Evaluation of Population and Hybrid Varieties of Winter Rye in the Conditions of Eastern Siberia
Abstract
1. Introduction
2. Materials and Methods
2.1. Place and Conditions of the Field Study
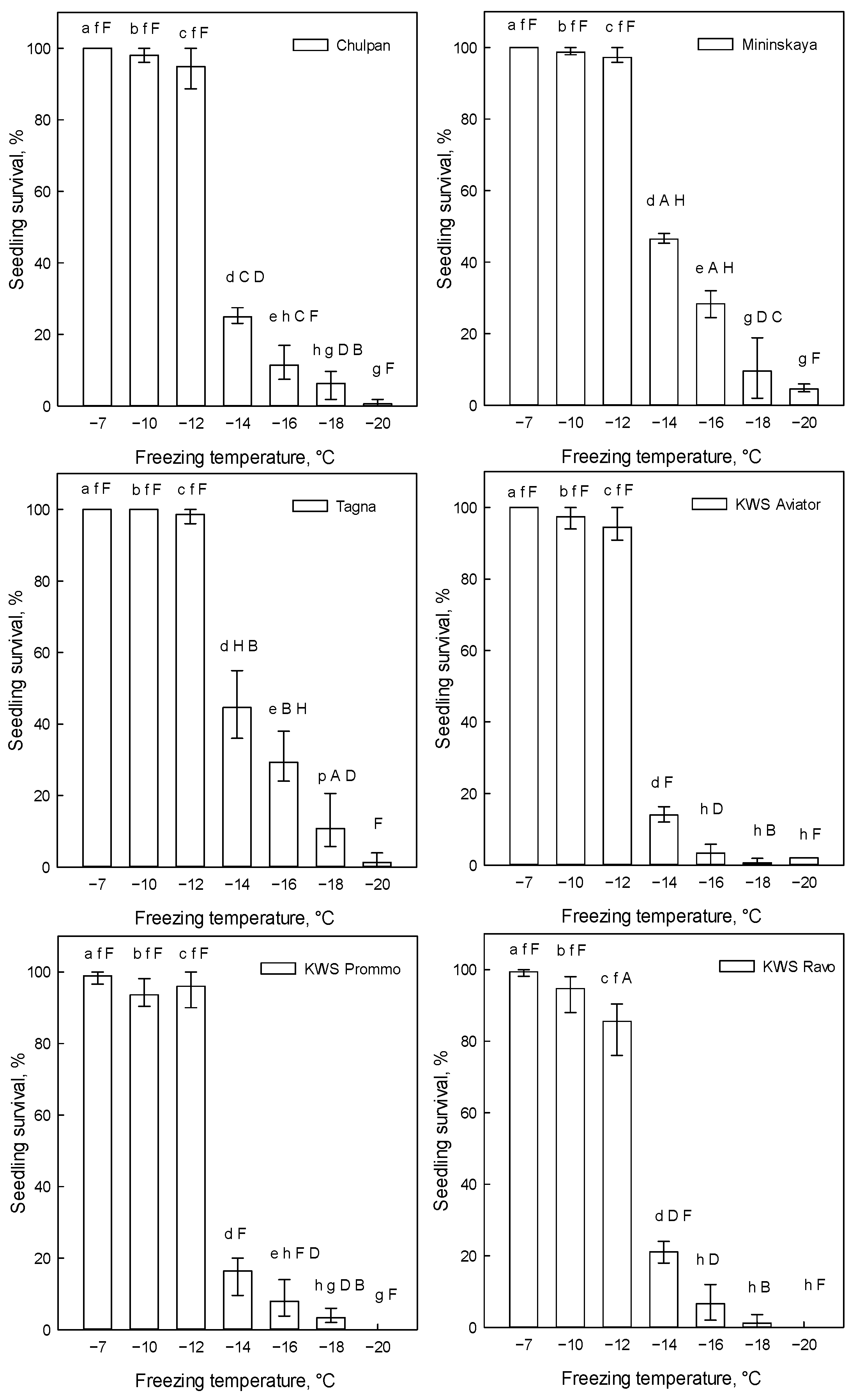
2.2. Test for Determining the Relative Frost Hardiness of Seedlings of Population and Hybrid Varieties
2.3. Measurements Taken before and after Harvesting
2.4. Statistical Analysis
3. Results
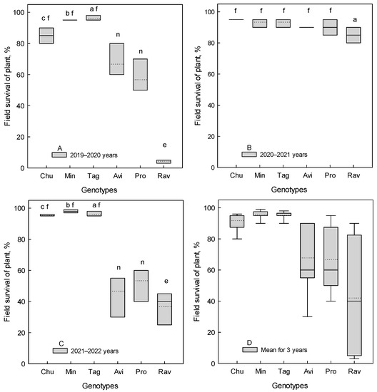
3.1. Survival of Winter Rye Plants in the Field and Laboratory Conditions
3.2. Productivity and Yield Components of Population and Hybrid Varieties of Winter Rye
4. Discussion
5. Conclusions
Author Contributions
Funding
Data Availability Statement
Acknowledgments
Conflicts of Interest
References
- Miedaner, T.; Laidig, F. Hybrid Breeding in Rye (Secale cereale L.). In Advances in Plant Breeding Strategies: Cereals; Al-Khayri, J.M., Jain, S.M., Johnson, D.V., Eds.; Springer: Cham, Switzerland, 2019; Volume 5, pp. 343–372. [Google Scholar] [CrossRef]
- Ponomareva, M.L.; Ponomarev, S.N. Scientific Bases of Winter Rye Breeding; FEN Publishing House: Kazan, Russia, 2019; 352p. [Google Scholar]
- Korzun, V.; Ponomareva, M.L.; Sorrells, M.E. Economic and Academic Importance of Rye. In The Rye Genome; Rabanus-Wallace, M.T., Stein, N., Eds.; Springer: Cham, Switzerland, 2021; pp. 1–12. [Google Scholar] [CrossRef]
- Hömmö, L.; Pulli, S. Winterhardiness of some winter wheat (Triticum aestivum), rye (Secale cereale), triticale (x Triticosecale) and winter barley (Hordeum vulgare) cultivars tested at six locations in Finland. Agric. Sci. Finl. 1993, 2, 311–327. [Google Scholar] [CrossRef]
- Utkina, E.I.; Kedrova, L.I. Winter hardiness in winter rye: Problems and solutions. Agric. Sci. Euro-North-East 2018, 62, 11–18. [Google Scholar] [CrossRef]
- Goncharenko, A.A.; Makarova, A.V.; Ermakova, S.A.; Semenovaa, T.V.; Tochilina, V.N.; Tsygankova, N.V.; Skatovaa, S.E.; Krakhmalevaa, O.A. Ecological Stability of Short Stemmed Winter Rye Varieties. Russ. Agric. Sci. 2019, 45, 315–322. [Google Scholar] [CrossRef]
- Ponomarew, S.N.; Ponomarewa, M.L. Photosynthetic Peculiarities of Winter Rye Cultivars with Different Control of Dwarfness. Zemledelie 2017, 7, 36–40. [Google Scholar]
- Szuleta, E.; Phillips, T.; Knott, C.A.; Lee, C.D.; Van Sanford, D.A. Influence of Planting Date on Winter Rye Performance in Kentucky. Agronomy 2022, 12, 2887. [Google Scholar] [CrossRef]
- Miedaner, T.; Korzun, V.; Wilde, P. Effective Pollen-Fertility Restoration Is the Basis of Hybrid Rye Production and Ergot Mitigation. Plants 2022, 11, 1115. [Google Scholar] [CrossRef]
- Laidig, F.; Piepho, H.-P.; Rentel, D.; Drobek, T.; Meyer, U.; Huesken, A. Breeding progress, variation, and correlation of grain and quality traits in winter rye hybrid and population varieties and national on-farm progress in Germany over 26 years. Theor. Appl. Genet. 2017, 130, 981–998. [Google Scholar] [CrossRef]
- Goncharenko, A.A. Actual Issues of Winter Rye Selection; FGBNU Rosinformagrotech: Moscow, Russia, 2014; 372p. [Google Scholar]
- Linina, A.; Kunkulberga, D.; Kronberga, A.; Locmele, I. Winter rye grain quality of hybrid and population cultivars. Agron. Res. 2019, 17, 1380–1389. [Google Scholar] [CrossRef]
- Serenius, M.; Huusela-Veistola, E.; Avikainen, H.; Pahkala, K. Effects of sowing time on pink snow mould, leaf rust and winter damage in winter rye varieties in Finland. Agric. Food Sci. 2005, 14, 362–376. [Google Scholar] [CrossRef]
- Hakala, K.; Pahkala, K. Comparison of central and northern European winter rye cultivars grown at high latitudes. J. Agric. Sci. 2003, 141, 169–178. [Google Scholar] [CrossRef]
- Tupits, I.; Kukk, V. Comparison of winter rye varieties in the field trials at the Jõgeva Plant Breeding Institute. In Plant Breeding and Seed Production VIII; Bender, A., Ed.; Jõgeva Plant Breeding Institute: Jõgeva, Estonian, 2000; pp. 15–22. [Google Scholar]
- Li, Y.; Böck, A.; Haseneyer, G.; Korzun, V.; Wilde, P.; Schön, C.-C.; Ankerst, D.P.; Bauer, E. Association analysis of frost tolerance in rye using candidate genes and phenotypic data from controlled, semi-controlled, and field phenotyping platforms. BMC Plant Biol. 2011, 11, 146. [Google Scholar] [CrossRef]
- Aleliunas, A.; Jaškune, K.; Statkeviciute, G.; Vaitkeviciute, G.; Brazauskas, G.; Armoniene, R. Transcriptome changes triggered by a short-term low temperature stress in winter wheat. Zemdirbyste-Agriculture 2020, 107, 329–336. [Google Scholar] [CrossRef]
- Jaškūnė, K.; Armonienė, R.; Liatukas, Ž.; Statkevičiūtė, G.; Cesevičienė, J.; Brazauskas, G. Relationship between freezing tolerance and leaf growth during acclimation in winter wheat. Agronomy 2022, 12, 859. [Google Scholar] [CrossRef]
- Fowler, D.B.; Limin, A.E. Exploitable genetic variability for cold tolerance in commercially grown cereals. Can. J Plant Sci. 1987, 67, 278. [Google Scholar]
- Thomashow, M.F. Plant cold acclimation: Freezing tolerance genes and regulatory mechanisms. Annu. Rev. Plant Phys. 1999, 50, 571–599. [Google Scholar] [CrossRef]
- Hömmö, L.M. Hardening of some winter wheat (Triticum aestivum L.), rye (Secale cereals L.), triticale (Triticosecale wittmack) and winter barley (Hordeum vulgare L.) cultivars during autumn and the final winter survival in Finland. Plant Breed. 1994, 112, 285–293. [Google Scholar] [CrossRef]
- Ponomareva, M.; Ponomarev, S.; Mannapova, G. Selection of winter rye on adaptive-valuable attributes for conditions of the Volga Region. In Proceedings of the International Symposium on Rye Breeding & Genetics, Minsk, Belarus, 29 June–2 July 2010; EUCARPIA: Zhodino, Belarus, 2012; pp. 52–56. [Google Scholar]
- Tumanov, I.I. Physiological Bases of Winter Hardiness in Cultivated Plants; M.-L. Selkhozgiz: Moscow, Russia, 1940; 366p. [Google Scholar]
- Rapacz, M.; Macko-Podgórni, A.; Jurczyk, B.; Kuchar, L. Modeling wheat and triticale winter hardiness under current and predicted winter scenarios for Central Europe: A focus on deacclimation. Agric. For. Meteorol. 2022, 313, 108739. [Google Scholar] [CrossRef]
- Dorofeev, N.V.; Peshkova, A.A.; Voinikov, V.K. Overwintering of plants. In Winter Wheat in the Irkutsk Region; Rodchenko, O.P., Ed.; Art-Press: Irkutsk, Russian, 2004; 175p. [Google Scholar]
- IUSS Working Group WRB: World Reference Base forSoil Resources 2014, Update 2015; World Soil Resources Reports 106; FAO: Rome, Italy, 2015.
- Soil Map of the Irkutsk Region; Scale 1:1500000; GUGK USSR: Moscow, Russia, 1988.
- Agrochemical Methods of Soil Research; Nauka: Moscow, Russian, 1975; 656p.
- Orlov, D.S.; Biryukova, O.N.; Rozanova, M.S. Revised system of the humus status parameters of soils and their genetic horizons. Eurasian Soil Sci. 2004, 37, 796–805. [Google Scholar]
- Samygin, G.A. Rapid determination of relative frost resistance of wheat samples by freezing sprouting seeds. In Methods of Plant Frost Resistance Determination; Tumanov, I.I., Ed.; Nauka Press: Moscow, Russia, 1967; pp. 3–8. [Google Scholar]
- Kosová, K.; Klíma, M.; Prášil, I.T.; Vítámvás, P. COR/LEA Proteins as Indicators of Frost Tolerance in Triticeae: A Comparison of Controlled versus Field Conditions. Plants 2021, 10, 789. [Google Scholar] [CrossRef]
- Ponomareva, M.L.; Gorshkov, V.Y.; Ponomarev, S.N.; Korzun, V.; Miedaner, T. Snow mold of winter cereals: A complex disease and a challenge for resistance breeding. Theor. Appl. Genet. 2021, 134, 419–433. [Google Scholar] [CrossRef]
- Hassan, M.A.; Chen, X.; Farooq, M.; Muhammad, N.; Zhang, Y.; Xu, H.; Ke, Y.Y.; Bruno, A.K.; Zhang, L.L.; Li, J.C. Cold stress in wheat: Plant acclimation responses and management strategies. Front. Plant Sci. 2021, 12, 676884. [Google Scholar] [CrossRef] [PubMed]
- Herzog, M.; Striker, G.G.; Colmer, T.D.; Pedersen, O. Mechanisms of waterlogging tolerance in wheat: A review of root and shoot physiology. Plant Cell Environ. 2016, 39, 1068–1086. [Google Scholar] [CrossRef] [PubMed]
- Barlow, K.M.; Christy, B.P.; O’Leary, G.J.; Riffkin, P.A.; Nuttall, J.G. Simulating the impact of extreme heat and frost events on wheat crop production: A review. Field Crops Res. 2015, 171, 109–119. [Google Scholar] [CrossRef]
- Pomortsev, A.V.; Dorofeev, N.V.; Katysheva, N.B.; Peshkova, A.A. Changes in dehydrin composition in winter cereal crowns during winter survival. Biol. Plant. 2017, 61, 394–398. [Google Scholar] [CrossRef]
- Pomortsev, A.; Dorofeev, N.; Zorina, S.Y.; Katysheva, N.; Sokolova, L. The effect of planting date on winter rye and triticale overwinter survival and yield in Eastern Siberia. IOP Conf. Ser. Earth Environ. Sci. 2019, 315, 042031. [Google Scholar] [CrossRef]
- Hansen, H.B.; Moller, B.; Andersen, S.B.; Jorgensen, J.R.; Hansen, A. Grain characteristics, chemical composition, and functional properties of rye (Secale cereale L.) as influenced by genotype and harvest year. J. Agric. Food Chem. 2004, 52, 2282–2291. [Google Scholar] [CrossRef]
- Chmielewski, F.M.; Koehn, W. Impact of weather on yield components of winter rye over 30 years. Agric. For. Meteorol. 2000, 102, 253–261. [Google Scholar] [CrossRef]
- Peltonen-Sainio, P.; Kangas, A.; Salo, Y.; Jauhiainen, L. Grain number dominates grain weight in temperate cereal yield determination: Evidence based on 30 years of multi-location trials. Field Crops Res. 2007, 100, 179–188. [Google Scholar] [CrossRef]
- Kottmann, L.; Wilde, P.; Schittenhelm, S. How do timing, duration, and intensity of drought stress affect the agronomic performance of winter rye? Eur. J. Agron. 2016, 75, 25–32. [Google Scholar] [CrossRef]



| Sample | Origin | Originator | Group | LT50 |
|---|---|---|---|---|
| Mininskaya | Russia | Federal Research Center “Krasnoyarsk Science Center of the Siberian Branch of the Russian Academy of Sciences” | P | −14.3 |
| Tagna | Russia | Siberian Institute of Plant Physiology and Biochemistry of the Siberian Branch of the Russian Academy of Sciences | P | −14.3 |
| Chulpan | Russia | Bashkir Research Institute of Agriculture | P | −13.6 |
| KWS Aviator | Germany | KWS LOCHOW GMBH | H | −13.3 |
| KWS Prommo | Germany | KWS LOCHOW GMBH | H | −13.4 |
| KWS Ravo | Germany | KWS LOCHOW GMBH | H | −13.3 |
| Parameters | Sep | Oct | Nov | Dec | Jan | Feb | Mar | Apr | May | Jun | Jul | Aug |
|---|---|---|---|---|---|---|---|---|---|---|---|---|
| 2019/2020 | ||||||||||||
| Max temperature, °C | 25.5 | 15.9 | 10.8 | −1.6 | −7.2 | −0.4 | 11.7 | 27.6 | 28.5 | 31.8 | 34.0 | 29.0 |
| Min temperature, °C | −4.3 | −13.5 | −30.5 | −43.8 | −33.8 | −37.6 | −23.4 | −9.7 | −5.2 | 0.6 | 23.0 | 1.9 |
| Mean temperature, °C | 10.1 | 0.2 | −13.2 | −17.6 | −21.4 | −18.1 | −3.3 | 6.8 | 11.5 | 16.4 | 19.3 | 16.5 |
| Precipitation, mm | 77 | 15.4 | 12.2 | 30.5 | 2.6 | 2.5 | 9.6 | 10.9 | 16.8 | 50.6 | 68.8 | 100.6 |
| Snow cover depth, cm | - | - | 7.0 | 30.0 | 27.0 | 27.0 | 4.0 * | - | - | - | - | - |
| 2020/2021 | ||||||||||||
| Max temperature, °C | 25.8 | 17.6 | 7.3 | 0.0 | −8.6 | −2.5 | 6.9 | 18.4 | 19.8 | 31.2 | 31.3 | 29.6 |
| Min temperature, °C | −3.9 | −13.9 | −25.7 | −39.0 | −39.8 | −42.6 | −34.4 | −9.2 | −6.0 | 2.5 | 4.7 | 2.7 |
| Mean temperature, °C | 9.3 | − 0.3 | −8.2 | −20.8 | −21.4 | −18.9 | −7.4 | 1.9 | 8.0 | 15.1 | 19.2 | 16.1 |
| Precipitation, mm | 131.9 | 20.1 | 11.8 | 5.9 | 27.1 | 14.0 | 5.2 | 7.9 | 69.3 | 85.6 | 36.3 | 56.9 |
| Snow cover depth, cm | - | 5.0 | 8.0 | 13.0 | 30.0 | 32.0 | 1.0 ** | - | - | - | - | - |
| 2021/2022 | ||||||||||||
| Max temperature, °C | 25.8 | 15.9 | 4.8 | −0.2 | −5.8 | 19.4 | −8.8 | 2.9 | 12.3 | 37.4 | 32.5 | 29.3 |
| Min temperature, °C | −5.8 | −13.5 | 26.7 | −39.4 | −35.4 | 3.4 | 7.9 | 24.7 | 31.5 | −1.1 | 6.7 | −1.6 |
| Mean temperature, °C | 7.5 | 0.4 | −8.3 | −18.8 | −20.1 | 38.6 | −27.4 | −10.3 | −6.3 | 17.3 | 17.1 | 14.1 |
| Precipitation, mm | 31.2 | 8.0 | 11.8 | 11.9 | 12.3 | 2.2 | 3.0 | 20.5 | 11.3 | 62.4 | 82.7 | 63.1 |
| Snow cover depth, cm | - | 1.0 | 9.0 | 16.0 | 31.0 | 27.0 | 1.0 *** | - | - | - | - | - |
| Cultivar | Group | Yield, t/ha | Number of Plants, m2 | Number of Spikes, m2 | 1000 Kernel Weight, g | Weight of Kernels Per Ear, g | Number of Kernels Per Ear | ||||||||||||
|---|---|---|---|---|---|---|---|---|---|---|---|---|---|---|---|---|---|---|---|
| 2020 | 2021 | 2022 | 2020 | 2021 | 2022 | 2020 | 2021 | 2022 | 2020 | 2021 | 2022 | 2020 | 2021 | 2022 | 2020 | 2021 | 2022 | ||
| Chulpan | P | 6.5 | 6.6 | 4.8 | 373.0 | 418.0 | 461.0 | 807.0 | 921.0 | 764.0 | 32.5 | 34.9 | 35.7 | 1.5 | 1.6 | 1.4 | 43.0 | 45.0 | 41.0 |
| Mininskaya | P | 6.2 | 6.8 | 5.4 | 348.0 | 348.0 | 537.0 | 795.0 | 793.0 | 917.0 | 24.5 | 25.9 | 25.8 | 1.2 | 1.2 | 1.1 | 46.0 | 49.0 | 43.0 |
| Tagna | P | 8.6 | 7.8 | 5.0 | 422.0 | 350.0 | 647.0 | 761.0 | 859.0 | 1069.0 | 28.4 | 29.4 | 29.5 | 1.5 | 1.4 | 1.5 | 43.0 | 50.0 | 48.0 |
| KWS Aviator | H | 4.5 | 5.3 | 4.5 | 261.0 | 370.0 | 149.0 | 464.0 | 703.0 | 586.0 | 34.9 | 34.9 | 40.4 | 1.6 | 1.7 | 1.8 | 48.0 | 48.0 | 46.0 |
| KWS Prommo | H | 3.4 | 5.1 | 2.9 | 276.0 | 420.0 | 226.0 | 561.0 | 756.0 | 520.0 | 35.8 | 36.3 | 35.6 | 1.7 | 1.8 | 1.7 | 47.0 | 47.0 | 46.0 |
| KWS Ravo | H | 0.5 | 5.5 | 1.7 | 64.0 | 370.0 | 149.0 | 184.0 | 809.0 | 436.0 | 35.7 | 38.3 | 36.4 | 1.5 | 1.7 | 1.6 | 40.0 | 42.0 | 38.0 |
| Significance of differences | *** | *** | *** | *** | ns | *** | *** | ns | *** | *** | *** | *** | * | * | * | * | * | *** | |
| LSD value | 1.3 | 0.5 | 1.5 | 93.3 | - | 93.3 | 123.0 | - | 193.8 | 2.2 | 1.7 | 2.8 | 0.26 | 0.29 | 0.22 | 6.0 | 7.0 | 4.0 | |
| n | 3 | 3 | 3 | 3 | 3 | 3 | 3 | 3 | 3 | 3 | 3 | 3 | 3 | 3 | 3 | 3 | 3 | 3 | |
| Mean | P | 7.1 | 7.0 | 5.1 | 381.0 | 372.0 | 548.0 | 787.0 | 857.0 | 916.0 | 28.4 | 30.0 | 30.3 | 1.4 | 1.4 | 1.3 | 44.0 | 47.0 | 44.0 |
| H | 2.8 | 5.3 | 3.0 | 200.0 | 386.0 | 174.0 | 403.0 | 756.0 | 514.0 | 35.4 | 36.5 | 37.4 | 1.6 | 1.7 | 1.7 | 45.0 | 45.0 | 43.0 | |
| CV, % | P | 19.4 | 18.6 | 11.7 | 13.6 | 18.5 | 6.8 | ||||||||||||
| H | 45.6 | 36.8 | 22.8 | 5.1 | 4.9 | 5.1 | |||||||||||||
| Data Variability, Years and Varieties | Mean Values of Rye Yield Parameters for 3 Years | Analysis of Variance and Components of Variances | |||||
|---|---|---|---|---|---|---|---|
| 2020 | 2021 | 2022 | Year (Y) | Variety (V) | Y × V | ||
| Yield, t/ha | 0.5–8.6 | 5.3 | 6.2 | 4.5 | *** | *** | *** |
| Number of plants, m2 | 64.0–647.0 | 297.0 | 368.0 | 353.0 | *** | *** | *** |
| Number of spikes, m2 | 184.0–1069.0 | 595.0 | 775.0 | 700.0 | *** | *** | *** |
| 1000 kernel weight, g | 24.4–45.7 | 33.4 | 34.9 | 35.6 | *** | *** | ** |
| Weight of kernels per ear, g | 1.2–1.8 | 15.6 | 15.6 | 16.5 | *** | ns | ns |
| Number of kernels per ear | 35.0–49.0 | 43.0 | 45.0 | 43.0 | *** | ns | ns |
| Factors | Correlation Coefficient | ||
|---|---|---|---|
| HP | H | P | |
| Field survival, % | 0.84 *** | 0.90 *** | −0.31 ns |
| Number of plants, m2 | 0.56 *** | 0.77 *** | −0.53 * |
| Number of spikes, m2 | 0.61 *** | 0.80 *** | −0.39 * |
| 1000 kernel weight, g | 0.19 ns | 0.47 * | 0.05 ns |
| Weight of kernels per ear, g | −0.18 ns | 0.42 * | 0.52 ** |
| Number of kernels per ear | −0.46 ** | −0.02 ns | 0.14 ns |
Disclaimer/Publisher’s Note: The statements, opinions and data contained in all publications are solely those of the individual author(s) and contributor(s) and not of MDPI and/or the editor(s). MDPI and/or the editor(s) disclaim responsibility for any injury to people or property resulting from any ideas, methods, instructions or products referred to in the content. |
© 2023 by the authors. Licensee MDPI, Basel, Switzerland. This article is an open access article distributed under the terms and conditions of the Creative Commons Attribution (CC BY) license (https://creativecommons.org/licenses/by/4.0/).
Share and Cite
Pomortsev, A.V.; Dorofeev, N.V.; Zorina, S.Y.; Katysheva, N.B.; Sokolova, L.G.; Zhuravkova, A.S.; Mikhailova, E.V. Evaluation of Population and Hybrid Varieties of Winter Rye in the Conditions of Eastern Siberia. Agronomy 2023, 13, 1431. https://doi.org/10.3390/agronomy13051431
Pomortsev AV, Dorofeev NV, Zorina SY, Katysheva NB, Sokolova LG, Zhuravkova AS, Mikhailova EV. Evaluation of Population and Hybrid Varieties of Winter Rye in the Conditions of Eastern Siberia. Agronomy. 2023; 13(5):1431. https://doi.org/10.3390/agronomy13051431
Chicago/Turabian StylePomortsev, Anatolii V., Nikolay V. Dorofeev, Svetlana Yu. Zorina, Natalia B. Katysheva, Lada G. Sokolova, Anna S. Zhuravkova, and Elena V. Mikhailova. 2023. "Evaluation of Population and Hybrid Varieties of Winter Rye in the Conditions of Eastern Siberia" Agronomy 13, no. 5: 1431. https://doi.org/10.3390/agronomy13051431
APA StylePomortsev, A. V., Dorofeev, N. V., Zorina, S. Y., Katysheva, N. B., Sokolova, L. G., Zhuravkova, A. S., & Mikhailova, E. V. (2023). Evaluation of Population and Hybrid Varieties of Winter Rye in the Conditions of Eastern Siberia. Agronomy, 13(5), 1431. https://doi.org/10.3390/agronomy13051431

