Effect of Plasma Activated Water on the Degradation of Bifenazate and Spirodiclofen Residues on Cuimi kumquat and Impact on Its Quality
Abstract
1. Introduction
2. Materials and Methods
2.1. Instrumentation and Reagents
2.2. Sample Preparation
2.3. Preparation of PAW and Sample Handling
2.4. Physicochemical Properties of PAW
2.5. Analysis of Residual Amounts of Fenamiphos
2.5.1. Pretreatment Method
2.5.2. High Performance Liquid Chroma-Mass Spectrography (HPLC-MS) Analysis
- Liquid chromatography conditions
- 2.
- The mass spectrometry (MS) conditions
2.6. Analysis of the Physical and Chemical Properties of Cuimi kumquat
2.6.1. Determination of Skin Color Difference
2.6.2. Determination of Intrinsic Quality of Fruit
2.7. Data Processing
3. Results and Discussion
3.1. Physico-Chemical Properties of PAW
3.2. Linear Range and Quantification Limit of HPLC-MS
3.3. PAW’s Effect on Pesticide Residue Degradation in Cuimi kumquat
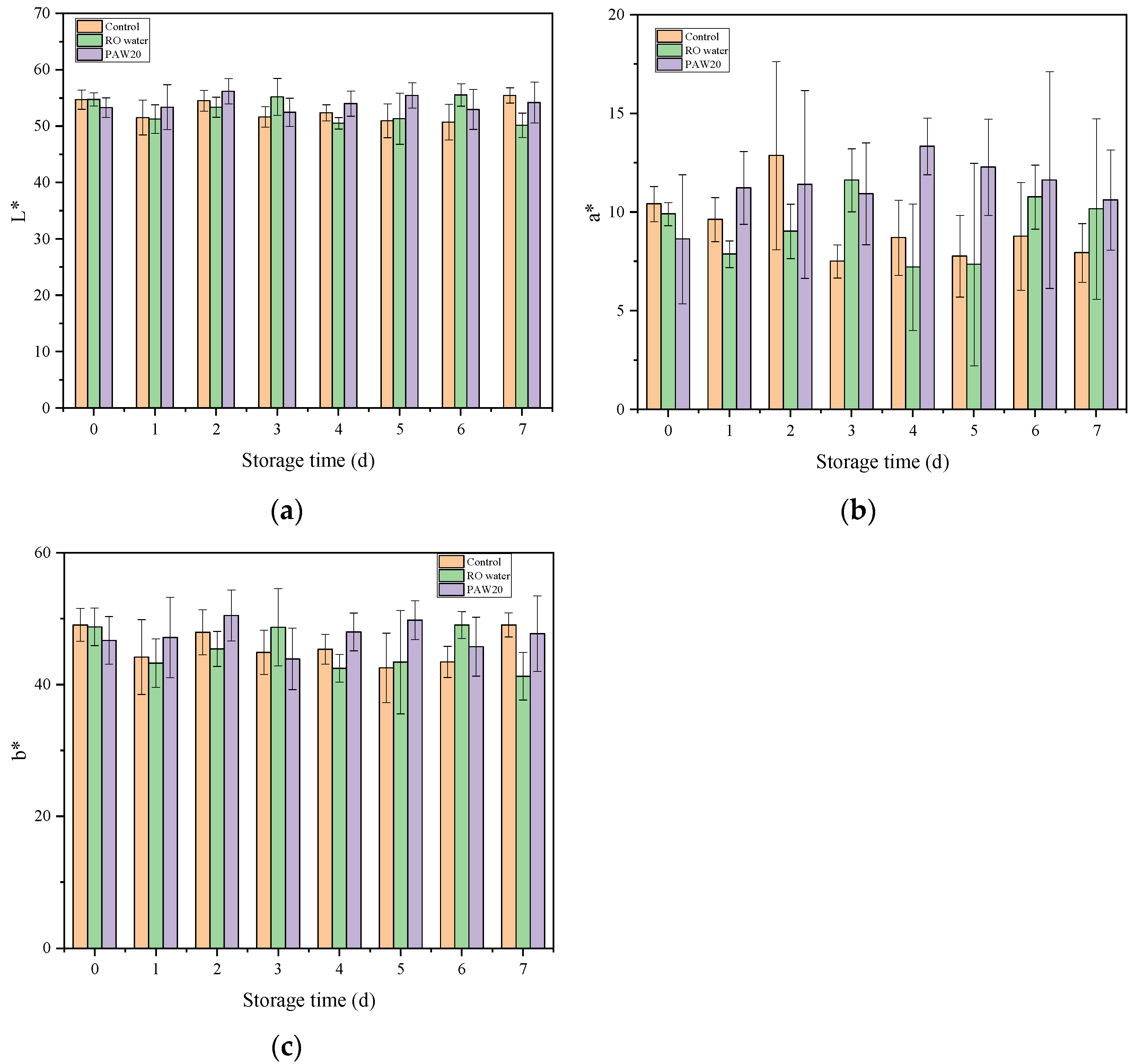
3.4. Effect of PAW Treatment on Skin Colour Difference during Storage of Cuimi kumquat
3.5. The Impact of PAW Treatment on the Intrinsic Quality of Cuimi kumquat Fruit
4. Conclusions and Outlook
Author Contributions
Funding
Data Availability Statement
Conflicts of Interest
References
- Gao, X.; Tang, Z.P.; Qin, R.Y.; Wang, Y.; Lan, H.; Wei, R.; Deng, G. Analysis on fruit quality of kumquat Cuimi, Rongan and Huapi. J. South. Agric. 2016, 47, 604–607. [Google Scholar]
- Guo, P.; Qin, Y.; Zhao, X.; Jiao, B. Research on the contents and difference of the main secondary metabolites in different kumquat fruits. Food Ferment. Ind. 2021, 47, 32–41. [Google Scholar]
- Terfe, A.; Mekonen, S.; Jemal, T. Pesticide Residues and Effect of Household Processing in Commonly Consumed Vegetables in Jimma Zone, Southwest Ethiopia. J. Environ. Public Health 2023, 2023, 7503426. [Google Scholar] [CrossRef]
- Rutkowska, E.; Wolejko, E.; Kaczynski, P.; Luniewski, S.; Lozowicka, B. High and low temperature processing: Effective tool reducing pesticides in/on apple used in a risk assessment of dietary intake protocol. Chemosphere 2023, 313, 137498. [Google Scholar] [CrossRef] [PubMed]
- Khan, S.; Sohail, M.; Han, C.; Khan, J.A.; Khan, H.M.; Dionysiou, D.D. Degradation of highly chlorinated pesticide, lindane, in water using UV/persulfate: Kinetics and mechanism, toxicity evaluation, and synergism by H2O2. J. Hazard. Mater. 2021, 402, 123558. [Google Scholar] [CrossRef]
- Cengiz, M.F.; Basancelebi, O.; Baslar, M.; Certel, M. A novel technique for the reduction of pesticide residues by a combination of low-intensity electrical current and ultrasound applications: A study on lettuce samples. Food Chem. 2021, 354, 129360. [Google Scholar] [CrossRef] [PubMed]
- Anbarasan, R.; Jaspin, S.; Bhavadharini, B.; Pare, A.; Pandiselvam, R.; Mahendran, R. Chlorpyrifos pesticide reduction in soybean using cold plasma and ozone treatments. LWT 2022, 159, 113193. [Google Scholar] [CrossRef]
- Koyuncu, M.A.; Kuleasan, H.; Erbas, D.; Bodur, E. Using low dose fungicide by combining with intermittent ozone treatment to reduce fungicide residue, microbial load and quality losses in orange fruit during long term storage. Food Control 2023, 144, 109363. [Google Scholar] [CrossRef]
- Ali, M.; Cheng, J.H.; Sun, D.W. Effect of plasma activated water and buffer solution on fungicide degradation from tomato (Solanum lycopersicum) fruit. Food Chem. 2021, 350, 129195. [Google Scholar] [CrossRef] [PubMed]
- Arcega, R.D.; Hou, C.Y.; Hsu, S.C.; Lin, C.M.; Chang, W.H.; Chen, H.L. Reduction of pesticide residues in Chrysanthemum morifolium by nonthermal plasma-activated water and impact on its quality. J. Hazard. Mater. 2022, 434, 128610. [Google Scholar] [CrossRef] [PubMed]
- Lin, Q.; Huang, Y.; Li, G.; Luo, Z.; Wang, L.; Li, D.; Xiang, Y.; Liu, L.; Ban, Z.; Li, L. The journey of prochloraz pesticide in Citrus sinensis: Residual distribution, impact on transcriptomic profiling and reduction by plasma-activated water. J. Hazard. Mater. 2023, 448, 130931. [Google Scholar] [CrossRef] [PubMed]
- Zheng, Y.P.; Wu, S.J.; Dang, J.; Wang, S.F.; Liu, Z.X.; Fang, J.; Han, P.; Zhang, J. Reduction of phoxim pesticide residues from grapes by atmospheric pressure non-thermal air plasma activated water. J. Hazard. Mater. 2019, 377, 98–105. [Google Scholar] [CrossRef]
- Zhou, R.W.; Zhou, R.S.; Prasad, K.; Fang, Z.; Speight, R.; Bazaka, K.; Ostrikov, K. Cold atmospheric plasma activated water as a prospective disinfectant: The crucial role of peroxynitrite. Green Chem. 2018, 20, 10. [Google Scholar] [CrossRef]
- Guo, J.; Qin, D.; Li, W.; Wu, F.; Li, L.; Liu, X. Inactivation of Penicillium italicum on kumquat via plasma-activated water and its effects on quality attributes. Int. J. Food Microbiol. 2021, 343, 109090. [Google Scholar] [CrossRef] [PubMed]
- Kaushik, N.K.; Ghimire, B.; Li, Y.; Adhikari, M.; Veerana, M.; Kaushik, N.; Jha, N.; Adhikari, B.; Lee, S.J.; Masur, K.; et al. Biological and medical applications of plasma-activated media, water and solutions. Biol. Chem. 2019, 400, 39–62. [Google Scholar] [CrossRef]
- Oehmigen, K.; Hahnel, M.; Brandenburg, R.; Wilke, C.; Weltmann, K.D.; von Woedtke, T. The Role of Acidification for Antimicrobial Activity of Atmospheric Pressure Plasma in Liquids. Plasma Process. Polym. 2010, 7, 250–257. [Google Scholar] [CrossRef]
- Kamgang-Youbi, G.; Herry, J.M.; Bellon-Fontaine, M.N.; Brisset, J.L.; Doubla, A.; Naitali, M. Evidence of temporal postdischarge decontamination of bacteria by gliding electric discharges: Application to Hafnia alvei. Appl. Environ. Microbiol. 2007, 73, 4791–4796. [Google Scholar] [CrossRef]
- Naitali, M.; Kamgang-Youbi, G.; Herry, J.M.; Bellon-Fontaine, M.N.; Brisset, J.L. Combined Effects of Long-Living Chemical Species during Microbial Inactivation Using Atmospheric Plasma- Treated Water. Appl. Environ. Microbiol. 2010, 76, 7662–7664. [Google Scholar] [CrossRef] [PubMed]
- Tian, Y.; Ma, R.N.; Zhang, Q.; Feng, H.Q.; Liang, Y.D.; Zhang, J.; Fang, J. Assessment of the Physicochemical Properties and Biological Effects of Water Activated by Non-Thermal Plasma Above and Beneath the Water Surface. Plasma Process. Polym. 2015, 12, 439–449. [Google Scholar] [CrossRef]
- Vlad, I.E.; Anghel, S.D. Time stability of water activated by different on-liquid atmospheric pressure plasmas. J. Electrost. 2017, 87, 284–292. [Google Scholar] [CrossRef]
- Ma, R.N.; Wang, G.M.; Tian, Y.; Wang, K.L.; Zhang, J.E.; Fang, J. Non-thermal plasma-activated water inactivation of food-borne pathogen on fresh produce. J. Hazard. Mater. 2015, 300, 643–651. [Google Scholar] [CrossRef] [PubMed]
- Thirumdas, R.; Kothakota, A.; Annapure, U.; Siliveru, K.; Blundell, R.; Gatt, R.; Valdramidis, V.P. Plasma activated water (PAW): Chemistry, physico-chemical properties, applications in food and agriculture. Trends Food Sci. Technol. 2018, 77, 21–31. [Google Scholar] [CrossRef]
- Traylor, M.J.; Pavlovich, M.J.; Karim, S.; Hait, P.; Sakiyama, Y.; Clark, D.S.; Graves, D.B. Long-term antibacterial efficacy of air plasma-activated water. J. Phys. D-Appl. Phys. 2011, 44, 472001. [Google Scholar] [CrossRef]
- Xu, Z.M.; Zhou, X.X.; Yang, W.S.; Zhang, Y.D.; Ye, Z.X.; Hu, S.H.; Ye, C.B.; Li, Y.X.; Lan, Y.; Shen, J.; et al. In vitro antimicrobial effects and mechanism of air plasma-activated water on Staphylococcus aureus biofilm. Plasma Process. Polym. 2020, 17, 1900270. [Google Scholar] [CrossRef]
- Beduk, F.; Aydin, M.E.; Ozcan, S. Chemical Oxidation of Diazinon in Aqueous Solution by Ozonation. Fresenius Environ. Bull. 2011, 20, 1785–1792. [Google Scholar]
- Beduk, F.; Aydin, M.E.; Ozcan, S. Degradation of Malathion and Parathion by Ozonation, Photolytic Ozonation, and Heterogeneous Catalytic Ozonation Processes. Clean-Soil Air Water 2012, 40, 179–187. [Google Scholar] [CrossRef]
- Lin, L.; Xie, M.; Liang, Y.; He, Y.; Chan GY, S.; Luan, T. Degradation of cypermethrin, malathion and dichlorovos in water and on tea leaves with O-3/UV/TiO2 treatment. Food Control 2012, 28, 374–379. [Google Scholar] [CrossRef]
- Wang, L.; Wang, Y.; Cai, H.; Chen, Y. Experimental research on degradation of dimethoate pesticide wastewater by ultrasonic/ozone combined process. Chin. J. Environ. Eng. 2010, 4, 2807–2810. [Google Scholar]
- Ikehata, K.; El-Din, M.G. Aqueous pesticide degradation by ozonation and ozone-based advanced oxidation processes: A review (Part II). Ozone-Sci. Eng. 2005, 27, 173–202. [Google Scholar] [CrossRef]
- National Center for Biotechnology Information. PubChem Compound Summary for CID 176879 (Bifenazate) and CID 177863 (Spirodiclofen) (2023). Available online: https://pubchem.ncbi.nlm.nih.gov/ (accessed on 15 March 2023).
- Yigit, N.; Velioglu, Y.S. Effects of processing and storage on pesticide residues in foods. Crit. Rev. Food Sci. Nutr. 2020, 60, 3622–3641. [Google Scholar] [CrossRef]
- Lozowicka, B.; Jankowska, M.; Hrynko, I.; Kaczynski, P. Removal of 16 pesticide residues from strawberries by washing with tap and ozone water, ultrasonic cleaning and boiling. Environ. Monit. Assess. 2016, 188, 51. [Google Scholar] [CrossRef] [PubMed]
- Zhang, Z.K.; Hu, M.J.; Yun, Z.; Wang, J.B.; Feng, G.; Gao, Z.Y.; Shi, X.Q.; Jiang, Y.M. Effect of tea seed oil treatment on browning of litchi fruit in relation to energy status and metabolism. Postharvest Biol. Technol. 2017, 132, 97–104. [Google Scholar] [CrossRef]
- Ali, M.; Sun, D.-W.; Cheng, J.-H.; Esua, O.J. Effects of combined treatment of plasma activated liquid and ultrasound for degradation of chlorothalonil fungicide residues in tomato. Food Chem. 2022, 371, 131162. [Google Scholar] [CrossRef]
- Guo, J.; Huang, K.; Wang, X.; Lyu, C.; Yang, N.N.; Li, Y.B.; Wang, J.P. Inactivation of Yeast on Grapes by Plasma-Activated Water and Its Effects on Quality Attributes. J. Food Prot. 2017, 80, 225–230. [Google Scholar] [CrossRef] [PubMed]
- Lim, J.Y.; Byeon, Y.S.; Hong, E.J.; Ryu, S.M.; Kim, S.B. Effect of post-discharge time of plasma-treated water (PTW) on microbial inactivation and quality of fresh-cut potatoes. J. Food Process. Preserv. 2021, 45, e15387. [Google Scholar] [CrossRef]
- Sarangapani, C.; Scally, L.; Gulan, M.; Cullen, P.J. Dissipation of pesticide residues on grapes and strawberries using plasma-activated water. Food Bioprocess Technol. 2020, 13, 1728–1741. [Google Scholar] [CrossRef]
- Fisk, C.L.; Silver, A.A.; Strik, B.C.; Zhao, Y.Y. Postharvest quality of hardy kiwifruit (Actinidia arguta ‘Ananasnaya’) associated with packaging and storage conditions. Postharvest Biol. Technol. 2008, 47, 338–345. [Google Scholar] [CrossRef]
- Cong, K.P.; Li, T.T.; Wu, C.E.; Zeng, K.F.; Zhang, J.H.; Fan, G.J.; Pan, Y.; Wang, J.H.; Suo, A.D. Effects of plasma-activated water on overall quality of fresh goji berries during storage. Sci. Hortic. 2022, 293, 110650. [Google Scholar] [CrossRef]






| Time/min | Flow Rate/(mL/min) | A/% | B/% |
|---|---|---|---|
| 0 | 0.3 | 80 | 20 |
| 2 | 0.3 | 20 | 80 |
| 6 | 0.3 | 5 | 95 |
| 7.5 | 0.3 | 5 | 95 |
| 7.6 | 0.3 | 80 | 20 |
| 10 | 0.3 | 80 | 20 |
| Compound | Parent Ion (m/z) | Product Ion (m/z) | Residence Time/s | Tapered Hole Voltage/V | Collision Energy/eV |
|---|---|---|---|---|---|
| bifenazate | 301.1 | 170.1 | 0.05 | 50.00 | 21 |
| 198.05 * | 0.05 | 50.00 | 9 * | ||
| Spirodiclofen | 411.2 | 313.1 | 0.05 | 50.00 | 15 |
| 71.1 * | 0.05 | 50.00 | 30 * |
Disclaimer/Publisher’s Note: The statements, opinions and data contained in all publications are solely those of the individual author(s) and contributor(s) and not of MDPI and/or the editor(s). MDPI and/or the editor(s) disclaim responsibility for any injury to people or property resulting from any ideas, methods, instructions or products referred to in the content. |
© 2023 by the authors. Licensee MDPI, Basel, Switzerland. This article is an open access article distributed under the terms and conditions of the Creative Commons Attribution (CC BY) license (https://creativecommons.org/licenses/by/4.0/).
Share and Cite
Wang, X.; Feng, J.; Chen, S.; Qin, S.; Zang, Y.; Huang, H.; Wei, J. Effect of Plasma Activated Water on the Degradation of Bifenazate and Spirodiclofen Residues on Cuimi kumquat and Impact on Its Quality. Agronomy 2023, 13, 1247. https://doi.org/10.3390/agronomy13051247
Wang X, Feng J, Chen S, Qin S, Zang Y, Huang H, Wei J. Effect of Plasma Activated Water on the Degradation of Bifenazate and Spirodiclofen Residues on Cuimi kumquat and Impact on Its Quality. Agronomy. 2023; 13(5):1247. https://doi.org/10.3390/agronomy13051247
Chicago/Turabian StyleWang, Xiaonan, Jing Feng, Shuo Chen, Si Qin, Yuanfu Zang, Haiyuan Huang, and Jie Wei. 2023. "Effect of Plasma Activated Water on the Degradation of Bifenazate and Spirodiclofen Residues on Cuimi kumquat and Impact on Its Quality" Agronomy 13, no. 5: 1247. https://doi.org/10.3390/agronomy13051247
APA StyleWang, X., Feng, J., Chen, S., Qin, S., Zang, Y., Huang, H., & Wei, J. (2023). Effect of Plasma Activated Water on the Degradation of Bifenazate and Spirodiclofen Residues on Cuimi kumquat and Impact on Its Quality. Agronomy, 13(5), 1247. https://doi.org/10.3390/agronomy13051247
