Characterization of the CLE Family in Three Nicotiana Species and Potential Roles of CLE Peptides in Osmotic and Salt Stress Responses
Abstract
1. Introduction
2. Materials and Methods
2.1. Plant Materials
2.2. Identification of Tobacco CLE Proteins and Protein Feature Analysis
2.3. Multiple Sequence Alignment and Phylogenetic Analysis
2.4. Expression Analysis of Tobacco CLE Genes
2.5. Exogenous Application of Synthetic NtCLE Peptides under Osmotic Stress and Salinity Stress Conditions
3. Results
3.1. Identification and Sequence Analysis of CLE Proteins in Three Nicotiana Species
3.2. Phylogenetic Analysis and Categorization of Nicotiana CLE Proteins
3.3. Expression of Tobacco CLE Genes in Different Tissues
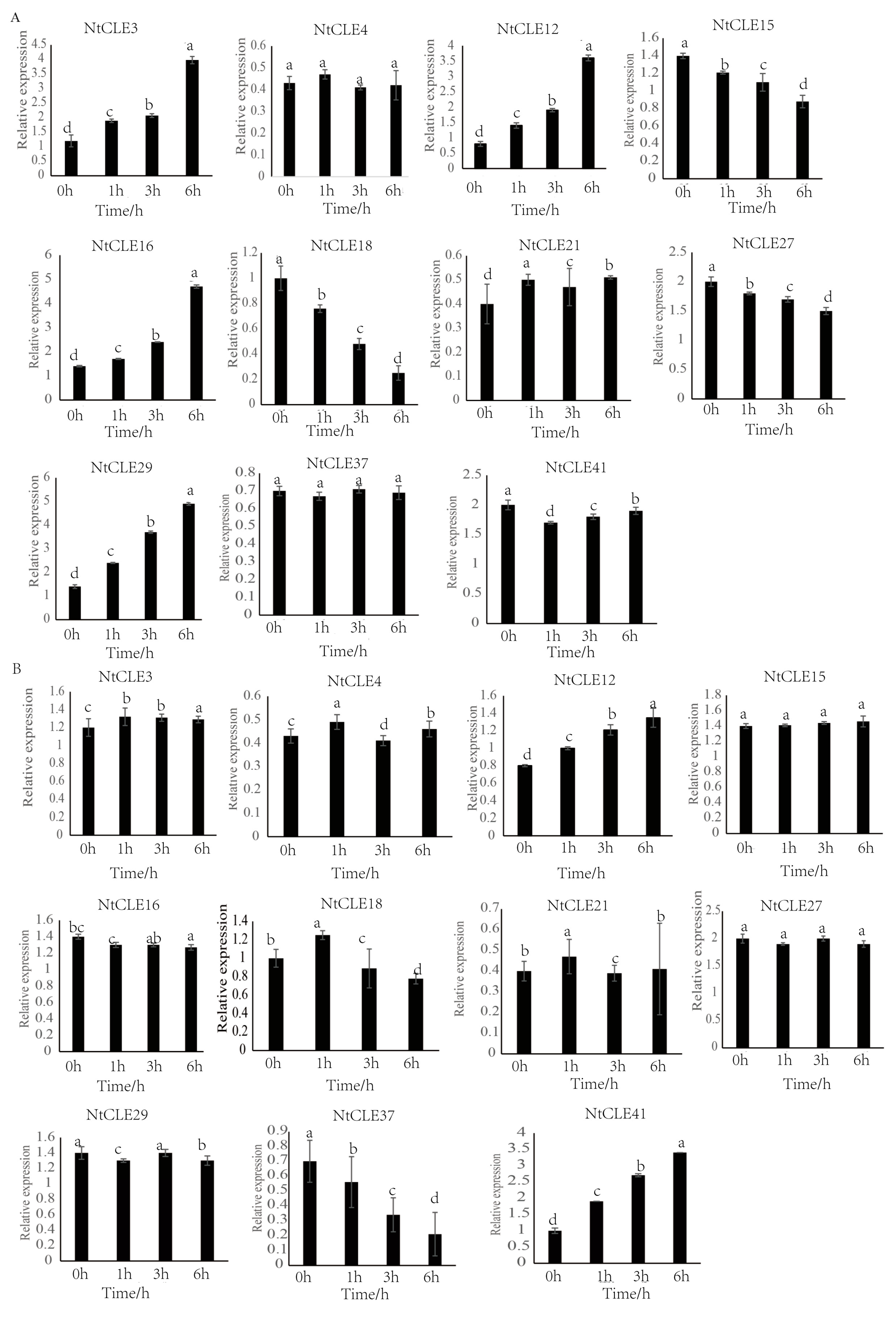
3.4. Expression of Tobacco CLE Genes in Response to Stress Treatments
3.5. Function of NtCLE Peptides in Response to Osmotic Stress and Salinity Stress in Tobacco
4. Discussion
5. Conclusions
Supplementary Materials
Author Contributions
Funding
Data Availability Statement
Conflicts of Interest
References
- Olsson, V.; Joos, L.; Zhu, S.; Gevaert, K.; Butenko, M.A.; De Smet, I. Look Closely, the Beautiful May Be Small: Precursor-Derived Peptides in Plants. Annu. Rev. Plant Biol. 2019, 70, 153–186. [Google Scholar] [CrossRef]
- Pearce, G.; Strydom, D.; Johnson, S.; Ryan, C.A. A Polypeptide from Tomato Leaves Induces Wound-Inducible Proteinase Inhibitor Proteins. Science 1991, 253, 895–897. [Google Scholar] [CrossRef] [PubMed]
- Lease, K.A.; Walker, J.C. The Arabidopsis unannotated secreted peptide database, a resource for plant peptidomics. Plant Physiol. 2006, 142, 831–838. [Google Scholar] [CrossRef] [PubMed]
- Boschiero, C.; Dai, X.; Lundquist, P.K.; Roy, S.; Christian de Bang, T.; Zhang, S.; Zhuang, Z.; Torres-Jerez, I.; Udvardi, M.K.; Scheible, W.R.; et al. MtSSPdb: The Medicago truncatula Small Secreted Peptide Database. Plant Physiol. 2020, 183, 399–413. [Google Scholar] [CrossRef]
- Pan, B.; Sheng, J.; Sun, W.; Zhao, Y.; Hao, P.; Li, X. OrysPSSP: A comparative platform for small secreted proteins from rice and other plants. Nucleic Acids Res. 2013, 41, D1192–D1198. [Google Scholar] [CrossRef] [PubMed]
- Li, Y.L.; Dai, X.R.; Yue, X.; Gao, X.-Q.; Zhang, X.S. Identification of small secreted peptides (SSPs) in maize and expression analysis of partial SSP genes in reproductive tissues. Planta 2014, 240, 713–728. [Google Scholar] [CrossRef]
- Tian, D.; Xie, Q.; Deng, Z.; Xue, J.; Li, W.; Zhang, Z.; Dai, Y.; Zheng, B.; Lu, T.; De Smet, I.; et al. Small secreted peptides encoded on the wheat (Triticum aestivum L.) genome and their potential roles in stress responses. Front. Plant Sci. 2022, 13, 1000297. [Google Scholar] [CrossRef]
- Murphy, E.; Smith, S.; De Smet, I. Small Signaling Peptides in Arabidopsis Development: How Cells Communicate Over a Short Distance. Plant Cell 2012, 24, 3198–3217. [Google Scholar] [CrossRef]
- Gao, X.; Guo, Y. CLE peptides in plants: Proteolytic processing, structure-activity relationship, and ligand-receptor interaction. J. Integr. Plant Biol. 2012, 54, 738–745. [Google Scholar] [CrossRef]
- Fletcher, L.C.; Brand, U.; Running, M.P.; Simon, R.; Meyerowitz, E.M. Signaling of cell fate decisions by CLAVATA3 in Arabidopsis shoot meristems. Science 1999, 283, 1911–1914. [Google Scholar] [CrossRef]
- Opsahl-Ferstad, H.G.; Le Deunff, E.; Dumas, C.; Rogowsky, P.M. ZmEsr, a novel endosperm-specific gene expressed in a restricted region around the maize embryo. Plant J. Cell Mol. Biol. 1997, 12, 235–246. [Google Scholar] [CrossRef] [PubMed]
- Willoughby, A.C.; Nimchuk, Z.L. WOX going on: CLE peptides in plant development. Curr. Opin. Plant Biol. 2021, 63, 102056. [Google Scholar] [CrossRef]
- Xie, H.; Zhao, W.; Li, W.; Zhang, Y.; Hajný, J.; Han, H. Small signaling peptides mediate plant adaptions to abiotic environmental stress. Planta 2022, 255, 72. [Google Scholar] [CrossRef]
- Carbonnel, S.; Falquet, L.; Hazak, O. Deeper genomic insights into tomato CLE genes repertoire identify new active peptides. BMC Genom. 2022, 23, 756. [Google Scholar] [CrossRef]
- Gancheva, M.S.; Losev, M.R.; Gurina, A.A.; Poliushkevich, L.O.; Dodueva, I.E.; Lutova, L.A. Polymorphism of CLE gene sequences in potato. Vavilovskii Zh Genet. 2021, 25, 746–753. [Google Scholar] [CrossRef] [PubMed]
- Han, S.; Khan, M.H.U.; Yang, Y.; Zhu, K.; Li, H.; Zhu, M.; Amoo, O.; Khan, S.U.; Fan, C.; Zhou, Y. Identification and comprehensive analysis of the CLV3/ESR-related (CLE) gene family in Brassica napus L. Plant Biol. 2020, 22, 709–721. [Google Scholar] [CrossRef] [PubMed]
- Han, H.; Zhang, G.; Wu, M.; Wang, G. Identification and characterization of the Populus trichocarpa CLE family. BMC Genom. 2016, 17, 174. [Google Scholar] [CrossRef] [PubMed]
- Wan, K.; Lu, K.; Gao, M.; Zhao, T.; He, Y.; Yang, D.L.; Tao, X.; Xiong, G.; Guan, X. Functional analysis of the cotton CLE polypeptide signaling gene family in plant growth and development. Sci. Rep. 2021, 11, 5060. [Google Scholar] [CrossRef] [PubMed]
- Qin, N.; Gao, Y.; Cheng, X.; Yang, Y.; Wu, J.; Wang, J.; Li, S.; Xing, G. Genome-wide identification of CLE gene family and their potential roles in bolting and fruit bearing in cucumber (Cucumis sativus L.). BMC Plant Biol. 2021, 21, 143. [Google Scholar] [CrossRef]
- Li, Z.; Liu, D.; Xia, Y.; Li, Z.; Niu, N.; Ma, S.; Wang, J.; Song, Y.; Zhang, G. Identification and Functional Analysis of the CLAVATA3/EMBRYO SURROUNDING REGION (CLE) Gene Family in Wheat. Int. J. Mol. Sci. 2019, 20, 4319. [Google Scholar] [CrossRef]
- Cock, J.M.; McCormick, S. A large family of genes that share homology with CLAVATA3. Plant Physiol. 2001, 126, 939–942. [Google Scholar] [CrossRef]
- Strabala, T.J.; O’Donnell, P.J.; Smit, A.M.; Ampomah-Dwamena, C.; Martin, E.J.; Netzler, N.; Nieuwenhuizen, N.J.; Quinn, B.D.; Foote, H.C.C.; Hudson, K.R. Gain-of-function phenotypes of many CLAVATA3/ESR genes, including four new family members, correlate with tandem variations in the conserved CLAVATA3/ESR domain. Plant Physiol. 2006, 140, 1331–1344. [Google Scholar] [CrossRef]
- Oelkers, K.; Goffard, N.; Weiller, G.F.; Gresshoff, P.M.; Mathesius, U.; Frickey, T. Bioinformatic analysis of the CLE signaling peptide family. BMC Plant Biol. 2008, 8, 1–15. [Google Scholar] [CrossRef] [PubMed]
- Kinoshita, A.; Nakamura, Y.; Sasaki, E.; Kyozuka, J.; Fukuda, H.; Sawa, S. Gain-of-function phenotypes of chemically synthetic CLAVATA3/ESR-related (CLE) peptides in Arabidopsis thaliana and Oryza sativa. Plant Cell Physiol. 2007, 48, 1821–1825. [Google Scholar] [CrossRef] [PubMed]
- Djordjevic, M.A.; Oakes, M.; Wong, C.E.; Singh, M.; Bhalla, P.; Kusumawati, L.; Imin, N. Border sequences of Medicago truncatula CLE36 are specifically cleaved by endoproteases common to the extracellular fluids of Medicago and soybean. J. Exp. Bot. 2011, 62, 4649–4659. [Google Scholar] [CrossRef]
- Ni, J.; Guo, Y.; Jin, H.; Hartsell, J.; Clark, S.E. Characterization of a CLE processing activity. Plant Mol. Biol. 2011, 75, 67–75. [Google Scholar] [CrossRef] [PubMed]
- Fiers, M.; Golemiec, E.; van der Schors, R.; van der Geest, L.; Li, K.W.; Stiekema, W.J.; Liu, C.M. The CLAVATA3/ESR motif of CLAVATA3 is functionally independent from the nonconserved flanking sequences. Plant Physiol. 2006, 141, 1284–1292. [Google Scholar] [CrossRef]
- Rojo, E.; Sharma, V.K.; Kovaleva, V.; Raikhel, N.V.; Fletcher, J.C. CLV3 Is Localized to the Extracellular Space, Where It Activates the Arabidopsis CLAVATA Stem Cell Signaling Pathway. Plant Cell 2002, 14, 969–977. [Google Scholar] [CrossRef]
- Song, X.F.; Guo, P.; Ren, S.C.; Xu, T.T.; Liu, C.M. Antagonistic Peptide Technology for Functional Dissection of CLV3/ESR Genes in Arabidopsis. Plant Physiol. 2013, 161, 1076–1085. [Google Scholar] [CrossRef]
- Clark, S.E.; Running, M.P.; Meyerowitz, E.M. Clavata3 Is a Specific Regulator of Shoot and Floral Meristem Development Affecting the Same Processes as Clavata1. Development 1995, 121, 2057–2067. [Google Scholar] [CrossRef]
- Clark, S.E. Cell signalling at the shoot meristem. Nat. Rev. Mol. Cell Biol. 2001, 2, 276–284. [Google Scholar] [CrossRef] [PubMed]
- Guo, Y.; Han, L.; Hymes, M.; Denver, R.; Clark, S.E. CLAVATA2 forms a distinct CLE-binding receptor complex regulating Arabidopsis stem cell specification. Plant J. 2010, 63, 889–900. [Google Scholar] [CrossRef]
- Sarkar, A.K.; Luijten, M.; Miyashima, S.; Lenhard, M.; Hashimoto, T.; Nakajima, K.; Scheres, B.; Heidstra, R.; Laux, T. Conserved factors regulate signalling in Arabidopsis thaliana shoot and root stem cell organizers. Nature 2007, 446, 811–814. [Google Scholar] [CrossRef] [PubMed]
- Stahl, Y.; Wink, R.H.; Ingram, G.C.; Simon, R. A Signaling Module Controlling the Stem Cell Niche in Arabidopsis Root Meristems. Curr. Biol. 2009, 19, 909–914. [Google Scholar] [CrossRef] [PubMed]
- Ito, Y.; Nakanomyo, I.; Motose, H.; Iwamoto, K.; Sawa, S.; Dohmae, N.; Fukuda, H. Dodeca-CLE peptides as suppressors of plant stem cell differentiation. Science 2006, 313, 842–845. [Google Scholar] [CrossRef] [PubMed]
- Hirakawa, Y.; Kondo, Y.; Fukuda, H. TDIF Peptide Signaling Regulates Vascular Stem Cell Proliferation via the WOX4 Homeobox Gene in Arabidopsis. Plant Cell 2010, 22, 2618–2629. [Google Scholar] [CrossRef] [PubMed]
- Zhang, Z.; Liu, C.; Li, K.; Li, X.; Xu, M.; Guo, Y. CLE14 functions as a “brake signal” to suppress age-dependent and stress-induced leaf senescence by promoting JUB1-mediated ROS scavenging in Arabidopsis. Mol. Plant 2022, 15, 179–188. [Google Scholar] [CrossRef]
- Zhang, Y.; Tan, S.; Gao, Y.; Kan, C.; Wang, H.L.; Yang, Q.; Xia, X.; Ishida, T.; Sawa, S.; Guo, H.; et al. CLE42 delays leaf senescence by antagonizing ethylene pathway in Arabidopsis. New Phytol. 2022, 235, 550–562. [Google Scholar] [CrossRef] [PubMed]
- Endo, S.; Shinohara, H.; Matsubayashi, Y.; Fukuda, H. A novel pollen-pistil interaction conferring high-temperature tolerance during reproduction via CLE45 signaling. Curr. Biol. 2013, 23, 1670–1676. [Google Scholar] [CrossRef] [PubMed]
- Takahashi, F.; Suzuki, T.; Osakabe, Y.; Betsuyaku, S.; Kondo, Y.; Dohmae, N.; Fukuda, H.; Yamaguchi-Shinozaki, K.; Shinozaki, K. A small peptide modulates stomatal control via abscisic acid in long-distance signalling. Nature 2018, 556, 235–238. [Google Scholar] [CrossRef]
- Zhang, L.S.; Shi, X.; Zhang, Y.T.; Wang, J.J.; Yang, J.W.; Ishida, T.; Jiang, W.Q.; Han, X.Y.; Kang, J.K.; Wang, X.N.; et al. CLE9 peptide-induced stomatal closure is mediated by abscisic acid, hydrogen peroxide, and nitric oxide in Arabidopsis thaliana. Plant Cell Environ. 2019, 42, 1033–1044. [Google Scholar] [CrossRef] [PubMed]
- Araya, T.; Miyamoto, M.; Wibowo, J.; Suzuki, A.; Kojima, S.; Tsuchiya, Y.N.; Sawa, S.; Fukuda, H.; von Wiren, N.; Takahashi, H. CLE-CLAVATA1 peptide-receptor signaling module regulates the expansion of plant root systems in a nitrogen-dependent manner. Proc. Natl. Acad. Sci. USA 2014, 111, 2029–2034. [Google Scholar] [CrossRef] [PubMed]
- Dong, W.; Wang, Y.H.; Takahashi, H. CLE-CLAVATA1 Signaling Pathway Modulates Lateral Root Development under Sulfur Deficiency. Plants 2019, 8, 103. [Google Scholar] [CrossRef] [PubMed]
- Gutierrez-Alanis, D.; Yong-Villalobos, L.; Jimenez-Sandoval, P.; Alatorre-Cobos, F.; Oropeza-Aburto, A.; Mora-Macias, J.; Sanchez-Rodriguez, F.; Cruz-Ramirez, A.; Herrera-Estrella, L. Phosphate Starvation-Dependent Iron Mobilization Induces CLE14 Expression to Trigger Root Meristem Differentiation through CLV2/PEPR2 Signaling. Dev. Cell 2017, 41, 555. [Google Scholar] [CrossRef] [PubMed]
- Monreal-Escalante, E.; Ramos-Vega, A.A.; Salazar-Gonzalez, J.A.; Banuelos-Hernandez, B.; Angulo, C.; Rosales-Mendoza, S. Expression of the VP40 antigen from the Zaire ebolavirus in tobacco plants. Planta 2017, 246, 123–132. [Google Scholar] [CrossRef]
- Budzianowski, J. Tobacco against Ebola virus disease. Prz. Lek. 2015, 72, 567–571. [Google Scholar]
- Andrianov, V.; Borisjuk, N.; Pogrebnyak, N.; Brinker, A.; Dixon, J.; Spitsin, S.; Flynn, J.; Matyszczuk, P.; Andryszak, K.; Laurelli, M.; et al. Tobacco as a production platform for biofuel: Overexpression of Arabidopsis DGAT and LEC2 genes increases accumulation and shifts the composition of lipids in green biomass. Plant Biotechnol. J. 2010, 8, 277–287. [Google Scholar] [CrossRef]
- Vanhercke, T.; El Tahchy, A.; Liu, Q.; Zhou, X.R.; Shrestha, P.; Divi, U.K.; Ral, J.P.; Mansour, M.P.; Nichols, P.D.; James, C.N.; et al. Metabolic engineering of biomass for high energy density: Oilseed-like triacylglycerol yields from plant leaves. Plant Biotechnol. J. 2014, 12, 231–239. [Google Scholar] [CrossRef] [PubMed]
- Leitch, I.J.; Hanson, L.; Lim, K.Y.; Kovarik, A.; Chase, M.W.; Clarkson, J.J.; Leitch, A.R. The ups and downs of genome size evolution in polyploid species of Nicotiana (Solanaceae). Ann. Bot. 2008, 101, 805–814. [Google Scholar] [CrossRef]
- Renny-Byfield, S.; Chester, M.; Kovarik, A.; Le Comber, S.C.; Grandbastien, M.A.; Deloger, M.; Nichols, R.A.; Macas, J.; Novak, P.; Chase, M.W.; et al. Next generation sequencing reveals genome downsizing in allotetraploid Nicotiana tabacum, predominantly through the elimination of paternally derived repetitive DNAs. Mol. Biol. Evol. 2011, 28, 2843–2854. [Google Scholar] [CrossRef] [PubMed]
- Zhang, Y.; Yang, S.; Song, Y.; Wang, J. Genome-wide characterization, expression and functional analysis of CLV3/ESR gene family in tomato. BMC Genom. 2014, 15, 827. [Google Scholar] [CrossRef] [PubMed]
- Kumar, S.; Stecher, G.; Tamura, K. MEGA7: Molecular Evolutionary Genetics Analysis Version 7.0 for Bigger Datasets. Mol. Biol. Evol. 2016, 33, 1870–1874. [Google Scholar] [CrossRef] [PubMed]
- Guo, Y.F.; Gan, S.S. AtNAP, a NAC family transcription factor, has an important role in leaf senescence. Plant J. Cell Mol. Biol. 2006, 46, 601–612. [Google Scholar] [CrossRef] [PubMed]
- Fiers, M.; Hause, G.; Boutilier, K.; Casamitjana-Martinez, E.; Weijers, D.; Offringa, R.; van der Geest, L.; van Lookeren Campagne, M.; Liu, C.M. Mis-expression of the CLV3/ESR-like gene CLE19 in Arabidopsis leads to a consumption of root meristem. Gene 2004, 327, 37–49. [Google Scholar] [CrossRef]
- Fiers, M.; Golemiec, E.; Xu, J.; Geest, L.; Heidstra, R.; Stiekema, W.; Liu, C.M. The 14–Amino Acid CLV3, CLE19, and CLE40 Peptides Trigger Consumption of the Root Meristem in Arabidopsis through a CLAVATA2-Dependent Pathway. Am. Soc. Plant Biol. 2005, 17, 2542–2553. [Google Scholar]
- Song, X.F.; Yu, D.L.; Xu, T.T.; Ren, S.C.; Guo, P.; Liu, C.M. Contributions of Individual Amino Acid Residues to the Endogenous CLV3 Function in Shoot Apical Meristem Maintenance in Arabidopsis. Mol. Plant 2012, 5, 9. [Google Scholar] [CrossRef]
- Kondo, T.; Sawa, S.; Kinoshita, A.; Mizuno, S.; Kakimoto, T.; Fukuda, H.; Sakagami, Y. A plant peptide encoded by CLV3 identified by in situ MALDI-TOF MS analysis. Science 2006, 313, 845–848. [Google Scholar] [CrossRef] [PubMed]
- Ohyama, K.; Shinohara, H.; Ogawa-Ohnishi, M.; Matsubayashi, Y. A glycopeptide regulating stem cell fate in Arabidopsis thaliana. Nat. Chem. Biol. 2009, 5, 578–580. [Google Scholar] [CrossRef] [PubMed]
- Parmar, N.; Singh, K.H.; Sharma, D.; Singh, L.; Kumar, P.; Nanjundan, J.; Khan, Y.J.; Chauhan, D.K.; Thakur, A.K. Genetic engineering strategies for biotic and abiotic stress tolerance and quality enhancement in horticultural crops: A comprehensive review. 3 Biotech 2017, 7, 239. [Google Scholar] [CrossRef]
- Chen, Y.L.; Fan, K.T.; Hung, S.C.; Chen, Y.R. The role of peptides cleaved from protein precursors in eliciting plant stress reactions. New Phytol. 2020, 225, 2267–2282. [Google Scholar] [CrossRef]
- Smith, S.; Zhu, S.S.; Joos, L.; Roberts, I.; Nikonorova, N.; Vu, L.D.; Stes, E.; Cho, H.; Larrieu, A.; Xuan, W.; et al. The CEP5 Peptide Promotes Abiotic Stress Tolerance, As Revealed by Quantitative Proteomics, and Attenuates the AUX/IAA Equilibrium in Arabidopsis. Mol. Cell Proteom. 2020, 19, 1248–1262. [Google Scholar] [CrossRef]
- Atkinson, N.J.; Lilley, C.J.; Urwin, P.E. Identification of Genes Involved in the Response of Arabidopsis to Simultaneous Biotic and Abiotic Stresses. Plant Physiol. 2013, 162, 2028–2041. [Google Scholar] [CrossRef] [PubMed]
- Nakaminami, K.; Okamoto, M.; Higuchi-Takeuchi, M.; Yoshizumi, T.; Yamaguchi, Y.; Fukao, Y.; Shimizu, M.; Ohashi, C.; Tanaka, M.; Matsui, M.; et al. AtPep3 is a hormone-like peptide that plays a role in the salinity stress tolerance of plants. Proc. Natl. Acad. Sci. USA 2018, 115, 5810–5815. [Google Scholar] [CrossRef] [PubMed]
- Chien, P.S.; Nam, H.G.; Chen, Y.R. A salt-regulated peptide derived from the CAP superfamily protein negatively regulates salt-stress tolerance in Arabidopsis. J. Exp. Bot. 2015, 66, 5301–5313. [Google Scholar] [CrossRef]
- Zhou, H.P.; Xiao, F.; Zheng, Y.; Liu, G.Y.; Zhuang, Y.F.; Wang, Z.Y.; Zhang, Y.Y.; He, J.X.; Fu, C.X.; Lin, H.H. PAMP-INDUCED SECRETED PEPTIDE 3 modulates salt tolerance through RECEPTOR-LIKE KINASE 7 in plants. Plant Cell 2022, 34, 927–944. [Google Scholar] [CrossRef]
- Liu, Z.Y.; Hou, S.G.; Rodrigues, O.; Wang, P.; Luo, D.X.; Munemasa, S.; Lei, J.X.; Liu, J.; Ortiz-Morea, F.A.; Wang, X.; et al. Phytocytokine signalling reopens stomata in plant immunity and water loss. Nature 2022, 605, 332. [Google Scholar] [CrossRef]
- Zhang, L.; Gleason, C. Enhancing potato resistance against root-knot nematodes using a plant-defence elicitor delivered by bacteria. Nat. Plants 2020, 6, 625–629. [Google Scholar] [CrossRef] [PubMed]







| Gene Number | Protein ID | Number of Amino Acids | Molecular Weight | Theoretical pI | Signal Peptide | Grand Average of Hydropathicity | Instability Index | Aliphatic Index |
|---|---|---|---|---|---|---|---|---|
| NtCLE1 | Ntab0794960.1 | 94 | 10,569.39 | 11 | Yes | −0.251 | 65.2 | 95.43 |
| NtCLE2 | Ntab0439970.1 | 94 | 10,514.36 | 10.7 | Yes | −0.22 | 57.61 | 98.51 |
| NtCLE3 | Ntab0614790.1 | 94 | 10,575.46 | 9.78 | Yes | −0.029 | 89.44 | 101.7 |
| NtCLE4 | Ntab0869460.1 | 83 | 9544.96 | 10.38 | No | −0.846 | 28.37 | 75.3 |
| NtCLE5 | Ntab0636720.1 | 51 | 5408.03 | 9.96 | No | −0.835 | 32.44 | 51.57 |
| NtCLE6 | Ntab0578590.1 | 176 | 19,906.78 | 10.42 | No | −0.226 | 35.31 | 98.64 |
| NtCLE7 | Ntab0047380.1 | 158 | 17,155.33 | 9.27 | No | −0.833 | 43.2 | 59.87 |
| NtCLE8 | Ntab0059110.1 | 106 | 11,922.76 | 10.65 | Yes | −0.283 | 51.84 | 87.45 |
| NtCLE9 | Ntab0437050.1 | 107 | 12,226.19 | 11.67 | No | −0.388 | 47.97 | 80.84 |
| NtCLE10 | Ntab0468120.1 | 90 | 10,261.69 | 10.28 | No | −0.906 | 40.71 | 68.33 |
| NtCLE11 | Ntab0806210.1 | 109 | 12,760.83 | 9.84 | No | −0.413 | 42.42 | 84.86 |
| NtCLE12 | Ntab0572710.1 | 111 | 12924 | 10 | No | −0.456 | 43.77 | 85.14 |
| NtCLE13 | Ntab0797810.1 | 105 | 11,621.32 | 10.03 | Yes | −0.319 | 34.72 | 78 |
| NtCLE14 | Ntab0422310.1 | 105 | 11,621.32 | 10.03 | Yes | −0.319 | 34.72 | 78 |
| NtCLE15 | Ntab0788230.1 | 121 | 13,530.58 | 9.08 | Yes | −0.401 | 78.93 | 70.99 |
| NtCLE16 | Ntab0955370.1 | 81 | 8988.41 | 6.25 | Yes | −0.125 | 59.97 | 75.8 |
| NtCLE17 | Ntab0954490.1 | 86 | 10,045.67 | 10.28 | Yes | −0.655 | 69.63 | 79.3 |
| NtCLE18 | Ntab0467670.1 | 86 | 10,045.67 | 10.28 | Yes | −0.655 | 69.63 | 79.3 |
| NtCLE19 | Ntab0710930.1 | 93 | 10,708.6 | 11.49 | No | −0.59 | 59.28 | 79.57 |
| NtCLE20 | Ntab0916110.1 | 93 | 10,716.71 | 11.67 | No | −0.427 | 67.77 | 87.96 |
| NtCLE21 | Ntab0110010.1 | 71 | 8186.58 | 10.17 | Yes | −0.362 | 79.04 | 76.9 |
| NtCLE22 | Ntab0776730.1 | 71 | 8439.04 | 10.28 | Yes | −0.306 | 71.19 | 85.21 |
| NtCLE23 | Ntab0923360.1 | 71 | 7813.12 | 12.31 | Yes | −0.132 | 64.43 | 89.3 |
| NtCLE24 | Ntab0197240.1 | 72 | 8023.35 | 12.01 | Yes | −0.072 | 72.18 | 85.42 |
| NtCLE25 | Ntab0962310.1 | 78 | 8993.41 | 11.64 | Yes | −0.397 | 56.85 | 65.13 |
| NtCLE26 | Ntab0934300.1 | 78 | 8929.43 | 12.13 | Yes | −0.253 | 53.37 | 65.49 |
| NtCLE27 | Ntab0086070.1 | 83 | 9162.92 | 12.02 | Yes | −0.089 | 60.33 | 76.39 |
| NtCLE28 | Ntab0219740.1 | 95 | 10,837.58 | 10.42 | Yes | −0.653 | 44.29 | 68.95 |
| NtCLE29 | Ntab0218060.1 | 88 | 9559.11 | 9.87 | No | 0 | 39.07 | 95.45 |
| NtCLE30 | Ntab0643500.1 | 79 | 8823.01 | 6.23 | Yes | −0.227 | 79.73 | 92.53 |
| NtCLE31 | Ntab0293510.1 | 85 | 9889.42 | 9.69 | Yes | −0.307 | 62.75 | 82.59 |
| NtCLE32 | Ntab0933210.1 | 93 | 10,837.71 | 10.06 | Yes | −0.328 | 28.71 | 85.91 |
| NtCLE33 | Ntab0701160.1 | 106 | 11,238.62 | 8.14 | Yes | −0.179 | 30.5 | 73.77 |
| NtCLE34 | Ntab0316120.1 | 90 | 10,020.58 | 8.89 | Yes | −0.004 | 64.19 | 81.33 |
| NtCLE35 | Ntab0123790.1 | 87 | 9726.21 | 8.82 | Yes | −0.117 | 65.33 | 87.47 |
| NtCLE36 | Ntab0302810.1 | 82 | 9093.5 | 9.03 | Yes | −0.102 | 45.68 | 106.95 |
| NtCLE37 | Ntab0489230.1 | 94 | 10,398.4 | 10.24 | No | −0.555 | 62.01 | 56.06 |
| NtCLE38 | Ntab0151960.1 | 91 | 10,195.53 | 10.44 | No | −0.53 | 42.71 | 62.2 |
| NtCLE39 | Ntab0586090.1 | 104 | 11,392.02 | 8.66 | Yes | −0.128 | 45.78 | 86.35 |
| NtCLE40 | Ntab0934130.1 | 78 | 8929.43 | 12.13 | Yes | −0.253 | 53.37 | 83.71 |
| NtCLE41 | Ntab0359830.1 | 105 | 11,338.78 | 5.66 | Yes | −0.187 | 39.88 | 83.71 |
| NsylCLE1 | Nsyl0128110.1 | 104 | 11,402.05 | 8.66 | Yes | −0.136 | 46.3 | 86.35 |
| NsylCLE2 | Nsyl0355150.1 | 104 | 11,436.06 | 8.66 | Yes | −0.145 | 43.41 | 82.6 |
| NsylCLE3 | Nsyl0143890.1 | 53 | 5321.6 | 5.35 | No | −0.698 | 35.13 | 38.87 |
| NsylCLE4 | Nsyl0228420.1 | 50 | 5608.44 | 11.41 | Yes | −1.112 | 72.94 | 87.75 |
| NsylCLE5 | Nsyl0213440.1 | 53 | 5321.6 | 5.35 | No | −0.698 | 35.13 | 86.11 |
| NsylCLE6 | Nsyl0219800.1 | 89 | 10,061.52 | 9.25 | Yes | −0.64 | 41.94 | 68.73 |
| NsylCLE7 | Nsyl0072460.1 | 95 | 10,728.55 | 11.32 | No | −0.306 | 71.51 | 85.19 |
| NsylCLE8 | Nsyl0151300.1 | 102 | 11,565.94 | 9.25 | No | −0.571 | 54.71 | 65.63 |
| NsylCLE9 | Nsyl0153010.1 | 79 | 8762.89 | 6.02 | Yes | −0.266 | 87.19 | 84.72 |
| NsylCLE10 | Nsyl0087640.1 | 119 | 13,332.34 | 9.36 | Yes | −0.45 | 75.15 | 84.86 |
| NsylCLE11 | Nsyl0348610.1 | 108 | 12,989.91 | 9.65 | No | −0.641 | 48.71 | 84.39 |
| NsylCLE12 | Nsyl0173530.1 | 109 | 12,730.81 | 9.84 | No | −0.409 | 38.39 | 74.18 |
| NsylCLE13 | Nsyl0440460.1 | 82 | 9341.92 | 9.73 | Yes | −0.17 | 26.99 | 84.39 |
| NsylCLE14 | Nsyl0324930.1 | 122 | 13,358.86 | 6.65 | No | −0.799 | 63.38 | 74.18 |
| NsylCLE15 | Nsyl0295080.1 | 94 | 10,672.39 | 9.35 | No | −0.286 | 54.1 | 86.06 |
| NsylCLE16 | Nsyl0050760.1 | 65 | 7215.25 | 11.04 | No | −1.117 | 43.13 | 68.92 |
| NsylCLE17 | Nsyl0368090.1 | 77 | 8443.61 | 9.36 | Yes | −0.421 | 13.48 | 71.04 |
| NsylCLE18 | Nsyl0196480.1 | 176 | 19,938.8 | 10.02 | Yes | −0.661 | 33.25 | 73.75 |
| NsylCLE19 | Nsyl0085490.1 | 94 | 10,672.39 | 9.35 | Yes | −0.286 | 54.1 | 86.06 |
| NtomCLE1 | Ntom0043790.1 | 100 | 11,325.17 | 9.51 | Yes | −0.09 | 46.26 | 91.6 |
| NtomCLE2 | Ntom0180900.1 | 127 | 14,069.29 | 10.67 | Yes | −0.48 | 38.04 | 86.05 |
| NtomCLE3 | Ntom0272530.1 | 121 | 12,573.13 | 9.6 | Yes | −0.16 | 40.1 | 68.68 |
| NtomCLE4 | Ntom0132020.1 | 105 | 11,437.92 | 6.55 | Yes | −0.226 | 39.97 | 83.71 |
| NtomCLE5 | Ntom0078650.1 | 98 | 11,064.95 | 9.56 | Yes | −0.384 | 71.91 | 86.53 |
| NtomCLE6 | Ntom0236520.1 | 121 | 13,529.59 | 9.25 | Yes | −0.401 | 78.93 | 70.99 |
| NtomCLE7 | Ntom0348130.1 | 114 | 12,974.86 | 9.74 | Yes | −0.455 | 58.21 | 82.98 |
| NtomCLE8 | Ntom0005610.1 | 71 | 8303.72 | 9.78 | Yes | −0.39 | 69.02 | 82.39 |
| NtomCLE9 | Ntom0065030.1 | 94 | 10,575.46 | 9.78 | Yes | −0.029 | 89.44 | 101.7 |
| NtomCLE10 | Ntom0321940.1 | 94 | 10,569.39 | 11 | Yes | −0.251 | 65.2 | 95.43 |
| NtomCLE11 | Ntom0106270.1 | 102 | 11,589.08 | 9.73 | Yes | −0.554 | 54.25 | 70.69 |
| NtomCLE12 | Ntom0221410.1 | 175 | 19,473.93 | 5.33 | No | −0.659 | 58.18 | 81.43 |
| NtomCLE13 | Ntom0272700.1 | 90 | 10,187.87 | 9.42 | No | −0.291 | 62.38 | 92 |
| NtomCLE14 | Ntom0158810.1 | 131 | 14,541.1 | 4.64 | No | −0.739 | 65.34 | 59.39 |
| NtomCLE15 | Ntom0275520.1 | 150 | 16,466.25 | 4.57 | No | −0.509 | 71.33 | 79.13 |
| NtomCLE16 | Ntom0113520.1 | 150 | 16,446.26 | 4.76 | No | −0.589 | 67.92 | 76.53 |
| NtomCLE17 | Ntom0144670.1 | 124 | 13,505.95 | 4.34 | No | −0.372 | 69.35 | 77.66 |
| NtomCLE18 | Ntom0117310.1 | 163 | 17,665.47 | 4.33 | No | −0.587 | 68.71 | 66.26 |
| NtomCLE19 | Ntom0019740.1 | 131 | 14,765.42 | 4.58 | No | −0.43 | 58.21 | 77.94 |
| NtomCLE20 | Ntom0324220.1 | 97 | 10,470.29 | 4.07 | No | −0.657 | 64.4 | 61.13 |
| NtomCLE21 | Ntom0005610.1 | 71 | 8303.72 | 9.78 | Yes | −0.39 | 69.02 | 82.39 |
| NtomCLE22 | Ntom0144670.1 | 124 | 13,505.95 | 4.34 | No | −0.372 | 69.35 | 77.66 |
| NtomCLE23 | Ntom0272700.1 | 150 | 16,466.25 | 4.57 | No | −0.509 | 71.33 | 92 |
| NtomCLE24 | Ntom0275520.1 | 150 | 16,466.25 | 4.57 | No | −0.509 | 71.33 | 79.13 |
Disclaimer/Publisher’s Note: The statements, opinions and data contained in all publications are solely those of the individual author(s) and contributor(s) and not of MDPI and/or the editor(s). MDPI and/or the editor(s) disclaim responsibility for any injury to people or property resulting from any ideas, methods, instructions or products referred to in the content. |
© 2023 by the authors. Licensee MDPI, Basel, Switzerland. This article is an open access article distributed under the terms and conditions of the Creative Commons Attribution (CC BY) license (https://creativecommons.org/licenses/by/4.0/).
Share and Cite
Chu, Y.; Gao, X.; Wen, L.; Deng, Z.; Liu, T.; Guo, Y. Characterization of the CLE Family in Three Nicotiana Species and Potential Roles of CLE Peptides in Osmotic and Salt Stress Responses. Agronomy 2023, 13, 1480. https://doi.org/10.3390/agronomy13061480
Chu Y, Gao X, Wen L, Deng Z, Liu T, Guo Y. Characterization of the CLE Family in Three Nicotiana Species and Potential Roles of CLE Peptides in Osmotic and Salt Stress Responses. Agronomy. 2023; 13(6):1480. https://doi.org/10.3390/agronomy13061480
Chicago/Turabian StyleChu, Yumeng, Xiaoming Gao, Lichao Wen, Zhichao Deng, Tao Liu, and Yongfeng Guo. 2023. "Characterization of the CLE Family in Three Nicotiana Species and Potential Roles of CLE Peptides in Osmotic and Salt Stress Responses" Agronomy 13, no. 6: 1480. https://doi.org/10.3390/agronomy13061480
APA StyleChu, Y., Gao, X., Wen, L., Deng, Z., Liu, T., & Guo, Y. (2023). Characterization of the CLE Family in Three Nicotiana Species and Potential Roles of CLE Peptides in Osmotic and Salt Stress Responses. Agronomy, 13(6), 1480. https://doi.org/10.3390/agronomy13061480

