Next Article in Journal
Chemical Fertilization Alters Soil Carbon in Paddy Soil through the Interaction of Labile Organic Carbon and Phosphorus Fractions
Next Article in Special Issue
The Effect of Supplemental Irrigation on a Dry-Farmed Vitis vinifera L. cv. Zinfandel Vineyard as a Function of Vine Age
Previous Article in Journal
Nontarget Site-Based Resistance to Fenoxaprop-P-ethyl and Candidate Genes Involved in Alopecurus japonicus
Previous Article in Special Issue
Assessing Grapevine Water Status by Integrating Vine Transpiration, Leaf Gas Exchanges, Chlorophyll Fluorescence and Sap Flow Measurements
 
 
Font Type:
Arial Georgia Verdana
Font Size:
Aa Aa Aa
Line Spacing:
Column Width:
Background:
Article

Effect of Rootstock on Vineyard Establishment Using Green-Growing Benchgrafts

by
Jose R. Munoz, Jr.
1,
Samantha J. Stauch
1,
Jennifer Wootten
1,
Matthew Kitchen
1,
Matteo Abreu
1,
Christian Jose Rodriguez
1,
L. Federico Casassa
1,
James A. Wolpert
2,† and
Jean Catherine Dodson Peterson
3,*
1
Wine and Viticulture Department, California Polytechnic State University, San Luis Obispo, CA 93407, USA
2
Viticulture and Enology Department, University of California, Davis, CA 95616, USA
3
Viticulture and Enology Department, Washington State University, Wine Science Center, Richland, WA 99354, USA
*
Author to whom correspondence should be addressed.
Deceased.
Agronomy 2023, 13(6), 1586; https://doi.org/10.3390/agronomy13061586
Submission received: 27 April 2023 / Revised: 4 June 2023 / Accepted: 5 June 2023 / Published: 12 June 2023
(This article belongs to the Special Issue Progress in Viticulture)

Abstract

Demand for vine plant material has increased drastically due to the ongoing expansion of viticulture, and recent widespread replanting efforts. Nurseries and growers are turning to green-grafted vines to meet demand. Unfortunately, most vineyard establishment studies have centered around dormant benchgrafted vines. Thus, little is known regarding the specific establishment trends of green-growing benchgrafts. This study aimed to explore the role rootstock selection has in green-growing benchgraft establishment and development over the first four years post-planting. Vitis vinifera L. cv. Sauvignon blanc was grafted onto multiple rootstocks of varying parentage, including ‘101-14MGT’ (V. riparia × V. rupestris), ‘1103P’ (V. berlandieri × V. rupestris), ‘110R’ (V. berlandieri × V. rupestris), ‘420A MGT’ (V. berlandieri × V. riparia), and ‘Teleki 5C’ (V. berlandieri × V. riparia). The experimental site was organized using a completely randomized design (n = 12) with all vines managed to industry-standard cultural practices. Vines grafted onto 1103P had the largest average trunk diameter (p = 0.0012) and circumference (p < 0.0001) at 22.2 mm and 7.57 cm, respectively. Vines grafted onto 110R had the second-largest trunk circumference at 6.65 cm. Vines grafted onto 110R had the largest concentration of total non-structural carbohydrates at planting at 1.47 g/L, followed by 1103P at 1.25 g/L (p < 0.0001). Total non-structural carbohydrate concentrations in the trunk during dormancy was the highest in 110R at 16.0% total dry weight (p = 0.0008). The larger trunk size and more extensive carbohydrate reserves suggest that green-growing benchgrafts using 110R or 1103P have a higher capacity and likelihood of establishment success.

1. Introduction

Many winegrape cultivars (Vitis vinifera L.) are susceptible to damage and eventual decline by the root aphid, phylloxera (Daktulospaira vitifoliae Fitch), and various species of nematodes [1,2,3,4]. Therefore, commercial winegrapes are typically grafted to hybrid crosses of North American Vitis species, which have evolved tolerance to these soil pest pressures. Consequently, parentage is carefully considered when making a commercial rootstock selection for this reason. Despite the primary purpose of rootstocks being used to address soil pest pressures, attention has more recently focused on improving vineyard production with respect to vegetative growth, fruit composition, the timing of phenological events, and wine quality [5]. Anecdotally, rootstock selection is also considered influential in initial establishment success. Another confounding factor of vineyard development is the impact of the specific type of stock selected for planting. Common options include dormant benchgrafts, green-growing benchgrafts, and big-potted vines. Dormant bare-rooted benchgrafts are grafted, callused, and then field-grown in a nursery block row for a season before being dug up in the late fall or winter before being held in cold storage until delivery to the planting site [6,7]. Green-growing benchgrafts are first grafted, callused, potted, or put into sleeves, transferred to the greenhouse, and eventually moved to a shade house where they acclimate to outdoor conditions for planting in the same year in which they were grafted. Traditionally, dormant bare-rooted benchgrafts have been preferred by growers because they are thought to have a higher establishment success rate (capacity). While vine vigor is a measure of growth over time, vine capacity reflects the total yearly biomass (vegetation and fruit) produced. Generally, grapevine capacity is reported as a function of pruning weight [8]. Dormant benchgrafts have been found to result in higher pruning weights than green-growing benchgrafts. Thus, it is reasonable to assume that dormant benchgrafts have higher carbohydrate reserves than green-grown grafts [9]. The advantage of having higher-capacity benchgrafts is that it can reduce establishment time with respect to cordon development [9]. Unfortunately, with increased interest in winegrape production and acreages planted for winegrape production, especially on California’s Central Coast, nurseries struggle to consistently meet the demand for dormant benchgrafts.
Consequently, interest in green-growing grafted vines has been on the rise. Although many viticulture planting guides and texts have stated the importance of post-planting care of green benchgrafts [7,10], there are very few published data on the establishment success and early years post-planting performance of green-growing benchgrafts as a function of rootstocks, despite the widely accepted belief that rootstock parentage is critical in vineyard development. Although the role of rootstock selection in green-growing benchgrafts has not been explored specifically, prior studies have shown a relationship between vine vigor and capacity as a function of root and trunk carbohydrate reserves [11,12]. Thus, exploring carbohydrate reserves as a function of rootstock for green-growing benchgrafts would be very useful for both nursery producers and especially growers who may now be required to purchase green-growing benchgrafts for planting stock rather than the more rigorously studied dormant benchgrafts. This study evaluated the establishment performance of five commercial rootstocks during the initial three years post-planting as green-grown benchgrafts.

2. Materials and Methods

2.1. Vineyard Site, Experimental Design, and Grafting

The study was conducted from 2018 through 2021 in a research vineyard (Trestle Vineyard) in San Luis Obispo County, CA, USA (35°19′02.3″ N 120°41′03.0″ W). The experimental site was designed to be completely randomized, and all vines were managed to industry-standard cultural practices typical of new vineyard plantings. The dominant soil series at the site was Los Osos loam [13]. This series is classified as a moderately deep, well-drained soil formed in material weathered from sandstone and shale. Slopes at this site were approximately 15%. The vineyard was drip irrigated with two 2.01-L/h pressure compensating emitters per vine, spaced approximately 0.6 m on either side of the trunk. Irrigation was standard for the establishment of new vines in the first two years post-planting. Beginning at véraison in the third season post-planting, vines were irrigated to maintain target leaf water potential between −0.8 and −1.2 MPa at mid-day. Beginning at véraison in the fourth season post-planting, vines were irrigated to maintain target leaf water potential between −1.1 and −1.3 MPa at mid-day.
Certified plant material was obtained and subsequently professionally grafted onto Vitis vinifera L. cv Sauvignon blanc. Rootstocks examined included 101-14MGT (V. riparia × V. rupestris), 1103P (V. berlandieri × V. rupestris), 110R (V. berlandieri × V. rupestris), 420A MGT (V. berlandieri × V. riparia), and Teleki 5C (V. berlandieri × V. riparia). Green-growing benchgrafts were propagated as described above and planted in the field the same day as delivery from the nursery. Vine spacing was 1.2 m × 2.4 m with rows oriented north–south. Vines were allowed to grow freely during the initial year of field establishment. In the first dormant field season, vines were pruned to a single two-bud spur. During the second season of growth, a trunk was developed, and cordons were established. In the second dormant season, arms positions were established. In the third growing season post-planting, vines were fully established.

2.2. Climate Data

Weather data were obtained from the California Irrigation Information Management System (CIMIS) station 52 (35°18′20″ N 120°39′42″ W), located 2.42 km from the experimental site. Precipitation and daily air temperatures were subsequently determined during the 2016, 2017, and 2018 growing seasons. Cumulative growing degree days (GDD) for seasonal (1 April to 31 October) and annual (1 January to 31 December) were calculated using a baseline temperature of 10 °C (Table 1).

2.3. Phenology and Senescence Tracking

During the fourth year (2021), after vines were fully established, phenological tracking took place on marked data vines in the block every two weeks, beginning at budbreak, to identify key phenological events (n = 12). Phenology in the third year (2020) was unable to be collected due to personnel restrictions at the site. The Modified Eichhorn–Lorenz (E-L) system was used to determine the numerical ranking of each vine [14]. Towards the end of each active growing season, the Dodson Walker Senescence Scale was used to track leaf abscission on designated data-collection vines every two weeks [15].

2.4. Canopy Architecture, Leaf Area, Photosynthetically Active Radiation and Stomatal Characterization

Shoot internode length and diameter measurements were collected using Neiko 0–200 mm digital calipers (Zhejiang Kangle Group, Wenzhou, China) at véraison. In the 2018 and 2019 growing seasons, measurements were taken from a randomly selected shoot at the fourth internode up from the base of the shoot. In the fourth growing season (2021), four randomly selected fruiting shoots were examined, two from each cordon, at the fourth internode above the shoot origin on each of three vine replicates per treatment (n = 12). Diameters were measured at the thinnest part of the internode collecting using Neiko 0–200 mm digital calipers (Zhejiang Kangle Group, Wenzhou, China) at véraison. Internode length and diameter were not collected in 2020 due to personnel restrictions at the site as a result of the global pandemic. Total vine shoot length was taken at véraison in the 2018 and 2019 growing seasons using a flexible measuring tape (Dritz William Prym GmbH and Co. KG, Stolberg, Germany) for each shoot on the vine. Leaf area index and photosynthetically active radiation in the fruiting zone (light penetration) were also collected at full canopy using an AccuPAR LP-80 PAR/LAI ceptometer (METER Group, Inc. USA, Pullman, WA, USA) in year four (2021) when the vines were determined to be fully established. The ceptometer was inserted into the vine in the area between the third and fifth internode up from the base of where the shoots originated. The instrument was allowed to stabilize for 5 s before three measurements were recorded, each with a five-second delay interval. Data was collected between 1200 and 1400 h on full sun days where photosynthetically active radiation (PAR) exceeded 1800 umol m−2s−1.
Stomatal characterization was accomplished using fully expanded, sun-exposed leaves. Leaves from each rootstock were sampled on the same day at approximately solar noon (11 am–1 pm). Transparent nail-polish (Sally Hansen, New York, NY, USA) was brushed on the underside of each leaf in the third lowest interveinal region of the right lobe. The nail-polish was allowed to dry and then was carefully peeled off using one-sided adhesive tape (3M Scotch, St. Paul, MN, USA). The tape was immediately attached directly to a microscope slide (AmScope, Irvine, CA, USA) for preservation until examination. The number of stomata were counted within a given visual field. The diameter of the field of view was measured to be 0.45 mm using a stage micrometer at 400× total magnification. Photographs were taken for each sample. Stomatal area and counts were measured and observed using CellProfiler 3 open-source software (Broad Institute of MIT and Harvard, Cambridge, MA, USA) and ImageJ 1.52t (National Institutes of Health, Bethesda, MD, USA). As vines were in the early stages of growth and lacked clusters, the timing of sampling was aligned to coincide at the midpoint between what has been historically identified as berry set and véraison at this site.

2.5. Berry Maturity and Yield

In 2021, berry maturity was tracked over three collection dates beginning at 38 days post-véraison and repeated twice until the final collection day of 50 days post-véraison. Fifty random berries across eight vines were collected and placed into a plastic bag for each rootstock. There were three replications (bags) per rootstock (n = 3). Collected berries were crushed, and the juice was evaluated for total soluble solids, pH, and titratable acidity using a refractometer (Vee Gee Scientific, Kirkland, WA, USA), an Orion Star A211 benchtop pH meter (Thermo Fisher Scientific, Waltham, MA, USA), and an Automatic Potentiometric Titration System model H1901C (Hanna Instruments, Woonsocket, RI, USA), respectively. At harvest, grape clusters from three consecutive vines for each replication were harvested, counted, and weighed. Each rootstock had twelve replications (n = 12).

2.6. Pruning Weights and Trunk Measurements

Pruning weights were collected during winter pruning during the dormant season. All material removed during pruning was tied together and weighed using a hanging scale (Dr. Meter, Newark, CA, USA). Three consecutive vines for each replication and twelve replications for each rootstock were measured (n = 12). In the first year of full establishment (2021), trunk diameter and circumference were assessed at 100 mm from the soil level around the circumference of the main supporting trunk at full dormancy (n = 12), as previously described [16].

2.7. Leaf Water Potential

In 2020 (year three) and 2021 (year four), leaf water potentials were collected diurnally at véraison, specifically, at pre-dawn (400–500 h), mid-morning (800–900 h), mid-day (1200–1300 h), mid-afternoon (1600–1700 h) and immediately after sundown (2000–2100 h using a leaf pressure chamber (PMS Instruments, Albany, OR, USA). Fully mature, sun-exposed leaves were cut just above the thickest portion of the petiole with a razor blade, immediately placed in a plastic bag with the petiole upwards to limit water loss, and secured in the leaf pressure chamber.

2.8. Vine Capacity and Carbohydrate Analysis

Immediately after omega grafting at the nursery, grafted vines were weighed, and sub-samples of vines (n = 4) were allocated for evaluation of initial non-structural carbohydrate reserves via destructive analysis. To obtain total non-structural carbohydrate reserves these were dried for 12 h at 55 °C in a forced-air oven. Following the drying process, samples were ground with a Wiley Mill, Model 4 mill (Thomas Scientific, Swedesboro, NJ, USA) until samples passed through a 40-mesh screen. Soluble carbohydrates (free sugars fructose, glucose, and sucrose) were determined through an established procedure [17]. Total non-structural carbohydrates (TNC) and starch were quantitatively derived from the total glucose, free fructose, and free sucrose, where total glucose was enzymatically hydrolyzed at 55 °C with amyloglucosidase for 12 h and analyzed by HPLC with mass selective detection. The analysis used a Phenomenex Luna NH2 (250 mm × 4.6 mm) HPLC column at a flow rate of 2.75 mL min−1 acetonitrile: water (78:22). The aforementioned procedures were also utilized to analyze TNC and soluble carbohydrates at the time of planting in the vineyard (2018), the end of the second season (2019), the end of the third season (2020) and at the close of the fourth season (2021) when the vines were dormant. Trunk samples were used for the carbohydrate analysis during the second, third, and fourth seasons. The trunk samples were collected at dormancy by drilling to approximately mid-depth using a 12.6 mm spade drill bit.

2.9. Statistical Analysis

All parametric statistical analyses were performed with JMP 16 statistical software (SAS Institute, Cary, NC, USA). Normality was assessed using a normal quantile plot and a Shapiro–Wilk test. Data that did not meet normality assumptions were transformed using a box cox transformation. The homogeneity of variances was evaluated using a Bartlett test. Data were analyzed using a one-way and two-way ANOVA. Statistically significant variables were subjected to a multiple comparison test and were evaluated using a Fisher’s LSD test.

3. Results

3.1. Climate Data

While the 2019 and 2021 growing seasons are classified within the same Winkler region (II), the 2018 and 2020 seasons were notably warmer, with region classification shifting to IV and III, respectively (Table 1). The variation between the coolest growing season, 2021, and the warmest, 2018, was 644.4 growing degree days. Additionally, the two cooler growing seasons also had higher annual precipitation compared to the two warmer seasons. Furthermore, the warmest season, 2018, also had the least seasonal precipitation, with only 29.4 mm of rainfall recorded. The average air temperature was higher in April, June, July, August, and September in 2018 compared to the other three seasons (Table 2). The maximum air temperature was also higher for those identical months and the month of May in 2018 compared to the other years.

3.2. Phenology and Senescence

Once vines had reached four years post-planting in 2021, all treatments were evaluated every two weeks during the growing season based on the Modified Eichhorn–Lorenz (E-L) system. Variation in phenology was found as a function of rootstock for two weeks pre-bloom (p = 0.0373), bloom (p < 0.001), bloom + 2 weeks (p < 0.0051), bloom + 6 weeks (p = 0.029), bloom + 8 weeks (véraison) (p < 0.001), and then every two weeks until the end of the growing season starting from bloom + 18 weeks (Figure 1; Table S1). Generally, 101-14MGT demonstrated an earlier progression through the numerical scale compared to the other rootstocks. Teleki 5C was close behind and was not significantly different from 101-14MGT during the majority of the growing season. The rootstock 110R was significantly behind on the numerical scale during the first three collection dates (two weeks pre-bloom to two weeks post-bloom) but was not significantly different from either 1103P or 420A. However, after reaching berry maturity and at the beginning of senescence, the trend in progression through phenology slightly changed. The rootstock 101-14MGT still continued with earlier progression, but the rootstock that was now lagging significantly behind was 420A. However, 420A was not significantly different from 110R or 1103P (Figure 1).
In the 2021 growing season, all treatments were evaluated every two weeks starting six weeks post-véraison, based on the Dodson Walker Senescence Scale [15] (Figure 2; Table S2). Statistical variation was found as a function of treatment for véraison + 6 weeks (p = 0.0013), véraison + 8 weeks (p = 0.0071), véraison + 10 weeks (p = 0.0173), véraison + 12 weeks (p = 0.0151), véraison + 14 weeks (p = 0.0018), véraison + 16 weeks (p = 0.0010), véraison + 18 weeks (p = <0.0001), véraison + 20 weeks (p = 0.0371), véraison + 22 weeks (p = 0.0003), and at the end of the season at véraison + 24 weeks (p = 0.0004). The rootstocks 101-14MGT and 5C tended to have earlier senescence and a higher degree of leaf abscission than the other rootstocks. As with the E-L scale, 110R and 420A tended to have the slowest progression. The 1103P rootstock demonstrated intermediate progression relative to the other rootstocks but was only statistically different than 110R at véraison +8 weeks.

3.3. Canopy Architecture, Leaf Area Index, Photosynthetically Active Radiation, and Stomatal Characterization

Canopy architecture measurements were collected over multiple growing seasons, including internode length, internode diameter, and total shoot length. A two-way analysis of variance showed that there was significant variation as a function of growing season for internode length (p < 0.0001), internode diameter (p < 0.0001), and total shoot length (p = 0.0165) (Table 3). However, only total shoot length was significant as a function of rootstock (p = 0.0017) (Table 3). Similar trends were observed for internode diameter and total shoot length as a function of year. As the years progressed, internode diameter and total shoot length measurements generally increased. Internode length measurements, however, had a different trend where they decreased in 2019 and then increased in 2021 to similar values as those in the 2018 growing season (Table 3). Sauvignon blanc grafted to 101-14MGT resulted in a significantly larger total shoot length than the other rootstocks except for 1103P (Table 3). When grafted to 420A, it resulted in the shortest shoot length but was not significantly shorter than 110R or 5C (Table 3).
No differences among rootstocks were found for photosynthetically active radiation (p = 0.9152), light penetration into the fruiting zone as a percentage of full sun (p = 0.9025) or for leaf area index (p = 0.961) (Table 4). Stomatal area and density measurements were collected for each rootstock (Table S3). Based on a one-way analysis of variance, there were no significant differences observed among rootstocks for stomatal density (p = 0.8654) or stomatal area (p = 0.6438). The average number of stomata per square millimeter ranged from 208.8 stomata/mm2 for 1103P to 252.2 stomata/mm2 for 101-14MGT. Average stomatal area ranged from 0.00032 mm2 for 110R to 0.00038 mm2 for 101-14MGT.

3.4. Yield and Berry Maturity Parameters

In 2021, yield measurements were collected at harvest, and the means for each rootstock are presented in Table 5. No statistical variation was observed among rootstocks for total yield or the number of clusters per vine (Table 5).
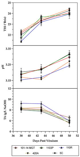
In 2021, berry maturity parameters, including total soluble solids, pH, and titratable acidity (TA), were evaluated over three different sampling dates beginning at 38 days post-véraison to 50 days post-véraison. Rootstock means of total soluble solids, pH, and TA are shown over time in Figure 3. A two-way analysis of variance demonstrated that there were significant differences as a function of time for total soluble solids (p < 0.0001), pH (p < 0.0001), and titratable acidity (p < 0.0001). As a function of rootstock, significant differences were only observed for pH (p = 0.0018) and titratable acidity (p = 0.0119). The general trend of berry maturity factors over time was similar among all rootstocks. Total soluble solids measurements increased over the three sampling dates while pH and TA remained constant through the second date, then increased for pH and decreased for TA (Figure 3). The rootstocks 5C, 1103P, and 101-14MGT resulted in significantly higher pH values and were all significantly different from 110R and 420A. For TA, 110R and 101-14MGT resulted in the highest values, but only 110R was significantly higher than the remaining rootstocks. No statistical variation in TA was observed among the remaining rootstocks.

3.5. Pruning Weights and Trunk Measurements

Pruning weights were collected during winter pruning at the end of the 2019, 2020, and 2021 growing seasons. A two-way analysis of variance showed that there was a significant year effect (p < 0.0001) and a significant interaction effect between year and rootstock (p = 0.0068) (Table 6). Pruning weights generally increased over the years, but pruning weights did not vary significantly between 2020 and 2021. Although pruning weights of the rootstocks generally increased every year, the pruning weights of 420A and 5C appeared to have decreased from 2020 to 2021 (Table 6). At the end of the fourth season (2021), 1103P had the largest pruning weight, but was only significantly larger than 420A (Table 6). Vines grafted to 1103P had significantly larger trunk diameters than vines on any of the other rootstocks (p = 0.0012) (Table 7). No statistical variation in trunk diameter was observed among the remaining rootstocks (Table 7). Sauvignon blanc on 420A, 5C or 101-14MGT had the smallest trunk circumferences (p ≤ 0.0001), but 101-14MGT was not significantly different from 110R. Vines grafted onto 1103P had the largest average trunk circumference and significantly differed from other rootstocks.

3.6. Leaf Water Potential

In the 2020 and 2021 growing seasons, there were no significant differences among treatments in véraison Ψleaf measurements at pre-dawn, mid-morning, mid-day, mid-afternoon, or sundown (Table S4). Véraison Ψleaf measurements throughout the day did vary significantly as a function of growing season. However, the general trend in Ψleaf measurements was similar in both growing seasons. The grapevines had the highest Ψleaf measurements at pre-dawn and then began to decline until mid-day, where the Ψleaf measurements were the lowest for the majority of the rootstocks. After mid-day, Ψleaf measurements then began to increase slightly throughout the remainder of the day.

3.7. Carbohydrate Reserves

During the 2018 growing season, carbohydrate samples were collected on the day of grafting and planting. Carbohydrate concentrations during the 2018 growing seasons are displayed by rootstock in Table 8. A two-way analysis of variance revealed no significant differences in carbohydrate concentrations between the day of grafting and the day of planting. There were, however, significant differences in carbohydrate concentrations among rootstocks (p < 0.0001) (Table 8). When grafted onto 110R, carbohydrate concentrations were significantly higher than any other rootstock (Table 8). When grafted onto 5C, however, carbohydrate concentrations were significantly lower than any other rootstocks, except for 420A (Table 8). The concentrations for 101-14MGT and 1103P were intermediate, but 101-14MGT was not significantly different from 420A (Table 8).
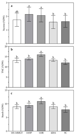
In addition to evaluating initial carbohydrate reserves during the 2018 growing season, carbohydrate reserves were evaluated using trunk samples that were collected during dormancy at the end of the 2019, 2020, and 2021 growing seasons. The results of the carbohydrate analysis are presented in Table 9 and Table 10. A two-way analysis of variance revealed a significant variation as a function of growing season for each parameter analyzed (Table 9 and Table 10). Fructose, total glucose, and starch had similar trends over time in that their levels increased yearly (Table 9 and Table 10). On the other hand, sucrose had an opposite trend in that sucrose levels decreased over time (Table 10). Glucose and total non-structural carbohydrates had slightly different trends than the other measurements. Glucose levels increased from 2019 to 2020 but remained constant until 2021 (Table 10). Total non-structural carbohydrate levels remained constant from 2019 to 2020 but increased in 2021 (Table 10). The two-way analysis of variance also revealed a significant variation among rootstocks for sucrose, total glucose, total non-structural carbohydrates (TNC), and starch (Table 10). However, there was a significant year x rootstock interaction for glucose and fructose, p = 0.0447 and p = 0.0047, respectively (Table 9). The rootstock 110R had the highest levels of total glucose, total non-structural carbohydrates, and starch at 12.9%, 16%, and 10.9%, respectively, compared to the other rootstocks (Table 10). No significant variation was observed among the remaining rootstocks for total glucose, total non-structural carbohydrates, or starch. As for sucrose, both 110R and 1103P had significantly higher averages when compared to 420A or 5C (Figure 4). However, 101-14MGT did not have significantly different sucrose levels from the other rootstocks (Figure 4). As mentioned, glucose and fructose had significant year x rootstock interactions with similar trends. Generally, as glucose and fructose levels increased over time for each rootstock, the same trend was not observed for 420A or 5C. The glucose and fructose levels for 420A and 5C appeared to decrease from 2020 to 2021 instead of increasing (Table 9).

4. Discussion

The findings of this study have demonstrated that rootstock selection influences vine growth and vine capacity using green-growing benchgrafts on Vitis vinifera cv. Sauvignon blanc. Multiple growth factors such as phenology, senescence, total shoot length, trunk size, and carbohydrate reserves all showed significant variation as a function of rootstock. Although there are not many studies on the effect of rootstock on vineyard establishment, these results support other findings that show rootstocks can influence various growth factors [9,18,19,20,21,22]. In this study, rootstock selection had an effect on phenology and senescence. A previous study by Dodson and Walker (2017) also made similar observations. However, other studies have reported no rootstock effect on phenology, possibly due to the scion having a larger influence on phenology or differences in climate and soil adaptations of different regions [23,24]. However, in the present study, Sauvignon blanc grafted onto either 101-14MGT or 5C progressed earlier through the developmental stages and was the first to senesce and go dormant when compared to 420A or 110R. This earlier phenological progression of 101-14MGT has also been observed in other studies. Loureiro et al. (2016) reported that when Albarin Negro was grafted onto 101-14MGT, grapevines had an earlier bud break and véraison dates compared to vines grafted onto 110R [25]. Another study by Lourerio et al. (2020) also reported similar results with earlier véraison dates of Verdejo Negro when grafted onto 101-14MGT [26]. Regarding senescence, Dodson and Walker (2017) presented similar results to this study, such that 101-14MGT initiated senescence and went into dormancy earlier than 110R [15]. This suggests that differences in rootstock parentage affect the rate of senescence in the scion.
Rootstock selection affected several growth parameters, such as total shoot length, pruning weights, trunk diameter, and trunk circumference. These results align with other studies that have shown the effect of rootstocks on shoot growth [18,19,20] and trunk size [9,19,21]. Shoot length at véraison (historically for this site) was the longest in Sauvignon blanc grafted onto 101-14MGT. The differences in shoot length can likely be attributed more to 101-14MGT’s earlier phenology progression than its vigor since it had the largest phenology rating throughout the year and had lower total non-structural carbohydrate reserves than 110R. Furthermore, it has been established that 101-14MGT induces medium vigor in the scion [27]. One study demonstrated that the scion had more vigorous shoot growth based on shoot length, shoot diameter, and internode length when using 110R as a rootstock [22].
No significant differences were observed for leaf area index, photosynthetically active radiation, or stomatal measurements among rootstocks. A few studies have shown that rootstock selection can affect leaf area and light penetration into the canopy, but only specific rootstock comparisons resulted in significant differences in leaf area [15,28,29,30]. Koundouras et al. (2008) and Rita de Souza et al. (2009) reported significant differences in leaf area index between 1103P and the alternate rootstock. Rita de Souza et al. (2015) reported a rootstock effect on leaf area, but the only significant variation was between 101-14MGT and IAC 766 (106-8 MGT x V. caribaea), while no variation was observed among the remaining rootstocks. In that trial, some of the rootstocks that did not have variation among each other were 101-14MGT, 110R, and 1103P, similar to the results of this trial [29]. For light intensity within the canopy, Dodson and Walker (2017) demonstrated that differences in canopy size caused by differing rootstocks resulted in a variation in light penetration into the canopy [15]. The results from that study contrast with those from this current study. However, the vines used in that study were much older (11 years old) than the vines from the present study (four years old), so the contrasting results could be due to differences in vine age. As for stomatal measurements, no variation was observed among rootstocks in this study. Although previous studies have shown differences in stomatal size and density among wine grape varieties and Vitis species [31], few studies have reported differences in stomatal measurements within wine grape varieties when grafted onto multiple rootstocks.
Rootstocks had no effect on yield but did affect berry composition. The lack of rootstock effect on yield does not align with other studies’ findings which show that yield can vary among rootstock selection [5,9,32,33,34,35,36]. However, yield variation among rootstocks was shown to vary between growing seasons, as reported by Bettiga (2015). In the study by Bettiga (2015), Chardonnay was grafted onto Freedom and Kober 5BB, and significant yield variation between rootstocks only occurred in three out of the six growing seasons of that study. Therefore, this study’s lack of rootstock effect on yield might have been due to the growing season or due to the young age of the vines, and future observations of the rootstock effect on yield may be possible. As for berry composition, there was a variation in pH and TA among rootstocks but not in total soluble solids. The influence of rootstock on berry composition is well established and has been demonstrated in several studies [5,19,33,35,37,38,39,40]. However, there are similar and contrasting results on how rootstocks influence the berry composition among studies. For example, some studies have reported differences in all three parameters (TSS, titratable acidity, and pH) [5,19,33], while others will report differences in only one or two of the three parameters [35,37,38,39]. The common trend observed across these studies is that rootstock selection consistently influences pH. For example, some studies have shown that when wine grapes are grafted onto 101-14MGT, pH levels appear to be significantly higher than some of the other rootstocks [19,33,37]. As in those studies, 101-14MGT was also significantly higher than 420A and 110R in this study. However, it is quite challenging to make direct comparisons among studies since not all studies use the same rootstocks or have the same site and climate conditions. Differences in titratable acidity among rootstocks varied by study. For the studies that did demonstrate considerable variation, the resulting trends were not directly comparable with those of the present study. Herein, 110R and 101-14MGT had the highest titratable acidity levels, and 110R was significantly different from 420A, 1103P, and 5C. Ezzahouani and Williams (1995) and Li et al. (2019) reported inverse trends compared to the present study. In those studies, 110R and 101-14MGT had some of the lowest titratable acidity levels, while 1103P [33] and 5C [35] had higher levels.
The present study showed a year-by-rootstock interaction for pruning weights. Pruning weights increased each growing season in this study, as would be expected during vineyard establishment, but no significant variation among rootstocks was observed during the first year. During the last year, there was a rootstock effect on pruning weights, with 420A having significantly lower weights than the other rootstocks. These findings are similar to other studies showing that pruning weights are affected by rootstock selection [20,32,33]. However, one study by East et al. (2021) presented similar results as this study showing no differences in pruning weights in the early years of vineyard establishment. However, after several years, differences in pruning weights among rootstocks became apparent [32]. It is important to note, however, that most studies used dormant benchgrafts, while this study used green-growing benchgrafts, so results vary somewhat from dormant benchgrafts. For trunk size, trunk diameter was the largest when grafted onto 1103P, and trunk circumference was the largest when grafted onto 1103P or 110R. This higher capacity of 1103P and 110R can help during the initial vineyard establishment [9]. This larger trunk size makes 1103P or 110R likely candidates for vineyard establishment when using green-growing benchgrafts as planting stock.
Leaf water potential measurements among rootstocks were not significantly different, but measurements did vary significantly between growing seasons. The variation in leaf water potentials between growing seasons can be mainly attributed to the difference in irrigation within each season. During the 2020 growing season, grapevines were irrigated at 100% ETC, while during the 2021 growing season, grapevines were irrigated at around 75% ETC to implement moderate water stress. The lack of variation in leaf water potentials among rootstocks during the 2021 growing season was surprising, considering that some rootstocks can maintain higher leaf water potentials during low irrigation conditions, as shown in the study by Ezzahouani and Williams (1995) [33]. In that study, there were reported differences in leaf water potentials among rootstocks when grown under dry-farmed conditions [33]. Some rootstocks that were previously classified as drought tolerant in other studies, such as 1103P, had less negative leaf water potential measurements [33]. The lack of variation among rootstocks likely could be attributed to grapevine age since it takes around seven to eight years for the root system to develop fully.
Carbohydrate reserves varied by rootstock during every growing season of this study. These results are consistent with previous studies that have reported a variation in carbohydrate reserves by rootstock selection [22,36,41]. 110R had the highest carbohydrate reserves at grafting and planting compared to the remaining rootstocks. One study reported similar results showing that when the scion variety ‘Merzifon Karasi’ was grafted onto 110R, it resulted in higher carbohydrate reserves than the other rootstocks used in that study [22]. This trend of higher carbohydrate reserves for 110R persisted throughout the subsequent growing seasons of this study as well. The consistently higher carbohydrate reserves in 110R suggest this rootstock has an increased chance of establishment success when using green-growing benchgrafts. This is because carbohydrate reserves, specifically starch, play a crucial role in new shoot growth and flower development during the first weeks after bud break [2,41,42,43,44,45]. Grapevines store several types of carbohydrates in their trunks, roots, and cordons. However, carbohydrates stored as starch aid the grapevine in developing its shoot system until the vine has a large enough canopy to photosynthesize and produce enough energy for its metabolic processes [2,44,45].

5. Conclusions

It is generally acknowledged that initial vineyard establishment success is contingent upon the type of planting stock used. Growers typically use dormant benchgrafts rather than green-growing benchgrafts because the former have a more established root system and larger carbohydrate reserves at planting. However, due to the reduced availability of dormant benchgrafts, growers are turning to green-growing benchgrafts. Additionally, rootstock selection is another factor to consider when establishing a vineyard since rootstocks tend to influence the growth of the scion. The results from this study demonstrated that rootstock selection influenced several growth factors, such as phenology, senescence, shoot length, pruning weights, trunk size, and carbohydrate reserves in green-growing benchgrafts. When grafted onto 101-14MGT or 5C, Sauvignon blanc had an earlier progression through the phenological stages and had also senesced earlier than when grafted onto the other rootstocks. The rootstock 101-14MGT produced a longer average shoot length, but the increased length likely was due to the earlier phenology progression. Trunk measurements at the end of the third season varied among rootstocks, with vines grafted onto 1103P having the largest diameter and circumference. Vines grafted onto 110R had the second-largest trunk circumference compared to the other rootstocks. Carbohydrate reserves varied by rootstock at planting and during the subsequent growing seasons. Similar trends were observed: vines grafted onto 110R had the largest carbohydrate reserves, followed by 1103P. A larger trunk size and more extensive carbohydrate reserves suggest that green-growing benchgrafts using 110R or 1103P as the rootstock have a higher capacity and a higher likelihood of establishment success. These results have further reinforced previous findings that suggest that rootstocks influence scion growth and also shed light on how rootstocks can influence the success of vineyard establishment when using green-growing benchgrafts.

Supplementary Materials

The following supporting information can be downloaded at: https://www.mdpi.com/article/10.3390/agronomy13061586/s1, Table S1: Effect of rootstock selection on phenology rating throughout the 2021 growing season. Table S2: Effect of rootstock selection on senescence rating throughout the 2021 growing season. Table S3: Effect of rootstock selection on the stomatal density and stomatal area measurements of Sauvignon blanc. Table S4: Effect of rootstock selection on pre-dawn, mid-morning, mid-day, mid-afternoon, and sundown leaf water potential values during the 2020 and 2021 growing seasons at véraison.

Author Contributions

Conceptualization, J.A.W. and J.C.D.P.; methodology, J.A.W. and J.C.D.P.; software, S.J.S., J.W., J.R.M.J. and J.C.D.P.; validation, S.J.S., J.W., J.R.M.J., M.K., M.A., C.J.R. and J.C.D.P.; formal analysis, S.J.S., J.W., J.R.M.J. and J.C.D.P.; investigation S.J.S., J.W., J.R.M.J., M.K., M.A., C.J.R. and J.C.D.P.; resources, J.C.D.P.; data curation, S.J.S., J.W., J.R.M.J., M.K., M.A., C.J.R. and J.C.D.P.; writing—original draft preparation, J.R.M.J., L.F.C. and J.C.D.P.; writing—review and editing, S.J.S., J.R.M.J. and J.C.D.P.; visualization, S.J.S., J.W., J.R.M.J., M.K., M.A., C.J.R. and J.C.D.P.; supervision, J.C.D.P.; project administration, J.C.D.P.; funding acquisition, L.F.C. and J.C.D.P. All authors have read and agreed to the published version of the manuscript.

Funding

This research was funded by the California State University Agricultural Research Institute grant, grant 19-03-101 and 21-03-100, the California State University, San Luis Obispo Baker Koob Endowment, grant number BK0009, the California Polytechnic State University, and San Luis Obispo, College of Agriculture and Environmental Sciences Summer Undergraduate Research Program (SURP).

Data Availability Statement

All data pertaining to this project is being held in computers owned by Washington State University, under control of the research team.

Acknowledgments

The authors would like to extend their sincerest gratitude to Willem Larsen, Vegas Riffle, Jocelyn Alvarez Arredondo, Nathaniel Palmer, Rachel Martin, and Lucy Moriarty for their assistance with this project. The authors also thank Dustin Hooper and Dave Haggmark for generously providing grafting assistance, time, and logistical resources to make this project possible. Finally, the authors would like to thank Pacific Coast Farming, specifically Jim McGarry and Erin Amaral, for their attention to detail and time in making the establishment of this vineyard block possible.

Conflicts of Interest

The authors declare no conflict of interest.

References

  1. Pongrácz, D.P. Rootstocks for Grapevines, 1st ed.; David Phillips Publishers: Houston, TX, USA, 1983. [Google Scholar]
  2. Keller, M. The Science of Grapevines, 1st ed.; Academic Press: Cambridge, MA, USA, 2010. [Google Scholar]
  3. Riaz, S.; Lund, K.T.; Granett, J.; Walker, M.A. Population diversity of grape phylloxera in California and evidence for sexual reproduction. Am. J. Enol. Vitic. 2017, 68, 218–227. [Google Scholar] [CrossRef]
  4. Ferris, H.; Zheng, L.; Walker, M.A. Resistance of grape rootstocks to plant-parasitic nematodes. J. Nematol. 2012, 44, 377–386. [Google Scholar] [PubMed]
  5. Main, G.; Morris, J.; Striegler, K. Rootstock effects on Chardonel productivity, fruit, and wine composition. Am. J. Enol. Vitic. 2002, 53, 37–40. [Google Scholar] [CrossRef]
  6. Hartmann, H.T.; Kester, D.E.; Davies, F.T.; Geneve, R.L. Plant Propagation: Principles and Practices, 6th ed.; Prentice-Hall Inc.: Hoboken, NJ, USA, 1997. [Google Scholar]
  7. Winkler, A.J.; Cook, J.A.; Kliewer, W.M.; Lider, L.A. General Viticulture, 2nd ed.; University of California Press: Berkeley, CA, USA, 1974. [Google Scholar]
  8. Reynolds, A. Managing Wine Quality: Viticulture and Wine Quality; Elsevier: Amsterdam, The Netherlands, 2010. [Google Scholar]
  9. Bettiga, L.J. Growth and productivity of green-growing and dormant ‘Chardonnay’ benchgrafts during vineyard establishment. Horttechnology 2015, 25, 752–756. [Google Scholar] [CrossRef]
  10. Christensen, L.P. Raisin Production Manual; UCANR Publications: Davis, CA, USA, 2000; Volume 3393. [Google Scholar]
  11. Scholefield, P.B.; Neales, T.F.; May, P. Carbon balance of the Sultana vine (Vitis vinifera L.) and the effects of autumn defoliation by harvest-pruning. Funct. Plant Biol. 1978, 5, 561–570. [Google Scholar] [CrossRef]
  12. Yang, Y.-S.; Hori, Y.; Ogata, R. Studies on retranslocation of accumulated assimilates in ‘Delaware’ grapevines. II. Retranslocation of assimilates accumulated during the previous growing season. Tohoku J. Agric. Res. 1980, 31, 109–119. [Google Scholar]
  13. Soil Survey Staff, Natural Resources Conservation Service, United States Department of Agriculture. Web Soil Survey. Available online: https://websoilsurvey.sc.egov.usda.gov/App/WebSoilSurvey.aspx (accessed on 8 December 2022).
  14. Coombe, B.G. Grapevine growth stages—The modified E-L system. In Viticulture 1—Resources, 2nd ed.; Dry, P.R., Coombe, B.G., Eds.; Winetitles: Adelaide, Australia, 2004; pp. 150–154. [Google Scholar]
  15. Dodson Peterson, C.P.; Walker, M.A. Influence of grapevine rootstock on scion development and initiation of senescence. Catal. Discov. Pract. 2017, 1, 48–54. [Google Scholar] [CrossRef]
  16. Grigg, D.; Methven, D.; De Bei, R.; Rodríguez López, C.M.; Dry, P.; Collins, C. Effect of vine age on vine performance of Shiraz in the Barossa Valley, Australia. Aust. J. Grape Wine Res. 2018, 24, 75–87. [Google Scholar] [CrossRef]
  17. Johansen, H.N.; Glitsø, V.; Knudsen, K.E.B. Influence of extraction solvent and temperature on the quantitative determination of oligosaccharides from plant materials by high-performance liquid chromatography. J. Agric. Food Chem. 1996, 44, 1470–1474. [Google Scholar] [CrossRef]
  18. Paranychianakis, N.V.; Aggelides, S.; Angelakis, A.N. Influence of rootstock, irrigation level, and recycled water on growth and yield of Soultanina grapevines. Agric. Water Manag. 2004, 69, 13–27. [Google Scholar] [CrossRef]
  19. Kowalczyk, B.; Bieniasz, M.; Błaszczyk, J.; Banach, P. The effect of rootstocks on the growth, yield, and fruit quality of hybrid grape varieties in cold climate condition. Hortic. Sci. 2022, 49, 78–88. [Google Scholar] [CrossRef]
  20. Jogaiah, S.; Somkuwar, R.G.; Sharma, J.; Upadhyay, A.K.; Adsule, P.G. Influence of rootstocks on growth yield and fruit composition of Thompson seedless grapes grown in the Pune region of India. S. Afr. J. Enol. Vitic. 2010, 31, 1–8. [Google Scholar]
  21. Corino, L.; Sansone, L.; Sandri, P. Growth of trunk and evaluation of vegetative and productive behavior of cv. Pinot noir clonal selections grafted onto 41B and SO4. Observations in hilly environments of Langa and Monferrato (Piedmont). Riv. Vitic. Enol. 2002, 55, 3–24. [Google Scholar]
  22. Köse, B.; Karabulut, B.; Ceylan, K. Effect of rootstock on grafted grapevine quality. Eur. J. Hort. Sci. 2014, 79, 197–202. [Google Scholar]
  23. Souza, J.R.; Modesto, L.R.; Juliano, P.H.G.; Hernandes, J.L.; Tavares, A.R.; Tecchio, M.A.; Moura, M.F. Phenology, bunch morphology and must quality of five grapevine hybrids grafted onto two rootstocks. Bragantia 2021, 80, 1–10. [Google Scholar] [CrossRef]
  24. Sabbatini, P.; Howell, G.S. Rootstock scion interaction and effects on vine vigor, phenology, and cold hardiness of interspecific hybrid grape cultivars (Vitis spp.). Int. J. Fruit Sci. 2013, 13, 466–477. [Google Scholar] [CrossRef]
  25. Loureiro, M.D.; Moreno-Sanz, P.; García, A.; Fernández, O.; Fernández, N.; Suárez, B. Influence of rootstock on the performance of the Albarín Negro minority grapevine cultivar. Sci. Hortic. 2016, 201, 145–152. [Google Scholar] [CrossRef]
  26. Loureiro, M.D.; Moreno-Sanz, P.; Suárez, B. Evaluation of rootstocks for the ‘Verdejo Negro’ cultivar. Ciência Téc. Vitiv. 2020, 35, 120–132. [Google Scholar] [CrossRef]
  27. Bettiga, L.J. Rootstock selection. In Wine Grape Varieties in California; UCANR Publications: Davis, CA, USA, 2003; pp. 12–15. [Google Scholar]
  28. Rita de Souza, C.; Bassoi, L.H.; Filho, J.M.P.L.; Santos da Silva, F.F.; Viana, L.H.; Dantas, B.F.; Pereira, M.S.; Ribeiro, P.R.A. Water relations of field-grown grapevines in the São Francisco Valley, Brazil, under different rootstocks and irrigation strategies. Sci. Agric. 2009, 66, 436–446. [Google Scholar] [CrossRef]
  29. Rita de Souza, C.; Vieira da Mota, R.; França, D.V.C.; Pimentel, R.M.A.; Regina, M.A. Cabernet Sauvignon grapevine grafted onto rootstocks during the autumn-winter season in southeastern Brazilian. Sci. Agric. 2015, 72, 138–146. [Google Scholar] [CrossRef]
  30. Koundouras, S.; Tsialtas, I.T.; Zioziou, E.; Nikolaou, N. Rootstock effects on the adaptive strategies of grapevine (Vitis vinifera L. cv. Cabernet–Sauvignon) under contrasting water status: Leaf physiological and structural responses. Agric. Ecosyst. Environ. 2008, 128, 86–96. [Google Scholar] [CrossRef]
  31. Boso, S.; Gago, P.; Alonso-Villaverde, V.; Santiago, J.L.; Martinez, M.C. Density and size of stomata in the leaves of different hybrids (Vitis sp.) and Vitis vinifera varieties. Vitis 2016, 55, 17–22. [Google Scholar]
  32. East, K.E.; Zasada, I.A.; Tarara, J.; Moyer, M.M. Field performance of winegrape rootstocks and fumigation during establishment of a Chardonnay vineyard in Washington. Am. J. Enol. Vitic. 2021, 72, 113–125. [Google Scholar] [CrossRef]
  33. Ezzahouani, A.; Williams, L.E. The influence of rootstock on leaf water potential, yield, and berry composition of Ruby Seedless grapevines. Am. J. Enol. Vitic. 1995, 46, 559–563. [Google Scholar] [CrossRef]
  34. Pulko, B.; Vršič, S.; Valdhuber, J. Influence of various rootstocks on the yield and grape composition of Sauvignon Blanc. Czech J. Food Sci. 2012, 30, 467–473. [Google Scholar] [CrossRef]
  35. Li, M.; Guo, Z.; Jia, N.; Yuan, J.; Han, B.; Yin, Y.; Sun, Y.; Liu, C.; Zhao, S. Evaluation of eight rootstocks on the growth and berry quality of ‘Marselan’ grapevines. Sci. Hortic. 2019, 248, 58–61. [Google Scholar] [CrossRef]
  36. Cox, C.M.; Favero, A.C.; Dry, P.R.; McCarthy, M.G.; Collins, C. Rootstock effects on primary bud necrosis, bud fertility, and carbohydrate storage in Shiraz. Am. J. Enol. Vitic. 2012, 63, 277–283. [Google Scholar] [CrossRef]
  37. Hickey, C.C.; Hatch, T.A.; Stallings, J.; Wolf, T.K. Under-trellis cover crop and rootstock affect growth, yield components, and fruit composition of Cabernet Sauvignon. Am. J. Enol. Vitic. 2016, 67, 281–295. [Google Scholar] [CrossRef]
  38. Harbertson, J.F.; Keller, M. Rootstock effects on deficit-irrigated winegrapes in a dry climate: Grape and wine composition. Am. J. Enol. Vitic. 2012, 63, 40–48. [Google Scholar] [CrossRef]
  39. Reynolds, A.G.; Wardle, D.A. Rootstocks impact vine performance and fruit composition of grapes in British Columbia. HortTechnology 2001, 11, 419–427. [Google Scholar] [CrossRef]
  40. Dodson Peterson, J.C.; Duncan, R.; Hirschfelt, D.; Ingels, C.; McGourty, G.; Smith, R.; Weber, E.; Wolpert, J.; Anderson, M.; Benz, J.; et al. Grape rootstock breeding and their performance based on the Wolpert trials in California. In The Grape Genome, 1st ed.; Cantu, D., Walker, M.A., Eds.; Springer: Cham, Switzerland, 2019; pp. 301–318. [Google Scholar]
  41. Phillips, N.; Reynolds, A.; Di Profio, F. Nonstructural carbohydrate concentrations in dormant grapevine scion wood and rootstock impact propagation success and vine growth. HortTechnology 2015, 25, 536–550. [Google Scholar] [CrossRef]
  42. Zufferey, V.; Murisier, F.; Vivin, P.; Belcher, S.; Lorenzini, F.; Spring, J.L.; Viret, O. Carbohydrate reserves in grapevine (Vitis vinifera L. ‘Chasselas’): The influence of the leaf to fruit ratio. Vitis 2012, 51, 103–110. [Google Scholar]
  43. Bennett, J.; Jarvis, P.; Creasy, G.L.; Trought, M.C. Influence of defoliation on overwintering carbohydrate reserves, return bloom, and yield of mature Chardonnay grapevines. Am. J. Enol. Vitic. 2005, 56, 386–393. [Google Scholar] [CrossRef]
  44. Greven, M.M.; Neal, S.M.; Tustin, D.S.; Boldingh, H.; Bennett, J.; Vasconcelos, M.C. Effect of postharvest defoliation on carbon and nitrogen resources of high-yielding Sauvignon blanc grapevines. Am. J. Enol. Vitic. 2016, 67, 315–326. [Google Scholar] [CrossRef]
  45. Mullins, M.G.; Bouquet, A.; Williams, L.E. Biology of the Grapevine; Cambridge University Press: Cambridge, UK, 1992. [Google Scholar]
Figure 1. Phenology rating of Sauvignon blanc vines grafted to various rootstocks during the 2021 growing season. One-way analysis of variance (ANOVA) displaying rootstock mean values followed by the standard error of the mean (n = 12). The absence of the letters “ns” expresses significant differences from each other based on a Fisher’s LSD test.
Figure 1. Phenology rating of Sauvignon blanc vines grafted to various rootstocks during the 2021 growing season. One-way analysis of variance (ANOVA) displaying rootstock mean values followed by the standard error of the mean (n = 12). The absence of the letters “ns” expresses significant differences from each other based on a Fisher’s LSD test.
Agronomy 13 01586 g001
Figure 2. Senescence score of Sauvignon blanc vines grafted to various rootstocks during the 2021 growing season. One-way analysis of variance (ANOVA) displaying rootstock mean values with standard error bars (n = 12). The absence of the letters “ns” expresses significant differences from each other based on a Fisher’s LSD test.
Figure 2. Senescence score of Sauvignon blanc vines grafted to various rootstocks during the 2021 growing season. One-way analysis of variance (ANOVA) displaying rootstock mean values with standard error bars (n = 12). The absence of the letters “ns” expresses significant differences from each other based on a Fisher’s LSD test.
Agronomy 13 01586 g002
Figure 3. Berry chemistry measurements during the 2021 growing seasons. Figure is displaying average total soluble solids (TSS), pH, and titratable acidity (TA) by rootstock over three different sampling dates (n = 3).
Figure 3. Berry chemistry measurements during the 2021 growing seasons. Figure is displaying average total soluble solids (TSS), pH, and titratable acidity (TA) by rootstock over three different sampling dates (n = 3).
Agronomy 13 01586 g003
Figure 4. Sucrose (a), total non-structural carbohydrates (b), and starch (c) of trunk samples of Sauvignon blanc while grafted on various rootstocks. Rootstocks with different letters indicate significant differences based on a Fisher’s LSD test. Error bars represent the standard error of the mean (n = 3).
Figure 4. Sucrose (a), total non-structural carbohydrates (b), and starch (c) of trunk samples of Sauvignon blanc while grafted on various rootstocks. Rootstocks with different letters indicate significant differences based on a Fisher’s LSD test. Error bars represent the standard error of the mean (n = 3).
Agronomy 13 01586 g004
Table 1. Growing degree days (GDD); Winkler region classification; and precipitation for San Luis Obispo, California (USA) CIMIS station 52.
Table 1. Growing degree days (GDD); Winkler region classification; and precipitation for San Luis Obispo, California (USA) CIMIS station 52.
Growing
Season
Growing Degree Days (GDD) 1Winkler
Region
Annual Precipitation (mm) 2Seasonal Precipitation (mm) 3
20182168.3IV455.829.4
20191664.3II728.049.9
20201808.2III281.867.5
20211523.9II545.257.1
1 Calculated from 1 April–31 October in degrees Celsius with a baseline of 10 °C. 2 Sum of precipitation from 1 January–31 December. 3 Sum of precipitation from 1 April–31 October.
Table 2. Monthly average air temperature, minimum air temperature, and maximum air temperature for San Luis Obispo, California (USA) CIMIS station 52 during the 2018, 2019, 2020 and 2021 growing seasons.
Table 2. Monthly average air temperature, minimum air temperature, and maximum air temperature for San Luis Obispo, California (USA) CIMIS station 52 during the 2018, 2019, 2020 and 2021 growing seasons.
2018201920202021
MonthMin. Air Temp. (°C)Max. Air Temp. (°C)Avg. Air Temp. (°C)Min. Air Temp. (°C)Max. Air Temp. (°C)Avg. Air Temp. (°C)Min. Air Temp. (°C)Max. Air Temp. (°C)Avg. Air Temp. (°C)Min. Air Temp. (°C)Max. Air Temp. (°C)Avg. Air Temp. (°C)
April 11.024.716.79.520.614.59.020.214.47.418.912.2
May 11.324.416.210.019.213.910.523.616.68.720.813.9
June13.028.919.112.323.016.711.924.417.512.124.217.0
July15.132.020.811.925.017.012.124.116.913.025.017.4
Aug.14.830.721.213.126.518.313.728.418.612.725.217.6
Sept.13.430.919.713.027.819.611.827.217.812.325.517.4
Oct.11.125.717.310.526.717.013.027.819.310.223.616.1
Table 3. Two-way analysis of variance (ANOVA) with interaction displaying average internode length (mm), average internode diameter (mm), and average total shoot length values by rootstock at véraison during the 2018, 2019, and 2021 growing seasons. Rootstock means followed by the standard error of the mean. Different letters within a column indicate significant differences based on a Fisher’s LSD test (n = 12). Significant p-values (<0.05) are displayed in bold.
Table 3. Two-way analysis of variance (ANOVA) with interaction displaying average internode length (mm), average internode diameter (mm), and average total shoot length values by rootstock at véraison during the 2018, 2019, and 2021 growing seasons. Rootstock means followed by the standard error of the mean. Different letters within a column indicate significant differences based on a Fisher’s LSD test (n = 12). Significant p-values (<0.05) are displayed in bold.
Internode Length (mm)Internode Diameter (mm)Total Shoot Length (cm)
Year
201851.6 ± 2.32 a3.33 ± 0.06 b44.1 ± 1.86 b
201928.5 ± 1.40 b7.70 ± 0.23 a53.6 ± 3.74 a
202155.2 ± 1.81 a7.98 ± 0.23 an/a
Rootstock
101-14MGT43.1 ± 2.76 a6.80 ± 0.45 a62.9 ± 5.15 a
1103P42.4 ± 3.42 a6.18 ± 0.41 a51.0 ± 4.14 ab
110R44.8 ± 3.29 a6.26 ± 0.44 a48.9 ± 5.17 bc
420A48.6 ± 3.25 a6.13 ± 0.41 a37.9 ± 2.51 c
5C46.5 ± 2.90 a6.31 ± 0.48 a43.6 ± 4.98 bc
p-value<0.0001<0.00010.0007
Year (Y)<0.0001<0.00010.0165
Rootstock (R)0.36770.33150.0017
Y × R0.49640.62850.1293
Table 4. One-way analysis of variance (ANOVA) displaying average photosynthetically active radiation (PAR), average % of outside PAR, and average leaf area index values by rootstock at véraison during the 2021 growing season. Table shows rootstock means followed by the standard error of the mean. Different letters within a column indicate significant differences based on a Fisher’s LSD test (n = 6).
Table 4. One-way analysis of variance (ANOVA) displaying average photosynthetically active radiation (PAR), average % of outside PAR, and average leaf area index values by rootstock at véraison during the 2021 growing season. Table shows rootstock means followed by the standard error of the mean. Different letters within a column indicate significant differences based on a Fisher’s LSD test (n = 6).
RootstockPAR (µmol m−2 s−1)% Outside PARLeaf Area Index
101-14MGT263.3 ± 114.5 a12.3 ± 4.99 a5.71 ± 0.70 a
1103P248.0 ± 121.4 a13.4 ± 6.84 a5.87 ± 1.33 a
110R268.3 ± 96.3 a12.5 ± 4.42 a5.99 ± 0.62 a
420A180.3 ± 95.3 a8.77 ± 4.32 a6.58 ± 0.43 a
5C331.7 ± 131.6 a16.5 ± 6.50 a5.95 ± 1.00 a
p-value0.91520.90250.961
Table 5. One-way analysis of variance (ANOVA) displaying average total yield (kg) and clusters per vine by rootstock at harvest during the 2021 growing season. Table shows rootstock means followed by the standard error of the mean. Different letters within a column indicate significant differences based on a Fisher’s LSD test (n = 12).
Table 5. One-way analysis of variance (ANOVA) displaying average total yield (kg) and clusters per vine by rootstock at harvest during the 2021 growing season. Table shows rootstock means followed by the standard error of the mean. Different letters within a column indicate significant differences based on a Fisher’s LSD test (n = 12).
RootstockTotal Yield (kg/vine)Clusters/Vine
101-14MGT1.13 ± 0.07 a17.8 ± 1.01 a
1103P1.10 ± 0.08 a18.1 ± 0.78 a
110R1.29 ± 0.11 a18.7 ± 1.31 a
420A1.24 ± 0.13 a16.2 ± 1.52 a
5C1.15 ± 0.11 a17.0 ± 1.20 a
p-value0.67510.6225
Table 6. Two-way analysis of variance (ANOVA) with interaction displaying average pruning weight (kg) by rootstock and year at the end of the 2019, 2020, and 2021 growing seasons. Table shows rootstock by year interaction followed by the standard error of the mean. Different letters within a column indicate significant differences based on a Fisher’s LSD test (n = 12). Significant p-values (<0.05) are displayed in bold.
Table 6. Two-way analysis of variance (ANOVA) with interaction displaying average pruning weight (kg) by rootstock and year at the end of the 2019, 2020, and 2021 growing seasons. Table shows rootstock by year interaction followed by the standard error of the mean. Different letters within a column indicate significant differences based on a Fisher’s LSD test (n = 12). Significant p-values (<0.05) are displayed in bold.
YearRootstockPruning Weights (kg)
2019101-14MGT0.04 ± 0.01 e
1103P0.04 ± 0.01 e
110R0.03 ± 0.01 e
420A0.04 ± 0.01 e
5C0.03 ± 0.01 e
2020101-14MGT0.44 ± 0.08 cd
1103P0.50 ± 0.10 bcd
110R0.36 ± 0.07 d
420A0.69 ± 0.19 ab
5C0.67 ± 0.15 ab
2021101-14MGT0.60 ± 0.04 abc
1103P0.71 ± 0.04 a
110R0.63 ± 0.05 ab
420A0.46 ± 0.04 cd
5C0.60 ± 0.03 abc
p-value<0.0001
Year (Y) <0.0001
Rootstock (R) 0.4205
Y × R 0.0068
Table 7. One-way analysis of variance (ANOVA) displaying average trunk diameter (mm) and average trunk circumference (cm) by rootstock at dormancy during the end of the 2020 growing season. Table shows rootstock means followed by the standard error of the mean. Different letters within a column indicate significant differences based on a Fisher’s LSD test (n = 6). Significant p-values (<0.05) are displayed in bold.
Table 7. One-way analysis of variance (ANOVA) displaying average trunk diameter (mm) and average trunk circumference (cm) by rootstock at dormancy during the end of the 2020 growing season. Table shows rootstock means followed by the standard error of the mean. Different letters within a column indicate significant differences based on a Fisher’s LSD test (n = 6). Significant p-values (<0.05) are displayed in bold.
RootstockTrunk Diameter (mm)Trunk Circumference (cm)
101-14MGT17.9 ± 0.52 b6.23 ± 0.30 bc
1103P22.2 ± 0.82 a7.57 ± 0.28 a
110R18.3 ± 1.25 b6.65 ± 0.27 b
420A16.3 ± 1.57 b5.55 ± 0.27 c
5C15.5 ± 0.61 b5.58 ± 0.23 c
p-value0.0012<0.0001
Table 8. Two-way analysis of variance (ANOVA) displaying average carbohydrate by rootstock during post-grafting and day of planting during the 2018 growing season. Table shows rootstock and sample means followed by the standard error of the mean. Different letters within a column indicate significant differences based on a Fisher’s LSD test (n = 10). Significant p-values (<0.05) are displayed in bold.
Table 8. Two-way analysis of variance (ANOVA) displaying average carbohydrate by rootstock during post-grafting and day of planting during the 2018 growing season. Table shows rootstock and sample means followed by the standard error of the mean. Different letters within a column indicate significant differences based on a Fisher’s LSD test (n = 10). Significant p-values (<0.05) are displayed in bold.
Glu/Fru (g/L)
Time
Pre-planting1.17 ± 0.04 a
Post-planting1.21 ± 0.06 a
Rootstock
101-14MGT1.19 ± 0.04 bc
1103P1.25 ± 0.05 b
110R1.47 ± 0.06 a
420A1.05 ± 0.07 cd
5C0.99 ± 0.07 d
p-value0.0006
Time (T)0.5026
Rootstock (R)<0.0001
T × R0.6392
Table 9. Two-way analysis of variance (ANOVA) with interaction displaying average carbohydrate measurements by rootstock and year during 2020, 2021, and 2022 growing seasons. Table shows year by rootstock interaction followed by the standard error of the mean. Different letters within a column indicate significant differences based on a Fisher’s LSD test (n = 3). Significant p-values (<0.05) are displayed in bold.
Table 9. Two-way analysis of variance (ANOVA) with interaction displaying average carbohydrate measurements by rootstock and year during 2020, 2021, and 2022 growing seasons. Table shows year by rootstock interaction followed by the standard error of the mean. Different letters within a column indicate significant differences based on a Fisher’s LSD test (n = 3). Significant p-values (<0.05) are displayed in bold.
YearRootstockGlucose (%)Fructose (%)
2019101-14MGT0.33 ± 0.33 ef0.37 ± 0.03 fg
1103P0.30 ± 0.00 f0.33 ± 0.03 g
110R0.33 ± 0.07 ef0.40 ± 0.06 fg
420A0.30 ± 0.00 f0.40 ± 0.01 fg
5C0.40 ± 0.01 def0.47 ± 0.09 fg
2020101-14MGT0.63 ± 0.22 cdef0.70 ± 0.27 efg
1103P0.80 ± 0.12 abcd0.73 ± 0.07 def
110R0.93 ± 0.18 abc1.07 ± 0.12 cde
420A1.07 ± 0.07 ab1.47 ± 0.09 ab
5C0.90 ± 0.12 abc1.17 ± 0.19 abc
2021101-14MGT1.17 ± 0.19 a1.53 ± 0.12 a
1103P0.73 ± 0.29 bcde1.10 ± 0.25 bcd
110R1.13 ± 0.19 ab1.53 ± 0.09 a
420A0.80 ± 0.10 abcd1.20 ± 0.15 abc
5C0.47 ± 0.12 def0.97 ± 0.09 cde
p-value<0.0001<0.0001
Year (Y) <0.0001<0.0001
Rootstock (R) 0.35590.0623
Y × R 0.04470.0047
Table 10. Two-way analysis of variance (ANOVA) displaying average carbohydrate measurements by rootstock and year during 2020, 2021, and 2022 growing seasons. Table shows year and rootstock means followed by the standard error of the mean. Different letters within a column indicate significant differences based on a Fisher’s LSD test (n = 3). Significant p-values (<0.05) are displayed in bold.
Table 10. Two-way analysis of variance (ANOVA) displaying average carbohydrate measurements by rootstock and year during 2020, 2021, and 2022 growing seasons. Table shows year and rootstock means followed by the standard error of the mean. Different letters within a column indicate significant differences based on a Fisher’s LSD test (n = 3). Significant p-values (<0.05) are displayed in bold.
Sucrose (%)Glucose-Tot (%)TNC (%)Starch (%)
Year
20193.72 ± 0.15 a8.32 ± 0.26 c12.4 ± 0.36 b7.18 ± 0.24 c
20201.26 ± 0.14 b10.5 ± 0.68 b12.8 ± 0.77 b8.63 ± 0.60 b
20210.62 ± 0.07 c14.3 ± 0.30 a16.2 ± 0.33 a12.1 ± 0.24 a
Rootstock
101-14MGT1.75 ± 0.49 ab10.5 ± 0.96 b13.2 ± 1.10 b8.82 ± 0.74 b
1103P2.16 ± 0.52 a11.1 ± 0.91 b14.0 ± 0.60 b9.46 ± 0.79 b
110R2.08 ± 0.49 a12.9 ± 1.13 a16.0 ± 0.91 a10.9 ± 0.93 a
420A1.59 ± 0.49 b10.7 ± 0.91 b13.3 ± 0.64 b8.99 ± 0.78 b
5C1.63 ± 0.44 b9.90 ± 1.12 b12.4 ± 0.87 b8.38 ± 1.02 b
p-value<0.0001<0.0001<0.0001<0.0001
Year (Y)<0.0001<0.0001<0.0001<0.0001
Rootstock (R)0.01810.00120.00080.002
Y × R0.29350.18740.14210.1407
Disclaimer/Publisher’s Note: The statements, opinions and data contained in all publications are solely those of the individual author(s) and contributor(s) and not of MDPI and/or the editor(s). MDPI and/or the editor(s) disclaim responsibility for any injury to people or property resulting from any ideas, methods, instructions or products referred to in the content.

Share and Cite

MDPI and ACS Style

Munoz, J.R., Jr.; Stauch, S.J.; Wootten, J.; Kitchen, M.; Abreu, M.; Rodriguez, C.J.; Casassa, L.F.; Wolpert, J.A.; Dodson Peterson, J.C. Effect of Rootstock on Vineyard Establishment Using Green-Growing Benchgrafts. Agronomy 2023, 13, 1586. https://doi.org/10.3390/agronomy13061586

AMA Style

Munoz JR Jr., Stauch SJ, Wootten J, Kitchen M, Abreu M, Rodriguez CJ, Casassa LF, Wolpert JA, Dodson Peterson JC. Effect of Rootstock on Vineyard Establishment Using Green-Growing Benchgrafts. Agronomy. 2023; 13(6):1586. https://doi.org/10.3390/agronomy13061586

Chicago/Turabian Style

Munoz, Jose R., Jr., Samantha J. Stauch, Jennifer Wootten, Matthew Kitchen, Matteo Abreu, Christian Jose Rodriguez, L. Federico Casassa, James A. Wolpert, and Jean Catherine Dodson Peterson. 2023. "Effect of Rootstock on Vineyard Establishment Using Green-Growing Benchgrafts" Agronomy 13, no. 6: 1586. https://doi.org/10.3390/agronomy13061586

APA Style

Munoz, J. R., Jr., Stauch, S. J., Wootten, J., Kitchen, M., Abreu, M., Rodriguez, C. J., Casassa, L. F., Wolpert, J. A., & Dodson Peterson, J. C. (2023). Effect of Rootstock on Vineyard Establishment Using Green-Growing Benchgrafts. Agronomy, 13(6), 1586. https://doi.org/10.3390/agronomy13061586

Note that from the first issue of 2016, this journal uses article numbers instead of page numbers. See further details here.

Article Metrics

Back to TopTop