Long-Term Conservation Tillage Increases Yield and Water Use Efficiency of Spring Wheat (Triticum aestivum L.) by Regulating Substances Related to Stress on the Semi-Arid Loess Plateau of China
Abstract
1. Introduction
2. Materials and Methods
2.1. Site Description
2.2. Experiment Design
2.3. Sampling and Measurements
2.3.1. Soil Physical and Chemical Properties
2.3.2. Stress-Related Substances
2.3.3. Dry Matter Accumulation, Grain Yield, and WUE
2.3.4. Statistical Analysis
3. Results
3.1. Soil Physical and Chemical Properties
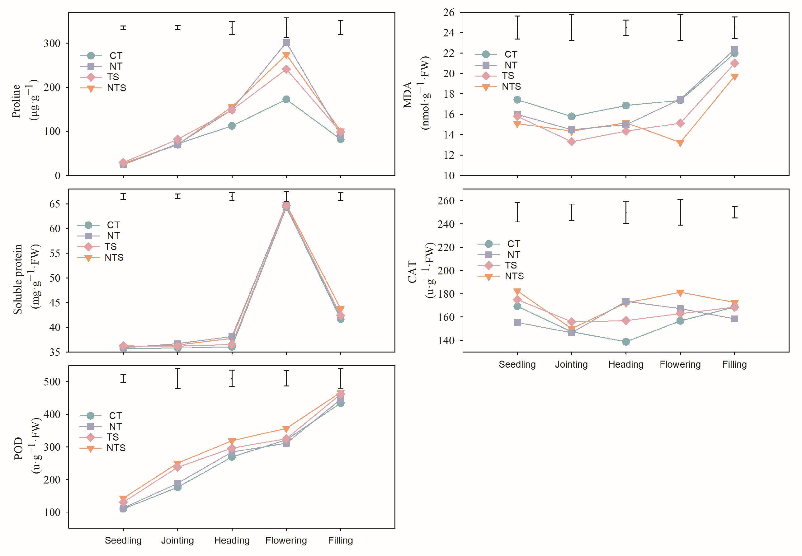
3.2. Stress-Related Substances
3.3. Biomass Accumulation, Grain Yield, and WUE
3.4. Correlations
4. Discussion
4.1. Long-Term Conservation Tillage Optimizing Spring Wheat Yields by Improving Soil Physical and Chemistry
4.2. No Tillage with Straw Mulching Improves Yield in Spring Wheat by Regulating Stress-Related Substances
5. Conclusions
Author Contributions
Funding
Data Availability Statement
Conflicts of Interest
References
- Li, F.-M.; Wang, J.; Xu, J.-Z.; Xu, H.-L. Productivity and soil response to plastic film mulching durations for spring wheat on entisols in the semiarid Loess Plateau of China. Soil Tillage Res. 2004, 78, 9–20. [Google Scholar] [CrossRef]
- Lamptey, S.; Li, L.; Xie, J.; Zhang, R.; Yeboah, S.; Antille, D.L. Photosynthetic response of maize to nitrogen fertilization in the semiarid western loess plateau of China. Crop Sci. 2017, 57, 2739–2752. [Google Scholar] [CrossRef]
- He, L.; Cleverly, J.; Chen, C.; Yang, X.; Li, J.; Liu, W.; Yu, Q. Diverse responses of winter wheat yield and water use to climate change and variability on the semiarid Loess Plateau in China. Agron. J. 2014, 106, 1169–1178. [Google Scholar] [CrossRef]
- David, G. Save and Grow: A Policymaker’s Guide to the Sustainable Intensification of Smallholder Crop Production; Food and Agriculture Organization of the United Nations: Rome, Italy, 2011; p. 112. ISBN 978-92-5-106871-7. [Google Scholar]
- Pittelkow, C.M.; Liang, X.; Linquist, B.A.; Van Groenigen, K.J.; Lee, J.; Lundy, M.E.; Van Gestel, N.; Six, J.; Venterea, R.T.; Van Kessel, C. Productivity limits and potentials of the principles of conservation agriculture. Nature 2015, 517, 365–368. [Google Scholar] [CrossRef]
- Du, C.; Li, L.; Effah, Z. Effects of straw mulching and reduced tillage on crop production and environment: A review. Water 2022, 14, 2471. [Google Scholar] [CrossRef]
- Gao, Y.; Dang, X.; Yu, Y.; Li, Y.; Liu, Y.; Wang, J. Effects of tillage methods on soil carbon and wind erosion. Land Degrad. Dev. 2016, 27, 583–591. [Google Scholar] [CrossRef]
- Khan, S.; Shah, A.; Nawaz, M.; Khan, M. Impact of different tillage practices on soil physical properties, nitrate leaching and yield attributes of maize (Zea mays L.). J. Soil Sci. Plant Nutr. 2017, 17, 240–252. [Google Scholar] [CrossRef]
- Jakab, G.; Madarász, B.; Szabó, J.A.; Tóth, A.; Zacháry, D.; Szalai, Z.; Kertész, Á.; Dyson, J. Infiltration and soil loss changes during the growing season under ploughing and conservation tillage. Sustainability 2017, 9, 1726. [Google Scholar] [CrossRef]
- Mitchell, J.; Singh, P.; Wallender, W.; Munk, D.; Wroble, J.; Horwath, W.; Hogan, P.; Roy, R.; Hanson, B. No-tillage and high-residue practices reduce soil water evaporation. Calif. Agric. 2012, 66, 55–61. [Google Scholar] [CrossRef]
- Huang, Y.; Chen, L.; Fu, B.; Huang, Z.; Gong, J. The wheat yields and water-use efficiency in the Loess Plateau: Straw mulch and irrigation effects. Agric. Water Manag. 2005, 72, 209–222. [Google Scholar] [CrossRef]
- Wang, Y.; Xie, Z.; Malhi, S.S.; Vera, C.L.; Zhang, Y.; Wang, J. Effects of rainfall harvesting and mulching technologies on water use efficiency and crop yield in the semi-arid Loess Plateau, China. Agric. Water Manag. 2009, 96, 374–382. [Google Scholar] [CrossRef]
- Kosova, K.; Vitamvas, P.; Urban, M.O.; Kholova, J.; Prášil, I.T. Breeding for enhanced drought resistance in barley and wheat-drought-associated traits, genetic resources and their potential utilization in breeding programmes. Czech J. Genet. Plant Breed. 2014, 50, 247–261. [Google Scholar] [CrossRef]
- Kebede, A.; Kang, M.S.; Bekele, E. Advances in mechanisms of drought tolerance in crops, with emphasis on barley. Adv. Agron. 2019, 156, 265–314. [Google Scholar]
- Neill, S.J.; Desikan, R.; Clarke, A.; Hurst, R.D.; Hancock, J.T. Hydrogen peroxide and nitric oxide as signalling molecules in plants. J. Exp. Bot. 2002, 53, 1237–1247. [Google Scholar] [CrossRef]
- Gill, S.S.; Tuteja, N. Reactive oxygen species and antioxidant machinery in abiotic stress tolerance in crop plants. Plant Physiol. Biochem. 2010, 48, 909–930. [Google Scholar] [CrossRef]
- Noctor, G.; Foyer, C.H. Ascorbate and glutathione: Keeping active oxygen under control. Annu. Rev. Plant Biol. 1998, 49, 249–279. [Google Scholar] [CrossRef]
- Asada, K. The water-water cycle in chloroplasts: Scavenging of active oxygens and dissipation of excess photons. Annu. Rev. Plant Biol. 1999, 50, 601–639. [Google Scholar] [CrossRef]
- Bi, H.; Kovalchuk, N.; Langridge, P.; Tricker, P.J.; Lopato, S.; Borisjuk, N. The impact of drought on wheat leaf cuticle properties. BMC Plant Biol. 2017, 17, 85. [Google Scholar] [CrossRef]
- Lee, Y.-P.; Kim, S.-H.; Bang, J.-W.; Lee, H.-S.; Kwak, S.-S.; Kwon, S.-Y. Enhanced tolerance to oxidative stress in transgenic tobacco plants expressing three antioxidant enzymes in chloroplasts. Plant Cell Rep. 2007, 26, 591–598. [Google Scholar] [CrossRef]
- Mittler, R. Oxidative stress, antioxidants and stress tolerance. Trends Plant Sci. 2002, 7, 405–410. [Google Scholar] [CrossRef]
- Ahmad, S.; Zaheer, M.S.; Ali, H.H.; Erinle, K.O.; Wani, S.H.; Iqbal, R.; Okone, O.G.; Raza, A.; Waqas, M.M.; Nawaz, M. Physiological and biochemical properties of wheat (Triticum aestivum L.) under different mulching and water management systems in the semi-arid region of Punjab, Pakistan. Arid Land Res. Manag. 2022, 36, 181–196. [Google Scholar] [CrossRef]
- Jasim, A.H.; Al-Timmen, W.M.A. The effect of mulch and fertilizers on broccoli (Brassica oleracea L. Var. Italica) oxidants and antioxidants. Net. J. Agric. Sci. 2014, 2, 124–130. [Google Scholar]
- Ni, X.; Song, W.; Zhang, H.; Yang, X.; Wang, L. Effects of mulching on soil properties and growth of tea olive (Osmanthus fragrans). PLoS ONE 2016, 11, e0158228. [Google Scholar] [CrossRef] [PubMed]
- Liu, Y.; Li, S.; Chen, F.; Yang, S.; Chen, X. Soil water dynamics and water use efficiency in spring maize (Zea mays L.) fields subjected to different water management practices on the Loess Plateau, China. Agric. Water Manag. 2010, 97, 769–775. [Google Scholar] [CrossRef]
- Prochazkova, D.; Sairam, R.; Srivastava, G.; Singh, D. Oxidative stress and antioxidant activity as the basis of senescence in maize leaves. Plant Sci. 2001, 161, 765–771. [Google Scholar] [CrossRef]
- FAO. Soil Map of the World: Revised Legend. World Soil Resources Report 60; Food and Agriculture Organization of the United Nations: Italy, Rome, 1990. [Google Scholar]
- Huang, G.; Zhang, R.; Li, G.; Li, L.; Chan, K.Y.; Heenan, D.; Chen, W.; Unkovich, M.; Robertson, M.J.; Cullis, B.R. Productivity and sustainability of a spring wheat–field pea rotation in a semi-arid environment under conventional and conservation tillage systems. Field Crops Res. 2008, 107, 43–55. [Google Scholar] [CrossRef]
- Liming, M. Selection of dryland spring wheat Dingxi 40 and cultivation technology of autumn film cover. China Agric. Inf. 2011, 23–24. (In Chinese) [Google Scholar]
- Carter, M.R.; Gregorich, E.G. Soil Sampling and Methods of Analysis; CRC Press: Boca Raton, FL, USA, 2007. [Google Scholar]
- Peng, Z.; Wang, L.; Xie, J.; Li, L.; Coulter, J.A.; Zhang, R.; Luo, Z.; Cai, L.; Carberry, P.; Whitbread, A. Conservation tillage increases yield and precipitation use efficiency of wheat on the semi-arid Loess Plateau of China. Agric. Water Manag. 2020, 231, 106024. [Google Scholar] [CrossRef]
- Cavagnaro, T.R.; Jackson, L.; Six, J.; Ferris, H.; Goyal, S.; Asami, D.; Scow, K. Arbuscular mycorrhizas, microbial communities, nutrient availability, and soil aggregates in organic tomato production. Plant Soil 2006, 282, 209–225. [Google Scholar] [CrossRef]
- Olsen, S.R. Estimation of Available Phosphorus in Soils by Extraction with Sodium Bicarbonate; US Department of Agriculture: Washington, DC, USA, 1954.
- Pearcy, R.W.; Ehleringer, J.R.; Mooney, H.; Rundel, P.W. Plant Physiological Ecology: Field Methods and Instrumentation; Springer: Berlin/Heidelberg, Germany, 2012. [Google Scholar]
- Sun, C.; Liu, Z.; Jing, Y. Effect of water stress on activity and isozyme of the major defense enzyme in maize leaves. J. Maize Sci 2003, 11, 63–66. [Google Scholar]
- Rahnama, H.; Ebrahimzadeh, H. Antioxidant isozymes activities in potato plants (Solanum tuberosum L.) under salt stress. J. Sci. 2006, 17, 225–230. [Google Scholar]
- Dong, Y.; Ma, Y.; Wang, H.; Zhang, J.; Zhang, G.; Yang, M.-S. Assessment of tolerance of willows to saline soils through electrical impedance measurements. For. Sci. Pract. 2013, 15, 32–40. [Google Scholar]
- Ling-Ling, L.I.; Huang, G.B.; Zhang, R.Z.; Jin, X.J.; Guangdi, L.I.; Chan, K.Y. Effects of no-till with stubble retention on soil water regimes in rainfed areas. J. Soil Water Conserv. 2005, 19, 94–97. [Google Scholar]
- Cai, L.-Q.; Luo, Z.-Z.; Zhang, R.-Z.; Huang, G.-B.; Li, L.-L.; Xie, J.-H. Effect of different tillage methods on soil water retention and infiltration capability of rainfed field. J. Desert Res. 2012, 32, 1362–1368. [Google Scholar]
- Zheng-kai, P.; Ling-ling, L.; Jun-hong, X.; Cai-rui, K.; Essel, E.; Jin-bin, W.; Jian-hui, X.; Ji-cheng, S. Effects of conservational tillage on water characteristics in dryland farm of central Gansu, Northwest China. Yingyong Shengtai Xuebao 2018, 29, 4022–4028. [Google Scholar]
- Chen, Y.; Liu, S.; Li, H.; Li, X.F.; Song, C.Y.; Cruse, R.M.; Zhang, X.Y. Effects of conservation tillage on corn and soybean yield in the humid continental climate region of Northeast China. Soil Tillage Res. 2011, 115, 56–61. [Google Scholar] [CrossRef]
- Wang, X.; Wu, H.; Dai, K.; Zhang, D.; Feng, Z.; Zhao, Q.; Wu, X.; Jin, K.; Cai, D.; Oenema, O. Tillage and crop residue effects on rainfed wheat and maize production in northern China. Field Crops Res. 2012, 132, 106–116. [Google Scholar] [CrossRef]
- Zhang, S.; Sadras, V.; Chen, X.; Zhang, F. Water use efficiency of dryland wheat in the Loess Plateau in response to soil and crop management. Field Crops Res. 2013, 151, 9–18. [Google Scholar] [CrossRef]
- Chen, S.; Zhang, X.; Pei, D.; Sun, H.; Chen, S. Effects of straw mulching on soil temperature, evaporation and yield of winter wheat: Field experiments on the North China Plain. Ann. Appl. Biol. 2007, 150, 261–268. [Google Scholar] [CrossRef]
- Li, S.; Wang, Z.; Li, S.; Gao, Y.; Tian, X. Effect of plastic sheet mulch, wheat straw mulch, and maize growth on water loss by evaporation in dryland areas of China. Agric. Water Manag. 2013, 116, 39–49. [Google Scholar] [CrossRef]
- Bussière, F.; Cellier, P. Modification of the soil temperature and water content regimes by a crop residue mulch: Experiment and modelling. Agric. For. Meteorol. 1994, 68, 1–28. [Google Scholar] [CrossRef]
- Wang, X.; Hoogmoed, W.; Perdok, U.; Cai, D. Tillage and residue effects on rainfed wheat and corn production in the Semi-Arid Regions of Northern China. In Proceedings of the 16th International ISTRO Conference, Brisbane, QLD, Australia, 13–18 July 2003; pp. 1354–1359. [Google Scholar]
- Zhang, S.; Chen, X.; Jia, S.; Liang, A.; Zhang, X.; Yang, X.; Wei, S.; Sun, B.; Huang, D.; Zhou, G. The potential mechanism of long-term conservation tillage effects on maize yield in the black soil of Northeast China. Soil Tillage Res. 2015, 154, 84–90. [Google Scholar] [CrossRef]
- Chaves, M.M.; Maroco, J.P.; Pereira, J.S. Understanding plant responses to drought—From genes to the whole plant. Funct. Plant Biol. 2003, 30, 239–264. [Google Scholar] [CrossRef] [PubMed]
- Erdei, L. Osmotic stress responses of wheat species and cultivars differing in drought tolerance: Some interesting genes (advices for gene hunting). Acta Biol. Szeged. 2002, 46, 63–65. [Google Scholar]
- Yang, S.; Deng, X. Effects of drought stress on antioxidant enzymes in seedlings of different wheat genotypes. Pak. J. Bot 2015, 47, 49–56. [Google Scholar]
- Naveed, M.; Mitter, B.; Reichenauer, T.G.; Wieczorek, K.; Sessitsch, A. Increased drought stress resilience of maize through endophytic colonization by Burkholderia phytofirmans PsJN and Enterobacter sp. FD17. Environ. Exp. Bot. 2014, 97, 30–39. [Google Scholar] [CrossRef]
- Cakmak, I.; Marschner, H. Effect of zinc nutritional status on activities of superoxide radical and hydrogen peroxide scavenging enzymes in bean leaves. In Proceedings of the Plant Nutrition—From Genetic Engineering to Field Practice: Proceedings of the Twelfth International Plant Nutrition Colloquium, Perth, WA, Australia, 21–26 September 1993; pp. 133–136. [Google Scholar]
- Bian, S.; Jiang, Y. Reactive oxygen species, antioxidant enzyme activities and gene expression patterns in leaves and roots of Kentucky bluegrass in response to drought stress and recovery. Sci. Hortic. 2009, 120, 264–270. [Google Scholar] [CrossRef]
- Wang, W.-B.; Kim, Y.-H.; Lee, H.-S.; Kim, K.-Y.; Deng, X.-P.; Kwak, S.-S. Analysis of antioxidant enzyme activity during germination of alfalfa under salt and drought stresses. Plant Physiol. Biochem. 2009, 47, 570–577. [Google Scholar] [CrossRef]
- Jouili, H.; El Ferjani, E. Changes in antioxidant and lignifying enzyme activities in sunflower roots (Helianthus annuus L.) stressed with copper excess. Comptes Rendus Biol. 2003, 326, 639–644. [Google Scholar] [CrossRef]
- Abedi, T.; Pakniyat, H. Antioxidant enzymes changes in response to drought stress in ten cultivars of oilseed rape (Brassica napus L.). Czech J. Genet. Plant Breed. 2010, 46, 27–34. [Google Scholar] [CrossRef]
- Chen, J.; Zhao, X.; Liu, X.; Zhang, Y.; Luo, Y.; Luo, Y.; He, Z.; Zhang, R. Growth and physiology of two psammophytes to precipitation manipulation in Horqin sandy land, Eastern China. Plants 2019, 8, 244. [Google Scholar] [CrossRef]
- Zali, A.G.; Ehsanzadeh, P. Exogenous proline improves osmoregulation, physiological functions, essential oil, and seed yield of fennel. Ind. Crops Prod. 2018, 111, 133–140. [Google Scholar] [CrossRef]
- Akbari-Kharaji, M.; Ehsanzadeh, P.; Zali, A.G.; Askari, E.; Rajabi-Dehnavi, A. Ratooned fennel relies on osmoregulation and antioxidants to damp seed yield decline with water limitation. Agron. Sustain. Dev. 2020, 40, 9. [Google Scholar] [CrossRef]
- Marcińska, I.; Czyczyło-Mysza, I.; Skrzypek, E.; Filek, M.; Grzesiak, S.; Grzesiak, M.T.; Janowiak, F.; Hura, T.; Dziurka, M.; Dziurka, K. Impact of osmotic stress on physiological and biochemical characteristics in drought-susceptible and drought-resistant wheat genotypes. Acta Physiol. Plant. 2013, 35, 451–461. [Google Scholar] [CrossRef]





| Treatments | Bulk Density (Mg m−3) | pH | Total N | NO3−-N | Available P | Available K |
|---|---|---|---|---|---|---|
| (g kg−1) | (g kg−1) | (mg kg−1) | (mg kg−1) | |||
| conventional tillage (CT) | 1.28 ± 0.02 a | 8.37 ± 0.01 a | 0.77 ± 0.01 b | 23.62 ± 0.60 b | 13.63 ± 0.18 b | 314.80 ± 39.92 a |
| no tillage with no straw mulching (NT) | 1.25 ± 0.03 ab | 8.33 ± 0.02 b | 0.78 ± 0.02 b | 23.60 ± 0.89 b | 13.17 ± 0.63 b | 323.07 ± 45.89 a |
| conventional tillage with straw incorporation (TS) | 1.23 ± 0.02 b | 8.36 ± 0.00 a | 0.80 ± 0.02 a | 25.21 ± 0.53 a | 14.12 ± 0.20 ab | 318.67 ± 40.29 a |
| no tillage with straw mulching (NTS) | 1.18 ± 0.01 c | 8.29 ± 0.02 b | 0.82 ± 0.03 a | 25.56 ± 0.40 a | 14.63 ± 0.65 a | 333.17 ± 37.07 a |
| Growth stage | Index | CAT | POD | MDA | Soluble Protein | Proline |
|---|---|---|---|---|---|---|
| Seedling stage | Dry matter | −0.004 | −0.191 | 0.032 | −0.129 | 0.298 |
| Grain yield | 0.917 ** | 0.904 ** | 0.900 ** | 0.928 ** | 0.919 ** | |
| WUE | 0.355 | 0.263 | 0.351 | −0.429 | 0.562 | |
| Jointing stage | Dry matter | 0.783 ** | 0.121 | 0.500 | −0.523 | 0.460 |
| Grain yield | 0.763 ** | 0.685 * | 0.402 | 0.924 ** | −0.424 | |
| WUE | 0.661 * | 0.158 | 0.421 | −0.483 | 0.381 | |
| Heading stage | Dry matter | 0.707 * | 0.735 ** | −0.780 ** | 0.733 ** | 0.685 * |
| Grain yield | 0.758 ** | 0.894 ** | −0.780 ** | 0.924 ** | −0.482 | |
| WUE | −0.041 | −0.268 | −0.170 | −0.391 | 0.376 | |
| Flowering stage | Dry matter | 0.413 | 0.797 ** | −0.560 | −0.508 | 0.777 ** |
| Grain yield | 0.730 ** | 0.898 ** | −0.755 ** | −0.271 | 0.767 ** | |
| WUE | 0.003 | 0.496 | 0.000 | 0.130 | 0.986 | |
| Filling stage | Dry matter | 0.143 | 0.729 ** | −0.712 ** | 0.658 * | 0.647 * |
| Grain yield | 0.249 | 0.909 ** | −0.926 ** | 0.880 ** | 0.775 ** | |
| WUE | 0.687 * | 0.267 | −0.608 * | −0.353 | 0.047 |
Disclaimer/Publisher’s Note: The statements, opinions and data contained in all publications are solely those of the individual author(s) and contributor(s) and not of MDPI and/or the editor(s). MDPI and/or the editor(s) disclaim responsibility for any injury to people or property resulting from any ideas, methods, instructions or products referred to in the content. |
© 2023 by the authors. Licensee MDPI, Basel, Switzerland. This article is an open access article distributed under the terms and conditions of the Creative Commons Attribution (CC BY) license (https://creativecommons.org/licenses/by/4.0/).
Share and Cite
Du, C.; Li, L.; Xie, J.; Effah, Z.; Luo, Z.; Wang, L. Long-Term Conservation Tillage Increases Yield and Water Use Efficiency of Spring Wheat (Triticum aestivum L.) by Regulating Substances Related to Stress on the Semi-Arid Loess Plateau of China. Agronomy 2023, 13, 1301. https://doi.org/10.3390/agronomy13051301
Du C, Li L, Xie J, Effah Z, Luo Z, Wang L. Long-Term Conservation Tillage Increases Yield and Water Use Efficiency of Spring Wheat (Triticum aestivum L.) by Regulating Substances Related to Stress on the Semi-Arid Loess Plateau of China. Agronomy. 2023; 13(5):1301. https://doi.org/10.3390/agronomy13051301
Chicago/Turabian StyleDu, Changliang, Lingling Li, Junhong Xie, Zechariah Effah, Zhuzhu Luo, and Linlin Wang. 2023. "Long-Term Conservation Tillage Increases Yield and Water Use Efficiency of Spring Wheat (Triticum aestivum L.) by Regulating Substances Related to Stress on the Semi-Arid Loess Plateau of China" Agronomy 13, no. 5: 1301. https://doi.org/10.3390/agronomy13051301
APA StyleDu, C., Li, L., Xie, J., Effah, Z., Luo, Z., & Wang, L. (2023). Long-Term Conservation Tillage Increases Yield and Water Use Efficiency of Spring Wheat (Triticum aestivum L.) by Regulating Substances Related to Stress on the Semi-Arid Loess Plateau of China. Agronomy, 13(5), 1301. https://doi.org/10.3390/agronomy13051301

