Molecular Basis of Resistance to Bensulfuron-Methyl in a Smallflower Umbrella Sedge (Cyperus difformis L.) Population from China
Abstract
1. Introduction
2. Materials and Methods
2.1. Plant Materials and Growth Conditions
2.2. Herbicides and Chemicals
2.3. Single-Dose Experiments
2.4. Susceptibility to Bensulfuron-Methyl and Cross- and Multiple-Resistance to Different Herbicides
2.5. Identification of Mutations in the ALS Gene
2.6. Analysis of the Expression of the ALS Gene
2.7. Susceptibility to Bensulfuron-Methyl after P450 or GST Inhibition
2.8. Data Analyses
3. Results
3.1. Single-Dose Testing
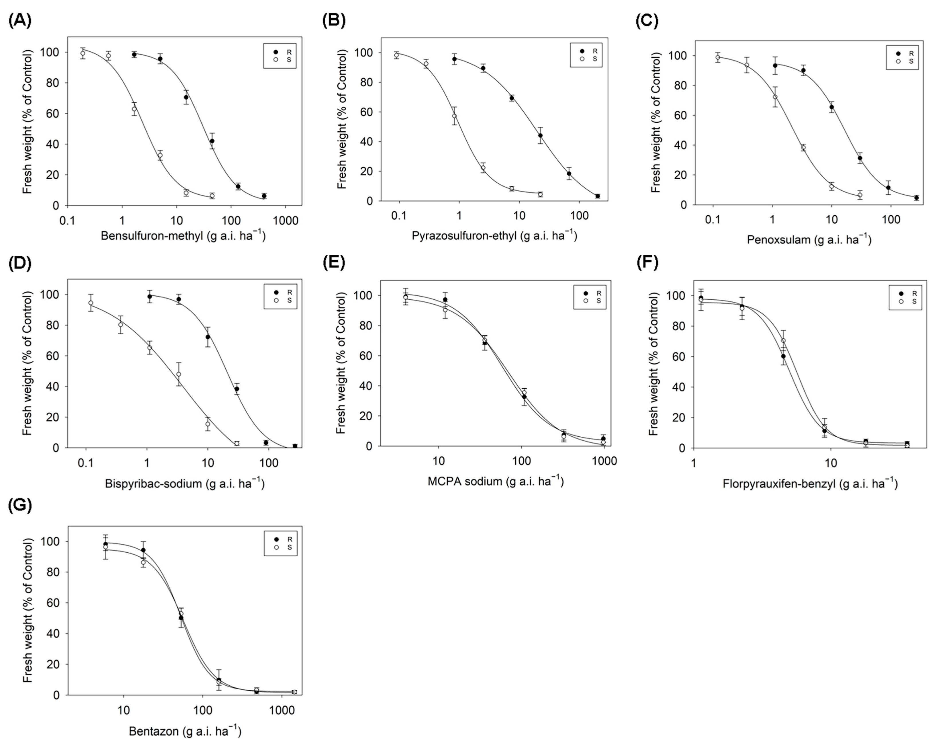
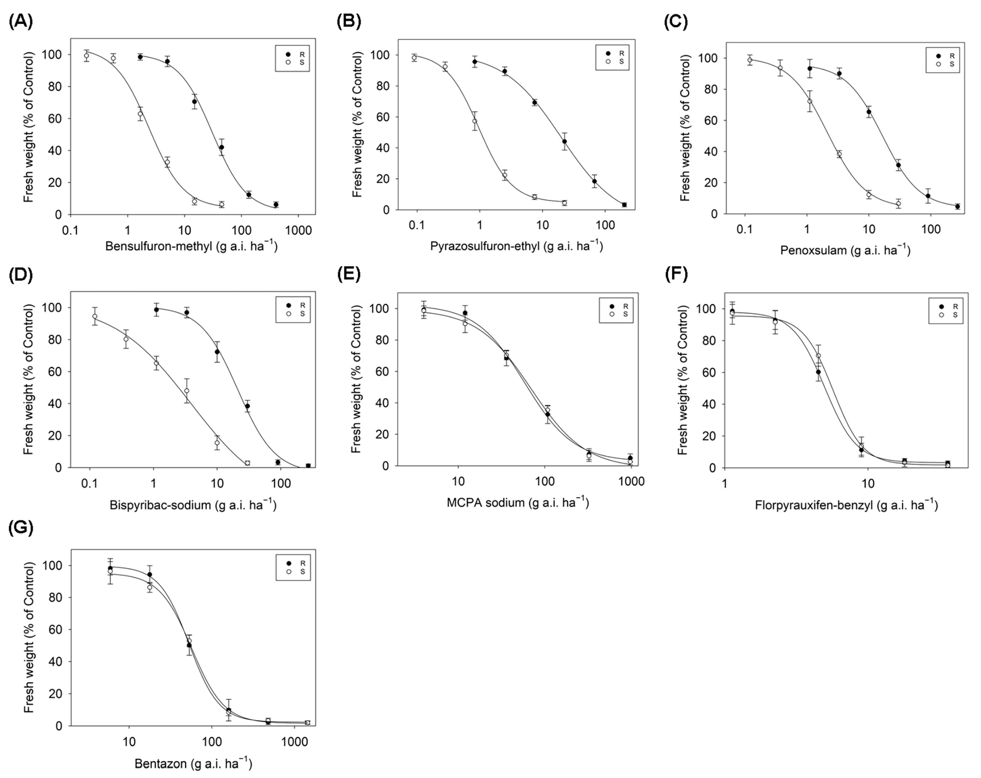
3.2. Level of Susceptibility to Bensulfuron-Methyl and Cross- and Multiple-Resistance to Different Herbicides
3.3. Sequencing and Analysis of the Expression of the ALS Gene
3.4. Effects of Malathion and Pretreatment with NBD-Cl on Bensulfuron-Methyl Resistance
4. Discussion
5. Conclusions
Author Contributions
Funding
Data Availability Statement
Conflicts of Interest
References
- Hoang, T.M.L.; Tran, T.N.; Nguyen, T.K.T.; Williams, B.; Wurm, P.; Bellairs, S.; Mundree, S. Improvement of salinity stress tolerance in rice: Challenges and opportunities. Agronomy 2016, 6, 54. [Google Scholar] [CrossRef]
- Song, Z.Q.; Liu, J.Y.; Yang, X.A.; Tan, Q.Y. First Report of meloidogyne graminicola naturally infecting Cyperus difformis in China. Plant Dis. 2023, 107, 233. [Google Scholar] [CrossRef]
- Tehranchian, P.; Norsworthy, J.K.; Nandula, V.; McElroy, S.; Chenc, S.; Scott, R.C. First report of resistance to acetolactate-synthase-inhibiting herbicides in yellow nutsedge (Cyperus esculentus): Confirmation and characterization. Pest. Manag. Sci. 2015, 71, 1274–1280. [Google Scholar] [CrossRef]
- Zhou, Q.; Liu, W.; Zhang, Y.; Liu, K.K. Action mechanisms of acetolactate synthase-inhibiting herbicides. Pestic. Biochem. Physiol. 2007, 89, 89–96. [Google Scholar] [CrossRef]
- Hatami, Z.M.; Gherekhloo, J.; Rojano-Delgado, A.M.; Osuna, M.D.; Alcantara, R.; Fernandez, P.; Sadeghipour, H.R.; De Prado, R. Multiple mechanisms increase levels of resistance in Rapistrum rugosum to ALS Herbicides. Front. Plant Sci. 2016, 7, 169. [Google Scholar] [CrossRef] [PubMed]
- Heap, I. The International Herbicide-Resistant Weed Database. Available online: www.weedscience.org (accessed on 16 April 2023).
- Powles, S.B.; Yu, Q. Evolution in action: Plants resistant to herbicides. Annu. Rev. Plant Biol. 2010, 61, 317–347. [Google Scholar] [CrossRef] [PubMed]
- Wei, S.H.; Li, P.S.; Ji, M.S.; Dong, Q.; Wang, H.N. Target-site resistance to bensulfuron-methyl in Sagittaria trifolia L. populations. Pestic. Biochem. Physiol. 2015, 124, 81–85. [Google Scholar] [CrossRef]
- Fang, J.P.; Yang, D.C.; Zhao, Z.R.; Chen, J.Y.; Dong, L.Y. A novel Phe-206-Leu mutation in acetolactate synthase confers resistance to penoxsulam in barnyardgrass (Echinochloa crus-galli (L.) P. Beauv). Pest Manag. Sci. 2022, 78, 2560–2570. [Google Scholar] [CrossRef]
- Zhao, N.; Yan, Y.Y.; Wang, H.Z.; Bai, S.; Wang, Q.; Liu, W.T.; Wang, J.X. Acetolactate synthase overexpression in mesosulfuron-methyl-resistant shortawn foxtail (Alopecurus aequalis Sobol.): Reference Gene Selection and Herbicide Target Gene Expression Analysis. J. Agric. Food Chem. 2018, 66, 9624–9634. [Google Scholar] [CrossRef] [PubMed]
- Délye, C.; Jasieniuk, M.; Le Corre, V. Deciphering the evolution of herbicide resistance in weeds. Trends Genet. 2013, 29, 649–658. [Google Scholar] [CrossRef]
- Ghanizadeh, H.; Harrington, K.C. Non-target site mechanisms of resistance to herbicide. Crit. Rev. Plant Sci. 2017, 36, 24–34. [Google Scholar] [CrossRef]
- Yuan, J.S.; Tranel, P.J.; Stewart, C.N. Non-target-site herbicide resistance: A family business. Trends Plant Sci. 2007, 12, 6–13. [Google Scholar] [CrossRef] [PubMed]
- Merotto, A.; Merotto, A.; Osuna, M.D.; Vidotto, F.; Ferrero, A.; Fischer, A.J. Cross-Resistance to Herbicides of Five ALS-Inhibiting Groups and Sequencing of the ALS Gene in Cyperus difformis L. J. Agric. Food Chem. 2009, 57, 1389–1398. [Google Scholar] [CrossRef]
- Ntoanidou, S.; Kaloumenos, N.; Diamantidis, G.; Madesis, P.; Eleftherohorinos, I. Molecular basis of Cyperus difformis cross-resistance to ALS-inhibiting herbicides. Pestic. Biochem. Physiol. 2016, 127, 38–45. [Google Scholar] [CrossRef] [PubMed]
- Pan, L.; Yu, Q.; Wang, J.Z.; Han, H.P.; Mao, L.F.; Nyporko, A.; Maguza, A.; Fan, L.J.; Bai, L.Y.; Powles, S. An ABCC-type transporter endowing glyphosate resistance in plants. Proc. Natl. Acad. Sci. USA 2021, 118, e2100136118. [Google Scholar] [CrossRef]
- Zhao, N.; Jiang, M.H.; Li, Q.; Gao, Q.; Zhang, J.X.; Liao, M.; Cao, H.Q. Cyhalofop-butyl resistance conferred by a novel Trp-2027-Leu mutation of acetyl-CoA carboxylase and enhanced metabolism in Leptochloa chinensis. Pest Manag. Sci. 2022, 78, 1176–1186. [Google Scholar] [CrossRef]
- Healey, A.; Furtado, A.; Cooper, T.; Henry, R.J. Protocol: A simple method for extracting next-generation sequencing quality genomic DNA from recalcitrant plant species. Plant Methods 2014, 21, 10. [Google Scholar] [CrossRef]
- Huang, M.G.; Long, D.; Zhou, F.Y.; Li, J.B.; Tang, W.W.; Zeng, D.Q.; Wang, Y.H. Comparative analysis of resistance to ALS-inhibiting herbicides in smallflower umbrella sedge (Cyperus difformis) populations from direct-seeded and puddled-transplanted rice systems. Weed Sci. 2022, 70, 174–182. [Google Scholar] [CrossRef]
- Wang, N.; Bai, S.; Bei, F.; Zhao, N.; Jia, S.S.; Jin, T.; Wang, J.X.; Wang, H.Z.; Liu, W.T. Resistance to ALS inhibitors conferred by non-target-site resistance mechanisms in Myosoton aquaticum L. Pestic. Biochem. Physiol. 2022, 184, 105067. [Google Scholar] [CrossRef]
- Huang, M.G. Resistance Mechanism of Cyperus difformis to Bensulfuron-Methyl in Rice Field. Master’s Thesis, Guangxi University, Nanning, China, 2022. [Google Scholar]
- Li, Z.; Li, X.J.; Chen, J.C.; Peng, L.C.; Wang, J.J.; Cui, H.L. Variation in mutations providing resistance to acetohydroxyacid synthase inhibitors in Cyperus difformis in China. Pestic. Biochem. Physiol. 2020, 166, 104571. [Google Scholar] [CrossRef] [PubMed]
- Osuna, M.D.; Vidotto, F.; Fischer, A.J.; Bayer, D.E.; De Prado, R.; Ferrero, A. Cross-resistance to bispyribac-sodium and bensulfuron-methyl in Echinochloa phyllopogon and Cyperus difformis. Pestic. Biochem. Physiol. 2002, 73, 9–17. [Google Scholar] [CrossRef]
- Tranel, P.J.; Wright, T.R. Resistance of weeds to ALS-inhibiting herbicides: What have we learned? Weed Sci. 2002, 50, 700–712. [Google Scholar] [CrossRef]
- Qin, X.Y.; Yang, C.; Hu, M.M.; Duan, Y.X.; Zhang, N.; Wang, J.X.; Wang, H.Z.; Liu, W.T. Molecular basis of resistance to mesosulfuron-methyl in a black-grass (Alopecurus myosuroides Huds.) population from China. Agronomy 2022, 12, 2203. [Google Scholar] [CrossRef]
- Murphy, B.P.; Tranel, P.J. Target-site mutations conferring herbicide resistance. Plants 2019, 8, 382. [Google Scholar] [CrossRef]
- Tehranchian, P.; Riar, D.S.; Norsworthy, J.K.; Nandula, V.; McElroy, S.; Chen, S.; Scott, R.C. ALS-resistant smallflower umbrella sedge (Cyperus difformis) in Arkansas rice: Physiological and molecular basis of resistance. Weed Sci. 2015, 63, 561–568. [Google Scholar] [CrossRef]
- Fu, D.N.; Shafi, J.; Zhao, B.C.; Li, X.W.; Zhu, H.; Wei, S.H.; Ji, M.S. Bensulfuron-methyl resistant Sagittaria trifolia L.: Multiple resistance, cross-resistance and molecular basis of resistance to acetolactate synthase-inhibiting herbicides. Arch. Biol. Sci. 2017, 69, 649–658. [Google Scholar] [CrossRef]
- Deng, W.; Di, Y.J.; Cai, J.X.; Chen, Y.Y.; Yuan, S.Z. Target-Site Resistance Mechanisms to Tribenuron-methyl and cross-resistance patterns to ALS-inhibiting herbicides of catchweed bedstraw (Galium aparine) with different ALS mutations. Weed Sci. 2019, 67, 183–188. [Google Scholar] [CrossRef]
- Deng, W.; Duan, Z.W.; Li, Y.; Cui, H.W.; Peng, C.; Yuan, S.Z. Characterization of target-site resistance to ALS-inhibiting herbicides in Ammannia multiflora populations. Weed Sci. 2022, 70, 292–297. [Google Scholar] [CrossRef]
- Uchino, A.; Ogata, S.; Kohara, H.; Yoshida, S.; Yoshioka, T.; Andwatanabe, H. Molecular basis of diverse responses to acetolactate synthase-inhibiting herbicides in sulfonylurea-resistant biotypes of Schoenoplectus juncoides. Weed Biol. Manag. 2008, 8, 146. [Google Scholar] [CrossRef]
- Wang, H.Z.; Sun, P.L.; Guo, W.L.; Dong, X.X.; Liu, W.T.; Wang, J.X. Florasulam resistance status of flixweed (Descurainia sophia L.) and alternative herbicides for its chemical control in the North China plain. Pestic. Biochem. Physiol. 2021, 172, 104748. [Google Scholar] [CrossRef]
- Sen, M.K.; Hamouzova, K.; Mikulka, J.; Bharati, R.; Kosnarova, P.; Hamouz, P.; Roy, A.; Soukup, J. Enhanced metabolism and target gene overexpression confer resistance against acetolactate synthase-inhibiting herbicides in Bromus sterilis. Pest Manag. Sci. 2021, 77, 2122–2128. [Google Scholar] [CrossRef] [PubMed]
- Collavo, A.; Strek, H.; Beffa, R.; Sattin, M. Management of an ACCase-inhibitor-resistant Lolium rigidum population based on the use of ALS inhibitors: Weed population evolution observed over a 7 year field-scale investigation. Pest Manag. Sci. 2013, 69, 200–208. [Google Scholar] [CrossRef] [PubMed]
- Yu, Q.; Powles, S.B. Resistance to AHAS inhibitor herbicides: Current understanding. Pest Manag. Sci. 2014, 70, 1340–1350. [Google Scholar] [CrossRef]
- Kaundun, S.S. Resistance to acetyl-CoA carboxylase-inhibiting herbicides. Pest Manag. Sci. 2014, 70, 1405–1417. [Google Scholar] [CrossRef]
- Pan, L.; Guo, Q.S.; Wang, J.Z.; Shi, L.; Yang, X.; Zhou, Y.Y.; Yu, Q.; Bai, L.Y. CYP81A68 confers metabolic resistance to ALS and ACCase-inhibiting herbicides and its epigenetic regulation in Echinochloa crus-galli. J. Hazard. Mater. 2022, 428, 128225. [Google Scholar] [CrossRef] [PubMed]
- Bai, S.; Yin, M.J.; Lyu, Q.H.; Jiang, B.; Li, L.X. Cytochrome P450 BsCYP99A44 and BsCYP704A177 confer metabolic resistance to ALS herbicides in Beckmannia syzigachne. Int. J. Mol. Sci. 2022, 23, 12175. [Google Scholar] [CrossRef]
- Shen, J.; Yang, Q.; Hao, L.B.; Zhang, L.L.; Li, X.F.; Zheng, M.Q. The metabolism of a novel cytochrome P450 (CYP77B34) in tribenuron-methyl-resistant Descurainia sophia L. to herbicides with different mode of actions. Int. J. Mol. Sci. 2022, 23, 5812. [Google Scholar] [CrossRef]
- Zhao, N.; Yan, Y.Y.; Liu, W.T.; Wang, J.X. Cytochrome P450 CYP709C56 metabolizing mesosulfuron-methyl confers herbicide resistance in Alopecurus aequalis. Cell. Mol. Life Sci. 2022, 79, 205. [Google Scholar] [CrossRef]
- Chen, W.; Wu, L.M.; Wang, J.Z.; Yu, Q.; Bai, L.Y.; Pan, L. Quizalofop-p-ethyl resistance in Polypogon fugax involves glutathione S-transferases. Pest Manag. Sci. 2020, 76, 3800–3805. [Google Scholar] [CrossRef]





| Group | Herbicides | Formulation | Commercial Name | Supplier | Test Doses (g a.i. ha−1) | |
|---|---|---|---|---|---|---|
| Susceptible Population | Resistant Population | |||||
| SU | Bensulfuron-methyl | 60% WDG | Shinong | Jisu, Jiangsu | 0, 0.19, 0.56, 1.67, 5, 15, 45 | 0, 1.67, 5, 15, 45, 135, 405 |
| SU | Pyrazosulfuron-ethyl | 15% OD | Jiangxing | Shangheworld, Anhui | 0, 0.09, 0.28, 0.83, 2.50, 7.50, 22.50 | 0, 0.83, 2.50, 7.50, 22.50, 67.50, 202.50 |
| TP | Penoxsulam | 25 g L−1 OD | Daojie | Corteva AgroSciences, Shanghai | 0, 0.12, 0.37, 1.11, 3.33, 10, 30 | 0, 1.11, 3.33, 10, 30, 90, 270 |
| PYB | Bispyribac-sodium | 100 g L−1 SC | Bugao | Zhongshan, Zhejiang | 0, 0.12, 0.37, 1.11, 3.33, 10, 30 | 0, 1.11, 3.33, 10, 30, 90, 270 |
| AM | MCPA sodium | 13% AS | Caojiang | Huaxing, Anhui | 0, 4, 12, 36, 108, 324, 972 | 0, 4, 12, 36, 108, 324, 972 |
| AM | Florpyrauxifen-benzyl | 3% EC | Lingsko | Corteva AgroSciences, Shanghai | 0, 1.13, 2.25, 4.50, 9, 18, 36 | 0, 1.13, 2.25, 4.50, 9, 18, 36 |
| PS II inhibitor | Bentazon | 480 g L−1 SL | Kuaijing | Ruibang, Jiangsu | 0, 5.93, 17.78, 53.33, 160, 480, 1440 | 0, 5.93, 17.78, 53.33, 160, 480, 1440 |
| Primers | Sequence (5′-3′) a | Product Size (bp) | Annealing Temperature (°C) | Usage |
|---|---|---|---|---|
| ALS-F | ATCCAAGCACTCCAAACCCTCCT | 1934 | 55 | Sequencing for ALS |
| ALS-R | AGCCTACCATCAGAAAGTTCAA | |||
| qALS-F | CCTAGCAATGATGAGCTGTCTCT | 109 | 60 | Expression level for ALS |
| qALS-R | CAAATCTCACCCCAAAGGCTAAC | |||
| qACT-F | TGGTATTGTGCTTGACTCTGG | 184 | 60 | |
| qACT-R | TCTCACAATTTCCCGCTCG |
| Herbicide | Biotype b | Regression Parameters | GR50 (g a.i. ha−1) (SEM) | RI c | ||
|---|---|---|---|---|---|---|
| C (SEM) | D (SEM) | b (SEM) | ||||
| Bensulfuron-methyl | R | 1.55 (5.43) | 102.11 (4.71) | 1.28 (0.25) | 30.51 (4.53) | 12.87 |
| S | 3.89 (5.80) | 104.41 (6.87) | 1.43 (0.37) | 2.37 (0.44) | ||
| Pyrazosulfuron-ethyl | R | −7.52 (4.04) | 101.43 (2.62) | 0.95 (0.09) | 19.80 (1.77) | 20.63 |
| S | 4.74 (2.13) | 101.49 (2.84) | 1.65 (0.19) | 0.96 (0.07) | ||
| Penoxsulam | R | 3.71 (2.06) | 96.20 (2.13) | 1.47 (0.14) | 16.60 (1.12) | 7.76 |
| S | 3.54 (1.70) | 100.66 (1.55) | 1.41 (0.10) | 2.14 (0.11) | ||
| Bispyribac-sodium | R | −3.48 (5.79) | 100.83 (4.97) | 1.49 (0.33) | 21.11 (3.21) | 5.48 |
| S | −22.17 (31.23) | 102.57 (15.39) | 0.71 (0.35) | 3.85 (2.45) | ||
| MCPA sodium | R | 2.62 (3.57) | 102.39 (3.72) | 1.54 (0.24) | 58.94 (6.41) | 0.85 |
| S | −1.62 (3.48) | 99.45 (3.18) | 1.39 (0.19) | 69.62 (6.80) | ||
| Florpyrauxifen-benzyl | R | 3.29 (0.88) | 98.00 (1.02) | 3.91 (0.26) | 4.98 (0.08) | 0.87 |
| S | 1.81 (1.57) | 95.57 (1.62) | 4.15 (0.38) | 5.71 (0.17) | ||
| Bentazon | R | 2.34 (1.05) | 99.63 (1.45) | 2.41 (0.22) | 53.10 (1.57) | 0.93 |
| S | 1.58 (1.99) | 95.24 (2.61) | 2.21 (0.33) | 56.94 (3.45) | ||
| Herbicide | Biotype b | Regression Parameters | GR50 (g a.i. ha−1) (SEM) | RI c | ||
|---|---|---|---|---|---|---|
| C (SEM) | D (SEM) | b (SEM) | ||||
| Bensulfuron-methyl | R | 1.55 (5.43) | 102.11 (4.71) | 1.28 (0.25) | 30.51 (4.53) | 12.87 |
| S | 3.89 (5.80) | 104.41 (6.87) | 1.43 (0.37) | 2.37 (0.44) | ||
| Bensulfuron-methyl + malathion | R | 1.75 (5.44) | 100.56 (4.75) | 1.46 (0.32) | 30.88 (4.71) | 14.30 NSD |
| S | 2.33 (6.62) | 104.20 (8.49) | 1.43 (0.44) | 2.16 (0.47) | ||
| Bensulfuron-methyl + NBD-Cl | R | 3.20 (1.35) | 95.86 (1.16) | 1.82 (0.12) | 33.70 (1.30) | 13.92 NSD |
| S | −0.57 (2.06) | 98.75 (2.37) | 1.49 (0.14) | 2.42 (0.16) | ||
Disclaimer/Publisher’s Note: The statements, opinions and data contained in all publications are solely those of the individual author(s) and contributor(s) and not of MDPI and/or the editor(s). MDPI and/or the editor(s) disclaim responsibility for any injury to people or property resulting from any ideas, methods, instructions or products referred to in the content. |
© 2023 by the authors. Licensee MDPI, Basel, Switzerland. This article is an open access article distributed under the terms and conditions of the Creative Commons Attribution (CC BY) license (https://creativecommons.org/licenses/by/4.0/).
Share and Cite
Yin, S.; Hu, W.; Chai, Y.; Jiang, M.; Zhang, J.; Cao, H.; Zhao, N.; Liao, M. Molecular Basis of Resistance to Bensulfuron-Methyl in a Smallflower Umbrella Sedge (Cyperus difformis L.) Population from China. Agronomy 2023, 13, 1179. https://doi.org/10.3390/agronomy13041179
Yin S, Hu W, Chai Y, Jiang M, Zhang J, Cao H, Zhao N, Liao M. Molecular Basis of Resistance to Bensulfuron-Methyl in a Smallflower Umbrella Sedge (Cyperus difformis L.) Population from China. Agronomy. 2023; 13(4):1179. https://doi.org/10.3390/agronomy13041179
Chicago/Turabian StyleYin, Shanshan, Wei Hu, Yin Chai, Minghao Jiang, Jingxu Zhang, Haiqun Cao, Ning Zhao, and Min Liao. 2023. "Molecular Basis of Resistance to Bensulfuron-Methyl in a Smallflower Umbrella Sedge (Cyperus difformis L.) Population from China" Agronomy 13, no. 4: 1179. https://doi.org/10.3390/agronomy13041179
APA StyleYin, S., Hu, W., Chai, Y., Jiang, M., Zhang, J., Cao, H., Zhao, N., & Liao, M. (2023). Molecular Basis of Resistance to Bensulfuron-Methyl in a Smallflower Umbrella Sedge (Cyperus difformis L.) Population from China. Agronomy, 13(4), 1179. https://doi.org/10.3390/agronomy13041179

