Effects of Seaweed-Extract-Based Organic Fertilizers on the Levels of Mineral Elements, Sugar–Acid Components and Hormones in Fuji Apples
Abstract
1. Introduction
2. Materials and Methods
2.1. Site Description and Experimental Design
2.2. Measuring Methods
2.2.1. The Net Photosynthetic Rate, Chlorophyll Content, and Rubisco Activity in ‘Fuji’ Apple Leaves
2.2.2. Fruit Quality Assessment
2.3. Statistical Analysis
3. Results
3.1. Net Photosynthetic Rate, Chlorophyll and Rubisco Enzyme Activity
3.2. Effects of Organic Fertilizer on the Qualities of ‘Fuji’ Apples
3.3. Effects of Organic Fertilizer on the Accumulation of Sugars and Acids in ‘Fuji’ Apples
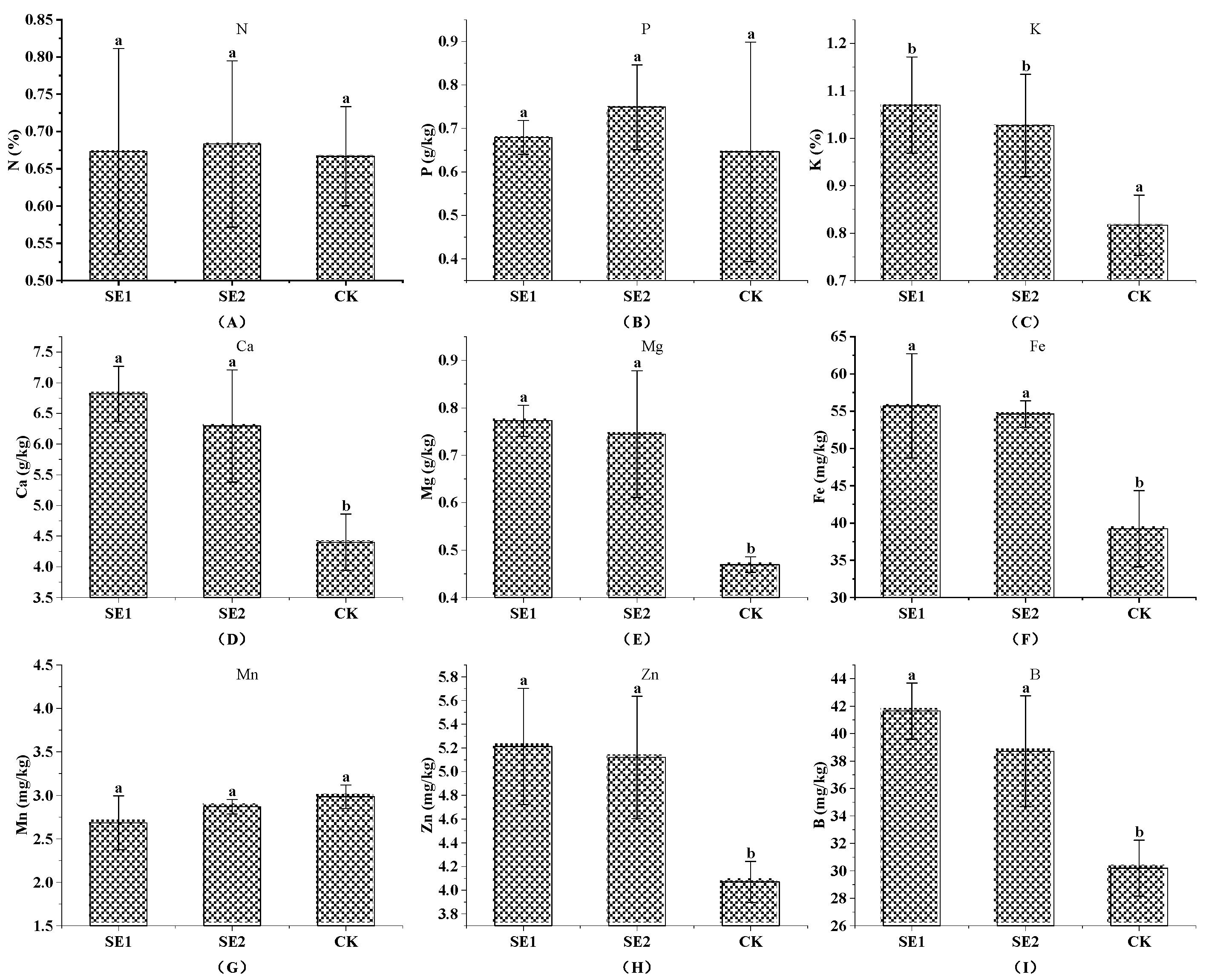
3.4. Effects of Organic Fertilizer on the Levels of Mineral Elements in ‘Fuji’ Apples
3.5. Effects of Organic Fertilizer on the Levels of Hormones in ‘Fuji’ Apples
4. Discussion
5. Conclusions
Author Contributions
Funding
Data Availability Statement
Conflicts of Interest
References
- Mignard, P.; Beguería, S.; Giménez, R.; Font i Forcada, C.; Reig, G.; Moreno, M. Effect of Genetics and Climate on Apple Sugars and Organic Acids Profiles. Agronomy 2022, 12, 827. [Google Scholar] [CrossRef]
- Corona-Leo, L.S.; Meza-Márquez, O.G.; Hernández-Martínez, D.M. Effect of in vitro digestion on phenolic compounds and antioxidant capacity of different apple (Malus domestica) varieties harvested in Mexico. Food Biosci. 2021, 43, 101311. [Google Scholar] [CrossRef]
- Jakobek, L.; Ištuk, J.; Buljeta, I.; Voća, S.; Šic Žlabur, J.; Skendrović Babojelić, M. Traditional, Indigenous Apple Varieties, a Fruit with Potential for Beneficial Effects: Their Quality Traits and Bioactive Polyphenol Contents. Foods 2020, 9, 52. [Google Scholar] [CrossRef]
- Salazar-Orbea, G.L.; García-Villalba, R.; Bernal, M.J.; Hernández, A.; Tomás-Barberán, F.A.; Sánchez-Siles, L.M. Stability of phenolic compounds in apple and strawberry: Effect of different processing techniques in industrial set up. Food Chem. 2023, 401, 134099. [Google Scholar] [CrossRef]
- Salazar-Orbea, G.L.; García-Villalba, R.; Barberán, F.A.T.; Sánchez-Siles, L.M. High–Pressure Processing vs. Thermal Treatment: Effect on the Stability of Polyphenols in Strawberry and Apple Products. Foods 2021, 10, 2919. [Google Scholar] [CrossRef]
- Raphaelli, C.D.O.; Azevedo, J.G.; Pereira, E.D.S.; Vinholes, J.R.; Camargo, T.M.; Hoffmann, J.F.; Ribeiro, J.A.; Vizzotto, M.; Rombaldi, C.V.; Wink, M.R.; et al. Phenolic-rich apple extracts have photoprotective and anti-cancer effect in dermal cells. Phytomedicine Plus 2021, 1, 100112. [Google Scholar] [CrossRef]
- Barreira, J.C.; Arraibi, A.A.; Ferreira, I.C. Bioactive and functional compounds in apple pomace from juice and cider manufacturing: Potential use in dermal formulations. Trends Food Sci. Technol. 2019, 90, 76–87. [Google Scholar] [CrossRef]
- Kobori, M.; Masumoto, S.; Akimoto, Y.; Oike, H. Phloridzin reduces blood glucose levels and alters hepatic gene expression in normal BALB/c mice. Food Chem. Toxicol. 2012, 50, 2547–2553. [Google Scholar] [CrossRef]
- Mei, X.; Zhang, X.; Wang, Z.; Gao, Z.; Liu, G.; Hu, H.; Zou, L.; Li, X. Insulin Sensitivity-Enhancing Activity of Phlorizin Is Associated with Lipopolysaccharide Decrease and Gut Microbiota Changes in Obese and Type 2 Diabetes (db/db) Mice. J. Agric. Food Chem. 2016, 64, 7502–7511. [Google Scholar] [CrossRef] [PubMed]
- Sun, Y.; Deng, Y.; Lu, Y.; Li, M. Competitiveness and sustainable development of Chinableapple industry. PLoS ONE 2022, 17, e0268476. [Google Scholar] [CrossRef]
- Srivastava, A.; Wu, Q.-S.; Mousavi, S.M.; Hota, D. Integrated Soil Fertility Management in Fruit Crops: An Overview. Int. J. Fruit Sci. 2021, 21, 413–439. [Google Scholar] [CrossRef]
- Liang, X.; Zhang, R.; Gleason, M.L.; Sun, G. Sustainable Apple Disease Management in China: Challenges and Future Directions for a Transforming Industry. Plant Dis. 2022, 106, 786–799. [Google Scholar] [CrossRef] [PubMed]
- Chen, R.; Xue, X.; Wang, G.; Wang, J. Determination and dietary intake risk assessment of 14 pesticide residues in apples of China. Food Chem. 2021, 351, 129266. [Google Scholar] [CrossRef] [PubMed]
- Admane, N.; Cavallo, G.; Hadjila, C.; Cavalluzzi, M.M.; Rotondo, N.P.; Salerno, A.; Cannillo, J.; Difonzo, G.; Caponio, F.; Ippolito, A.; et al. Biostimulant Formulations and Moringa oleifera Extracts to Improve Yield, Quality, and Storability of Hydroponic Lettuce. Molecules 2023, 28, 373. [Google Scholar] [CrossRef]
- Quitério, E.; Grosso, C.; Ferraz, R.; Delerue-Matos, C.; Soares, C. A Critical Comparison of the Advanced Extraction Techniques Applied to Obtain Health-Promoting Compounds from Seaweeds. Mar. Drugs 2022, 20, 677. [Google Scholar] [CrossRef]
- Lomartire, S.; Gonçalves, A.M.M. Novel Technologies for Seaweed Polysaccharides Extraction and Their Use in Food with Therapeutically Applications—A Review. Foods 2022, 11, 2654. [Google Scholar] [CrossRef]
- Čmiková, N.; Galovičová, L.; Miškeje, M.; Borotová, P.; Kluz, M.; Kačániová, M. Determination of Antioxidant, Antimicrobial Activity, Heavy Metals and Elements Content of Seaweed Extracts. Plants 2022, 11, 1493. [Google Scholar] [CrossRef]
- El Boukhari, M.E.M.; Barakate, M.; Bouhia, Y.; Lyamlouli, K. Trends in Seaweed Extract Based Biostimulants: Manufacturing Process and Beneficial Effect on Soil-Plant Systems. Plants 2020, 9, 359. [Google Scholar] [CrossRef]
- AMLANI, M.; Yetgin, S. Seaweeds: Bioactive Components and Properties, Potential Risk Factors, Uses, Extraction and Purification Methods. Mar. Sci. Technol. Bull. 2022, 11, 9–31. [Google Scholar] [CrossRef]
- Deolu-Ajayi, A.O.; van der Meer, I.M.; van der Werf, A.; Karlova, R. The power of seaweeds as plant biostimulants to boost crop production under abiotic stress. Plant Cell Environ. 2022, 45, 2537–2553. [Google Scholar] [CrossRef]
- Rouphael, Y.; Carillo, P.; Garcia-Perez, P.; Cardarelli, M.; Senizza, B.; Miras-Moreno, B.; Colla, G.; Lucini, L. Plant biostimulants from seaweeds or vegetal proteins enhance the salinity tolerance in greenhouse lettuce by modulating plant metabolism in a distinctive manner. Sci. Hortic. 2022, 305, 111368. [Google Scholar] [CrossRef]
- Craigie, J.S. Seaweed extract stimuli in plant science and agriculture. J. Appl. Phycol. 2011, 23, 371–393. [Google Scholar] [CrossRef]
- Khan, A.; Munir, M.; Shaheen, T.; Tassawar, T.; Rafiq, M.; Ali, S.; Anwar, R.; Rehman, R.; Hasan, M.; Malik, A. Supplemental foliar applied mixture of amino acids and seaweed extract improved vegetative growth, yield and quality of citrus fruit. Sci. Hortic. 2022, 296, 110903. [Google Scholar] [CrossRef]
- Yang, A.; Yang, L.; Cheng, C.; Xie, B.; Zhang, Y.; Li, X.; Li, Y.; Li, Z. Effect of Different Ratios of Cow Manure and Chemical Fertilizers on Fruit Quality of Gala Apples. Agronomy 2022, 12, 2735. [Google Scholar] [CrossRef]
- Musacchi, S.; Serra, S. Apple fruit quality: Overview on pre-harvest factors. Sci. Hortic. 2018, 234, 409–430. [Google Scholar] [CrossRef]
- Amiri, M.E.; Fallahi, E.; Golchin, A. Influence of Foliar and Ground Fertilization on Yield, Fruit Quality, and Soil, Leaf, and Fruit Mineral Nutrients in Apple. J. Plant Nutr. 2008, 31, 515–525. [Google Scholar] [CrossRef]
- Świerczyński, S.; Antonowicz, A.; Bykowska, J. The Effect of the Foliar Application of Biostimulants and Fertilisers on the Growth and Physiological Parameters of Maiden Apple Trees Cultivated with Limited Mineral Fertilisation. Agronomy 2021, 11, 1216. [Google Scholar] [CrossRef]
- Jumadi, O.; Annisi, A.D.; Djawad, Y.A.; Bourgougnon, N.; Amaliah, N.A.; Asmawati, A.; Manguntungi, A.B.; Inubushi, K. Brown algae (Sargassum sp) extract prepared by indigenous microbe fermentation enhanced tomato germination parameters. Biocatal. Agric. Biotechnol. 2023, 47, 102601. [Google Scholar] [CrossRef]
- Aitouguinane, M.; El Alaoui-Talibi, Z.; Rchid, H.; Fendri, I.; Abdelkafi, S.; El-Hadj, M.D.O.; Boual, Z.; Dubessay, P.; Michaud, P.; Traïkia, M.; et al. Polysaccharides from Moroccan Green and Brown Seaweed and Their Derivatives Stimulate Natural Defenses in Olive Tree Leaves. Appl. Sci. 2022, 12, 8842. [Google Scholar] [CrossRef]
- Hernández-Herrera, R.M.; Santacruz-Ruvalcaba, F.; Zañudo-Hernández, J.; Hernández-Carmona, G. Activity of seaweed extracts and polysaccharide-enriched extracts from Ulva lactuca and Padina gymnospora as growth promoters of tomato and mung bean plants. J. Appl. Phycol. 2016, 28, 2549–2560. [Google Scholar] [CrossRef]
- Mishra, A.; Sahni, S.; Kumar, S.; Prasad, B.D. Seaweed—An Eco-friendly Alternative of Agrochemicals in Sustainable Agriculture. Curr. J. Appl. Sci. Technol. 2020, 39, 71–78. [Google Scholar] [CrossRef]
- Świerczyński, S.; Antonowicz, A. The Effects of Reduced Mineral Fertilisation Combined with the Foliar Application of Biostimulants and Fertilisers on the Nutrition of Maiden Apple Trees and the Contents of Soil Nutrients. Agronomy 2021, 11, 2438. [Google Scholar] [CrossRef]
- Hu, Z.Q.; Wang, H.C.; Hu, G.B. Measurement of sugars, organic acids and vitamin C in litchi fruit by high performance liquid chromatography. J. Fruit Sci. 2005, 5, 582–585. [Google Scholar] [CrossRef]
- Li, Y.N.; Yan, L.Y.; Zhang, B.; Yang, S.B.; Zhao, Z.Y. A study on sugar and organic acid components in different apple cultivars. J. Fruit Sci. 2021, 38, 1877–1889. [Google Scholar] [CrossRef]
- Roussos, P.A.; Gasparatos, D. Apple tree growth and overall fruit quality under organic and conventional orchard management. Sci. Hortic. 2009, 123, 247–252. [Google Scholar] [CrossRef]
- Trapp, M.A.; De Souza, G.D.; Rodrigues-Filho, E.; Boland, W.; Mithã¶fer, A. Validated method for phytohormone quantification in plants. Front. Plant Sci. 2014, 5, 417. [Google Scholar] [CrossRef]
- Wang, G.; Wang, J.; Han, X.; Chen, R.; Xue, X. Effects of Spraying Calcium Fertilizer on Photosynthesis, Mineral Content, Sugar–Acid Metabolism and Fruit Quality of Fuji Apples. Agronomy 2022, 12, 2563. [Google Scholar] [CrossRef]
- Aprea, E.; Charles, M.; Endrizzi, I.; Corollaro, M.L.; Betta, E.; Biasioli, F.; Gasperi, F. Sweet taste in apple: The role of sorbitol, individual sugars, organic acids and volatile compounds. Sci. Rep. 2017, 7, 44950. [Google Scholar] [CrossRef]
- Jaeger, S.R.; Antúnez, L.; Ares, G.; Swaney-Stueve, M.; Jin, D.; Harker, F. Quality perceptions regarding external appearance of apples: Insights from experts and consumers in four countries. Postharvest Biol. Technol. 2018, 146, 99–107. [Google Scholar] [CrossRef]
- Oszmiański, J.; Lachowicz, S.; Gławdel, E.; Cebulak, T.; Ochmian, I. Determination of phytochemical composition and antioxidant capacity of 22 old apple cultivars grown in Poland. Eur. Food Res. Technol. 2017, 244, 647–662. [Google Scholar] [CrossRef]
- Akšić, M.F.; Zagorac, D.D.; Gašić, U.; Tosti, T.; Natić, M.; Meland, M. Analysis of Apple Fruit (Malus × domestica Borkh.) Quality Attributes Obtained from Organic and Integrated Production Systems. Sustainability 2022, 14, 5300. [Google Scholar] [CrossRef]
- Soppelsa, S.; Kelderer, M.; Casera, C.; Bassi, M.; Robatscher, P.; Andreotti, C. Use of Biostimulants for Organic Apple Production: Effects on Tree Growth, Yield, and Fruit Quality at Harvest and During Storage. Front. Plant Sci. 2018, 9, 1342. [Google Scholar] [CrossRef] [PubMed]
- Spinelli, F.; Fiori, G.; Noferini, M.; Sprocatti, M.; Costa, G. Perspectives on the use of a seaweed extract to moderate the negative effects of alternate bearing in apple trees. J. Hortic. Sci. Biotechnol. 2009, 84, 131–137. [Google Scholar] [CrossRef]
- Sabir, A.; Yazar, K.; Sabir, F.; Kara, Z.; Yazici, M.A.; Goksu, N. Vine growth, yield, berry quality attributes and leaf nutrient content of grapevines as influenced by seaweed extract (Ascophyllum nodosum) and nanosize fertilizer pulverizations. Sci. Hortic. 2014, 175, 1–8. [Google Scholar] [CrossRef]
- Xue, X.; Tian, S.; Chen, R.; Han, X.; Wang, J.; Zhao, X. Clarifying the mechanisms of the light-induced color formation of apple peel under dark conditions through metabolomics and transcriptomic analyses. Front. Plant Sci. 2022, 13, 946115. [Google Scholar] [CrossRef]
- Deng, X.; Shu, H.; Hao, Y.; Xu, Q.; Han, M.; Zhang, S. Review on the centennial development of pomology in China. J. Agric. 2018, 8, 34. [Google Scholar] [CrossRef]
- Malaguti, D.; Rombolà, A.; Gerin, M.; Simoni, G.; Tagliavini, M.; Marangoni, B. Effect of seaweed extracts-based leaf sprays on the mineral status, yield and fruit quality of apple. Acta Hortic. 2002, 594, 357–359. [Google Scholar] [CrossRef]
- Basak, A. Effect of Preharvest Treatment with Seaweed Products, Kelpak® and Goëmar BM 86®, on Fruit Quality in Apple. Int. J. Fruit Sci. 2008, 8, 1–14. [Google Scholar] [CrossRef]
- Masny, A.; Basak, A.; Zurawicz, E. Effect of foliar application of Kelpak SL and Goemar BM 86 preparations on yield and fruit quality in two strawberry cultivars. J. Fruit Ornamen. Plant Res. 2004, 12, 23–27. [Google Scholar]
- Colavita, G.; Spera, N.; Blackhall, V.; Sepulveda, G. Effect of Seaweed Extract on Pear Fruit Quality and Yield. In Proceedings of the XI International Pear Symposium, Patagonia, Argentina, 31 October 2011; pp. 601–607. [Google Scholar] [CrossRef]
- Khan, A.S.; Ahmad, B.; Jaskani, M.J.; Ahmad, R.; Malik, A.U. Foliar application of mixture of amino acids and seaweed (Ascophylum nodosum) extract improve growth and physico-chemical properties of grapes. Intl. J. Agri. Biol. 2012, 14, 383–388. [Google Scholar]
- Wu, J.; Gao, H.; Zhao, L.; Liao, X.; Chen, F.; Wang, Z.; Hu, X. Chemical compositional characterization of some apple cultivars. Food Chem. 2007, 103, 88–93. [Google Scholar] [CrossRef]
- Akšić, M.F.; Nešović, M.; Ćirić, I.; Tešić, Ž.; Pezo, L.; Tosti, T.; Gašić, U.; Dojčinović, B.; Lončar, B.; Meland, M. Polyphenolics and Chemical Profiles of Domestic Norwegian Apple (Malus × domestica Borkh.) Cultivars. Front. Nutr. 2022, 9, 941487. [Google Scholar] [CrossRef]
- Zhang, Y.; Li, P.; Cheng, L. Developmental changes of carbohydrates, organic acids, amino acids, and phenolic compounds in ‘Honeycrisp’ apple flesh. Food Chem. 2010, 123, 1013–1018. [Google Scholar] [CrossRef]
- Füzfai, Z.; Katona, Z.F.; Kovács, E.; Molnár-Perl, I. Simultaneous Identification and Quantification of the Sugar, Sugar Alcohol, and Carboxylic Acid Contents of Sour Cherry, Apple, and Ber Fruits, as Their Trimethylsilyl Derivatives, by Gas Chromatography−Mass Spectrometry. J. Agric. Food Chem. 2004, 52, 7444–7452. [Google Scholar] [CrossRef]
- Zhang, Y.; Yan, Y.; Fu, C.; Li, M.; Wang, Y. Zinc sulfate spray increases activity of carbohydrate metabolic enzymes and regulates endogenous hormone levels in apple fruit. Sci. Hortic. 2016, 211, 363–368. [Google Scholar] [CrossRef]
- Yamaki, S. Metabolism and Accumulation of Sugars Translocated to Fruit and Their Regulation. J. Jpn. Soc. Hortic. Sci. 2010, 79, 1–15. [Google Scholar] [CrossRef]
- He, Y.J.; Ma, Z.H.; Wei, X.X.; Li, Y.M.; Li, Y.B.; Ma, W.F.; Ding, S.L.; Mao, J.; Chen, B.H. Comparative Analysis of Sugar and Organic Acid Contents of Different Apple Cultivars in Dryland of Loess Plateau. Sci. Technol. Food Ind. 2021, 42, 248–254. [Google Scholar] [CrossRef]
- Rouphael, Y.; Colla, G.; Giordano, M.; El-Nakhel, C.; Kyriacou, M.C.; De Pascale, S. Foliar applications of a legume-derived protein hydrolysate elicit dose-dependent increases of growth, leaf mineral composition, yield and fruit quality in two greenhouse tomato cultivars. Sci. Hortic. 2017, 226, 353–360. [Google Scholar] [CrossRef]
- Akšić, M.F.; Mutić, J.; Tešić, Z.; Meland, M. Evaluation of fruit mineral contents of two apple cultivars grown in organic and integrated production systems. Acta Hortic. 2020, 1281, 59–66. [Google Scholar] [CrossRef]
- Zavalloni, C.; Marangoni, B.; Tagliavini, M.; Scudellari, D. DYNAMICS OF UPTAKE OF CALCIUM, POTASSIUM AND MAGNESIUM INTO APPLE FRUIT IN A HIGH DENSITY PLANTING. Acta Hortic. 2001, 564, 113–121. [Google Scholar] [CrossRef]
- Zodape, S.T.; Kawarkhe, V.J.; Patolia, J.S.; Warade, A.D. Effect of liquid seaweed fertilizer on yield and quality of okra (Abelmoschus esculentus L.). J. Sci. Ind. Res. 2008, 67, 1115–1117. [Google Scholar]
- Rathore, S.; Chaudhary, D.; Boricha, G.; Ghosh, A.; Bhatt, B.; Zodape, S.; Patolia, J. Effect of seaweed extract on the growth, yield and nutrient uptake of soybean (Glycine max) under rainfed conditions. South Afr. J. Bot. 2008, 75, 351–355. [Google Scholar] [CrossRef]
- Huang, J.; Tu, D.-P.; Ma, X.-J.; Mo, C.-M.; Pan, L.-M.; Bai, L.-H.; Feng, S.-X. [Study on exogenous hormones inducing parthenocarpy fruit growth and development and quality of Siraitia grosvenorii]. China J. Chin. Mater. Med. 2015, 40, 3567–3572. [Google Scholar]
- Wang, C.; Liu, Y.; Li, S.-S.; Han, G.-Z. Insights into the Origin and Evolution of the Plant Hormone Signaling Machinery. Plant Physiol. 2015, 167, 872–886. [Google Scholar] [CrossRef] [PubMed]
- Wally, O.S.D.; Critchley, A.T.; Hiltz, D.; Craigie, J.S.; Han, X.; Zaharia, L.I.; Abrams, S.R.; Prithiviraj, B. Erratum to: Regulation of Phytohormone Biosynthesis and Accumulation in Arabidopsis Following Treatment with Commercial Extract from the Marine Macroalga Ascophyllum nodosum. J. Plant Growth Regul. 2012, 32, 340–341. [Google Scholar] [CrossRef]
- Sha, J.; Wang, F.; Xu, X.; Chen, Q.; Zhu, Z.; Jiang, Y.; Ge, S. Studies on the translocation characteristics of 13C-photoassimilates to fruit during the fruit development stage in ‘Fuji’ apple. Plant Physiol. Biochem. 2020, 154, 636–645. [Google Scholar] [CrossRef]
- Srivastava, A.; Handa, A.K. Hormonal regulation of tomato fruit development: A molecular perspective. J. Plant Growth Regul. 2005, 24, 67–82. [Google Scholar] [CrossRef]
- Zhao, H.Y.; Jiang, C.Y.; Qi, J.L.; Zhao, M.J.; Jin, G.M.; Wu, W.J. The law of olive fruit falling and the changes of soluble sugar, starch and endogenous hormone content in leaves during fruit development. China Fruits 2022, 10, 43–48. [Google Scholar] [CrossRef]

| Treatment | Net Photosynthetic Rate (µmol/m2·s) | Chlorophyll Content (mg/g) | Rubisco Enzyme Activity (μmol (CO2)/g·min) |
|---|---|---|---|
| CK | 13.40 ± 0.80 b | 2.24 ± 0.15 b | 6.80 ± 0.23 b |
| SE1 | 17.37 ± 0.88 a | 2.76 ± 0.09 a | 7.87 ± 0.10 a |
| SE2 | 16.53 ± 0.65 a | 2.64 ± 0.08 a | 7.58 ± 0.13 a |
| Treatment | Single Fruit Weight (g) | Fruit Shape (L/D) | Chromatic Aberration | ||
|---|---|---|---|---|---|
| L* | a* | b* | |||
| CK | 203.27 ± 4.41 b | 0.876 ± 0.020 a | 42.61 ± 0.97 b | 32.73 ± 1.20 c | 14.45 ± 0.86 a |
| SE1 | 225.10 ± 9.25 a | 0.882 ± 0.018 a | 47.92 ± 1.90 a | 36.87 ± 0.87 a | 10.97 ± 0.68 b |
| SE2 | 221.43 ± 6.60 a | 0.877 ± 0.008 a | 46.52 ± 0.86 a | 34.54 ± 1.17 b | 12.84 ± 1.39 b |
| Treatment | Firmness (kg/cm2) | SSC (%) | Titratable Acid Content (%) | Soluble Sugar Content (%) | Sugar–Acid Ratio | VC Content (mg/100 g) | Free Amino Acid (g/kg) |
|---|---|---|---|---|---|---|---|
| CK | 7.23 ± 0.35 a | 13.73 ± 0.55 b | 0.33 ± 0.02 a | 10.84 ± 0.59 b | 32.99 ± 2.44 b | 0.98 ± 0.07 b | 7.23 ± 0.40 b |
| SE1 | 8.07 ± 0.61 a | 15.40 ± 0.70 a | 0.28 ± 0.02 b | 13.22 ± 0.49 a | 47.90 ± 4.16 a | 1.53 ± 0.10 a | 8.47 ± 0.38 a |
| SE2 | 7.53 ± 0.31 a | 15.07 ± 0.47 a | 0.29 ± 0.02 b | 12.13 ± 0.71 a | 42.41 ± 2.80 a | 1.45 ± 0.07 a | 8.20 ± 0.56 a |
| Treatment | Fructose (mg/g) | Glucose (mg/g) | Sucrose (mg/g) | Sorbitol (mg/g) |
|---|---|---|---|---|
| CK | 55.37 ± 1.03 c | 19.40 ± 1.88 b | 28.24 ± 1.01 c | 5.10 ± 0.26 c |
| SE1 | 62.80 ± 1.86 a | 25.46 ± 2.68 a | 38.86 ± 0.50 a | 8.56 ± 0.52 a |
| SE2 | 58.41 ± 0.72 b | 23.45 ± 1.15 a | 34.24 ± 1.38 b | 7.36 ± 0.71 b |
| Treatment | Malic Acid (mg/g) | Citric Acid (mg/g) | Oxalic Acid (mg/g) | Tartaric Acid (mg/g) |
|---|---|---|---|---|
| CK | 4.440 ± 0.288 a | 0.083 ± 0.007 a | 0.441 ± 0.037 a | 0.293 ± 0.046 a |
| SE1 | 2.876 ± 0.170 b | 0.072 ± 0.008 a | 0.285 ± 0.011 b | 0.198 ± 0.017 b |
| SE2 | 3.394 ± 0.328 b | 0.080 ± 0.007 a | 0.327 ± 0.037 b | 0.212 ± 0.031 b |
| Treatment | Indole Acetic Acid (µg/g) | Zeatin (µg/g) | Gibberellin (µg/g) | Abscisic Acid (µg/g) |
|---|---|---|---|---|
| CK | 0.154 ± 0.006 b | 0.125 ± 0.008 b | 0.539 ± 0.122 b | 0.643 ± 0.073 a |
| SE2 | 0.2084 ± 0.010 a | 0.184 ± 0.012 a | 0.755 ± 0.113 a | 0.513 ± 0.030 b |
| SE1 | 0.226 ± 0.006 a | 0.197 ± 0.010 a | 0.801 ± 0.053 a | 0.429 ± 0.057 b |
Disclaimer/Publisher’s Note: The statements, opinions and data contained in all publications are solely those of the individual author(s) and contributor(s) and not of MDPI and/or the editor(s). MDPI and/or the editor(s) disclaim responsibility for any injury to people or property resulting from any ideas, methods, instructions or products referred to in the content. |
© 2023 by the authors. Licensee MDPI, Basel, Switzerland. This article is an open access article distributed under the terms and conditions of the Creative Commons Attribution (CC BY) license (https://creativecommons.org/licenses/by/4.0/).
Share and Cite
Yang, S.; Wang, H.; Wang, G.; Wang, J.; Gu, A.; Xue, X.; Chen, R. Effects of Seaweed-Extract-Based Organic Fertilizers on the Levels of Mineral Elements, Sugar–Acid Components and Hormones in Fuji Apples. Agronomy 2023, 13, 969. https://doi.org/10.3390/agronomy13040969
Yang S, Wang H, Wang G, Wang J, Gu A, Xue X, Chen R. Effects of Seaweed-Extract-Based Organic Fertilizers on the Levels of Mineral Elements, Sugar–Acid Components and Hormones in Fuji Apples. Agronomy. 2023; 13(4):969. https://doi.org/10.3390/agronomy13040969
Chicago/Turabian StyleYang, Song, Hairong Wang, Guiping Wang, Jinzheng Wang, Aiguo Gu, Xiaomin Xue, and Ru Chen. 2023. "Effects of Seaweed-Extract-Based Organic Fertilizers on the Levels of Mineral Elements, Sugar–Acid Components and Hormones in Fuji Apples" Agronomy 13, no. 4: 969. https://doi.org/10.3390/agronomy13040969
APA StyleYang, S., Wang, H., Wang, G., Wang, J., Gu, A., Xue, X., & Chen, R. (2023). Effects of Seaweed-Extract-Based Organic Fertilizers on the Levels of Mineral Elements, Sugar–Acid Components and Hormones in Fuji Apples. Agronomy, 13(4), 969. https://doi.org/10.3390/agronomy13040969

