Changes in Drip Irrigation Water Distribution Patterns Improve Fruit Quality and Economic Water Productivity in Early-Season Lemon Trees
Abstract
1. Introduction
2. Materials and Methods
2.1. Background Introduction, Experimental Conditions and Plant Material
2.2. Measurement
- YFHsi = Yield in first harvest (sizes 1 to 7);
- YSHsi = Yield in second harvest (sizes 1 to 7);
- YIN = Yield to industry;
- PrFHsi = Lemon price in first harvest per size (sizes 1 to 7);
- PrSHsi = Lemon price in second harvest per size (sizes 1 to 7);
- PrIN = Lemon price for industry.
2.3. Statistical Analysis
3. Results
3.1. Climate Data, Applied Irrigation Water and Soil Water Content
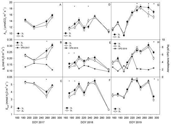
3.2. Plant and Fruit Water Relations and Leaf Gas Exchange
3.3. Leaf Mineral Nutrition
3.4. Yield
3.5. Fruit Quality
3.6. Technical Water Productivity and Economic Water Productivity
4. Discussion
5. Conclusions
Supplementary Materials
Author Contributions
Funding
Data Availability Statement
Acknowledgments
Conflicts of Interest
References
- FAOSTAT. Available online: https://www.fao.org/faostat/es/#home. (accessed on 23 March 2022).
- MAPA. Anuario de Estadística Agraria 2019. Ministerio de Agricultura, Pesca y Alimentación. Available online: https://www.mapa.gob.es/es/ (accessed on 23 March 2022).
- AILIMPO. Asociación Interprofesional de Limón y Pomelo. Available online: https://www.ailimpo.com/categoria_memorias/memorias/ (accessed on 23 March 2022).
- IPCC. Climate Change: Synthesis Report. Contribution of Working Groups I, II and III to the Fifth Assessment Report of the Intergovernmental Panel on Climate Change; Pachauri, R.K., Meyer, L.A., Eds.; IPCC: Geneva, Switzerland, 2014; p. 151. [Google Scholar]
- CEDEX. Evaluation of the Climate Change Impact on Water Resources and Droughts in Spain; Technical Report 42-415-0-001; Centre for Studies and Experimentation in Public Works: Madrid, Spain, 2017; p. 320. [Google Scholar]
- García-Tejero, I.F.; Durán-Zuazo, V.H.; Muriel-Fernández, J.L. Towards sustainable irrigated Mediterranean agriculture: Implications for water conservation in semi-arid environments. Water Int. 2014, 39, 635–648. [Google Scholar] [CrossRef]
- Syvertsen, J.P.; Lloyd, J.J. Citrus. In Handbook of Environmental Physiology of Fruit Crops; Volume II: Subtropical and Tropical Crops; Schaffer, B., Andersen, P.C., Eds.; CRC Press: Boca Raton, FL, USA, 1994; pp. 65–99. [Google Scholar]
- Gliński, J.; Horabik, J.; Lipiec, J. Encyclopedia of Agrophysics. Encyclopedia of Earth Sciences Series; Springer: Dordrecht, The Netherlands, 2011. [Google Scholar] [CrossRef]
- Pérez-Pérez, J.G.; Dodd, I.C.; Botía, P. Partial rootzone drying increases water-use efficiency of lemon ‘Fino 49’ trees independently of root-to-shoot ABA signalling. Funct. Plant Biol. 2012, 39, 366–378. [Google Scholar] [CrossRef]
- Espadafor, M.; Orgaz, F.; Testi, L.; Lorite, I.J.; García-Tejera, O.; Villalobos, F.J.; Fereres, E. Almond tree response to a change in wetted soil volume under drip irrigation. Agric. Water Manag. 2018, 202, 57–65. [Google Scholar] [CrossRef]
- Fereres, E.; Soriano, M.A. Deficit irrigation for reducing agricultural water use. J. Exp. Bot. 2006, 58, 147–159. [Google Scholar] [CrossRef]
- Agustí, M. Citricultura, 2nd ed.; Mundi-Prensa: Madrid, España, 2003; p. 422. [Google Scholar]
- Pereira, L.S.; De Juan, J.A.; Picornell, M.R.; Tarjuelo, J.M. El Riego y Sus Tecnologías; Centro Regional de Estudios del Agua, Universidad de Castilla La Mancha: Ciudad Real, Spain, 2010; p. 296. Available online: https://www.researchgate.net/publication/272171215_El_riego_y_sus_tecnologias (accessed on 23 March 2022).
- Soler-Fayos, G.; Soler-Aznar, J. Cítricos. Variedades y Técnicas de Cultivo, 1st ed.; Mundi-Prensa: Madrid, Spain, 2006; p. 242. [Google Scholar]
- Moya Talens, J.A. Manual Básico de Cultivo Localizado. Riego y Fertirrigación, 1st ed.; Mundi-Prensa: Madrid, Spain, 2017; p. 638. [Google Scholar]
- Robles, J.M.; Botía, P.; Pérez-Pérez, J.G. Subsurface drip irrigation affects trunk diameter fluctuations in lemon trees, in comparison with surface drip irrigation. Agric. Water Manag. 2016, 165, 11–21. [Google Scholar] [CrossRef]
- Robles, J.M.; Botía, P.; Pérez-Pérez, J.G. Sour orange rootstock increases water productivity in deficit irrigated ‘Verna’ lemon trees compared with Citrus macrophylla. Agric. Water Manag. 2017, 186, 98–107. [Google Scholar] [CrossRef]
- Parra, M.; Hortelano, D.; García-Sánchez, F.; Intrigliolo, D.S.; Rubio-Asensio, J.S. Effects of Drip Irrigation Design on a Lemon and a Young Persimmon Orchard in Semi-Arid Conditions. Water 2021, 13, 1795. [Google Scholar] [CrossRef]
- Sinclair, W.B. The Biochemistry and Physiology of the Lemon and Other Citrus Fruits; University of California. Division of Agriculture and Natural Resources: Riverside, CA, USA, 1984; p. 946. [Google Scholar]
- Van Dael, M.; Lebotsa, S.; Herremans, E.; Verboven, P.; Sijbers, J.; Opara, U.L.; Cronje, P.J.; Nicolaï, B.M. A segmentation and classification algorithm for online detection of internal disorders in citrus using X-ray radiographs. Postharvest Biol. Technol. 2015, 112, 205–214. [Google Scholar] [CrossRef]
- Agustí, M. Alteraciones Fisiológicas de Los Frutos Cítricos, 1st ed.; Centro de publicaciones del Ministerio de Agricultura, Pesca y Alimentación: Ciudad Real, Spain, 2004; p. 126. [Google Scholar]
- Doorenbos, J.; Pruitt, W.O. Crop Water Requirements. FAO Irrigation and Drainage Paper Number 24; FAO: Rome, Italy, 1977; p. 194. [Google Scholar]
- Allen, R.G.; Pereira, L.S.; Raes, D.; Smith, M. Crop Evapotranspiration. In Guidelines for Computing Crop Water Requirements; Irrigation and Drainage Paper 56; FAO: Rome, Italy, 1998. [Google Scholar]
- Fereres, E.; Pruitt, W.O.; Beutel, J.A.; Henderson, D.W.; Holzapfel, E.; Schulbach, H.; Uriu, K. Evapotranspiration and drip irrigation scheduling. In Drip Irrigation Management; University of California, Division of Agricultural Science: Davis, CA, USA, 1981; pp. 8–13. [Google Scholar]
- Brouwer, C.; Heibloem, M. Irrigation Water Management: Irrigation Water Needs—Training Manual No. 3; FAO: Rome, Italy, 1986. [Google Scholar]
- Boletín Oficial de la Región de Murcia (BORM) núm 106, 2002, Orden del 24 de abril de 2002. In Por la Que se Regulan las Normas Técnicas de Producción Integrada en el Cultivo de Cítricos; Suplemento núm 1 del BORM 9 de mayo de 2002; Consejería de Agricultura, Agua y Medio Ambiente: Murcia, Spain, 2002; pp. 188–207.
- McCutchan, H.; Shackel, K.A. Stem-water potential as a sensitive indicator of water stress in prune trees (Prunus domestica L. cv French). J. Am. Soc. Hortic. Sci. 1992, 117, 607–611. [Google Scholar] [CrossRef]
- Turner, N.C. Measurements of plant water status by pressure chamber technique. Irrig. Sci. 1988, 9, 289–308. [Google Scholar] [CrossRef]
- Von Caemmerer, S.; Farquhar, G.D. Some relationships between the biochemistry of photosynthesis and the gas exchange of leaves. Planta 1981, 153, 376–387. [Google Scholar] [CrossRef]
- Sinclair, T.R.; Allen, L.H. Carbon dioxide and water vapour exchange of leaves on field-grown citrus trees. J. Exp. Bot. 1982, 33, 1166–1175. [Google Scholar] [CrossRef]
- Syvertsen, J.P. Light acclimation in citrus leaves. II. CO2 assimilation and light, water and nitrogen use efficiency. J. Am. Soc. Hortic. Sci. 1984, 109, 812–817. [Google Scholar] [CrossRef]
- Ribeiro, R.; Machado, C. Some aspects of citrus ecophysiology in subtropical climates: Re-visiting photosynthesis under natural conditions. Braz. J. Plant Physiol. 2007, 19, 393–411. [Google Scholar] [CrossRef]
- CIRAD (Observatorio de Mercados). FruiTrop Magazine Focus Especial Limón; Cirad: Montpellier, Italy, 2013; p. 140. [Google Scholar]
- García García, J. Análisis del Sector del Limonero y Evaluación Económica de su Cultivo; Consejería de Agricultura y Agua: Murcia, Spain, 2014; p. 142. [Google Scholar]
- Tejero, I.G.; Zuazo, V.H.; Bocanegra, J.A.; Fernández, J.L. Improved water-use efficiency by deficit-irrigation programmes: Implications for saving water in citrus orchards. Sci. Hortic. 2011, 128, 274–282. [Google Scholar] [CrossRef]
- García García, J.; Contreras, F.; Usai, D.; Visani, C. Economic Assesment and Socio Economic Evaluation of Water Use Efficiency in Artichoke Cultivation. Open J. Account. 2013, 2, 45–52. [Google Scholar] [CrossRef]
- Fernández, J.E.; Alcón, F.; Diaz-Espejo, A.; Hernández-Santana, V.; Cuevas, M.V. Water use indicators and economic analysis for on-farm irrigation decision: A case study of a super high density olive tree orchard. Agric. Water Manag. 2020, 237, 106074. [Google Scholar] [CrossRef]
- Brotons, J.M.; Manera, F.J.; Conesa, A.; Porras, I. Study on maximising profits obtained by lemon-producers based on fruit harvesting time. ITEA-Infor. Téc. Econ. Agrar. 2015, 111, 384–401. [Google Scholar] [CrossRef]
- Bajpai, A. and Kaushal A. Soil moisture distribution under trickle irrigation: A review. Water Supply 2020, 20, 761–772. [Google Scholar] [CrossRef]
- Skagss, T.H.; Trout, T.J.; Rothfuss, Y. Drip irrigation water distribution patterns: Effects of emitter rate, pulsing and antecedent water. Soil Sci. Soc. Am. J. 2010, 74, 1886–1896. [Google Scholar] [CrossRef]
- Castle, W.S. Citrus root systems: Their structure, function, growth and relationship to tree performance. Proc. Int. Soc. Citric. 1987, 1, 315–324. [Google Scholar]
- Monge, M.A. Diseño Agronómico e Hidráulico de Riegos Agrícolas a Presión; Ministerio de Agricultura y Pesca, Alimentación y Medio Ambiente, España: Madrid, Spain, 2018; p. 633. [Google Scholar]
- Holzapfel, E.; Jara, J.; Coronata, A.M. Number of drip laterals and irrigation frequency on yield and exportable fruit size of highbush blueberry grown in a sandy soil. Agric. Water Manag. 2015, 148, 207–212. [Google Scholar] [CrossRef]
- Lecaros-Arellano, F.; Holzapfel, E.; Fereres, E.; Rivera, D.; Muñoz, N.; Jara, J. Effects of the number of drip laterals on yield and quality of apples grown in two soil types. Agric. Water Manag. 2021, 248, 106781. [Google Scholar] [CrossRef]
- Fernandes, R.D.M.; Egea, G.; Hernández-Santana, V.; Díaz-Espejo, A.; Fernández, J.E.; Pérez-Martín, A.; Cuevas, M.V. Response of vegetative and fruit growth to the soil volume wetted by irrigation in a super-high-density olive orchard. Agric. Water Manag. 2021, 258, 107197. [Google Scholar] [CrossRef]
- Conesa, M.R.; Conejero, W.; Vera, J.; Agulló, V.; García-Viguera, C.; Ruiz-Sánchez, M.C. Irrigation management practices in nectarine fruit quality at harvest and after cold storage. Agric. Water Manag. 2021, 243, 106519. [Google Scholar] [CrossRef]
- Syvertsen, J.P. Integration of water stress in fruit trees. Hortscience 1985, 20, 1039–1043. [Google Scholar] [CrossRef]
- Cohen, S.; Moreshet, S.; Le Guillou, L.; Simon, J.C.; Cohen, M. Response of citrus trees to modified radiation regime in semi-arid conditions. J. Exp. Bot. 1997, 48, 35–44. [Google Scholar] [CrossRef]
- Allen, L.H.; Vu, J.C.V. 2009. Carbon dioxide and high temperature effects on growth of young orange trees in a humid, subtropical environment. Agric. For. Meteorol. 2009, 149, 820–830. [Google Scholar] [CrossRef]
- Romero-Trigueros, C.; Gambín, J.M.B.; Nortes Tortosa, P.A.; Cabañero, J.J.A.; Nicolás Nicolás, E. Isohydricity of Two Different Citrus Species under Deficit Irrigation and Reclaimed Water Conditions. Plants. 2021, 10, 2121. [Google Scholar] [CrossRef]
- Martínez-Gimeno, M.A.; Bonet, L.; Provenzano, G.; Badal, E.; Intrigliolo, D.S.; Ballester, C. Assessment of yield and water productivity of clementine trees under surface and subsurface drip irrigation. Agric. Water Manag. 2018, 206, 209–216. [Google Scholar] [CrossRef]
- Flexas, J.; Medrano, H. Drought-inhibition of photosynthesis in C3 plants: Stomatal and non-stomatal limitations revisited. Ann. Bot. 2002, 89, 183–189. [Google Scholar] [CrossRef] [PubMed]
- Rodríguez, P.; Galindo Egea, A.; Collado-González, J.; Medina, S.; Corell, M.; Memmi, H.; Girón, I.F.; Centeno, A.; Martín-Palomo, M.J.; Cruz, Z.N.; et al. Fruit Response to Water-scarcity Scenarios: Water Relations and Biochemical Changes. In Water Scarcity and Sustainable Agriculture in Semiarid Environment: Tools, Strategies, and Challenges for Woody Crops, 1st ed.; Garcia Tejero, I.F., Duran Zuazo, V.H., Eds.; Elsevier: Amsterdam, The Netherlands, 2018; pp. 349–375. [Google Scholar] [CrossRef]
- Matthews, M.A.; Shackel, K.A. Growth and water transport in fleshy fruit. In Vascular Transport in Plants; Holbrook, N.M., Zwieniecki, M.A., Eds.; Elsevier: Boston, MA, USA, 2005; pp. 189–197. [Google Scholar] [CrossRef]
- Bartholomew, E. Endoxerosis or Internal Decline of Lemon Fruits. Calif. Agri. Exp. Stn. Bull. 1937, 605, 1–42. [Google Scholar]
- Cabeza, R.A.; Claassen, N. Crop root system: Extension, distribution and growth. Agro. Sur. 2017, 45, 31–45. [Google Scholar] [CrossRef]
- Martínez Alcántara, B. Estudio de la Absorción y Translocación del Nitrógeno en Cítricos en Función del Aporte Estacional del Abono Nitrogenado, Mediante la Técnica de Dilución Isotópica. Ph.D. Thesis, Universidad Politécnica de Valencia, Valencia, Spain, 2010; p. 276. [Google Scholar]
- Abbas, F.; Fares, A. Best Management Practices in Citrus Cultivation. Tree For. Sci. and Biotech. 2009, 3, 1–11. [Google Scholar]
- Embleton, T.W.; Jones, W.W. Nitrogen fertilizer management programs, nitrate pollution potential and orange productivity. In Nitrogen in Environment; Nielsen, D.R., MacDonald, T.G., Eds.; Academy Press: Cambridge, MA, USA, 1978; pp. 275–297. [Google Scholar]
- Grossman, Y.L.; Dejong, T.M. Peach: A simulation model of reproductive and vegetative growth in peach trees. Tree Physiol. 1994, 14, 329–345. [Google Scholar] [CrossRef] [PubMed]
- Gispert, J.R.; Ramírez de Cartagena, F.; Villar, J.M.; Girona, J. Wet soil volume and strategy effects on drip-irrigated olive trees (cv. ‘Arbequina’). Irrig. Sci. 2013, 31, 479–489. [Google Scholar] [CrossRef]
- Gispert, J.R.; Ramírez de Cartagena, F.; Villar, J.M.; Rufat, J.; Batlle, I. Effect of the number of drippers and irrigation frequency on production, fruit quality and water productivity in a high-density apple orchard. ITEA-Infor. Téc. Econ. Agrar. 2017, 113, 20–35. [Google Scholar] [CrossRef]
- Gispert, J.R.; Ramírez de Cartagena, F.; Villar, J.M.; Rovira, M. Effect of wet soil volume in microirrigation for hazelnut production (Corylus avellana L.). ITEA-Infor. Téc. Econ. Agrar. 2015, 111, 109–126. [Google Scholar] [CrossRef]
- Bevington, K.B.; Castle, W.S. Annual root growth pattern of young citrus trees in relation to shoot growth, soil temperature and soil water content. J. Am. Soc. Hortic. Sci. 1985, 110, 840–845. [Google Scholar] [CrossRef]
- Legaz, F.; Bañuls, J.; Primo-Millo, E. Influencia del abonado en la calidad del fruto. Levante Agrícola 2000, 350, 12–17. [Google Scholar]
- Martín-Gorriz, B.; Martínez-Barba, C.; Torregrosa, A. Lemon trees response to different long-term mechanical and manual pruning practices. Sci. Hortic. 2021, 275, 109700. [Google Scholar] [CrossRef]
- Colino, J.; Martínez-Paz, J.M. El agua en la agricultura del sureste español. In La Agricultura Mediterránea en el Siglo XXI; Instituto Cajamar: Almeria, Spain, 2002; pp. 199–221. [Google Scholar]
- Panigrahi, P.; Sharma, R.K.; Parihar, S.S.; Hasan, M.; Rana, D.S. Economic analysis of drip-irrigated kinnow mandarin orchard under deficit irrigation and partial root zone drying. Irrig. Drain. 2013, 62, 67–73. [Google Scholar] [CrossRef]





| Season | ETo (mm) | P (mm) | Irrigation System (mm) | |
|---|---|---|---|---|
| 2L | 3L | |||
| 2017 | 1264 | 165 | 605 | 609 |
| 2018 | 1246 | 400 | 590 | 594 |
| 2019 | 1192 | 512 | 536 | 545 |
| Average 2017–2019 | 1234 | 359 | 577 | 583 |
| Type of Fruit | 2017 | 2018 | 2019 | 2017–2019 |
|---|---|---|---|---|
| First harvest | 0.47 | 0.30 | 0.53 | 0.43 |
| Second harvest | 0.36 | 0.23 | 0.34 | 0.31 |
| Industry | 0.14 | 0.20 | 0.03 | 0.12 |
| Annual average | 0.32 | 0.24 | 0.30 | 0.29 |
| Irrigation System | N (%) | P (%) | K (%) | Ca (%) | Mg (%) | Na (%) | Cl (%) | Fe (ppm) | Cu (ppm) | Mn (ppm) | Zn (ppm) |
|---|---|---|---|---|---|---|---|---|---|---|---|
| 2019 | |||||||||||
| 2L | 2.74b | 0.11a | 0.62 | 3.62 | 0.37 | 0.08 | 0.18 | 120b | 18 | 28a | 30 |
| 3L | 3.06a | 0.10b | 0.55 | 3.84 | 0.34 | 0.08 | 0.18 | 138a | 19 | 21b | 30 |
| ANOVA | ** | *** | ns | ns | ns | ns | ns | ** | ns | * | ns |
| First Harvest | Second Harvest | TOTAL | ||||||||||||||
|---|---|---|---|---|---|---|---|---|---|---|---|---|---|---|---|---|
| Non-Affected Fruits | Affected Fruits | Total | ||||||||||||||
| Irrigation System | Yield (kg tree−1) | Fruit Load (n°. fruits tree−1) | Fruit Weigh (g fruit−1) | Yield (kg tree−1) | Fruit Load (n°. fruits tree−1) | Fruit Weight (g fruit−1) | Yield (kg tree−1) | Fruit Load (n°. fruits tree−1) | Fruit Weight (g fruit−1) | Yield (kg tree−1) | Fruit Load (n°. fruits tree−1) | Fruit Weight (g fruit−1) | Yield (kg tree−1) | Fruit Load (n°. fruits tree−1) | Fruit Weight (g fruit−1) | Number of Fruits Affected with Regard to TOTAL (%) |
| 2017 | ||||||||||||||||
| 2L | 67.7 | 515 | 134.6 | 44.2 a | 424 a | 104.5 | 111.8 | 939 | 120.9 | 57.5 | 541 | 106.8 | 169.3 | 1481 | 115.4 | 27.5 a |
| 3L | 83.5 | 642 | 129.7 | 29.9 b | 278 b | 106.4 | 113.4 | 920 | 121.9 | 63.8 | 581 | 109.1 | 177.2 | 1501 | 117.8 | 18.1 b |
| ANOVA | ns | ns | ns | * | * | ns | ns | ns | ns | ns | ns | ns | ns | ns | ns | ** |
| 2018 | ||||||||||||||||
| 2L | 49.4 b | 367 b | 134.9 | 34.7 | 289 | 119.9 b | 84.1 b | 655 | 128.4 b | 47.3 | 419 a | 113.1 | 131.4 | 1075 | 122.1b | 27.0 |
| 3L | 65.2 a | 462 a | 141.6 | 35.5 | 277 | 127.9 a | 100.6 a | 739 | 136.1 a | 37.4 | 323 b | 115.2 | 138.0 | 1062 | 130.0a | 26.3 |
| ANOVA | * | * | ns | ns | ns | * | * | ns | ** | ns | * | ns | ns | ns | ** | ns |
| 2019 | ||||||||||||||||
| 2L | 48.5 b | 355 b | 136.5 | 18.3 | 143 | 128.8 | 66.8 b | 498 b | 134.2 | 27.8 | 239 | 118.5 | 94.6 | 737 | 129.4 | 19.0 |
| 3L | 62.4 a | 457 a | 137.0 | 17.5 | 129 | 134.9 | 79.8 a | 586 a | 136.6 | 24.5 | 205 | 123.6 | 104.3 | 790 | 132.9 | 17.3 |
| ANOVA | * | * | ns | ns | ns | ns | * | * | ns | ns | ns | ns | ns | ns | ns | ns |
| 2017–2019 | ||||||||||||||||
| 2L | 165.6 b | 1237 b | 133.9 | 97.2 | 856 b | 113.6 b | 262.7 | 2092 | 125.6 | 132.6 | 1199 | 110.6 | 395.3 | 3292 | 120.1 | 25.8 a |
| 3L | 211.1 a | 1561 a | 135.2 | 82.9 | 684 a | 121.2 a | 293.8 | 2244 | 130.9 | 125.7 | 1109 | 113.3 | 419.6 | 3353 | 125.1 | 20.4 b |
| ANOVA | * | * | ns | ns | * | * | ns | ns | ns | ns | ns | ns | ns | ns | ns | * |
| Irrigation System | First Harvest | Second Harvest | ||||||||||||||||
|---|---|---|---|---|---|---|---|---|---|---|---|---|---|---|---|---|---|---|
| D. (mm) | E.C.I. | P.Th. (mm) | Juice (%) | Pulp (%) | Peel (%) | TSS (°brix) | T.A. (g L−1) | M.I. | D. (mm) | E.C.I. | P.Th. (mm) | Juice (%) | Pulp (%) | Peel (%) | TSS (°brix) | T.A. (g L−1) | M.I. | |
| 2017 | ||||||||||||||||||
| 2L | 64.0 | −10.2 | 5.32 b | 31.0 | 3.5 | 63.6 | 8.36 | 67.8 b | 1.23 | 61.1 | −0.57 | 5.06 | 32.6 | 3.7 | 60.6 | 8.09 | 64.5 | 1.26 |
| 3L | 63.9 | −9.7 | 5.70 a | 29.4 | 3.6 | 64.6 | 8.38 | 69.9 a | 1.20 | 62.0 | −0.92 | 5.14 | 33.9 | 3.7 | 59.4 | 8.15 | 65.5 | 1.24 |
| ANOVA | ns | ns | * | ns | ns | ns | ns | * | ns | ns | ns | ns | ns | ns | ns | ns | ns | ns |
| 2018 | ||||||||||||||||||
| 2L | 65.9 b | −9.07 | 6.55 | 33.1 | 5.8 | 59.1 | 8.53 | 66.1 | 1.29 | 64.2 | −0.40 | 6.32 | 30.8 | 4.7 | 64.0 | 7.93 | 59.3 | 1.34 |
| 3L | 67.5 a | −9.82 | 6.74 | 33.5 | 5.7 | 58.9 | 8.51 | 66.4 | 1.28 | 63.9 | −0.54 | 6.25 | 32.3 | 4.7 | 62.4 | 7.88 | 61.6 | 1.28 |
| ANOVA | * | ns | ns | ns | ns | ns | ns | ns | ns | ns | ns | ns | ns | ns | ns | ns | ns | ns |
| 2019 | ||||||||||||||||||
| 2L | 62.9 | −11.5 | 5.81 b | 28.7 | 3.8 | 66.7 | 8.37 | 72.6 | 1.15 | 63.0 | −0.28 | 5.58 | 32.8 | 4.5 | 61.6 | 8.07 | 65.5 | 1.23 |
| 3L | 63.3 | −11.4 | 6.08 a | 28.6 | 3.8 | 66.7 | 8.50 | 72.2 | 1.18 | 62.6 | −0.47 | 5.82 | 31.8 | 4.4 | 62.5 | 8.17 | 64.9 | 1.26 |
| ANOVA | ns | ns | * | ns | ns | ns | ns | ns | ns | ns | ns | ns | ns | ns | ns | ns | ns | ns |
| TWP (kg m−3) | ||||
| Irrigation system | 2017 | 2018 | 2019 | Average (2017–2019) |
| 2L | 11.7 | 9.3 | 7.3 | 9.5 |
| 3L | 12.1 | 9.7 | 8.0 | 10.0 |
| ANOVA | ns | ns | ns | ns |
| EWP (EUR m−3) | ||||
| Irrigation system | 2017 | 2018 | 2019 | Average (2017–2019) |
| 2L | 4.38 | 2.49 | 2.81 | 3.23 b |
| 3L | 4.96 | 2.69 | 3.29 | 3.65 a |
| ANOVA | ns | ns | ns | * |
Disclaimer/Publisher’s Note: The statements, opinions and data contained in all publications are solely those of the individual author(s) and contributor(s) and not of MDPI and/or the editor(s). MDPI and/or the editor(s) disclaim responsibility for any injury to people or property resulting from any ideas, methods, instructions or products referred to in the content. |
© 2023 by the authors. Licensee MDPI, Basel, Switzerland. This article is an open access article distributed under the terms and conditions of the Creative Commons Attribution (CC BY) license (https://creativecommons.org/licenses/by/4.0/).
Share and Cite
Robles, J.M.; García-García, J.; Navarro, J.M.; Botía, P.; Pérez-Pérez, J.G. Changes in Drip Irrigation Water Distribution Patterns Improve Fruit Quality and Economic Water Productivity in Early-Season Lemon Trees. Agronomy 2023, 13, 1519. https://doi.org/10.3390/agronomy13061519
Robles JM, García-García J, Navarro JM, Botía P, Pérez-Pérez JG. Changes in Drip Irrigation Water Distribution Patterns Improve Fruit Quality and Economic Water Productivity in Early-Season Lemon Trees. Agronomy. 2023; 13(6):1519. https://doi.org/10.3390/agronomy13061519
Chicago/Turabian StyleRobles, Juan Miguel, José García-García, Josefa María Navarro, Pablo Botía, and Juan Gabriel Pérez-Pérez. 2023. "Changes in Drip Irrigation Water Distribution Patterns Improve Fruit Quality and Economic Water Productivity in Early-Season Lemon Trees" Agronomy 13, no. 6: 1519. https://doi.org/10.3390/agronomy13061519
APA StyleRobles, J. M., García-García, J., Navarro, J. M., Botía, P., & Pérez-Pérez, J. G. (2023). Changes in Drip Irrigation Water Distribution Patterns Improve Fruit Quality and Economic Water Productivity in Early-Season Lemon Trees. Agronomy, 13(6), 1519. https://doi.org/10.3390/agronomy13061519

