Abstract
Cadmium (Cd) pollution poses a growing threat to rice production in acidic paddies. In south China, a common agricultural practice involves the combined utilization of Chinese milk vetch (M) and rice straw (R). However, it is unclear how the addition of lime to these amendments affects Cd bioavailability and accumulation in soil. Control (CK), chemical fertilizer (F), Chinese milk vetch + rice straw + chemical fertilizer (MRF), and Chinese milk vetch + rice straw + chemical fertilizer + lime (MRFL) treatments were applied to develop a kind of green, efficient, and practical amendment for acidic paddies. We conducted a microplot experiment to explore Cd immobilization in paddy soil and the Cd content in rice grains with these treatments. The results showed that compared with F, the rice Cd in the MRF and MRFL treatments were significantly decreased by 51.7% and 65.2% in early rice and 23.0% and 43.3% in late rice, respectively. Both the MRF and MRFL treatments significantly reduced soil available Cd and weak acid-extractable cadmium (Aci-Cd) concentrations and increased soil organic matter (SOM), exchangeable cation concentrations, and pH, which converted Cd into a stable form in soil. In addition, the MRF and MRFL treatments increased soil pH value by reducing soil exchangeable hydrogen ion concentration (E-H). Additionally, recombination of Cd forms was the primary factor in the reduction in available Cd concentration according to partial least squares path modeling (PLS-PM) analysis. The Cd concentration of rice grains was primarily associated with soil available Cd, soil pH value, and SOM. Overall, these results provide useful data and novel insights into reducing rice grain Cd in south China.
1. Introduction
Cadmium (Cd) is a nonessential element that accumulates in the human body through the food chain, causing irreversible damage to organs like the liver and lung [1]. Rice, consumed by over half of the world’s population, tends to accumulate Cd as a result of the high transfer of Cd in soil-plant systems [2,3] In recent years, Cd-contaminated rice has entered food markets in South China, which has gained increasing attention [4]. Acidic paddy soils are widely distributed in South China, and the Cd present in acidic soils is more available to rice plants and is easily transferred from soils to rice organs [5]. Therefore, it is crucial to remediate acidic soil with low to moderate Cd contamination for food security and human health.
Soil amendment with organic and inorganic materials is an effective remediation to mitigate Cd contamination by inhibiting soil acidification and reducing soil Cd bio-availability to cereal plants [6,7]. Chinese milk vetch (Astragalus sinicus L.) (M) is commonly used as a green manure to improve soil fertility and change the microenvironment during the double-season rice system employed in South China [8,9]. Previous studies also showed that the combined utilization of M and rice straw (R) could decrease the Cd content in rice grains by reducing availability of soil Cd by increasing soil pH and soil organic matter (SOM) concentration [7,10]. Soil available Cd was significantly and positively correlated with SOM [7]. In addition, long-term overpressure from green manure can increase soil pH and exchangeable cation content [11], improve soil pH capacity, and mitigate the harm caused by soil acidification [12].
Rice straw (R) is an agricultural waste. Returning R to the field has increasingly become a productive agricultural practice in South China [13]. Incorporation of R decreased the available Cd concentration by 17–92% due to the formation of complexes between dissolved organic matter (DOM) and Cd in the soil [14]. The results of correlation analysis showed that DOM significantly and negatively correlated with soil available Cd concentration [14]. Additionally, the combined application of R and M can increase DOC content by 38.57–102.32% [10], decrease weak acid-extractable Cd (Aci-Cd), and improve residual Cd (Res-Cd) concentrations, thus reducing Cd uptake by plants [10]. However, the ability of M and R inputs to remediate Cd-contaminated soil remains unclear.
Lime (L) is typically used as an inorganic soil amendment to directly increase soil pH [15]. It strengthens competition between calcium (Ca) and Cd for adsorption sites on the soil surface [16], inhibiting soil acidity and reducing soil available Cd concentration [17]. Soil available Cd was significantly and negative correlated with pH [10]. However, the influence of the combined application of M, R, and L on soil Cd availability and Cd uptake by rice plants are unclear, especially during successive multiyear model.
This study aims to explore the synergistic mechanisms active in regulating Cd bioavailability in acidic paddy fields in south China by utilizing a combined treatment of M, R, and L. We hypothesized that this combined utilization would effectively reduce soil available Cd, ameliorate soil acidification, alter Cd fractions, and contribute to a reduction in Cd concentrations in rice grains.
2. Materials and Methods
2.1. Microplot Description
The microplot experiment was conducted in Changsha, Hunan Province, China. This region has a subtropical monsoon climate, with an annual temperature of 17.2 °C; sunshine duration was 1663 h, frost free period was 274 days, and annual precipitation was 1422 mm. The experiments were begun in 2016 and were performed in a netted house with a glass roof.
The microplot was covered in alluvial sandy soil when the experiment was established (Clay: 25.5%, Silt: 28.1%, Sand: 46.4%). The soil was derived from Fulin, Changsha. The soil pH was 5.90, soil organic matter (SOM) was 34.30 g kg−1, total nitrogen (TN) was 2.20 g kg−1, available phosphorus (AP) was 65.00 mg kg−1, available potassium (AK) was 161.00 mg kg−1, available Cd was 0.15 mg kg−1, and total Cd was 0.51 mg kg−1. The milk vetch cultivar was Xiangzi No. 1. Two rice cultivars were used: Zhongzao 39 for early rice and Shenyou 9586 for late rice. Lime was purchased from a local farmer’s market.
2.2. Experimental Design
Each microplot treatment was replicated three times in a completely randomized block arrangement. A cement ridge was built in each microplot to prevent fertilizer and water channeling. Each experimental plot received separate irrigation and drainage, and the area of the microplot was 2.25 m2. Four treatments were established in this experiment: (1) no fertilization (CK); (2) chemical fertilizer (F); (3) milk vetch, rice straw, and F (MRF); and (4) M, R, F, and lime (MRFL).
The rates of fertilizer were equivalent to N (150 kg ha−1), P2O5 (75 kg ha−1), and K2O (90 kg ha−1) in early rice, respectively. A total of 180 kg ha−1 N, 45 kg ha−1 P2O5, and 120 kg ha−1 K2O fertilizer was applied in this experiment for late rice. N fertilizers were applied as basal fertilizers (approximately 70%), and the others were applied at the tillering stage. All P fertilizers were applied as basal fertilizers. K fertilizer was applied as basal fertilizer (approximately 50%), and the rest was applied to the soil with P fertilizer at the tillering stage. The basal fertilizers were applied with a rake one day before transplanting at a depth of 5 cm under the topsoil. Rice straw from the CK and F treatments was completely removed from the microplot each season; in the MRF and MRFL treatments, an average amount of rice straw and milk vetch was returned to the field after each microplot. M and R were returned to the paddy 10 days before transplanting. L was applied at 900 kg ha−1 to the field 7 days before transplanting. The field water management as an alternating cycle of flooding, drainage, and intermittent wetting from the seedling stage to mature stage of rice.
2.3. Sampling
Soils and plants samples were collected in mid-late July (Early rice), and mid-October (Late rice) in 2020 and 2021. The rice yield of each microplot was separate harvest and drying. The soil samples were collected from each microplot by five-spot-sampling method (0–20 cm). The soil samples were air-dried, crushed, and screened with 2 mm and 0.149 mm plastic mesh. The soil samples were screened with a 2 mm mesh for the analysis of soil pH, soil cation exchange capacity (CEC), soil exchangeable acid (E-Aci), and available Cd. The soil that was passed through the 0.149 mm sieves was used to determine soil organic matter (SOM); soil Cd fraction (Acidic-Cd, Reducible-Cd, Oxidizable-Cd, Residual-Cd); soil exchange Mg2+ (E-Mg), soil exchange Ca2+ (E-Ca), soil exchange Na+ (E-Na), soil exchange K+ (E-K); soil exchange H+ (E-H), soil exchange Al3+ (E-Al). The rice plant samples were dried in an oven at 80 °C until a constant weight was reached.
2.4. Analytical Methods
Soil pH was determined (solid: water = 1:2.5) by a compound electrode (PRN-41, DKKTOA Corporation, Tokyo, Japan). SOM was measured by the potassium dichromate oxidation method. The exchangeable form of cations (E-Ca, E-Mg, E-Na, and E-K) was extracted using 1 M CH3COONH4 at pH 7, and then the concentrations were analyzed by ICP-MS [18]. The exchangeable hydrinos and aluminums ion (E-H and E-Al) was extracted using 1 M KCl, and then the concentrations were analyzed by ICP-MS [19].
A solution of CaCl2 (0.01 mol L−1) was used to extract available Cd from the soil (solid: water = 1:5). The contents of available Cd in the extracts (filtered through 0.22 mm filters) were analyzed by ICP-MS [20]. We used the four-step extraction process to analyze Cd-fraction in soil. Briefly, (1) Acid extractable Cd (Aci-Cd) was extracted with 0.1 mol L−1 of HOAc at 22 ℃ for 16 h; (2) Reducible Cd (Red-Cd) with 0.1 mol L−1 of NH2OH HCl; (3) Oxidizable Cd (Oxi-Cd) with 30% H2O2 and 1 mol L−1 of NH4OAc; (4) Residual Cd (Res-Cd) with HF, HNO3 and HclO4 at 220 ℃ for 12 h. The content of Cd was measured by ICP-MS [21]. The national standard material GBW07404a (GSS-4a) was used for quality control during soil sample analysis, and the national standard material GBW10045a (GSB-23a) was used for quality control during the determination of plant Cd. The recovery rate was above 97%.
2.5. Data Analysis
One-way analysis of variance (ANOVA) of different treatments and Pearson correlation tests were performed with SPSS 24 for Windows (IBM, Armonk, NY, USA). Graphs were plotted by Origin 2021. The relationships between pH and soil available Cd concentrations were analyzed using partial least squares path modeling (PLS-PM) by the “plspm” package in R (v.4.0.5).
3. Results
3.1. The Effect of Milk Vetch, Rice Straw, and Lime Application on Cd Concentration in Rice Grains
The application of M, R, and L significantly reduced the Cd concentration in grains of both early and late rice (Figure 1). Compared with F, the Cd concentration in grains of early rice was significantly decreased by 51.7% (p < 0.05) under MRF, and MRFL treatments further decreased the Cd concentration of early rice grains by 65.2%. In the grains of late rice, compared with the F treatment, the Cd concentration was also reduced by 23.0% and 43.3% under the MRF and MRFL, respectively. However, compared with the CK, F treatment increased the Cd concentration by 46.4% and 17.1% in the grains of early and late rice, respectively.
Figure 1.
Rice grain cadmium content in early and late rice. Small letters indicate that there are significant differences among different treatments in the same year and same season (p < 0.05).
3.2. The Effect of Milk Vetch, Rice Straw, and Lime Application on the Soil pH, SOM, and Available Cd Concentration
The combined application of M, R, L and F significantly increased soil pH (Figure 2A). The soil pH under the F treatment was between 5.40 and 5.60 in the early and late rice seasons during 2020–2021. Compared with F, the soil pH under the MRFL treatment was significantly increased (p < 0.05) and remained at 6.02 on average in the four rice growing seasons. There was no significant difference in soil pH between the CK, F, and MRF treatments. SOM of the MRF and MRFL treatments was significantly increased by 17.5% and 20.5% on average in 2020 to 2021 (p < 0.05), respectively, compared to F (Figure 2B).
Figure 2.
Soil pH (a), SOM (b), available Cd (c), and Spearman’s correlation analysis of the relative abundances of rice grain Cd, pH, SOM, and available Cd (d). Blue and red represent negative and positive correlations, respectively, with darker colors representing higher correlations. Different letters within a cultivar indicate significant differences between groups (p < 0.05). * p < 0.05, ** p < 0.01.
Combined utilization of M, R, L, and F (MRLF) significantly reduced the soil available Cd concentration (Figure 2C). In early rice, compared with the F treatment, MRF significantly decreased the available Cd concentration by 12.5%; moreover, the available Cd concentration was significantly reduced by 20.9% in the MRFL treatment. The late rice showed the same trend. The MRF and MRFL treatments decreased the available Cd concentration by 12.5% and 20.6%, respectively, in late rice. However, the available Cd concentration of F showed an increasing trend over the four rice cultivation seasons compared to the CK treatment.
The results of correlation analysis showed that available Cd was significantly and positively correlated with rice grain Cd; soil pH and SOM were significantly and negatively correlated with rice grain Cd; and soil pH and SOM were significantly and negatively correlated with available Cd (Figure 2D).
3.3. The Effect of Milk Vetch, Rice Straw, and Lime Application on Soil Cd Fraction Content
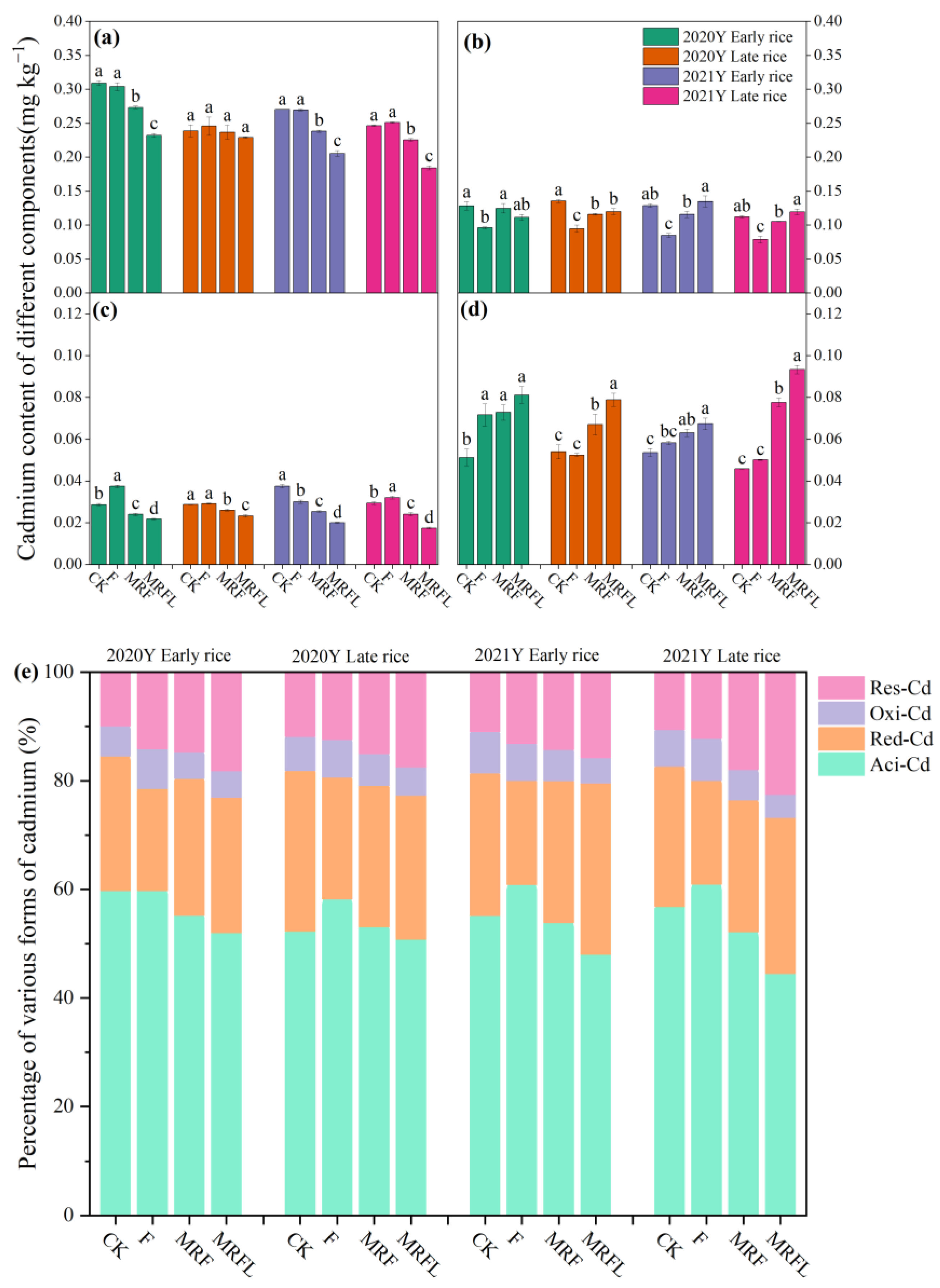
The concentrations of various Cd forms were as follows: Aci-Cd > Red-Cd > Res-Cd > Oxi-Cd (Figure 3A–C). Compared with F, the MRF treatments decreased the Aci-Cd concentration (10.1–11.7% in early rice, 3.7–10.2% in late rice) and Oxi-Cd (15.5–35.9% in early rice, 10.8–24.9% in late rice). There was a significant reduction in the MRFL treatment, in which the Aci-Cd and Oxi-Cd concentrations changed by 6.8–26.6% and 20.2–45.6%, respectively (Figure 3A,C). The MRF and MRFL treatments improved the Red-Cd concentration by 30.7% and 38.3%, respectively, and also increased the Res-Cd concentration by 23.1% and 41.3%, respectively, during the four rice growing seasons (Figure 3B,D). Figure 3E shows that the combined utilization of M, R, and F (MRF) contributed to the conversion of Cd into a stable Cd form in the soil.
Figure 3.
Geochemical forms of soil Cd. (a): Aci-Cd, (b): Red-Cd, (c): Oxi-Cd, (d): Res-Cd, (e): percentage of various Cd fractions. p < 0.05. Different letters within a cultivar indicate significant differences between groups (p < 0.05).
3.4. The Effect of Milk Vetch, Rice Straw, and Lime Application on the Exchangeable Proton and Exchangeable Cation Content
The E-H concentration in MRF was clearly different from that in the F treatment in early rice (2020 and 2021) (Table 1), with a significant decrease of 14.3%. However, the E-Mg of early and late rice significantly increased by 17.2–21.5% (Table 1). The application of lime (MRFL) further reduced the E-H and E-Al concentrations of the four rice growing seasons by 20.6–38.6% and 28.7–51.5%, respectively, and the E-Mg and E-Ca concentrations significantly increased by 28.3% and 110.9% on average in the four rice seasons, respectively, compared to the F treatment.
Table 1.
Soil exchangeable acid, exchange H+, exchange Al3+, exchange Ca2+, exchange Mg2+, exchange K+, exchange Na+ (c mol kg−1).
3.5. Effects of Key Factors on PH
To better integrate the interrelationship among SOM, E-Aci, E-Cat, and pH, we constructed a PLS-PM (Figure 4). pH exerted a significant positive effect on E-Cat, with a direct influence value of 1.05, whereas it had a significant negative influence on E-Aci (p < 0.001). Furthermore, the direct influence value was 0.70 for the soil pH and E-Aci.
Figure 4.
A partial least squares path model described the effects of key factors on pH (a). R2 denotes the proportion of variance explained. The model was evaluated using the goodness of fit (GOF) value, and the GOF value was 0.6415. The loadings of E-Cat and E-Aci are shown in graphs (b,c), and the values are near the black arrows. Numbers near the arrows are the standardized path coefficients. A solid-line path indicates that the effect was significant, and a dashed-line path indicates that the effect had no significance. Blue and red represent positive and negative correlations, respectively. ***, p < 0.001.
3.6. Effects of Key Factors on Available Cd
The PLS-PM suggested the influence of related parameters on soil available Cd (Figure 5). Available Cd had a direct, significant negative effect on the stable Cd form (R2 = 0.745) and E-cat (R2 = 0.861), and the loading scores indicated that Red-Cd and Res-Cd were the most useful stable Cd forms. Furthermore, the PLS-PM showed a negative correlation between Aci-Cd and the stable Cd form. The SOM and stable Cd form were positively correlated.
Figure 5.
(a) partial least squares path model described the effects of the key factors on available Cd. The GOF value of the PLS-PM was 0.5700. (b) shows the loadings of E-Cat. (c) is the loading of the stable Cd form. *, p < 0.05, ***, p < 0.001.
4. Discussion
4.1. Effect of Treatments on Soil Cd Activity and Soil Acidification
Römkens [22] showed that increase in rice brown Cd uptake coincides with an increase in soil available Cd by rice brown Cd uptake model. In this study, the soil available Cd was significantly decreased by the application of MRF and MRFL. Liang [7] reported that the application of organic and inorganic modifiers decreased available Cd in soil by 35.09–54.45% compared to CK. Cd forms represented the mobility of Cd in soil (e.g., Aci-Cd, Red-Cd, Oxi-Cd, and Res-Cd). Aci-Cd was the most active Cd forms within paddy soil [7]. Red-Cd, Oxi-Cd, and Res-Cd were the stable forms of Cd, which need to be transformed into Cd absorbed by plants under specific conditions. A previous study proved that organic treatments promoted the conversion of Aci-Cd to Res-Cd [4,23]; lime can decrease Aci-Cd and increase stable forms of Cd (Carbonates or Fe-Mn oxide bound forms) [24]. Our study showed that in comparison with the F treatment, MRF and MRFL treatments obviously reduced Aci-Cd concentration by 8.9% and 20.3%, while they significantly increased Res-Cd concentration by 22.8% and 41.1%, respectively. This means that combined application of M, R, and L resulted in Aci-Cd conversion into a more stable fraction in the paddy soil. The results of PLS-PM showed that the available Cd had a direct and significant negative effect on Aci-Cd (R2 = 0.745) and E-Cat (R2 = 0.861). Red-Cd and Res-Cd were stable Cd forms. Res-Cd significantly increased largely because GR decreased the Eh values [7], which might have facilitated the reduction of SO42− to S2−, promoting the formation of CdS precipitates [25]. On the other hand, SOM can form a stable chelate with soil Cd2+ [10]. In this study, the SOM concentrations of the MRF and MRFL treatments were significantly increased compared to F. Soil adsorption to DOM alters the binding sites for heavy metals and the surface charge of clay minerals, increasing the adsorption capacity of soil particles for Cd ions [26]. The PLS-PM showed that SOM affects available Cd by affecting the stable Cd form. The CEC of the MRF and MRFL treatments significantly increased; exchangeable Ca and exchangeable Mg showed the same trend. Yasir et al. [11] also proved this. The cation content of a soil affects soil Aci-Cd. With an increase in the CEC content of a soil, more cations compete with Cd for adsorption sites. Cd that did not adsorb was excluded from soil, and the content of active Cd in the soil decreased. Previous studies reported that the application of GR increased the abundance of sulfate-reducing bacteria (SRB) [27]. Under anaerobic conditions, SRB utilize organic compounds as electron donors to reduce SO42− to H2S, which reacts with Cd to generate CdS precipitates, reducing Cd bioavailability [20].
Soil acidification not only limits the productive potential of soils but also affects the activity of heavy metals in soil [7]. Soil pH was a vital factor effecting the properties of soil surface charge, the retention capacity of Cd in the soil solid phase, and the hydrolysis of metal cations. Zeng [28] proved that pH is one of the most critical factors controlling the transfer of Cd in soil–plant systems. Agricultural measures (acid settling, farming system, extensive use of chemical fertilizers, etc.) are important reasons for accelerating soil acidification [29]. Previous studies have reported that the extensive application of chemical fertilizers accelerates soil acidification and significantly reduces soil pH [30,31]. Compared to CK, soil pH of F treatment tended to decrease in 2020–2021. The application of organic and inorganic modifiers not only significantly improved the SOM content but also increased the soil pH and enhanced the soil pH buffer capacity [11]. In this study, the soil pH of the MRFL treatment significantly increased, and that of the MRF treatment tended to decrease compared with the F treatment. However, a few studies showed that liming increased soil pH more strongly in pots than in the field due to flooding may disperse lime [32]. Therefore, we need to pay attention to water management in the paddy fields.
The soil pH decrease with F treatment compared with CK resulted from the oxidation of mineralized NH4+ to NO3− by soil microorganisms. In contrast, the soil pH may increase with organic amendments application resulted from the release of NH4+ from organic N mineralization [33]. The PLS-PM estimated that pH had a significant positive effect on E-Cat, whereas it had a significant negative influence on E-Aci (p < 0.001). Soil cation exchange capacity is an important factor controlling the chemical process of soil acidification and determines the number of cation exchange sites on the soil surface. The higher the soil CEC is, the stronger the buffering capacity of soil for acid [30]. Our study proved that application of M and R promoted the CEC content of the soil, and this effect was enhanced by additional lime treatment (MRFL). A previous study revealed that application of organic amendments effectively increased soil CEC [7]. Caires [30] found that the application of lime increased pH and the exchangeable Ca (E-Ca) content of cultivated soils. Furthermore, liming ameliorated soil acidification. Application of lime also provides a number of Mg2+. After the application of lime to a soil, the soil maintained high pH and exchangeable Ca and Mg contents after 40 years [34]. Green manure can increase soil pH and reduce soil acidity [35]. The reason this occurs is that root systems absorb more cations (e.g., Ca2+, Mg2+, K+, and Na+) than anions from the soil during the growth of rice, and the salt ions in the soil are not replaced. On the other hand, insufficient cation exchange sites are present on the soil surface to balance the negative charges, and H+ and Al3+ occupy cation exchange sites, leading to soil acidification [36]. In this study, compared with the F treatment, the E-Mg concentration of the MRF treatments significantly increased by 17.2–21.5%, and the E-Mg and E-Ca contents of the MRFL treatments significantly increased by 22.5–34.4% and 54.2–122.9%, respectively. Liu et al. showed that application of lime significantly increased exchangeable Ca and rice Ca concentration [37]. A large number of cations are lost (Ca2+ and Mg2+) upon rice harvesting, which prevents soil acidification. The E-Aci of the MRF treatment significantly decreased by 17.3% in early rice, largely due to the E-H reduction. This influence could be enhanced by combining MRF with lime.
4.2. Effect of Treatments on Cd Uptake by Paddy Rice
Various organic treatments have been used in paddy fields to minimize metal bioavailability and toxicity in plants and soil [11,38]. Application of organic matter can increase soil pH and SOM, and decrease soil available Cd [39]. Our study showed that MRF and MRFL treatments reduced Rice-Cd by decreasing soil available Cd concentration and increasing soil pH and SOM. Compared with F treatment, the Cd contents of rice grains significantly decreased in the MRF and MRFL treatments (Figure 1). Liang [7] reported that the MF, RF, and MRF treatments reduced brown rice Cd concentrations by 47.75%, 29.18%, and 61.20%, respectively, compared to CK treatment. Liao et al. also showed that application of lime was effective in reducing rice grain Cd concentration in acidic paddy [32]. Lime rate was the principal predictor for liming effects on rice grain Cd [32]. In this study, lime was applied at 900 kg ha−1, and the initial soil pH was 5.90. Combined utilization of M, R, and L significantly decreased rice grain Cd concentration by 65.2% (Early rice) and 43.3% (Late rice), compared with F treatment. Kong et al. reported that when the lime rate < 1500 kg ha−1, the Cd decrease achieved by liming was better in soils with pH > 5.5 [40]. In addition, no specialized transporters exist for Cd transport. We conjectured that Cd was transported into cells through transporters that mediate cation (e.g., Ca2+, Mg2+) transport. Hence, competition among Ca2+, Mg2+, and Cd2+ for adsorption sites on the transporter may explain the reduction in available Cd concentration, which was followed by a decrease in Cd translocation and accumulation in rice. This phenomenon may explain the significant negative relationship between E-Cat and available Cd (Figure 5).
The results of correlation analysis reported that Rice-Cd was positively correlated with soil available Cd. Compare to F, MRF significantly decreased soil available Cd by 10.8–14.3%, and this influence was raised by application of lime treatment (MRFL). Similar reports have appeared in previous studies [41,42]. The correlation analysis showed that a negative relationship existed between rice grain Cd and pH Soil pH displayed a continuous decreasing trend with increasing NPK, and that in the organic treatments showed an increasing trend. Our result was consistent with previous research [43,44]. Yun [10] showed that the coutilization of milk vetch and rice straw reduced rice grain Cd concentration. The interaction between SOM and free heavy-metal particles varied the adsorption of Cd in the soil, which inhibited Cd uptake by rice plants [45,46]. On the other hand, organic matter contains a large number of active functional groups (e.g., hydroxyl and carboxyl groups). It is negatively charged and has good adsorption and ion exchange effects on positively charged metal ions once it is deprotonated; as a result, it reduced the activity of soil Cd and decreased Cd concentration of rice [47]. This was authenticated by the consequences of correlation analysis in our study, which reported a positive relationship between SOM and rice Cd. SOM may indirectly increase soil pH and increase the adsorption of heavy metal ions to the soil. In summary, reduced Cd concentration in rice grain may be associated with increased soil pH which was contributed by reduced E-H, increased SOM which coordinated with increased E-Cat (E-Ca and E-Mg) to promote the formation of stable Cd form, and reduced available Cd concentration in soil which resulted from decreased Aci-Cd as well as increased stable Cd concentration.
5. Conclusions
The combined utilization of MRF reduced the bioavailability of Cd in soil, and the addition of L further strengthened this effect. Specifically, in comparison with the F treatment, the MRF and MRFL treatments reduced soil available Cd concentrations, resulting in a reduction in the rice grain Cd concentration by 51.7% and 65.2% in early rice and 23.0% and 43.3% in late rice, respectively. Moreover, the MRF and MRFL treatments decreased soil Aci-Cd contents; then, it promoted the transformation of Aci-Cd into a stable fraction. The increase in the stable Cd form was also attributed to an increase in E-Ca, E-Mg, and SOM in the soil. Furthermore, soil pH was a critical factor affecting rice grain Cd. In comparison with F treatment, the MRFL treatment significantly increased pH, and pH in the MRF treatment tended to increase. The main reason this occurred was because soil E-H decreased. This study demonstrates that the combined use of M, R, and L is an effective treatment for decreasing the bioavailability of Cd and inhibiting soil acidification.
Author Contributions
C.F.: Data curation, Formal analysis, Methodology, Visualization, Writing—original draft. Y.G.: Methodology, Writing—review and editing. J.Z.: Writing—review and editing. Y.L. (Yanhong Lu): Investigation, Project administration. Y.L. (Yulin Liao): Investigation, Project administration. X.X.: Methodology, Writing—review and editing. J.X.: Writing—review and editing. Z.Y.: Data curation, Formal analysis. F.L.: Data curation, Formal analysis. H.Y.: Data curation, Formal analysis. J.N.: Conceptualization, Funding acquisition, Project administration, Resources. N.T.: Funding acquisition, Supervision, Writing—review and editing. All authors have read and agreed to the published version of the manuscript.
Funding
This work was financially supported by the Joint Funds of the National Natural Science Foundation of China (U19A2046), the National Key R&D Program of China (2021YFD1700200), the earmarked fund for CARS-Green manure (CARS-22), and the Hunan Agricultural Science and Technology Innovation Fund Project (2022CX123).
Data Availability Statement
The data that support the findings of this study are available from the corresponding author upon reasonable request.
Acknowledgments
Special thanks to anonymous reviewers for their valuable comments. In addition, the authors gratefully acknowledge every teacher, classmate, and friend who helped the authors with their experiment and writing.
Conflicts of Interest
The authors declare no competing interests.
References
- Mehrdad, R.R.; Mehravar, R.R.; Sohrab, K.; AliAkbar, M. Cadmium toxicity and treatment: An update. Casp. J. Intern. Med. 2017, 8, 135–145. [Google Scholar] [CrossRef]
- Yang, L.; Wei, T.; Li, S.; Lv, Y.; Miki, T.; Yang, L.; Nagasaka, T. Immobilization persistence of Cu, Cr, Pb, Zn ions by the addition of steel slag in acidic contaminated mine soil. J. Hazard. Mater. 2021, 412, 1–2. [Google Scholar] [CrossRef]
- Lyu, P.; Li, L.; Huang, X.; Wang, G.; Zhu, C. Pre-magnetic bamboo biochar cross-linked Ca Mg Al layered double-hydroxide composite: High-efficiency removal of As(III) and Cd(II) from aqueous solutions and insight into the mechanism of simultaneous purification. Sci. Total Environ. 2022, 823, 153743. [Google Scholar] [CrossRef]
- Xu, Y.; Fang, Z.; Tsang, E.P. In situ immobilization of cadmium in soil by stabilized biochar-supported iron phosphate nanoparticles. Environ. Sci. Pollut. Res. 2016, 23, 19164–19172. [Google Scholar] [CrossRef]
- He, X.; Nkoh, J.N.; Shi, R.-Y.; Xu, R.-K. Application of chitosan- and alginate-modified biochars in promoting the resistance to paddy soil acidification and immobilization of soil cadmium. Environ. Pollut. 2022, 313, 120175. [Google Scholar] [CrossRef]
- Qaswar, M.; Huang, J.; Ahmed, W.; Li, D.; Liu, S.; Ali, S.; Liu, K.; Xu, Y.; Zhang, L.; Liu, L.; et al. Long-term green manure rotations improve soil biochemical properties, yield sustainability and nutrient balances in acidic paddy soil under a rice-based cropping system. Agronomy 2019, 9, 780. [Google Scholar] [CrossRef]
- Liang, T.; Zhou, G.; Chang, D.; Wang, Y.; Gao, S.; Nie, J.; Liao, Y.; Lu, Y.; Zou, C.; Cao, W. Co-incorporation of Chinese milk vetch (Astragalus sinicus L.), rice straw, and biochar strengthens the mitigation of Cd uptake by rice (Oryza sativa L.). Sci. Total Environ. 2022, 850, 158060. [Google Scholar] [CrossRef]
- Chen, J.-R.; Qin, W.-J.; Chen, X.-F.; Cao, W.-D.; Qian, G.-M.; Liu, J.; Xu, C.-X. Application of Chinese milk vetch affects rice yield and soil productivity in a subtropical double-rice cropping system. J. Integr. Agr. 2020, 19, 2116–2126. [Google Scholar] [CrossRef]
- Wang, F.; Cui, H.; He, F.; Liu, Q.; Zhu, Q.; Wang, W.; Liao, H.; Yao, D.; Cao, W.; Lu, P. The green manure (Astragalus sinicus L.) improved rice yield and quality and changed soil microbial communities of rice in the karst mountains area. Agronomy 2022, 12, 1851. [Google Scholar] [CrossRef]
- Wang, Y.; Liang, H.; Li, S.; Zhang, Z.; Liao, Y.L.; Lu, Y.H.; Zhou, G.P.; Gao, S.; Nie, J.; Cao, W. Co-utilizing milk vetch, rice straw, and lime reduces the Cd accumulation of rice grain in two paddy soils in south China. Sci. Total Environ. 2022, 806, 150622. [Google Scholar] [CrossRef]
- Hamid, Y.; Liu, L.; Usman, M.; Tang, L.; Lin, Q.; Rashid, M.S.; Ulhassan, Z.; Hussain, M.I.; Yang, X. Organic/inorganic amendments for the remediation of a red paddy soil artificially contaminated with different cadmium levels: Leaching, speciation, and phytoavailability tests. J. Environ. Manag. 2022, 303, 114148. [Google Scholar] [CrossRef]
- Xiao, Q.; Huang, Y.; Wu, L.; Tian, Y.; Wang, Q.; Wang, B.; Xu, M.; Zhang, W. Long-term manuring increases microbial carbon use efficiency and mitigates priming effect via alleviated soil acidification and resource limitation. Biol. Fert. Soils 2021, 57, 925–934. [Google Scholar] [CrossRef]
- Zhou, G.P.; Gao, S.J.; Chang, D.; Shimizu, K.-Y.; Cao, W. Succession of fungal community and enzyme activity during the co-decomposition process of rice (Oryza sativa L.) straw and milk vetch (Astragalus sinicus L.). Waste Manag. 2021, 134, 1–10. [Google Scholar] [CrossRef]
- Xu, P.; Sun, C.-X.; Ye, X.-Z.; Xiao, W.-D.; Zhang, Q.; Wang, Q. The effect of biochar and crop straws on heavy metal bioavailability and plant accumulation in a Cd and Pb polluted soil. Ecotox. Environ. Saf. 2016, 132, 94–100. [Google Scholar] [CrossRef]
- Zhang, L.; Zou, D.; Zeng, N.; Li, L.; Xiao, Z. Slaked lime improves growth, antioxidant capacity and reduces Cd accumulation of peanut (Arachis hypogaea L.) under Cd stress. Sci. Rep. 2022, 12, 4388. [Google Scholar] [CrossRef]
- Yang, Y.; Li, Y.; Wang, M.; Chen, W.; Dai, Y. Limestone dosage response of cadmium phytoavailability minimization in rice: A trade-off relationship between soil pH and amorphous manganese content. J. Hazard. Mater. 2021, 403, 123664. [Google Scholar] [CrossRef]
- Huang, G.; Ding, C.; Guo, N.; Ding, M.; Zhang, H.; Kamran, M.; Zhou, Z.; Zhang, T.; Wang, X. Polymer-coated manganese fertilizer and its combination with lime reduces cadmium accumulation in brown rice (Oryza sativa L.). J. Hazard. Mater. 2021, 415, 125597. [Google Scholar] [CrossRef]
- Setia, R.; Rengasamy, P.; Marschner, P. Effect of exchangeable cation concentration on sorption and desorption of dissolved organic carbon in saline soils. Sci. Total Environ. 2013, 465, 226–232. [Google Scholar] [CrossRef]
- Schwertfeger, D.M.; Hendershot, W.H. Determination of Effective Cation Exchange Capacity and Exchange Acidity by a One-Step BaCl2 Method. Soil Sci. Soc. Am. J. 2009, 73, 737–743. [Google Scholar] [CrossRef]
- Li, H.; Ye, X.; Geng, Z.; Zhou, H.; Guo, X.; Zhang, Y.; Zhao, H.; Wang, G. The influence of biochar type on long-term stabilization for Cd and Cu in contaminated paddy soils. J. Hazard. Mater. 2016, 304, 40–48. [Google Scholar] [CrossRef]
- Nemati, K.; Bakar, N.K.A.; Abas, M.R.; Sobhanzadeh, E. Speciation of heavy metals by modified BCR sequential extraction procedure in different depths of sediments from Sungai Buloh, Selangor, Malaysia. J. Hazard. Mater. 2011, 192, 402–410. [Google Scholar] [CrossRef]
- Römkens, P.F.; Guo, H.; Chu, C.; Liu, T.; Chiang, C.; Koopman, G. Prediction of cadmium uptake by brown rice and derivation of soil–plant transfer models to improve soil protection guideline. Environ. Pollut. 2009, 157, 2435–2444. [Google Scholar] [CrossRef]
- Kong, F.; Lu, S. Effects of microbial organic fertilizer (MOF) application on cadmium uptake of rice in acidic paddy soil: Regulation of the iron oxides driven by the soil microorganisms. Environ. Pollut. 2022, 307, 119447. [Google Scholar] [CrossRef]
- Chen, Y.; Xie, T.; Liang, Q.; Liu, M.; Zhao, M.; Wang, M.; Wang, G. Effectiveness of lime and peat applications on cadmium availability in a paddy soil under various moisture regimes. Environ. Sci. Pollut. Res. 2016, 23, 7757–7766. [Google Scholar] [CrossRef]
- Zhang, C.; Ge, Y.; Yao, H.; Chen, X.; Hu, M. Iron oxidation-reduction and its impacts on cadmium bioavailability in paddy soils: A review. Front. Environ. Sci. Eng. 2012, 6, 509–517. [Google Scholar] [CrossRef]
- Zhang, S.; Li, T.; Zhang, X.; Yu, H.; Zheng, Z.; Wang, Y.; Hao, X.; Pu, Y. Changes in pH, dissolved organic matter and Cd species in the rhizosphere soils of Cd phytostabilizer Athyrium wardii (Hook.) Makino involved in Cd tolerance and accumulation. Environ. Sci. Pollut. Res. 2014, 21, 4605–4613. [Google Scholar] [CrossRef]
- Wu, C.; Shi, L.; Xue, S.; Li, W.; Jiang, X.; Rajendran, M.; Qian, Z. Effect of sulfur-iron modified biochar on the available cadmium and bacterial community structure in contaminated soils. Sci. Total Environ. 2019, 647, 1158–1168. [Google Scholar] [CrossRef]
- Zeng, F.; Ali, S.; Zhang, H.; Ouyang, Y.; Qiu, B.; Wu, F.; Zhang, G. The influence of pH and organic matter content in paddy soil on heavy metal availability and their uptake by rice plants. Environ. Pollut. 2011, 159, 84–91. [Google Scholar] [CrossRef]
- Duan, L.; Huang, Y.; Hao, J.; Xie, S.; Hou, M. Vegetation uptake of nitrogen and base cations in China and its role in soil acidification. Sci. Total Environ. 2004, 330, 187–198. [Google Scholar] [CrossRef]
- Caires, E.F.; Garbuio, F.J.; Churka, S.; Barth, G.; Corrêa, J. Effects of soil acidity amelioration by surface liming on no-till corn, soybean, and wheat root growth and yield. Eur. J. Agron. 2008, 28, 57–64. [Google Scholar] [CrossRef]
- Bowman, W.D.; Cleveland, C.C.; Halada, Ĺ.; Hreško, J.; Baron, J.S. Negative impact of nitrogen deposition on soil buffering capacity. Nat. Geosci. 2008, 28, 767–770. [Google Scholar] [CrossRef]
- Liao, P.; Huang, S.; Zeng, Y.; Shao, H.; Zhang, J.; Groenigen, K.J. Liming increases yield and reduces grain cadmium concentration in rice paddies: A meta-analysis. Plant Soil. 2021, 465, 157–169. [Google Scholar] [CrossRef]
- Geng, N.; Kang, X.; Yan, X.; Yin, N.; Wang, H.; Pan, H.; Yang, Q.; Lou, Y.; Zhuge, Y. Biochar mitigation of soil acidification and carbon sequestration is influenced by materials and temperature. Ecotox. Environ. Saf. 2022, 232, 113241. [Google Scholar] [CrossRef]
- Prietzel, J.; Rehfuess, K.E.; Stetter, U.; Pretzsch, H. Changes of soil chemistry, stand nutrition, and stand growth at two Scots pine (Pinus sylvestris L.) sites in Central Europe during 40 years after fertilization, liming, and lupine introduction. Eur. J. Forest Res. 2008, 127, 43–61. [Google Scholar] [CrossRef]
- Wang, N.; Xu, R.-K.; Li, J.-Y. Amelioration of an acid ultisol by agricultural by-products. Land Degrad. Dev. 2011, 22, 513–518. [Google Scholar] [CrossRef]
- Xu, R.K. Amelioration Principles and Technologies for Acidified Red Soils; Science Press: Beijing, China, 2013; pp. 201–202. (In Chinese) [Google Scholar]
- Liu, Z.; Huang, Y.; Ji, X.; Xie, Y.; Peng, J.; Eissa, M.A.; Fahmy, A.E.; Abou, S.F. Effects and mechanism of continuous liming on cadmium immobilization and uptake by rice grown on acid paddy soils. J. Soil Sci. Plant Nut. 2020, 20, 2316–2328. [Google Scholar] [CrossRef]
- Sheng, H.; Gu, Y.; Yin, Z.; Xue, Y.; Zhou, P.; Thompson, M.L. Consistent inter-annual reduction of rice cadmium in 5-year biannual organic amendment. Sci. Total Environ. 2022, 807, 151026. [Google Scholar] [CrossRef]
- Yang, W.; Zhou, H.; Gu, J.; Liao, B.; Zhang, J.; Wu, P. Application of rapeseed residue increases soil organic matter, microbial biomass, and enzyme activity and mitigates cadmium pollution risk in paddy fields. Environ. Pollut. 2020, 264, 114681. [Google Scholar] [CrossRef]
- Kong, L.; Guo, Z.; Peng, C.; Xiao, X.; He, Y. Factors influencing the effectiveness of liming on cadmium reduction in rice: A meta-analysis and decision tree analysis. Sci. Total Environ. 2021, 779, 146477. [Google Scholar] [CrossRef]
- Zaniewicz-Bajkowska, A.; Rosa, R.; Franczuk, J.; Kostern, E. Direct and secondary effect of liming and organic fertilization on cadmium content in soil and in vegetables. Plant Soil Environ. 2007, 53, 473–481. [Google Scholar] [CrossRef]
- Yang, Y.; Chen, J.; Huang, Q.; Tang, S.; Wang, J.; Hu, P.; Shao, G. Can liming reduce cadmium (Cd) accumulation in rice (Oryza sativa) in slightly acidic soils? A contradictory dynamic equilibrium between Cd uptake capacity of roots and Cd immobilisation in soils. Chemosphere 2018, 193, 547–556. [Google Scholar] [CrossRef]
- Laurent, C.; Bravin, M.N.; Crouzet, O.; Pelosi, C.; Tillard, E.; Lecomte, P.; Lamy, I. Increased soil pH and dissolved organic matter after a decade of organic fertilizer application mitigates copper and zinc availability despite contamination. Sci. Total Environ. 2020, 709, 135927. [Google Scholar] [CrossRef]
- Jin, J.; Huang, X.; Wu, J.; Zhao, W.; Fu, W. A 10-year field experiment proves the neutralization of soil pH in Chinese hickory plantation of southeastern China. J. Soil Sediment. 2022, 22, 2995–3005. [Google Scholar] [CrossRef]
- Liu, C.-C.; Lin, Y.-C. Reclamation of copper-contaminated soil using EDTA or citric acid coupled with dissolved organic matter solution extracted from distillery sludge. Environ. Pollut. 2013, 178, 97–101. [Google Scholar] [CrossRef]
- Zhang, J.; Hua, P.; Krebs, P. The influences of dissolved organic matter and surfactant on the desorption of Cu and Zn from road-deposited sediment. Chemosphere 2016, 150, 63–70. [Google Scholar] [CrossRef]
- Xu, Q.; Xu, Q.; Zhu, H.; Li, H.; Yin, W.; Feng, K.; Wang, S.; Wang, X. Does biochar application in heavy metal-contaminated soils affect soil micronutrient dynamics? Chemosphere 2021, 290, 133349. [Google Scholar] [CrossRef]
Disclaimer/Publisher’s Note: The statements, opinions and data contained in all publications are solely those of the individual author(s) and contributor(s) and not of MDPI and/or the editor(s). MDPI and/or the editor(s) disclaim responsibility for any injury to people or property resulting from any ideas, methods, instructions or products referred to in the content. |
© 2023 by the authors. Licensee MDPI, Basel, Switzerland. This article is an open access article distributed under the terms and conditions of the Creative Commons Attribution (CC BY) license (https://creativecommons.org/licenses/by/4.0/).




