± 2.12 a | 142.00 ± 3.54 a | 220.00 ± 5.66 a |
| 228 | 11.75 ± 0.00 a | 3.60 ± 0.01 b | 0.01 ± 0.00 a | 7.68 ± 0.00 a | 0.05 ± 0.00 a | 0.42 ± 0.00 b | 63.00 ± 2.00 b | 139.00 ± 0.71 b | 197.00 ± 8.49 a |
| 231 | 11.95 ± 0.00 a | 3.55 ± 0.01 b | 0.00 ± 0.00 a | 7.65 ± 0.14 b | 0.05 ± 0.00 a | 0.37 ± 0.01 b | 61.00 ± 1.00 a | 130.00 ± 1.00 b | 191.00 ± 1.00 b |
| 234 | 12.7 ± 0.00 a | 3.56 ± 0.01 b | 0.00 ± 0.00 a | 8.35 ± 0.16 b | 0.07 ± 0.00 a | 0.37 ± 0.01 b | 86.00 ± 3.00 a | 149.00 ± 3.00 b | 235.00 ± 6.00 b |
| 236 | 12.85 ± 0.00 a | 3.86 ± 0.01 b | 0.01 ± 0.00 a | 5.84 ± 0.02 a | 0.11 ± 0.00 a | 0.53 ± 0.01 b | 61.00 ± 0.00 b | 181.00 ± 1.00 a | 242.00 ± 1.00 a |
| Management | Bunch Weight (kg/vine) | Pruning Weight (kg/vine) |
|---|---|---|
| Conventional | 2.72 ± 1.17 a | 0.99 ± 0.30 a |
| Organic | 2.32 ± 0.80 a | 0.82 ± 0.16 a |
Disclaimer/Publisher’s Note: The statements, opinions and data contained in all publications are solely those of the individual author(s) and contributor(s) and not of MDPI and/or the editor(s). MDPI and/or the editor(s) disclaim responsibility for any injury to people or property resulting from any ideas, methods, instructions or products referred to in the content. |
© 2023 by the authors. Licensee MDPI, Basel, Switzerland. This article is an open access article distributed under the terms and conditions of the Creative Commons Attribution (CC BY) license (https://creativecommons.org/licenses/by/4.0/).
Share and Cite
Gutiérrez-Gordillo, S.; Pérez-González, J.M.; Sancho-Galán, P.; Amores-Arrocha, A.; Palacios, V.; Jiménez-Cantizano, A. Physiological, Enological and Agronomic Characterization of Pedro Ximénez Grapevine Cultivar under Organic Farming in a Warm Climate Zone. Agronomy 2023, 13, 1732. https://doi.org/10.3390/agronomy13071732
Gutiérrez-Gordillo S, Pérez-González JM, Sancho-Galán P, Amores-Arrocha A, Palacios V, Jiménez-Cantizano A. Physiological, Enological and Agronomic Characterization of Pedro Ximénez Grapevine Cultivar under Organic Farming in a Warm Climate Zone. Agronomy. 2023; 13(7):1732. https://doi.org/10.3390/agronomy13071732
Chicago/Turabian StyleGutiérrez-Gordillo, Saray, Juan Manuel Pérez-González, Pau Sancho-Galán, Antonio Amores-Arrocha, Víctor Palacios, and Ana Jiménez-Cantizano. 2023. "Physiological, Enological and Agronomic Characterization of Pedro Ximénez Grapevine Cultivar under Organic Farming in a Warm Climate Zone" Agronomy 13, no. 7: 1732. https://doi.org/10.3390/agronomy13071732
APA StyleGutiérrez-Gordillo, S., Pérez-González, J. M., Sancho-Galán, P., Amores-Arrocha, A., Palacios, V., & Jiménez-Cantizano, A. (2023). Physiological, Enological and Agronomic Characterization of Pedro Ximénez Grapevine Cultivar under Organic Farming in a Warm Climate Zone. Agronomy, 13(7), 1732. https://doi.org/10.3390/agronomy13071732

