Assessment of the Effects of Fencing Enclosure on Soil Quality Based on Minimum Data Set in Biru County of the Qinghai–Tibet Plateau, China
Abstract
1. Introduction
2. Materials and Methods
2.1. Study Area
2.2. Soil Sampling and Analysis
2.3. Methods of Soil Quality Assessment
2.3.1. Determination of the MDS
2.3.2. Soil Quality Index
2.4. Statistical Analysis
3. Results
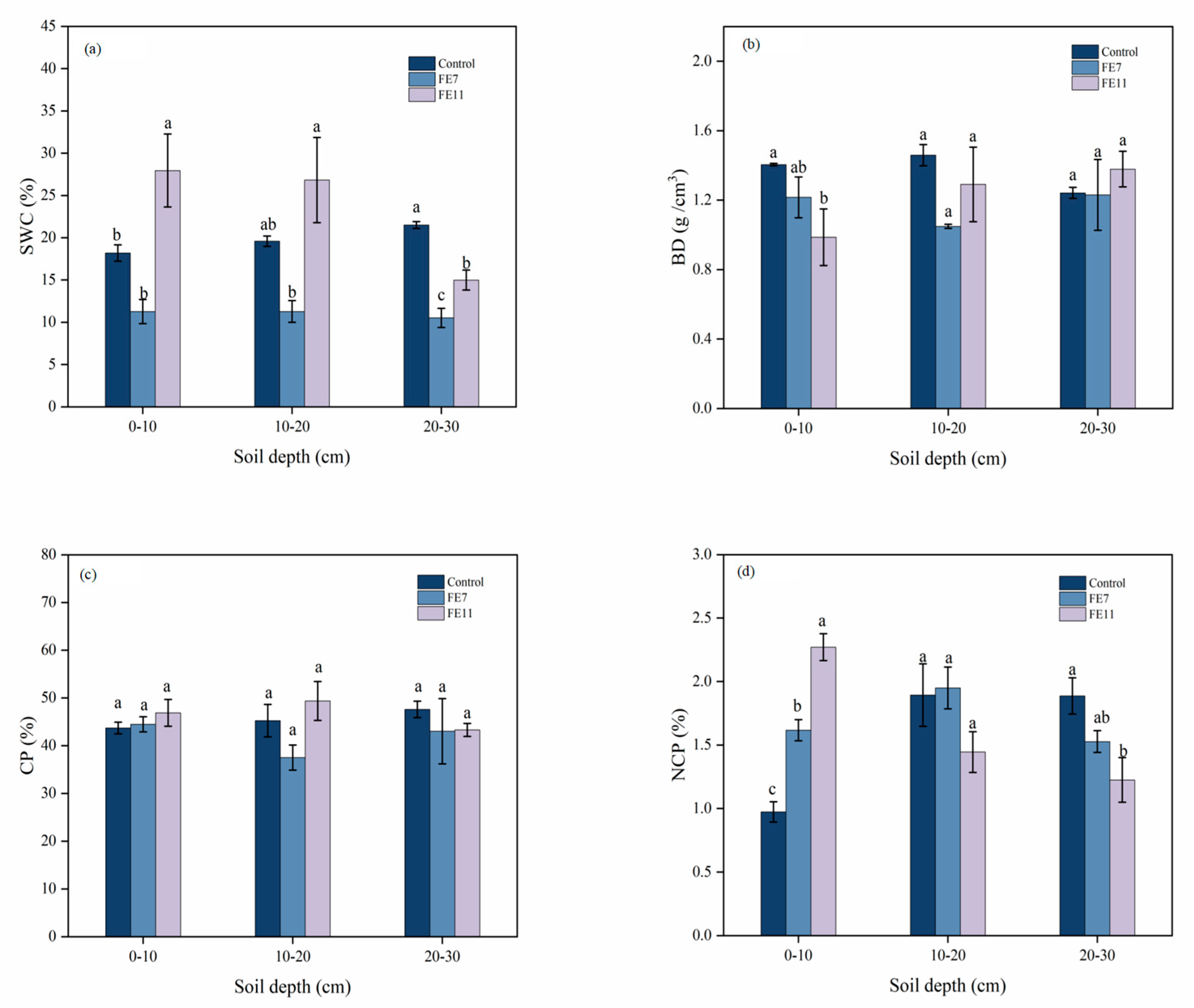
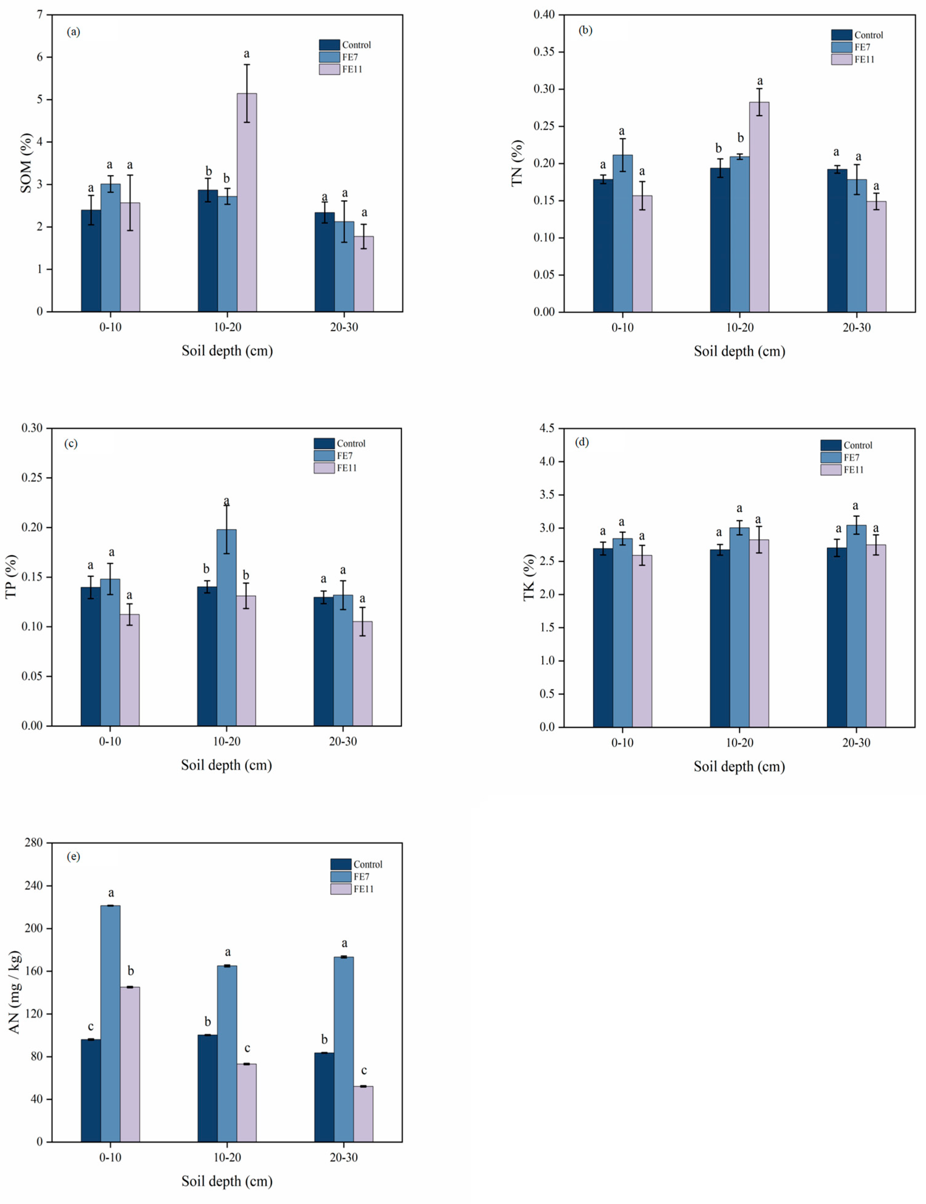
3.1. Effects of Fencing Enclosure on Soil Properties
3.2. Soil Quality Assessment
3.2.1. Establishment of the Minimum Data Set
3.2.2. The Weights of the Indicators
3.2.3. Comprehensive Assessment of Soil Quality
3.3. Verification of the MDS
4. Discussion
4.1. The Minimum Data Set
4.2. Soil Quality Index Analysis
4.3. Verification of the Minimum Data Set
4.4. The Impact of the Fencing Enclosure on Soil Properties
5. Conclusions
Author Contributions
Funding
Data Availability Statement
Acknowledgments
Conflicts of Interest
References
- Sun, H.; Zheng, D.; Yao, T.; Zhang, Y. Protection and construction of the national ecological security shelter zone on Tibetan Plateau. Acta Geol. Sin. 2012, 67, 3–12. [Google Scholar]
- Hua, T.; Zhao, W.; Cherubini, F.; Hu, X.; Pereira, P. Sensitivity and future exposure of ecosystem services to climate change on the Tibetan Plateau of China. Landsc. Ecol. 2021, 36, 3451–3471. [Google Scholar] [CrossRef] [PubMed]
- Jiang, Y.; Song, H.; Lei, Y.; Korpelainen, H.; Li, C. Distinct co-occurrence patterns and driving forces of rare and abundant bacterial subcommunities following a glacial retreat in the eastern Tibetan Plateau. Biol. Fertil. Soils 2019, 55, 351–364. [Google Scholar] [CrossRef]
- Ren, Z.; Niu, D.; Ma, P.; Wang, Y.; Elser, J.J. C:N:P stoichiometry and nutrient limitation of stream biofilms impacted by grassland degradation on the Qinghai–Tibet Plateau. Biogeochemistry 2020, 150, 31–44. [Google Scholar] [CrossRef]
- Fu, B.; OuYang, Z.; Shi, P.; Fan, J.; Wang, X.; Zheng, H.; Zhao, W.; Wu, F. Current condition and protection strategies of Qinghai–Tibet Plateau ecological security barrier. Policy Manag. Res. 2021, 36, 1298–1306. [Google Scholar]
- Zhang, Y.; Fan, J.; Wang, S. Assessment of ecological carrying capacity and ecological security in China’s typical eco–engineering areas. Sustainability 2020, 12, 3293. [Google Scholar] [CrossRef]
- Guo, B.; Wang, J.; Liu, J.; Mantravadi, V.S.; Zhang, L.; Liu, G. Effect of climate and ecological restoration on vegetation changes in the “Three–River Headwaters” region based on remote sensing technology. Environ. Sci. Pollut. Res. 2022, 29, 16436–16448. [Google Scholar] [CrossRef] [PubMed]
- Zhang, H.; Fan, J.; Cao, W.; Zhong, H. Changes in multiple ecosystem services between 2000 and 2013 and their driving factors in the Grazing Withdrawal Program, China. Ecol. Eng. 2018, 116, 67–79. [Google Scholar] [CrossRef]
- Liu, Y.; Li, B.; Yuan, Y.; Qi, J.; Li, Y.; Li, R. Assessment of grazing exclusion on grassland restoration through the changes of plant community structure of alpine meadow in the Three River Headwater Region. Acta Ecol. Sin. 2021, 41, 7125–7137. [Google Scholar]
- Zhang, Y.; Fan, J.; Li, Y.; Xiang, X.; Zhang, H.; Wang, S. Effects of grassland reuse after short–term grazing exclusion of plant community. Acta Ecol. Sin. 2022, 43, 3295–3306. [Google Scholar]
- Wan, Q.; Wang, J.; Wang, X.; Liu, G.; Zhang, C. Effects of different meadow use types on the fractal characteristics of soil particle in the Qinghai–Tibet Plateau. Acta Ecol. Sin. 2022, 42, 1716–1726. [Google Scholar]
- Zhou, T.; Gao, J.; Wang, J.; Sun, J.; Xu, B.; Xue, J.; He, J.; Xie, Y.; Wu, Y. Effects of 7-year enclosure on an alpine meadow at the south-eastern margin of Tibetn Plateau based on community structure and soil physico-chemical properties. Acta Pratacult. Sin. 2018, 27, 1–11. [Google Scholar]
- Du, C.; Jing, J.; Shen, Y.; Liu, H. Short-term grazing exclusion improved topsoil conditions and plant characteristics in degraded alpine grasslands. Ecol. Indic. 2020, 108, 105680. [Google Scholar] [CrossRef]
- Li, Y.; Zhao, X.; Chen, Y.; Luo, Y.; Wang, S. Effects of grazing exclusion on carbon sequestration and the associated vegetation and soil characteristics at a semi–arid desertified sandy site in Inner Mongolia, northern China. Can. J. Soil Sci. 2015, 92, 807–819. [Google Scholar] [CrossRef]
- Rong, Y.; Yuan, F.; Ma, L. Effectiveness of exclosures for restoring soils and vegetation degraded by overgrazing in the Junggar Basin, China. Grassl. Sci. 2014, 60, 118–124. [Google Scholar] [CrossRef]
- Fan, Y.; Hou, X.; Shi, H.; Shi, S. Effects of grazing and fencing on carbon and nitrogen reserves in plants and soils of alpine meadow in the three headwater resource regions. Russ. J. Ecol. 2013, 44, 80–88. [Google Scholar] [CrossRef]
- Sun, J.; Ma, B.; Lu, X. Grazing enhances soil nutrient effects: Trade-offs between aboveground and belowground biomass in alpine grasslands of the Tibetan Plateau. Land Degrad. Dev. 2018, 29, 337–348. [Google Scholar] [CrossRef]
- Wang, Y.; Long, R.; Deng, B.; Ren, G.; Xin, G.; Ding, L.; Shang, Z.; Liu, Z. The effect of three years of fencing enclosure on soil seed banks and the relationship with above-ground vegetation of degraded alpine grasslands of the Tibetan plateau. Plant Soil. 2013, 364, 229–244. [Google Scholar]
- Fenetahun, Y.; You, Y.; Xu, X.; Wang, Y. Effects of grazing enclosures on species diversity, phenology, biomass, and carrying capacity in Borana Rangeland, Southern Ethiopia. Front. Ecol. Evol. 2021, 8, 623–627. [Google Scholar] [CrossRef]
- Wei, X.; Yan, C. Grassland dynamics and the driving factors based on net primary productivity in Qinghai province, China. ISPRS Int. J. Geo-Inf. 2019, 8, 73. [Google Scholar]
- Wang, T.; Zhang, Z.; Li, Z.; Li, P. Grazing management affects plant diversity and soil properties in a temperate steppe in northern China. Catena 2017, 158, 141–147. [Google Scholar] [CrossRef]
- Chen, B.; Zhang, X.; Tao, J.; Wu, J. The impact of climate change and anthropogenic activities on alpine grassland over the Qinghai–Tibet Plateau. Agric. For. Meteorol. 2014, 189–190, 11–18. [Google Scholar] [CrossRef]
- Løvschal, M.; Gravesen, M.L. De-/Fencing grasslands: Ongoing boundary making and unmaking in postcolonial Kenya. Land 2021, 10, 786. [Google Scholar] [CrossRef]
- Xu, L.; Nie, Y.; Chen, B.; Xin, X.; Yang, G.; Xu, D.; Ye, L. Effects of fence enclosure on vegetation community characteristics and productivity of a degraded temperate meadow steppe in northern China. Appl. Sci. 2020, 10, 2952. [Google Scholar] [CrossRef]
- Wen, L.; Zhen, L.; Wang, J.; Shi, S.; Cao, W. Six years of grazing exclusion is the optimum duration in the alpine meadow–steppe of the north-eastern Qinghai–Tibetan Plateau. Sci. Rep. 2018, 8, 17269. [Google Scholar]
- Sun, J.; Liang, E.; Barrio, I.C.; Chen, J.; Fu, B. Fences undermine biodiversity targets. Science 2021, 374, 269. [Google Scholar] [CrossRef] [PubMed]
- Hao, L.; Sun, J.; Liu, Y.; Gao, Z.; He, J. Effects of precipitation on grassland ecosystem restoration under grazing exclusion in Inner Mongolia, China. Landsc. Ecol. 2014, 29, 1657–1673. [Google Scholar] [CrossRef]
- Liu, J.; Wu, J.; Su, H.; Gao, Z.; Wu, Z. Effects of grazing exclusion in Xilin Gol grassland differ between regions. Ecol. Eng. 2017, 99, 271–281. [Google Scholar] [CrossRef]
- Garcia-Palacios, P.; Maestre, F.T.; Kattge, J.; Wall, D.H. Climate and litter quality differently modulate the effects of soil fauna on litter decomposition across biomes. Ecol. Lett. 2013, 16, 1045–1053. [Google Scholar] [CrossRef]
- Yu, Y.; Zheng, L.; Zhou, Y.; Sang, W.; Zhao, J.; Liu, L.; Li, C.; Xiao, C. Changes in soil microbial community structure and function following degradation in a temperate grassland. J. Plant Ecol. 2021, 14, 384–397. [Google Scholar] [CrossRef]
- Du, S.; Bai, G.; Yu, J. Soil properties and apricot growth under intercropping and mulching with erect milk vetch in the loess hilly-gully region. Plant Soil. 2014, 390, 431–442. [Google Scholar] [CrossRef]
- Nabiollahi, K.; Golmohamadi, F.; Taghizadeh–Mehrjardi, R.; Kerry, R.; Davari, M. Assessing the effects of slope gradient and land use change on soil quality degradation through digital mapping of soil quality indices and soil loss rate. Geoderma 2018, 318, 16–28. [Google Scholar] [CrossRef]
- Horel, Á.; Tóth, E.; Gelybó, G.; Kása, I.; Bakacsi, Z.; Farkas, C. Effects of land use and management on soil hydraulic properties. Open Geosci. 2015, 7, 742–754. [Google Scholar] [CrossRef]
- Marzaioli, R.; D’Ascoli, R.; De Pascale, R.A.; Rutigliano, F.A. Soil quality in a Mediterranean area of southern Italy as related to different land use types. Appl. Soil Ecol. 2010, 44, 205–212. [Google Scholar] [CrossRef]
- Salomé, C.; Coll, P.; Lardo, E.; Metay, A. The soil quality concept as a framework to assess management practices in vulnerable agroecosystems: A case study in Mediterranean vineyards. Ecol. Indic. 2016, 61, 456–465. [Google Scholar] [CrossRef]
- Chaer, G.M.; Myrold, D.D.; Bottomley, P.J. A soil quality index based on the equilibrium between soil organic matter and biochemical properties of undisturbed coniferous forest soils of the Pacific Northwest. Soil Biol. Biochem. 2009, 41, 822–830. [Google Scholar] [CrossRef]
- Obade, V.P.; Lal, R. A standardized soil quality index for diverse field conditions. Sci. Total Environ. 2016, 541, 424–434. [Google Scholar] [CrossRef]
- De Laurentiis, V.; Secchi, M.; Bos, U.; Horn, R.; Laurent, A.; Sala, S. Soil quality index: Exploring options for a comprehensive assessment of land use impacts in LCA. J. Clean. Prod. 2019, 215, 63–74. [Google Scholar] [CrossRef]
- Dengiz, O. Soil quality index for paddy fields based on standard scoring functions and weight allocation method. Arch. Agron. Soil Sci. 2019, 66, 301–315. [Google Scholar] [CrossRef]
- Paz-Kagan, T.; Shachak, M.; Zaady, E.; Karnieli, A. Evaluation of ecosystem responses to land–use change using soil quality and primary productivity in a semi-arid area, Israel. Agr. Ecosyst. Environ. 2014, 193, 9–24. [Google Scholar] [CrossRef]
- Hemati, Z.; Selvalakshmi, S.; Xia, S.; Yang, X. Identification of indicators: Monitoring the impacts of rubber plantations on soil quality in Xishuangbanna, Southwest China. Ecol. Indic. 2020, 116, 106491. [Google Scholar] [CrossRef]
- Larson, W.E.; Pierce, F.J. Conservation and enhancement of soil quality. In Evaluation for Sustainable Land Management in the Developing World, Proceedings of the International Workshop on Evaluation for Sustainable Land Management in the Developing World, Chiang Rai, Thailand, 15–21 September 1991; International Board for Soil Research and Management: Bangkok, Thailand, 1991. [Google Scholar]
- Yang, Q.; Pu, H.; Zhao, X.; Wang, Z.; Cheng, H.; Dong, R.; Chen, Y.; Jin, B. Comparison of different plant cover investigation methods for three artificial grasslands. Chin. J. Appl. Environ. Biol. 2021, 27, 220–227. [Google Scholar]
- Jin, C.N. Measurement of compaction degree of aeolian sand roadbed formed by dry compaction with immersion plus Cutting Ring Method. In Proceedings of the International Conference on Equine Exercise Physiology 2017, Guilin, China, 23–24 June 2012. [Google Scholar]
- Xu, X.; Cui, Z.; Huang, H.; Wang, H.; Hou, Y.; Wang, Y.; Yin, H. Contrastive analysis on soil moisture data between FDR and Drying methods. J. Shandong Agric. Univ. 2013, 44, 190–192. [Google Scholar]
- Huang, R. Analysis of test method for organic matter content of soil –potassium dichromate method and loss on ignition method. China Plant Eng. 2022, 7, 86–88. [Google Scholar]
- Liu, Z.; Cai, X.; Wen, T.; Zhao, C.; Sun, W. Determination of total nitrogen in soil by graphite digester-Kjeldahl method. Chem. Anal. Meterage 2022, 31, 55–58. [Google Scholar]
- Syers, J.K.; Williams, J.D.; Walker, T.W. The determination of total phosphorus in soils and parent materials. N. Z. J. Agric. Res. 2012, 11, 757–762. [Google Scholar] [CrossRef]
- Du, X.; Yang, M.; Yu, L.; Peng, Y. Rapid determination of total potassium in soil by microwave alkaline digestion. Yunnan Chem. Technol. 2022, 49, 85–87. [Google Scholar]
- Du, E.; Xia, N.; Tang, Y.; Guo, Z.; Guo, Y.; Wang, Y.; Vries, W.D. Anthropogenic and climatic shaping of soil nitrogen properties across urban-rural-natural forests in the Beijing metropolitan region. Geoderma 2022, 406, 115524. [Google Scholar] [CrossRef]
- Li, X.; Zhu, W.; Shu, S.; Sheng, Z.; Wang, W. Soil quality assessment of grassland in dry and warm valley of Dadu River based on principal component analysis. Acta Ecol. Sin. 2021, 41, 3891–3900. [Google Scholar]
- Li, F.; Zhang, X.; Zhao, Y.; Song, M.; Liang, J. Soil quality assessment of reclaimed land in the urban-rural fringe. Catena 2023, 220, 106692. [Google Scholar] [CrossRef]
- Zhang, Y.; Xu, X.; Li, Z.; Liu, M.; Xu, C.; Zhang, R.; Luo, W. Effects of vegetation restoration on soil quality in degraded karst landscapes of southwest China. Sci. Total Environ. 2019, 650, 2657–2665. [Google Scholar] [CrossRef] [PubMed]
- Volchko, Y.; Norrman, J.; Rosen, L.; Bergknut, M.; Josefsson, S.; Soderqvist, T.; Norberg, T.; Wiberg, K.; Tysklind, M. Using soil function evaluation in multi–criteria decision analysis for sustainability appraisal of remediation alternatives. Sci. Total Environ. 2014, 485–486, 785–791. [Google Scholar] [CrossRef] [PubMed]
- Karaca, S.; Dengiz, O.; Turan, I.D.; Özkan, B.; Dedeoğlu, M.; Gülser, F.; Sargin, B.; Demirkaya, S.; Ay, A. An assessment of pasture soils quality based on multi–indicator weighting approaches in semi–arid ecosystem. Ecol. Indic. 2021, 121, 107001. [Google Scholar] [CrossRef]
- Vasu, D.; Singh, S.K.; Ray, S.K.; Duraisami, V.P.; Tiwary, P.; Chandran, P.; Nimkar, A.M.; Anantwar, S.G. Soil quality index (SQI) as a tool to evaluate crop productivity in semi-arid Deccan plateau, India. Geoderma 2016, 282, 70–79. [Google Scholar] [CrossRef]
- Askari, M.S.; Holden, N.M. Indices for quantitative evaluation of soil quality under grassland management. Geoderma 2014, 230, 131–142. [Google Scholar] [CrossRef]
- Qiao, Y.; Zhong, X.; Miao, S. Evaluation indicators of soil quality in plough layer of aeolian sandy land in northeast China based on minimum data set. J. Soil Water Conserv. 2019, 26, 132–138. [Google Scholar]
- Bünemann, E.K.; Bongiorno, G.; Bai, Z.; Creamer, R.E. Soil quality—A critical review. Soil Biol Biochem. 2018, 120, 105–125. [Google Scholar] [CrossRef]
- Zhang, Y.; Xu, X.; Li, Z.; Xu, C.; Luo, W. Improvements in soil quality with vegetation succession in subtropical China karst. Sci. Total Environ. 2021, 775, 145876. [Google Scholar] [CrossRef]
- Cotrufo, M.F.; Soong, J.L.; Horton, A.J.; Campbell, E.E.; Haddix, M.L.; Wall, D.H.; Parton, W.J. Formation of soil organic matter via biochemical and physical pathways of litter mass loss. Nat. Geosci. 2015, 8, 776–779. [Google Scholar] [CrossRef]
- Pojasok, T. Assessment of a combination of wet sieving and turbidimetry to characterize the structural stability of moist aggregates. Can. J. Soil Sci. 1989, 70, 33–42. [Google Scholar] [CrossRef]
- Yao, R.; Yang, J.; Zhang, T.; Gao, P.; Yu, S.; Wang, X. Short-term effect of cultivation and crop rotation systems on soil quality indicators in a coastal newly reclaimed farming area. J. Soils Sediments 2013, 13, 1335–1350. [Google Scholar] [CrossRef]
- Ball, B.C. Field assessment of soil structural quality—A development of the Peerlkamp test. Soil Use Manag. 2007, 23, 329–337. [Google Scholar] [CrossRef]
- Guimarães, R.M.L.; Ball, B.C.; Tormena, C.A. Improvements in the visual evaluation of soil structure. Soil Use Manag. 2011, 27, 395–403. [Google Scholar] [CrossRef]
- Masto, R.E.; Chhonkar, P.K.; Singh, D.; Patra, A.K. Alternative soil quality indices for evaluating the effect of intensive cropping, fertilisation and manuring for 31 years in the semi–arid soils of India. Environ. Monit. Assess. 2008, 136, 419–435. [Google Scholar] [CrossRef] [PubMed]
- Li, P.; Zhang, T.; Wang, X.; Yu, D. Development of biological soil quality indicator system for subtropical China. Soil Till Res. 2013, 126, 112–118. [Google Scholar] [CrossRef]
- Wang, Y.; Sun, J.; Liu, Z.; Qiao, Y.; Zhang, X. Soil fertility quality assessment of Magnolia officinalis communities in Qinba mountains. Acta Ecol. Sin. 2015, 36, 5133–5141. [Google Scholar]
- Wang, H.; Li, J.; Zheng, W. Soil stoichiometric characteristics in the timberline ecotone of Abies georgei var. smithii forest in Sejila Mountain. J. West China For. Sci. 2022, 51, 161–168. [Google Scholar]
- Zhang, Z.; Han, J.; Yin, H.; Xue, J.; Jia, L.; Zhen, X.; Chang, J.; Wang, S.; Yu, B. Assessing the effects of different long-term ecological engineering enclosures on soil quality in an alpine desert grassland area. Ecol. Indic. 2022, 143, 109426. [Google Scholar] [CrossRef]
- Liu, X.; Wang, Y.; Lv, M.; Sun, Y.; Yang, W.; Zhao, J. Soil quality assessment of alpine grassland in permafrost regions of Tibetan Plateau based on principal component analysis. J. Glaciol. Geocryol. 2018, 40, 469–479. [Google Scholar]
- Ran, W.; Xie, Y.; Hao, M. Study on change of soil water in orchards of different planting–life in gully region of Loess Plateau. Acta Agr. Boreali-Occident. Sin. 2008, 17, 229–233. [Google Scholar]
- Zhu, W.; Niu, J.; Liu, G.; Liang, H. The influence of vegetation types on the soil moistures during growing season in Loess area. J. Arid Land Resour. Environ. 2016, 30, 152–156. [Google Scholar]
- Zhu, Z.; Zhu, T.; Yang, L.; Luo, L.; Xie, Y. The spatial relationship between soil alkeline–nitrogen content and environmental factors in China. Ecol. Environ. Sci. 2019, 28, 2199–2207. [Google Scholar]
- Ren, J.; Xu, G.; Li, X.; Lin, H.; Tang, Z. Trajectory and prospect of China’s prataculture. Chin. Sci. Bull. 2016, 61, 178–192. (In Chinese) [Google Scholar]
- Lin, L.; Li, B.; Fan, B.; Lan, Y.; Si, M. Response and adaptation of plant community in alpine Kobresia meadow to different grazing intensities. Chin. J. Grassl. 2022, 44, 19–30. [Google Scholar]
- Lin, L.; Li, Y.; Zhang, F.; Du, Y.; Guo, X.; Li, J.; Liu, S.; Cao, G. Soil nitrogen and phosphorus stoichiometry in a degradation series of Kobresia humulis meadows in the Tibetan Plateau. Acta Ecol. Sin. 2013, 33, 5245–5251. [Google Scholar] [CrossRef]







| Ecological Engineering | Longitude | Latitude | Vegetation Abundance (Number) | Vegetation Coverage (%) | Soil Type | Soil Texture (%) | ||
|---|---|---|---|---|---|---|---|---|
| Clay | Silt | Sand | ||||||
| Control | 93.1484° E | 31.6649° N | 1000 | 35 | cambisols | 4.5 | 56.8 | 38.7 |
| FE7 | 93.1477° E | 31.6656° N | 2000 | 80 | cambisols | 5.9 | 62.3 | 31.8 |
| FE11 | 93.1483° E | 31.6663° N | 6800 | 90 | cambisols | 5.1 | 61.7 | 33.2 |
| SWC | BD | CP | NCP | SOM | TN | TP | TK | AN | SQI | |
|---|---|---|---|---|---|---|---|---|---|---|
| FET | 20.612 *** | 2.091 | 1.788 | 0.445 | 2.028 | 0.476 | 7.206 ** | 3.868 * | 23,578 *** | 0.939 |
| SD | 2.139 | 0.342 | 0.067 | 1.665 | 9.994 *** | 12.294 *** | 4.733 * | 0.897 | 5798 *** | 11.423 *** |
| FET × SD | 3.648 * | 1.872 | 1.187 | 13.677 *** | 4.905 ** | 7.878 *** | 1.265 | 0.299 | 1525 *** | 8.509 *** |
| Soil Properties | Principal Components | Communalities | Group | |||
|---|---|---|---|---|---|---|
| 1 | 2 | 3 | 4 | |||
| Soil water content (%) | 0.148 | 0.281 | −0.201 | 0.132 | 0.815 | |
| Soil bulk density (g/cm3) | −0.173 | 0.216 | 0.202 | −0.455 | 0.775 | |
| Capillary porosity (%) | −0.033 | 0.542 | 0.162 | 0.002 | 0.877 | 2 |
| Non-capillary porosity (%) | −0.18 | 0.303 | 0.044 | 0.542 | 0.822 | 4 |
| Soil organic matter (%) | 0.486 | −0.113 | −0.094 | −0.005 | 0.92 | 1 |
| Total nitrogen (%) | 0.401 | 0.092 | 0.195 | −0.097 | 0.863 | |
| Total phosphorus (%) | 0.158 | −0.192 | 0.279 | 0.062 | 0.648 | |
| Total potassium (%) | −0.018 | 0.181 | 0.581 | −0.112 | 0.782 | 3 |
| Alkali-hydrolyzable nitrogen (mg/kg) | −0.071 | −0.038 | 0.266 | 0.322 | 0.709 | |
| Eigenvalues | 2.49 | 2.085 | 1.411 | 1.224 | ||
| Explanation | 27.668 | 23.172 | 15.682 | 13.605 | ||
| Explained variation | 27.668 | 50.84 | 66.522 | 80.127 | ||
| SWC | BD | CP | NCP | SOM | TN | TP | TK | AN | |
|---|---|---|---|---|---|---|---|---|---|
| SWC | 1 | ||||||||
| SBD | −0.117 | 1 | |||||||
| CP | 0.605 ** | 0.23 | 1 | ||||||
| NCP | 0.211 | −0.266 | 0.186 | 1 | |||||
| SOM | 0.434 * | −0.297 | 0.122 | −0.089 | 1 | ||||
| TN | 0.277 | −0.055 | 0.354 | −0.04 | 0.774 ** | 1 | |||
| TP | −0.276 | −0.237 | −0.359 | 0.059 | 0.136 | 0.181 | 1 | ||
| TK | −0.234 | 0.04 | 0.053 | −0.028 | −0.072 | 0.195 | 0.398 * | 1 | |
| AN | −0.451 * | −0.345 * | −0.218 | 0.3 | −0.079 | 0 | 0.362 * | 0.292 | 1 |
| Soil Properties | Communalities | Weights |
|---|---|---|
| Capillary porosity (%) | 0.877 | 0.2579 |
| Non-capillary porosity (%) | 0.822 | 0.2417 |
| Soil organic matter (%) | 0.92 | 0.2705 |
| Total potassium (%) | 0.782 | 0.2299 |
Disclaimer/Publisher’s Note: The statements, opinions and data contained in all publications are solely those of the individual author(s) and contributor(s) and not of MDPI and/or the editor(s). MDPI and/or the editor(s) disclaim responsibility for any injury to people or property resulting from any ideas, methods, instructions or products referred to in the content. |
© 2023 by the authors. Licensee MDPI, Basel, Switzerland. This article is an open access article distributed under the terms and conditions of the Creative Commons Attribution (CC BY) license (https://creativecommons.org/licenses/by/4.0/).
Share and Cite
Wang, Z.; Jia, L.; Yang, L.; Guo, Z.; Sang, W.; Lu, L.; Xiao, C. Assessment of the Effects of Fencing Enclosure on Soil Quality Based on Minimum Data Set in Biru County of the Qinghai–Tibet Plateau, China. Agronomy 2023, 13, 1558. https://doi.org/10.3390/agronomy13061558
Wang Z, Jia L, Yang L, Guo Z, Sang W, Lu L, Xiao C. Assessment of the Effects of Fencing Enclosure on Soil Quality Based on Minimum Data Set in Biru County of the Qinghai–Tibet Plateau, China. Agronomy. 2023; 13(6):1558. https://doi.org/10.3390/agronomy13061558
Chicago/Turabian StyleWang, Zijia, Lizhi Jia, Linyan Yang, Zihao Guo, Weiguo Sang, Lu Lu, and Chunwang Xiao. 2023. "Assessment of the Effects of Fencing Enclosure on Soil Quality Based on Minimum Data Set in Biru County of the Qinghai–Tibet Plateau, China" Agronomy 13, no. 6: 1558. https://doi.org/10.3390/agronomy13061558
APA StyleWang, Z., Jia, L., Yang, L., Guo, Z., Sang, W., Lu, L., & Xiao, C. (2023). Assessment of the Effects of Fencing Enclosure on Soil Quality Based on Minimum Data Set in Biru County of the Qinghai–Tibet Plateau, China. Agronomy, 13(6), 1558. https://doi.org/10.3390/agronomy13061558

