Integrated Pathogen Management in Stevia Using Anaerobic Soil Disinfestation Combined with Different Fungicide Programs in USA, Mexico, and Paraguay
Abstract
1. Introduction
2. Materials and Methods
2.1. Fungal Isolates
2.2. Fungicides
2.3. Anaerobic Soil Disinfestation Laboratory Simulation
2.4. Effect of Carbon Sources Incorporated into the Soil on Stevia Stem Rot Incidence
2.5. Effectiveness of Integrated Pathogen Management under Field Conditions
2.6. Statistical Analyses
3. Results
3.1. ASD Simulation Using Various Carbon Sources
3.2. Effect of Carbon Sources Incorporated into the Soil on Stevia Stem Rot Incidence
3.3. Effectiveness of Integrated Pathogen Management under Field Conditions
3.3.1. Soil Temperatures
3.3.2. Sclerotia Viability
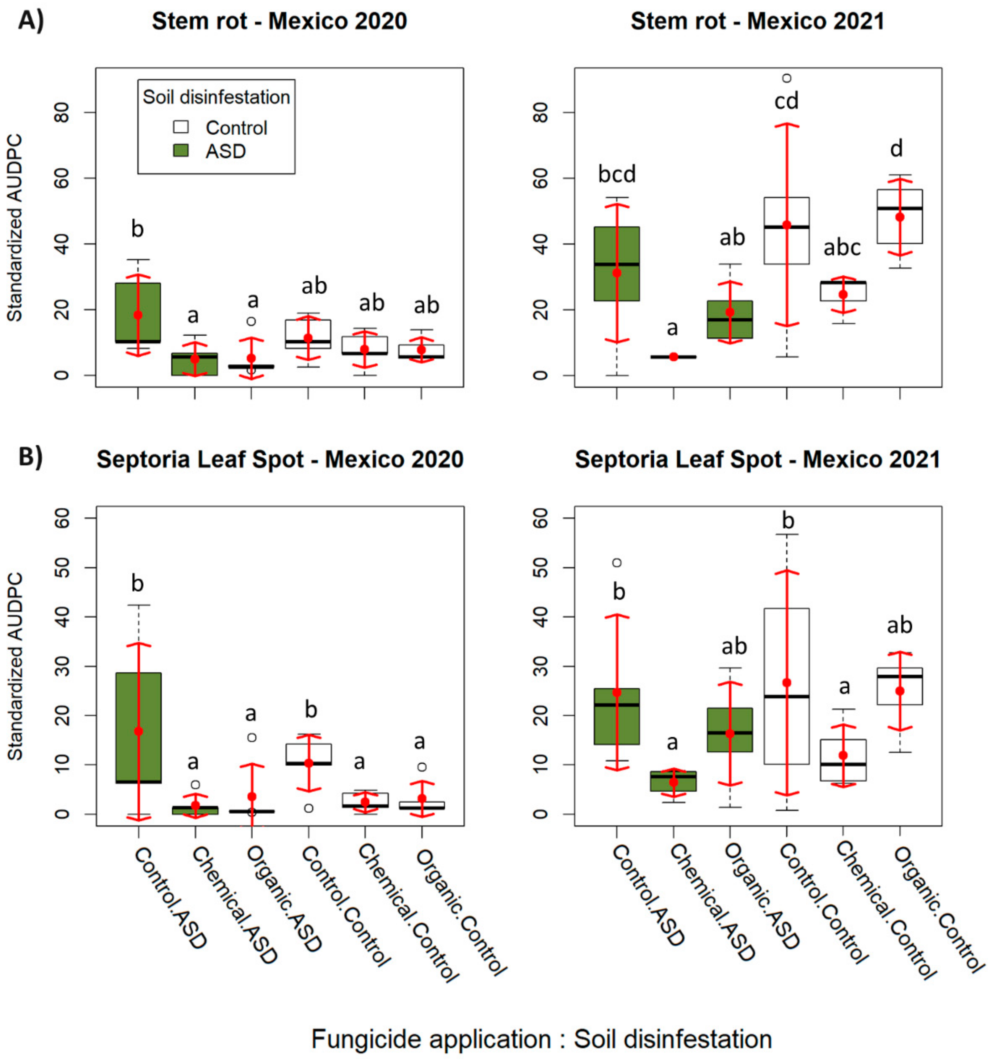
3.3.3. Disease Progression
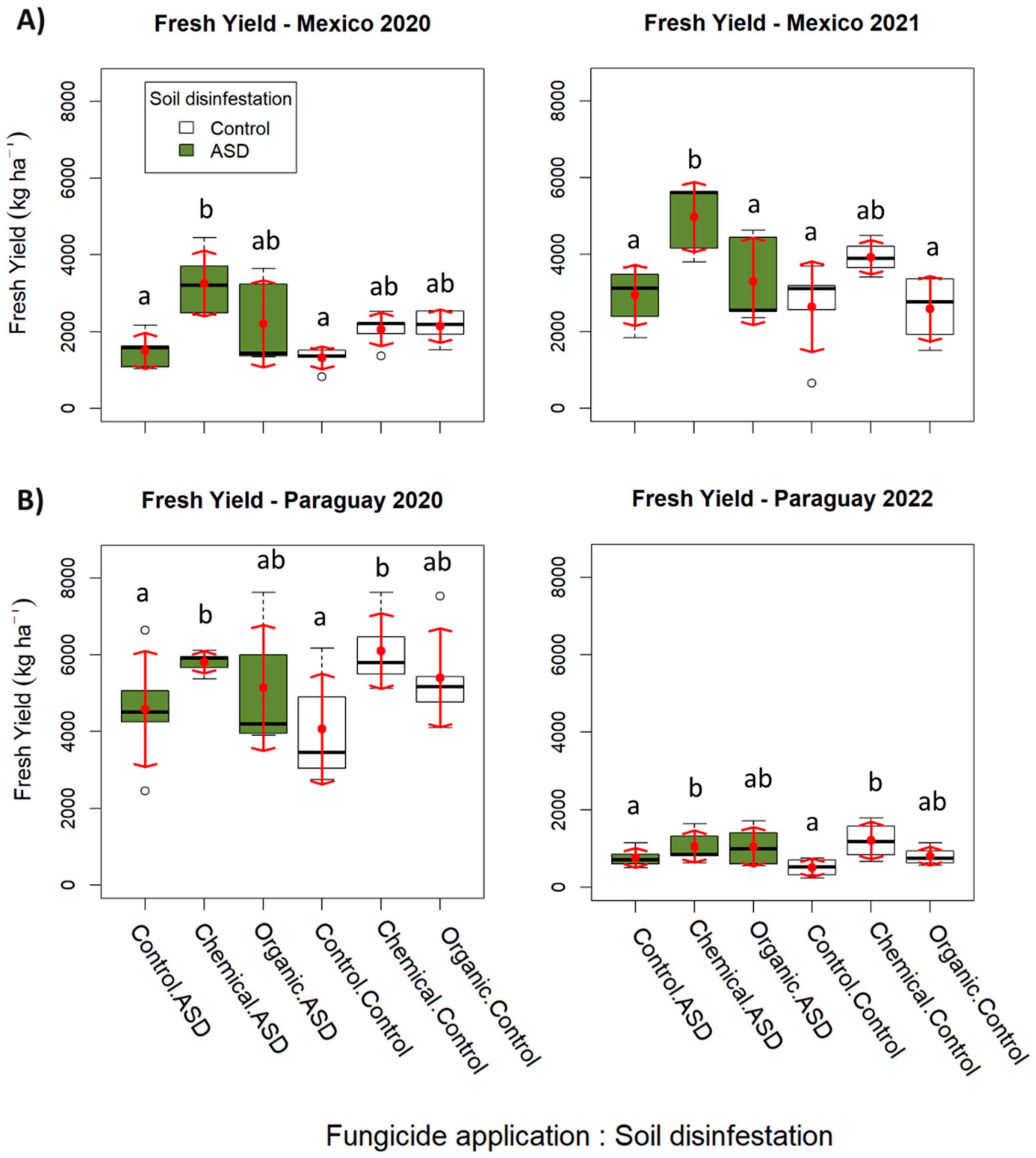
3.3.4. Fresh Yield
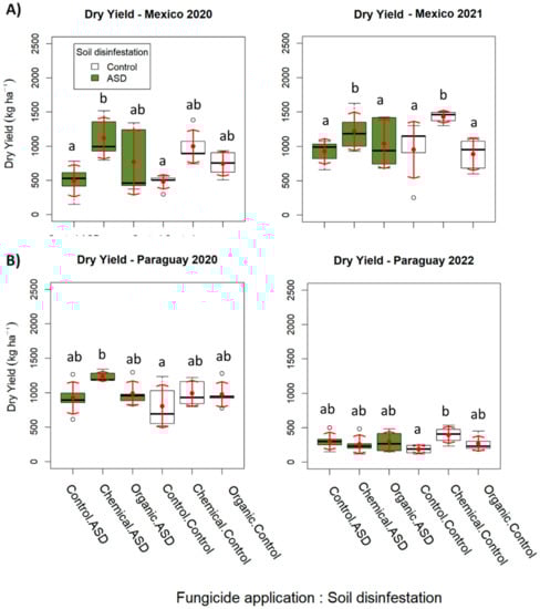
3.3.5. Dry Yield
3.3.6. Cost Disease Management Approaches
4. Discussion
4.1. Inhibitory Effect of Fungistatic Volatile Compounds Produced during ASD
4.2. Impact of ASD on Sclerotia, Disease Reduction, and Weed Control in Microplots
4.3. Effectiveness of Integrating ASD and Fungicide Programs under Field Conditions
Supplementary Materials
Author Contributions
Funding
Data Availability Statement
Acknowledgments
Conflicts of Interest
Abbreviations
References
- Soejarto, D.D.; Compadre, C.M.; Kinghorn, A.D. Ethnobotanical Notes on Stevia. Harvard Univ. Herb. 1983, 29, 1–25. [Google Scholar] [CrossRef]
- Britos, R.; Jongdae, P. Ka’a He’e. Stevia Rebaudiana (Bertoni) Bertoni. La Dulce Planta de Paraguay Para El Mundo. Alternativa Para La Diversificación de La Finca; Britos, R., Jongdae, P., Eds.; IPTA-KOPIA: Caacupe, Paraguay, 2016; ISBN 9789996767562. [Google Scholar]
- Segura-Campos, M.; Barbosa-Martín, E.; Matus-Basto, Á.; Cabrera-Amaro, D.; Murguía-Olmedo, M.; Moguel-Ordo, Y.; Betancur-Ancona, D. Comparison of Chemical and Functional Properties of Stevia rebaudiana (Bertoni) Varieties Cultivated in Mexican Southeast. Am. J. Plant Sci. 2014, 2014, 286–293. [Google Scholar] [CrossRef]
- Koehler, A.; Shew, H. First Report of Stem Rot of Stevia Caused by Sclerotinia sclerotiorum in North Carolina. Plant Dis. 2014, 98, 1433. [Google Scholar] [CrossRef]
- Huber, B.M.; Wehner, T.C. Performance of 16 Stevia rebaudiana Seed Cultigens for Glycosides and Yield in North Carolina. Sci. Hortic. 2021, 277, 109803. [Google Scholar] [CrossRef]
- Koehler, A.M.; Shew, H.D. Field Efficacy and Baseline Sensitivity of Septoria steviae to Fungicides Used for Managing Septoria Leaf Spot of Stevia. Crop. Prot. 2018, 109, 95–101. [Google Scholar] [CrossRef]
- Koehler, A.; Shew, H. First Report of Stem and Root Rot of Stevia Caused by Sclerotium rolfsii in North Carolina. Plant Dis. 2014, 98, 1005. [Google Scholar] [CrossRef]
- Koehler, A.; Shew, H.D. Enhanced Overwintering Survival of Stevia by QoI Fungicides Used for Management of Sclerotium rolfsii. Plant Dis. 2017, 101, 1417–1421. [Google Scholar] [CrossRef]
- Ishiba, C.; Yokoyama, T.; Tani, T. Leaf Spot Disease of Stevia Caused by Septoria steviae. Ann. Phytopathol. Soc. Japan 1982, 48, 34–43. [Google Scholar] [CrossRef]
- Reeleder, R. Septoria Leaf Spot of Stevia rebaudiana in Canada and Methods for Screening for Resistance. J. Phytopathol. 1999, 147, 605–613. [Google Scholar] [CrossRef]
- Termsung, N.; Cheewangkoon, R.; Kunasakdakul, K. First Report of Septoria steviae Causing Stevia Leaf Spot in Thailand. J. Phytopathol. 2021, 169, 260–268. [Google Scholar] [CrossRef]
- Koehler, A.M.; Shew, H.D. Evaluation of Serenade Opti and Kocide 3000 for Septoria Leaf Spot Control on Stevia in North Carolina, 2016. Stevia. Plant Dis. Manag. Rep. 2018, 109, 37–41. [Google Scholar]
- Blok, W.J.; Lamers, J.G.; Termorshuizen, A.J.; Bollen, G.J. Control of Soilborne Plant Pathogens by Incorporating Fresh Organic Amendments Followed by Tarping. Phytopathology 2000, 90, 253–259. [Google Scholar] [CrossRef]
- Momma, N.; Momma, M.; Kobara, Y. Biological Soil Disinfestation Using Ethanol: Effect on Fusarium oxysporum f. sp. lycopersici and Soil Microorganisms. J. Gen. Plant Pathol. 2010, 76, 336–344. [Google Scholar] [CrossRef]
- Hewavitharana, S.S.; Klarer, E.; Reed, A.J.; Leisso, R.; Poirier, B.; Honaas, L.; Rudell, D.R.; Mazzola, M. Temporal Dynamics of the Soil Metabolome and Microbiome During Simulated Anaerobic Soil Disinfestation. Front. Microbiol. 2019, 10, 2365. [Google Scholar] [CrossRef]
- Butler, D.M.; Kokalis-Burelle, N.; Albano, J.P.; McCollum, T.G.; Muramoto, J.; Shennan, C.; Rosskopf, E.N. Anaerobic Soil Disinfestation (ASD) Combined with Soil Solarization as a Methyl Bromide Alternative: Vegetable Crop Performance and Soil Nutrient Dynamics. Plant Soil 2014, 378, 365–381. [Google Scholar] [CrossRef]
- Letourneau, D.; van Bruggen, A. Crop Protection in Organic Agriculture; CSIRO Publishing Australia: Collingwood, Australia, 2006. [Google Scholar]
- Grewal, A.; Abbey, L.; Gunupuru, L.R. Production, Prospects and Potential Application of Pyroligneous Acid in Agriculture. J. Anal. Appl. Pyrolysis 2018, 135, 152–159. [Google Scholar] [CrossRef]
- Maliang, H.; Wang, P.; Chen, A.; Liu, H.; Lin, H.; Ma, J. Bamboo Tar as a Novel Fungicide: Its Chemical Components, Laboratory Evaluation, and Field Efficacy against False Smut and Sheath Blight of Rice and Powdery Mildew and Fusarium Wilt of Cucumber. Plant Dis. 2021, 105, 331–338. [Google Scholar] [CrossRef]
- Zhang, R.; Wei, D.; Yao, Z.; Chao, Z.; Xiaojuan, A. Effects of Wood Vinegar on the Soil Microbial Characteristics. J. Chem. Pharm. Res. 2014, 6, 1254–1260. [Google Scholar]
- Zanetti, M.; Cazetta, J.O.; De Mattos Júnior, D.; De Carvalho, S.A. Effect of Pyroligneous Acid in The Sprayng Solutions on Foliar Nutrients Content of ‘Rangpur’ Lime. Rev. Bras. Frutic. 2004, 26, 529–533. [Google Scholar] [CrossRef]
- Oramahi, H.A.; Yoshimura, T. Antifungal and Antitermitic Activities of Wood Vinegar from Vitex pubescens Vahl. J. Wood Sci. 2013, 59, 344–350. [Google Scholar] [CrossRef]
- Sanabria-Velazquez, A.D.; Rosado-Rivera, Y.; Thiessen, L.D. Greenhouse Evaluation of Alternative Products for the Management of Stem Rot of Stevia, NC 2021. Plant Dis. Manag. Rep. 2022, 16. [Google Scholar]
- Sanabria-Velazquez, A.D.; Rosado-Rivera, Y.; Thiessen, L.D. Evaluation of Alternative Products for the Management of Septoria Leaf Spot of Stevia, NC 2021. Plant Dis. Manag. Rep. 2022, 16. [Google Scholar]
- da Silva Porto, F.G.; dos Santos Vasconcelos, E.; Campos, Â.D.; Carreño, N.L.V.; Garcia, I.T.S. Chitosan in Eucalyptus grandis Pyroligneous Liquor for Agricultural Application: Physicochemical and Structural Characterization During Storage. J. Polym. Environ. 2021, 29, 1591–1599. [Google Scholar] [CrossRef]
- Kyung-Hwan, J. Growth Inhibition Effect of Pyroligneous Acid on Pathogenic Fungus, Alternaria mali, the Agent of Alternaria Blotch of Apple. Biotechnol. Bioprocess Eng. BBE 2007, 12, 318–322. [Google Scholar]
- Campos, A.D. Processo de Coleta e Produção Do Extrato Pirolenhoso Para Uso Agrícola. Circ. Técnica—Embrapa 2018, 178, 1–4. [Google Scholar]
- Schneider, C.A.; Rasband, W.S.; Eliceiri, K.W. NIH Image to ImageJ: 25 Years of Image Analysis. Nat. Methods 2012, 9, 671–675. [Google Scholar] [CrossRef]
- Sanabria-Velazquez, A.D.; Testen, A.L.; Enciso, G.A.; Soilan, L.C.; Miller, S.A. Effects of Anaerobic Soil Disinfestation on Sclerotinia sclerotiorum in Paraguay. Plant Health Prog. 2019, 20, 50–60. [Google Scholar] [CrossRef]
- Woźniak, A. Effect of Crop Rotation and Cereal Monoculture on the Yield and Quality of Winter Wheat Grain and on Crop Infestation with Weeds and Soil Properties. Int. J. Plant Prod. 2019, 13, 177–182. [Google Scholar] [CrossRef]
- Schappert, A.; Schumacher, M.; Gerhards, R. Weed Control Ability of Single Sown Cover Crops Compared to Species Mixtures. Agronomy 2019, 9, 294. [Google Scholar] [CrossRef]
- Sanabria-Velazquez, A.D.; Enciso-Maldonado, G.A.; Maidana-Ojeda, M.; Diaz-Najera, J.F.; Thiessen, L.D.; Shew, H.D. Validation of Standard Area Diagrams to Estimate the Severity of Septoria Leaf Spot on Stevia in Paraguay, Mexico, and the USA. Plant Dis. 2022. In press. [Google Scholar] [CrossRef]
- Shi, L.; Wang, J.; Gao, Z.; Zhao, X.; Di Gioia, F.; Guo, H.; Hong, J.; Ozores-Hampton, M.; Rosskopf, E. Economic Analysis of Anaerobic Soil Disinfestation for Open-Field Fresh-Market Tomato Production in Southwest and North Florida. Horttechnology 2019, 29, 777–787. [Google Scholar] [CrossRef]
- Shennan, C.; Muramoto, J.; Koike, S.T. Integrated Soil-Borne Disease and Weed Management for Organic Strawberries Using Anaerobic Soil Disinfestation, Broccoli Residue Incorporation, and Mustard Cake Application; Final Report for the Organic Research Foundation; Organic Research Foundation: Santa Cruz, CA, USA, 2014; p. 32. [Google Scholar]
- Zavatta, M.; Muramoto, J.; Milazzo, E.; Koike, S.; Klonsky, K.; Goodhue, R.; Shennan, C. Integrating Broccoli Rotation, Mustard Meal, and Anaerobic Soil Disinfestation to Manage Verticillium Wilt in Strawberry. Crop. Prot. 2021, 146, 105659. [Google Scholar] [CrossRef]
- Vecchia, L.; Di Gioia, F.; Ferrante, A.; Hong, J.C.; White, C.; Rosskopf, E.N. Integrating Cover Crops as a Source of Carbon for Anaerobic Soil Disinfestation. Agronomy 2020, 10, 1614. [Google Scholar] [CrossRef]
- Shennan, C.; Muramoto, J.; Koike, S.; Baird, G.; Fennimore, S.; Samtani, J.; Bolda, M.; Dara, S.; Daugovish, O.; Lazarovits, G.; et al. Anaerobic Soil Disinfestation is an Alternative to Soil Fumigation for Control of Some Soilborne Pathogens in Strawberry Production. Plant Pathol. 2018, 67, 51–66. [Google Scholar] [CrossRef]
- Bogado-Villalba, L.; Nakayama Nakashima, H.; Britos, R.; Iehisa, J.C.M.; Flores Giubi, M.E. Genotypic Characterization and Steviol Glycoside Quantification in a Population of Stevia rebaudiana Bertoni from Paraguay. J. Crop. Sci. Biotechnol. 2021, 24, 145–152. [Google Scholar] [CrossRef]
- Le Bihan, Z.; Gaudin, J.; Robledo-Garcia, F.; Cosson, P.; Hastoy, C.; Rolin, D.; Schurdi-Levraud, V. First Report of Sclerotium Stem Rot Caused by Athelia rolfsii on Stevia rebaudiana in Southwestern France. Plant Dis. 2019, 104, 584. [Google Scholar] [CrossRef]
- Ismail, T.; Ponya, Z.; Mushtaq, A.; Masood, A. Stevia a Bio Sweetener Scope in the European Union as a Commercial Product. Am. J. Sustain. Agric. 2020, 14, 23–26. [Google Scholar]
- Hewavitharana, S.S.; Klarer, E.; Muramoto, J.; Shennan, C.; Mazzola, M. Analysis of Environmental Variables and Carbon Input on Soil Microbiome, Metabolome and Disease Control Efficacy in Strawberry Attributable to Anaerobic Soil Disinfestation. Microorganisms 2021, 9, 1638. [Google Scholar] [CrossRef]
- Runia, W.T.; Thoden, T.C.; Molendijk, L.P.G.; Van Den Berg, W.; Streminska, M.A.; Van Der Wurff, A.W.G.; Termorshuizen, A.J.; Feil, H.; Meints, H. Unravelling the Mechanism of Pathogen Inactivation during Anaerobic Soil Disinfestation. Acta Hortic. 2014, 1044, 177–193. [Google Scholar] [CrossRef]
- van Agtmaal, M.; van Os, G.J.; Gera Hol, W.H.; Hundscheid, M.P.J.; Runia, W.T.; Hordijk, C.A.; de Boer, W. Legacy Effects of Anaerobic Soil Disinfestation on Soil Bacterial Community Composition and Production of Pathogen-Suppressing Volatiles. Front. Microbiol. 2015, 6, 701. [Google Scholar] [CrossRef]
- Momma, N.; Yamamoto, K.; Simandi, P.; Shishido, M. Role of Organic Acids in the Mechanisms of Biological Soil Disinfestation (BSD). J. Gen. Plant Pathol. 2006, 72, 247–252. [Google Scholar] [CrossRef]
- Mazzola, M.; Hewavitharana, S. Carbon Source-Dependent Volatile Production and ASD Efficacy for Suppression of Apple Root Pathogens and Parasites. Acta Hortic. 2014, 1044, 209–214. [Google Scholar] [CrossRef]
- van Agtmaal, M.; Straathof, A.L.; Termorshuizen, A.; Lievens, B.; Hoffland, E.; de Boer, W. Volatile-Mediated Suppression of Plant Pathogens is Related to Soil Properties and Microbial Community Composition. Soil Biol. Biochem. 2018, 117, 164–174. [Google Scholar] [CrossRef]
- Hewavitharana, S.S.; Mazzola, M. Effect of Different Gramineae Carbon Inputs on Efficacy of ASD for Control of Macrophomina phaseolina in Strawberry. In Proceedings of the Phytopathology; Amer Phytopathological Soc 3340 Pilot Knob Road; American Phytopathological Society: St. Paul, MN, USA, 2017; Volume 107, p. 46. [Google Scholar]
- Sanabria-Velázquez, A.D.; Testen, A.L.; Enciso, G.A.; Soilan, L.C.; Miller, S.A. Effects of anaerobic soil disinfestation on Sclerotinia sclerotiorum and Sclerotinia minor in Ohio muck soil. (Abstr.). Phytopathology 2018, 108, S1.1. [Google Scholar] [CrossRef]
- Ueki, A.; Kaku, N.; Ueki, K. Role of Anaerobic Bacteria in Biological Soil Disinfestation for Elimination of Soil-Borne Plant Pathogens in Agriculture. Appl. Microbiol. Biotechnol. 2018, 102, 6309–6318. [Google Scholar] [CrossRef]
- Shrestha, U.; Dee, M.E.; Ownley, B.H.; Butler, D.M. Anaerobic Soil Disinfestation Reduces Germination and Affects Colonization of Sclerotium rolfsii Sclerotia. Phytopathology 2018, 108, 342–351. [Google Scholar] [CrossRef]
- Achmon, Y.; Harrold, D.R.; Claypool, J.T.; Stapleton, J.J.; VanderGheynst, J.S.; Simmons, C.W. Assessment of Tomato and Wine Processing Solid Wastes as Soil Amendments for Biosolarization. Waste Manag. 2016, 48, 156–164. [Google Scholar] [CrossRef]
- Bárcenas-Moreno, G.; Gómez-Brandón, M.; Rousk, J.; Bååth, E. Adaptation of Soil Microbial Communities to Temperature: Comparison of Fungi and Bacteria in a Laboratory Experiment. Glob. Chang. Biol. 2009, 15, 2950–2957. [Google Scholar] [CrossRef]
- Testen, A.L.; Miller, S.A. Anaerobic Soil Disinfestation to Manage Soilborne Diseases in Muck Soil Vegetable Production Systems. Plant Dis. 2019, 103, 1757–1762. [Google Scholar] [CrossRef]
- Streminska, M.A.; Van Der Wurff, A.W.G.; Runia, W.T.; Thoden, T.C.; Termorshuizen, A.J.; Feil, H. Changes in Bacterial and Fungal Abundance in the Soil during the Process of Anaerobic Soil Disinfestation. Acta Hortic. 2014, 1041, 95–102. [Google Scholar] [CrossRef]
- Lee, C.G.; Kunitomo, E.; Iida, T.; Nakaho, K.; Ohkuma, M. Soil Prokaryotes Are Associated with Decreasing Fusarium oxysporum Density during Anaerobic Soil Disinfestation in the Tomato Field. Appl. Soil Ecol. 2020, 155, 103632. [Google Scholar] [CrossRef]
- Huang, X.; Wen, T.; Zhang, J.; Meng, L.; Zhu, T.; Cai, Z. Toxic Organic Acids Produced in Biological Soil Disinfestation Mainly Caused the Suppression of Fusarium oxysporum f. sp. cubense. Biocontrol 2015, 60, 113–124. [Google Scholar] [CrossRef]
- Mowlick, S.; Yasukawa, H.; Inoue, T.; Takehara, T.; Kaku, N.; Ueki, K.; Ueki, A. Suppression of Spinach Wilt Disease by Biological Soil Disinfestation Incorporated with Brassica juncea Plants in Association with Changes in Soil Bacterial Communities. Crop. Prot. 2013, 54, 185–193. [Google Scholar] [CrossRef]
- Achmon, Y.; Fernández-Bayo, J.D.; Hernandez, K.; McCurry, D.G.; Harrold, D.R.; Su, J.; Dahlquist-Willard, R.M.; Stapleton, J.J.; VanderGheynst, J.S.; Simmons, C.W. Weed Seed Inactivation in Soil Mesocosms via Biosolarization with Mature Compost and Tomato Processing Waste Amendments. Pest Manag. Sci. 2017, 73, 862–873. [Google Scholar] [CrossRef]
- Ebrahimi, N.; Viaene, N.; Aerts, J.; Debode, J.; Moens, M. Agricultural Waste Amendments Improve Inundation Treatment of Soil Contaminated with Potato Cyst Nematodes, Globodera Rostochiensis and G. Pallida. Eur. J. Plant Pathol. 2016, 145, 755–775. [Google Scholar] [CrossRef]
- Liu, L.; Huang, X.; Zhao, J.; Zhang, J.; Cai, Z. Characterizing the Key Agents in a Disease-Suppressed Soil Managed by Reductive Soil Disinfestation. Appl. Environ. Microbiol. 2019, 85, e02992-18. [Google Scholar] [CrossRef]
- Khadka, R.B.; Marasini, M.; Rawal, R.; Testen, A.L.; Miller, S.A. Effects of Anaerobic Soil Disinfestation Carbon Sources on Soilborne Diseases and Weeds of Okra and Eggplant in Nepal. Crop. Prot. 2019, 135, 104846. [Google Scholar] [CrossRef]
- Khadka, R.B.; Sanabria-Velazquez, A.D.; Cardina, J.; Miller, S.A. Evaluation of Anaerobic Soil Disinfestation for Environmentally Sustainable Weed Management. Agronomy 2022, 12, 3147. [Google Scholar] [CrossRef]
- Testen, A.L.; Rotondo, F.; Mills, M.P.; Horvat, M.M.; Miller, S.A. Evaluation of Agricultural Byproducts and Cover Crops as Anaerobic Soil Disinfestation Carbon Sources for Managing a Soilborne Disease Complex in High Tunnel Tomatoes. Front. Sustain. Food Syst. 2021, 5, 645197. [Google Scholar] [CrossRef]
- Bingaman, B.R.; Christians, N.E. Greenhouse Screening of Corn Gluten Meal as a Natural Control Product for Broadleaf and Grass Weeds. HortScience 1995, 30, 1256–1259. [Google Scholar] [CrossRef]
- McDade, M.C.; Christians, N.E. Corn Gluten Meal—A Natural Preemergence Herbicide: Effect on Vegetable Seedling Survival and Weed Cover. Am. J. Altern. Agric. 2000, 15, 189–191. [Google Scholar] [CrossRef]
- Mayo-Prieto, S.; Rodríguez-González, Á.; Lorenzana, A.; Gutiérrez, S.; Casquero, P.A. Influence of Substrates in the Development of Bean and in Pathogenicity of Rhizoctonia solani Jg Kühn. Agronomy 2020, 10, 707. [Google Scholar] [CrossRef]
- Mayo-Prieto, S.; Campelo, M.P.; Lorenzana, A.; Rodríguez-González, A.; Reinoso, B.; Gutiérrez, S.; Casquero, P.A. Antifungal Activity and Bean Growth Promotion of Trichoderma Strains Isolated from Seed vs Soil. Eur. J. Plant Pathol. 2020, 158, 817–828. [Google Scholar] [CrossRef]
- Khadka, R.B.; Miller, S.A. Synergy of Anaerobic Soil Disinfestation and Trichoderma Spp. in Rhizoctonia Root Rot Suppression. Front. Sustain. Food Syst. 2021, 5, 645736. [Google Scholar] [CrossRef]
- Sanabria-Velazquez, A.D.; Testen, A.L.; Khadka, R.B.; Liu, Z.; Xu, F.; Miller, S.A. Anaerobic Soil Disinfestation Reduces Viability of Sclerotinia sclerotiorum and S. minor Sclerotia and Root-Knot Nematodes in Muck Soils. Phytopathology 2020, 110, 795–804. [Google Scholar] [CrossRef]
- Schenck, S. Molasses Soil Amendment for Crop Improvement and Nematode Management. Hawaii Agric. Res. Cent. 2001, 3, 1–7. [Google Scholar]
- Rosskopf, E.N.; Burelle, N.; Hong, J.; Butler, D.M.; Noling, J.W.; He, Z.; Booker, B.; Sances, F. Comparison of Anaerobic Soil Disinfestation and Drip-Applied Organic Acids for Raised-Bed Specialty Crop Production in Florida. Acta Hortic. 2014, 1044, 221–228. [Google Scholar] [CrossRef]
- McCarty, D.G.; Eichler Inwood, S.E.; Ownley, B.H.; Sams, C.E.; Wszelaki, A.L.; Butler, D.M. Field Evaluation of Carbon Sources for Anaerobic Soil Disinfestation in Tomato and Bell Pepper Production in Tennessee. HortScience 2014, 49, 272–280. [Google Scholar] [CrossRef]
- Di Gioia, F.; Ozores-Hampton, M.; Zhao, X.; Thomas, J.; Wilson, P.; Li, Z.; Hong, J.; Albano, J.; Swisher, M.; Rosskopf, E. Anaerobic Soil Disinfestation Impact on Soil Nutrients Dynamics and Nitrous Oxide Emissions in Fresh-Market Tomato. Agric. Ecosyst. Environ. 2017, 240, 194–205. [Google Scholar] [CrossRef]
- Prescott, K.; Kortman, S.; Duque, J.; Muramoto, J.; Shennan, C.; Greenstein, G.; Haffa, A.L.M. Analysis of Trace Volatile Compounds Emitted from Flat Ground and Formed Bed Anaerobic Soil Disinfestation in Strawberry Field Trials on California’s Central Coast. Agronomy 2023, 13, 1190. [Google Scholar] [CrossRef]
- Muramoto, J.; Shennan, C.; Mazzola, M.; Wood, T.; Miethke, E.; Resultay, E.; Zavatta, M.; Koike, S.T. Use of a Summer Cover Crop as a Partial Carbon Source for Anaerobic Soil Disinfestation in Coastal California. Acta Hortic. 2020, 1270, 37–43. [Google Scholar] [CrossRef]
- Burger, M.; Venterea, R.T. Nitrogen Immobilization and Mineralization Kinetics of Cattle, Hog, and Turkey Manure Applied to Soil. Soil Sci. Soc. Am. J. 2008, 72, 1570–1579. [Google Scholar] [CrossRef]
- Tang, C.; Weligama, C.; Sale, P. Subsurface Soil Acidification in Farming Systems: Its Possible Causes and Management Options. In Molecular Environmental Soil Science; Xu, J., Sparks, D.L., Eds.; Springer: Dordrecht, The Netherlands, 2013; pp. 389–412. ISBN 978-94-007-4177-5. [Google Scholar]
- Qasim, W.; Wan, L.; Lv, H.; Zhao, Y.; Hu, J.; Meng, F.; Lin, S.; Butterbach-Bahl, K. Impact of Anaerobic Soil Disinfestation on Seasonal N2O Emissions and N Leaching in Greenhouse Vegetable Production System Depends on Amount and Quality of Organic Matter Additions. Sci. Total Environ. 2022, 830, 154673. [Google Scholar] [CrossRef]
- Swilling, K.J.; Shrestha, U.; Ownley, B.H.; Gwinn, K.D.; Butler, D.M. Volatile Fatty Acid Concentration, Soil PH and Soil Texture during Anaerobic Soil Conditions Affect Viability of Athelia (Sclerotium) rolfsii Sclerotia. Eur. J. Plant Pathol. 2022, 162, 149–161. [Google Scholar] [CrossRef]
- Koehler, A.M.; Shew, H.D. Evaluation of Soil Fumigants for Management of Soilborne Pathogens in North Carolina Stevia Fields, 2018. Plant Dis. Manag. Rep. 2018, N044, 37–41. [Google Scholar]
- Rogers, L.W.; Koehler, A.M. Nondestructive Sampling to Monitor Macrophomina phaseolina Root Colonization in Overwintering Stevia. Plant Health Prog. 2021, 22, 151–153. [Google Scholar] [CrossRef]
- Mirghasempour, S.A.; Studholme, D.J.; Chen, W.; Zhu, W.; Mao, B. Molecular and Pathogenic Characterization of Fusarium Species Associated with Corm Rot Disease in Saffron from China. J. Fungi 2022, 8, 515. [Google Scholar] [CrossRef]
- Liu, X.; Li, J.; Cui, X.; Ji, D.; Xu, Y.; Chen, T.; Tian, S. Exogenous Bamboo Pyroligneous Acid Improves Antioxidant Capacity and Primes Defense Responses of Harvested Apple Fruit. LWT 2020, 134, 110191. [Google Scholar] [CrossRef]
- DuPont, S.T.; Hewavitharana, S.S.; Mazzola, M. Field Scale Application of Brassica Seed Meal and Anaerobic Soil Disinfestation for the Control of Apple Replant Disease. Appl. Soil Ecol. 2021, 166, 104076. [Google Scholar] [CrossRef]




| Location | Season | Soil Type | Previous Crops | ASD s | Tarp. t | Carb. Source u | Plas. v | Plant Density w | Fun. x | Cult. y | Harvest z | |
|---|---|---|---|---|---|---|---|---|---|---|---|---|
| CEDIT, Itapua, Paraguay | 2019/ 2020 | Clay loam | Tomato, Soybean | 19 December | 3 | W + M | Black/ white | 100,000 | 30 × 20 × 70 | 4 | Eirete | 20 April |
| 2022 | Clay loam | Tomato, Carrot | 9 January | 4 | W + M | Black/ white | 55,000 | 50 × 30 × 70 | 3 | Eirete | 30 April | |
| CSAEGRO, Guerrero, Mexico | 2020 | Clay soil | Pepper | 20 June | 4 | C + M | Black | 100,000 | 30 × 20 × 70 | 4 | Morita II | 20 October |
| 2021 | Clay soil | Stevia | 16 June | 4 | C + M | Black | 100,000 | 30 × 20 × 70 | 4 | Morita II | 21 October | |
| Treatment y | Mycelial Growth (cm2) | Number of Sclerotia | Soil Redox Potential (mV) |
|---|---|---|---|
| Cornmeal | 3.61 ± 2.11 a z | 1 ± 1.29 a | −282.6 ± 112.53 a |
| Molasses | 9.04 ± 10.93 a | 7 ± 11.32 a | −274.7 ± 93.62 a |
| Wheat bran | 2.42 ± 1.79 a | 0 ± 0.63 a | −288.9 ± 80.95 a |
| Cornmeal + molasses | 3.16 ± 2.70 a | 0 ± 0 a | −317.4 ± 87.20 a |
| Wheat bran + molasses | 2.33 ± 1.92 a | 0 ± 0 a | −250.6 ± 40.08 a |
| Covered | 52.31 ± 8.80 b | 201 ± 32.05 b | 286.2 ± 99.03 b |
| Uncovered | 57.55 ± 4.66 b | 209 ± 21.99 b | 417.1 ± 62.65 c |
| p-value | <0.0001 | <0.0001 | <0.0001 |
| Plastic Mulch x | Carbon Sources y | Sclerotia | sAUDPC | Temperature | Redox | Weeds Count | |
|---|---|---|---|---|---|---|---|
| Cornmeal | Molasses | (%) w | (°C) | (mV) | (weed m2) | ||
| Plastic mulch | Yes | No | 11 ± 14 a z | 12.87 ± 9.09 a | 30.50 ± 0.43 b | −342.20 ± 46.69 a | 3.00 ± 5.10 a |
| No | Yes | 20 ± 14 a | 12.13 ± 12.26 a | 30.00 ± 0.26 b | −312.00 ± 27.75 a | 6.00 ± 9.59 a | |
| Yes | Yes | 04 ± 06 a | 9.90 ± 10.53 a | 30.42 ± 0.42 b | −390.40 ± 72.13 a | 7.80 ± 15.30 a | |
| No | No | 71 ± 19 b | 25.90 ± 4.22 ab | 29.58 ± 0.26 b | 397.40 ± 61.47 b | 1.60 ± 2.30 a | |
| No plastic mulch | Yes | No | 93 ± 06 b | 45.78 ± 7.96 c | 29.94 ± 0.27 b | 288.40 ± 45.98 b | 37.60 ± 42.51 ab |
| No | Yes | 69 ± 24 b | 19.37 ± 11.01 ab | 29.22 ± 0.56 ab | 326.00 ± 74.22 b | 23.40 ± 18.23 ab | |
| Yes | Yes | 73 ± 29 b | 48.08 ± 8.39 c | 30.36 ± 1.03 b | 235.40 ± 341.44 b | 33.80 ± 31.63 ab | |
| No | No | 91 ± 12 b | 35.93 ± 9.52 bc | 27.92 ± 1.71 a | 346.40 ± 47.40 b | 81.40 ± 60.76 b | |
| p-value | |||||||
| Main effects | A = Plastic mulch | <0.0001 | <0.0001 | 0.0018 | <0.0001 | 0.0002 | |
| B = Cornmeal | 0.0044 | 0.0475 | <0.0001 | <0.0001 | 0.4217 | ||
| C = Molasses | 0.0001 | 0.0101 | 0.028 | <0.0001 | 0.1665 | ||
| Interaction | A× B | 0.0009 | <0.0001 | 0.0501 | 0.0004 | 0.3314 | |
| A × C | 0.4903 | 0.8279 | 0.1318 | 0.0003 | 0.0655 | ||
| B × C | 0.0451 | 0.0134 | 0.1318 | 0.0008 | 0.1515 | ||
| A × B × C | 0.0681 | 0.479 | 0.6723 | 0.0003 | 0.1574 | ||
| Mexico | Paraguay | |||
|---|---|---|---|---|
| Treatment y | 2020 | 2021 | 2020 | 2022 |
| ASD | 15.0 ± 17.6 a z | 28.4 ± 17.7 a | 14.6 ± 10.6 a | 21.2 ± 17.2 a |
| Control | 45.8 ± 23.9 b | 59.5 ± 28.6 b | 58.2 ± 20.8 b | 79.7 ± 13.1 b |
| p-value | <0.0001 | <0.0001 | <0.0001 | <0.0001 |
Disclaimer/Publisher’s Note: The statements, opinions and data contained in all publications are solely those of the individual author(s) and contributor(s) and not of MDPI and/or the editor(s). MDPI and/or the editor(s) disclaim responsibility for any injury to people or property resulting from any ideas, methods, instructions or products referred to in the content. |
© 2023 by the authors. Licensee MDPI, Basel, Switzerland. This article is an open access article distributed under the terms and conditions of the Creative Commons Attribution (CC BY) license (https://creativecommons.org/licenses/by/4.0/).
Share and Cite
Sanabria-Velazquez, A.D.; Enciso-Maldonado, G.A.; Maidana-Ojeda, M.; Diaz-Najera, J.F.; Ayvar-Serna, S.; Thiessen, L.D.; Shew, H.D. Integrated Pathogen Management in Stevia Using Anaerobic Soil Disinfestation Combined with Different Fungicide Programs in USA, Mexico, and Paraguay. Agronomy 2023, 13, 1358. https://doi.org/10.3390/agronomy13051358
Sanabria-Velazquez AD, Enciso-Maldonado GA, Maidana-Ojeda M, Diaz-Najera JF, Ayvar-Serna S, Thiessen LD, Shew HD. Integrated Pathogen Management in Stevia Using Anaerobic Soil Disinfestation Combined with Different Fungicide Programs in USA, Mexico, and Paraguay. Agronomy. 2023; 13(5):1358. https://doi.org/10.3390/agronomy13051358
Chicago/Turabian StyleSanabria-Velazquez, Andres D., Guillermo A. Enciso-Maldonado, Marco Maidana-Ojeda, Jose F. Diaz-Najera, Sergio Ayvar-Serna, Lindsey D. Thiessen, and H. David Shew. 2023. "Integrated Pathogen Management in Stevia Using Anaerobic Soil Disinfestation Combined with Different Fungicide Programs in USA, Mexico, and Paraguay" Agronomy 13, no. 5: 1358. https://doi.org/10.3390/agronomy13051358
APA StyleSanabria-Velazquez, A. D., Enciso-Maldonado, G. A., Maidana-Ojeda, M., Diaz-Najera, J. F., Ayvar-Serna, S., Thiessen, L. D., & Shew, H. D. (2023). Integrated Pathogen Management in Stevia Using Anaerobic Soil Disinfestation Combined with Different Fungicide Programs in USA, Mexico, and Paraguay. Agronomy, 13(5), 1358. https://doi.org/10.3390/agronomy13051358

